Sign in to use this feature.

Years

Between: -

Subjects

remove_circle_outline
remove_circle_outline
remove_circle_outline
remove_circle_outline
remove_circle_outline
remove_circle_outline
remove_circle_outline

Journals

Article Types

Countries / Regions

Search Results (16)

Search Parameters:
Keywords = eddy current sensor (ECS)

Order results
Result details
Results per page
Select all
Export citation of selected articles as:
16 pages, 8456 KB  
Article
Eddy Current Sensor Array for Electromagnetic Sensing and Crack Reconstruction with High Lift-Off in Railway Tracks
by Yuchun Shao, Zihan Xia, Yiqing Ding, Bob Crocker, Scott Saunders, Xue Bai, Anthony Peyton, Daniel Conniffe and Wuliang Yin
Sensors 2024, 24(13), 4216; https://doi.org/10.3390/s24134216 - 28 Jun 2024
Cited by 3 | Viewed by 2479
Abstract
A reliable and efficient rail track defect detection system is essential for maintaining rail track integrity and avoiding safety hazards and financial losses. Eddy current (EC) testing is a non-destructive technique that can be employed for this purpose. The trade-off between spatial resolution [...] Read more.
A reliable and efficient rail track defect detection system is essential for maintaining rail track integrity and avoiding safety hazards and financial losses. Eddy current (EC) testing is a non-destructive technique that can be employed for this purpose. The trade-off between spatial resolution and lift-off should be carefully considered in practical applications to distinguish closely spaced cracks such as those caused by rolling contact fatigue (RCF). A multi-channel eddy current sensor array has been developed to detect defects on rails. Based on the sensor scanning data, defect reconstruction along the rails is achieved using an inverse algorithm that includes both direct and iterative approaches. In experimental evaluations, the EC system with the developed sensor is used to measure defects on a standard test piece of rail with a probe lift-off of 4–6 mm. The reconstruction results clearly reveal cracks at various depths and spacings on the test piece. Full article
(This article belongs to the Special Issue Electromagnetic Sensing and Its Applications)
Show Figures

Figure 1

25 pages, 37450 KB  
Article
Resonant Eddy Current Sensor Design for Corrosion Detection of Reinforcing Steel
by Upeksha Chathurani Thibbotuwa, Ainhoa Cortés, Aurora María Casado and Andoni Irizar
Sensors 2024, 24(13), 4211; https://doi.org/10.3390/s24134211 - 28 Jun 2024
Cited by 4 | Viewed by 2587
Abstract
This paper introduces an LC resonator-based single-frequency eddy current (EC) sensor designed for corrosion detection in reinforcing bars (rebars) embedded within concrete structures. The work addresses the challenges of the limited detection ranges and reduced sensitivity over longer distances, prevalent in current EC [...] Read more.
This paper introduces an LC resonator-based single-frequency eddy current (EC) sensor designed for corrosion detection in reinforcing bars (rebars) embedded within concrete structures. The work addresses the challenges of the limited detection ranges and reduced sensitivity over longer distances, prevalent in current EC sensor applications. The sensor development process involved a systematic experimental approach to carefully selecting each parameter in the LC resonator. The sensor design aimed to assess the condition of the rebar from a distance of up to 5–6 cm outside the concrete and provide insights into different corrosion levels. By examining the characteristics of the inductors, the parallel resistance Rp of the eddy current coil was identified as a key parameter reflecting the corrosion conditions in the rebar. The relationship between the Rp fluctuations and temperature variations was investigated, with the data indicating that an approximately 155 Ω variation can be expected per 1 °C change within the temperature range of 20–25 °C, allowing for temperature compensation if necessary. Subsequently, the sensor’s performance was evaluated by placing a rebar within a concrete block, where controlled mechanical degradation cycles were applied to simulate uniform corrosion in the rebar. The experimental results show that our EC sensor can detect material loss around the rebar with accuracy of approximately 0.17 mm. Full article
(This article belongs to the Special Issue Electromagnetic Non-Destructive Testing and Evaluation)
Show Figures

Figure 1

17 pages, 12152 KB  
Article
Measuring Turbulent Water Vapor Fluxes Using a Tunable Diode Laser-Based Open-Path Gas Analyzer
by Kai Wang, Li Huang, Jingting Zhang, Xiaojie Zhen, Linlin Shi, Ting-Jung Lin, Xunhua Zheng and Yin Wang
Water 2024, 16(2), 307; https://doi.org/10.3390/w16020307 - 17 Jan 2024
Cited by 2 | Viewed by 3265
Abstract
The reliable observation and accurate estimates of land–atmosphere water vapor (H2O) flux is essential for ecosystem management and the development of Earth system models. Currently, the most direct measurement method for H2O flux is eddy covariance (EC), which depends [...] Read more.
The reliable observation and accurate estimates of land–atmosphere water vapor (H2O) flux is essential for ecosystem management and the development of Earth system models. Currently, the most direct measurement method for H2O flux is eddy covariance (EC), which depends on the development of fast-response H2O sensors. In this study, we presented a cost-efficient open-path H2O analyzer (model: HT1800) based on the tunable diode laser absorption spectroscopy (TDLAS) technique, and investigated its applicability for measuring atmospheric turbulent flux of H2O using the EC method. We prepared two HT1800 analyzers with lasers that operate at wavelengths of 1392 nm and 1877 nm, respectively. The field performance of the two analyzers was evaluated through inter-comparative experiments with LI-7500RS and IRGASON, two of the most commonly used H2O analyzers in the EC community. Water vapor densities measured by the three types of analyzers had high overall agreement with the reference sensor; however, they all experienced drift. The mean density drifts of HT1800, LI-7500 and IRGASON were 3.7–5.2%, 4.0% and 3.8%, respectively. Even so, the half-hourly H2O fluxes measured by HT1800 were highly consistent with those by LI-7500RS and IRGASON (with a difference of less than 2%), suggesting that HT1800 can obtain H2O fluxes with high confidence. The HT1800 was also proved to be suitable for EC application in terms of data availability, flux detection limit and response to the high-frequency turbulent variation. Furthermore, we investigated how the spectroscopic effect influences the measurements of H2O density and flux. Despite the fact that the 1392 nm laser was much more susceptible to the spectroscopic effect, the fluxes after correcting for this bias showed excellent agreement with the IRGASON fluxes. Considering the cost advantage in laser and photodetector, the HT1800 analyzer using a 1392 nm infrared laser is a promising and economical solution for EC measurement studies of water vapor. Full article
Show Figures

Figure 1

25 pages, 1827 KB  
Review
A Comprehensive Analysis of In-Line Inspection Tools and Technologies for Steel Oil and Gas Pipelines
by Berke Ogulcan Parlak and Huseyin Ayhan Yavasoglu
Sustainability 2023, 15(3), 2783; https://doi.org/10.3390/su15032783 - 3 Feb 2023
Cited by 58 | Viewed by 16442
Abstract
The transportation of oil and gas through pipelines is an integral aspect of the global energy infrastructure. It is crucial to ensure the safety and integrity of these pipelines, and one way to do so is by utilizing an inspection tool called a [...] Read more.
The transportation of oil and gas through pipelines is an integral aspect of the global energy infrastructure. It is crucial to ensure the safety and integrity of these pipelines, and one way to do so is by utilizing an inspection tool called a smart pig. This paper reviews various smart pigs used in steel oil and gas pipelines and classifies them according to pipeline structure, anomaly-detection capability, working principles, and application areas. The advantages and limitations of each sensor technology that can be used with the smart pig for in-line inspection (ILI) are discussed. In this context, ultrasonic testing (UT), electromagnetic acoustic transducer (EMAT), eddy current (EC), magnetic flux leakage (MFL), and mechanical contact (MC) sensors are investigated. This paper also provides a comprehensive analysis of the development chronology of these sensors in the literature. Additionally, combinations of relevant sensor technologies are compared for their accuracy in sizing anomaly depth, length, and width. In addition to their importance in maintaining the safety and reliability of pipelines, the use of ILI can also have environmental benefits. This study aims to further our understanding of the relationship between ILI and the environment. Full article
Show Figures

Graphical abstract

31 pages, 17410 KB  
Review
Eddy Current Measurement for Planar Structures
by Zihan Xia, Ruochen Huang, Ziqi Chen, Kuohai Yu, Zhijie Zhang, Jorge Ricardo Salas-Avila and Wuliang Yin
Sensors 2022, 22(22), 8695; https://doi.org/10.3390/s22228695 - 10 Nov 2022
Cited by 37 | Viewed by 6128
Abstract
Eddy current (EC) testing has become one of the most common techniques for measuring metallic planar structures in various industrial scenarios such as infrastructures, automotive, manufacturing, and chemical engineering. There has been significant progress in measuring the geometry, electromagnetic properties, and defects of [...] Read more.
Eddy current (EC) testing has become one of the most common techniques for measuring metallic planar structures in various industrial scenarios such as infrastructures, automotive, manufacturing, and chemical engineering. There has been significant progress in measuring the geometry, electromagnetic properties, and defects of metallic planar structures based on electromagnetic principles. In this review, we summarize recent developments in EC computational models, systems, algorithms, and measurement approaches for planar structures. First, the computational models including analytical models, numerical methods, and plate property estimation algorithms are introduced. Subsequently, the impedance measurement system and probes are presented. In plate measurements, sensor signals are sensitive to probe lift-off, and various algorithms for reducing the lift-off effect are reviewed. These approaches can be used for measureing thickness and electromagnetic properties. Furthermore, defect detection for metallic plates is also discussed. Full article
(This article belongs to the Special Issue Electromagnetic Structures for Sensing Applications)
Show Figures

Figure 1

10 pages, 5484 KB  
Communication
Design and Analysis of Small Size Eddy Current Displacement Sensor
by Sheng-Ching Wang, Bo-Ren Xie and San-Ming Huang
Sensors 2022, 22(19), 7444; https://doi.org/10.3390/s22197444 - 30 Sep 2022
Cited by 24 | Viewed by 6028
Abstract
A systematic method is employed for the design and analysis of a small size eddy current (EC) displacement sensor. Simulations are first performed to determine the optimal winding structure and dimensions of the sensor. A linear-fitting approach is then developed for converting the [...] Read more.
A systematic method is employed for the design and analysis of a small size eddy current (EC) displacement sensor. Simulations are first performed to determine the optimal winding structure and dimensions of the sensor. A linear-fitting approach is then developed for converting the AC displacement signal of the sensor to a DC signal. Finally, a compensation method is proposed for mitigating the temperature drift of the EC sensor under different working temperatures. The experimental results show that the proposed sensor has a sensitivity of approximately 3 μm, a working temperature range of 25–55 °C, and a linearity of ±1.025%. Full article
Show Figures

Figure 1

22 pages, 5784 KB  
Article
Rail Sample Laboratory Evaluation of Eddy Current Rail Inspection Sustainable System
by Jiaqing Wang, Qingli Dai, Pasi Lautala, Hui Yao and Ruizhe Si
Sustainability 2022, 14(18), 11568; https://doi.org/10.3390/su141811568 - 15 Sep 2022
Cited by 8 | Viewed by 3970
Abstract
Increasing the efficiency, frequency, and speed of rail defect detection can reduce maintenance costs and improve the sustainability of railways. The non-contact eddy current (EC) system can be operated along with a railcar for detecting rail flaws. Even if the EC can be [...] Read more.
Increasing the efficiency, frequency, and speed of rail defect detection can reduce maintenance costs and improve the sustainability of railways. The non-contact eddy current (EC) system can be operated along with a railcar for detecting rail flaws. Even if the EC can be utilized for rail defect identification and characterization, current commercial devices are not sufficient for defect classification on rails by providing highly sensitive signals for post-processing. In this study, we established an efficient and expandable eddy current rail inspection system and verified its capability for classification of different defect signals. The integrated hardware and software EC measurement system was firstly applied to detect notched cracks in steel samples with different crack depths and angles. The measured voltage and current analog inputs from the eddy current sensor were acquired and processed with a fast Fourier transformation (FFT) algorithm in the LabVIEW platform. The real-time impedance was then obtained by transferring signals to a normalized impedance plane plot. The processed EC signals showed adequate sensitivity and efficiency with changes of notched crack depths and angles during the sensor movement. A comparative case study on field rail samples was then conducted to examine the feasibility and capability of the established system on different types of actual rail defects. The experimental analysis and case study results demonstrate that the integrated eddy current system could possibly be used for non-destructive rail crack inspection and classification. The enhanced detection capability (especially on subsurface cracks) and real-time post-processing technique could further contribute to improving rail-life sustainability. Full article
Show Figures

Figure 1

22 pages, 9642 KB  
Article
Detection of Surface and Subsurface Flaws with Miniature GMR-Based Gradiometer
by Huu-Thang Nguyen, Jen-Tzong Jeng, Van-Dong Doan, Chinh-Hieu Dinh, Xuan Thang Trinh and Duy-Vinh Dao
Sensors 2022, 22(8), 3097; https://doi.org/10.3390/s22083097 - 18 Apr 2022
Cited by 3 | Viewed by 3472
Abstract
The eddy-current (EC) testing method is frequently utilized in the nondestructive inspection of conductive materials. To detect the minor and complex-shaped defects on the surface and in the underlying layers of a metallic sample, a miniature eddy-current probe with high sensitivity is preferred [...] Read more.
The eddy-current (EC) testing method is frequently utilized in the nondestructive inspection of conductive materials. To detect the minor and complex-shaped defects on the surface and in the underlying layers of a metallic sample, a miniature eddy-current probe with high sensitivity is preferred for enhancing the signal quality and spatial resolution of the obtained eddy-current images. In this work, we propose a novel design of a miniature eddy-current probe using a giant magnetoresistance (GMR) sensor fabricated on a silicon chip. The in-house-made GMR sensor comprises two cascaded spin-valve elements in parallel with an external variable resistor to form a Wheatstone bridge. The two elements on the chip are excited by the alternating magnetic field generated by a tiny coil aligned to the position that balances the background output of the bridge sensor. In this way, the two GMR elements behave effectively as an axial gradiometer with the bottom element sensitive to the surface and near-surface defects on a conductive specimen. The performance of the EC probe is verified by the numerical simulation and the corresponding experiments with machined defects on metallic samples. With this design, the geometric characteristics of the defects are clearly visualized with a spatial resolution of about 1 mm. The results demonstrate the feasibility and superiority of the proposed miniature GMR EC probe for characterizing the small and complex-shaped defects in multilayer conductive samples. Full article
(This article belongs to the Special Issue Advanced Sensors for Intelligent Control Systems)
Show Figures

Figure 1

23 pages, 4126 KB  
Article
Upscaling Northern Peatland CO2 Fluxes Using Satellite Remote Sensing Data
by Sofia Junttila, Julia Kelly, Natascha Kljun, Mika Aurela, Leif Klemedtsson, Annalea Lohila, Mats B. Nilsson, Janne Rinne, Eeva-Stiina Tuittila, Patrik Vestin, Per Weslien and Lars Eklundh
Remote Sens. 2021, 13(4), 818; https://doi.org/10.3390/rs13040818 - 23 Feb 2021
Cited by 33 | Viewed by 8218
Abstract
Peatlands play an important role in the global carbon cycle as they contain a large soil carbon stock. However, current climate change could potentially shift peatlands from being carbon sinks to carbon sources. Remote sensing methods provide an opportunity to monitor carbon dioxide [...] Read more.
Peatlands play an important role in the global carbon cycle as they contain a large soil carbon stock. However, current climate change could potentially shift peatlands from being carbon sinks to carbon sources. Remote sensing methods provide an opportunity to monitor carbon dioxide (CO2) exchange in peatland ecosystems at large scales under these changing conditions. In this study, we developed empirical models of the CO2 balance (net ecosystem exchange, NEE), gross primary production (GPP), and ecosystem respiration (ER) that could be used for upscaling CO2 fluxes with remotely sensed data. Two to three years of eddy covariance (EC) data from five peatlands in Sweden and Finland were compared to modelled NEE, GPP and ER based on vegetation indices from 10 m resolution Sentinel-2 MSI and land surface temperature from 1 km resolution MODIS data. To ensure a precise match between the EC data and the Sentinel-2 observations, a footprint model was applied to derive footprint-weighted daily means of the vegetation indices. Average model parameters for all sites were acquired with a leave-one-out-cross-validation procedure. Both the GPP and the ER models gave high agreement with the EC-derived fluxes (R2 = 0.70 and 0.56, NRMSE = 14% and 15%, respectively). The performance of the NEE model was weaker (average R2 = 0.36 and NRMSE = 13%). Our findings demonstrate that using optical and thermal satellite sensor data is a feasible method for upscaling the GPP and ER of northern boreal peatlands, although further studies are needed to investigate the sources of the unexplained spatial and temporal variation of the CO2 fluxes. Full article
(This article belongs to the Special Issue Remote Sensing of Carbon Fluxes and Stocks)
Show Figures

Graphical abstract

16 pages, 2798 KB  
Article
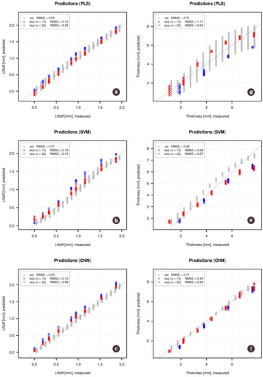
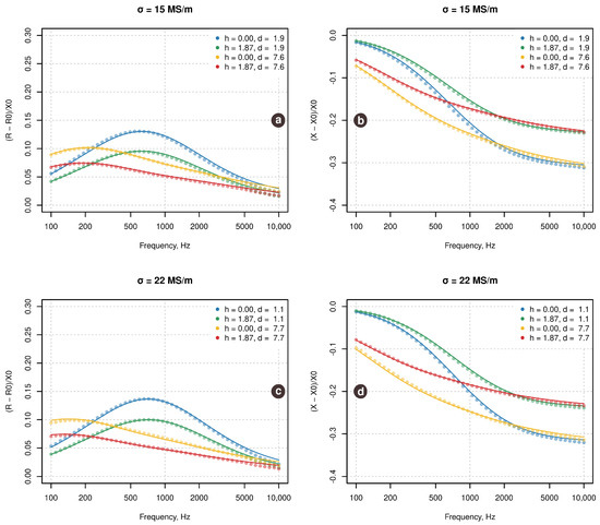
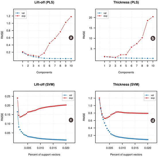
Coupling Analytical Models and Machine Learning Methods for Fast and Reliable Resolution of Effects in Multifrequency Eddy-Current Sensors
by Sergey Kucheryavskiy, Alexander Egorov and Victor Polyakov
Sensors 2021, 21(2), 618; https://doi.org/10.3390/s21020618 - 17 Jan 2021
Cited by 17 | Viewed by 3248
Abstract
Eddy current (EC) measurements, widely used for diagnostics of conductive materials, are highly dependent on physical properties and geometry of a sample as well as on a design of an EC-sensor. For a sensor of a given design, the conductivity and thickness of [...] Read more.
Eddy current (EC) measurements, widely used for diagnostics of conductive materials, are highly dependent on physical properties and geometry of a sample as well as on a design of an EC-sensor. For a sensor of a given design, the conductivity and thickness of a sample as well as the gap between the sample and the sensor (lift-off) are the most influencing parameters. Estimation of these parameters, based on signals acquired from the sensor, is quite complicated in case when all three parameters are unknown and may vary. In this paper, we propose a machine learning based approach for solving this problem. The approach makes it possible to avoid time and resource-consuming computations and does not require experimental data for training of the prediction models. The approach was tested using independent sets of measurements from both simulated and real experimental data. Full article
(This article belongs to the Section Physical Sensors)
Show Figures

Figure 1

17 pages, 4127 KB  
Article
Rotating Focused Field Eddy-Current Sensing for Arbitrary Orientation Defects Detection in Carbon Steel
by Zhiyuan Xu, Xiang Wang and Yiming Deng
Sensors 2020, 20(8), 2345; https://doi.org/10.3390/s20082345 - 20 Apr 2020
Cited by 44 | Viewed by 6579
Abstract
This paper presents a rotating focused field eddy-current (EC) sensing technique, which leverages the advantages of magnetic field focusing and rotating magnetic field, for arbitrary orientation defects detection. The sensor consists of four identical excitation coils orthogonally arranged in an upside-down pyramid configuration [...] Read more.
This paper presents a rotating focused field eddy-current (EC) sensing technique, which leverages the advantages of magnetic field focusing and rotating magnetic field, for arbitrary orientation defects detection. The sensor consists of four identical excitation coils orthogonally arranged in an upside-down pyramid configuration and a giant magneto-resistive (GMR) detection element. The four coils are connected to form two figure-8-shaped focusing sub-probes, which are fed by two identical harmonic currents with 90 degrees phase difference. A finite element model-based study of arbitrary orientation defects detection was performed to understand the probe operational characteristics and optimize its design parameters. Probe prototyping and experimental validation were also carried out on a carbon steel plate specimen with four prefabricated surface-breaking defects. In-situ spot inspection with the probe rotating above the defect and a manual line-scan inspection were both conducted. Results showed that the probe has the capability of detecting defects with any orientations while maintaining the same sensitivity and the defect depth can be quantitatively evaluated by using the signal amplitude. Compared with the existing rotating field probes, the presented probe does not require additional excitation adjustment or data fusion. Meanwhile, due to its focusing effect, it can generate a strong rotating magnetic field at the defect location with a weak background noise, thus yielding superior signal-to-noise ratio. Full article
(This article belongs to the Special Issue Eddy Current Sensor)
Show Figures

Figure 1

12 pages, 9899 KB  
Article
On-Site Health Monitoring of Composite Bolted Joint Using Built-In Distributed Eddy Current Sensor Network
by Qijian Liu, Hu Sun, Tao Wang and Xinlin Qing
Materials 2019, 12(17), 2785; https://doi.org/10.3390/ma12172785 - 29 Aug 2019
Cited by 22 | Viewed by 3451
Abstract
There is an urgent need to monitor the structural state of composite bolted joints while still remaining in service; however, there are many difficulties in analyzing their strength and failure modes. In this paper, a built-in distributed eddy current (EC) sensor network based [...] Read more.
There is an urgent need to monitor the structural state of composite bolted joints while still remaining in service; however, there are many difficulties in analyzing their strength and failure modes. In this paper, a built-in distributed eddy current (EC) sensor network based on EC array sensing film is developed to monitor the hole-edge damages of composite bolted joints. The EC array sensing film is bonded onto the bolt and consists of one exciting coil and four separate sensing coils. Experiments are conducted on unidirectional composite specimens to validate the ability of the EC array sensing film to quantitatively track the damage that occurs at the hole edge and to investigate the performances of the EC array sensing films with different configurations of the exciting coil. Experimental results show that the induced voltage of sensing coil changes only if the damage appears on the laminate structure where that particular sensing coil is located, whereas the induced voltages of the other sensing coils on other laminate plates remain unchanged. Numerical simulation based on the finite element method is also carried out to investigate and explain the phenomena observed in the experiments and to analyze the distribution of the EC around the bolt hole. Both experimental and numerical simulation results demonstrate that the developed EC array sensing film can effectively identify not only whether there is damage at the hole edge but also the damage location within the thickness and quantitative size. Full article
Show Figures

Figure 1

17 pages, 53167 KB  
Article
Eddy Current Sensor System for Blade Tip Clearance Measurement Based on a Speed Adjustment Model
by Jiang Wu, Bin Wen, Yu Zhou, Qi Zhang, Shuiting Ding, Farong Du and Shuguang Zhang
Sensors 2019, 19(4), 761; https://doi.org/10.3390/s19040761 - 13 Feb 2019
Cited by 23 | Viewed by 7552
Abstract
Blade tip clearance (BTC) measurement and active clearance control (ACC) are becoming crucial technologies in aero-engine health monitoring so as to improve the efficiency and reliability as well as to ensure timely maintenance. Eddy current sensor (ECS) offers an attractive option for BTC [...] Read more.
Blade tip clearance (BTC) measurement and active clearance control (ACC) are becoming crucial technologies in aero-engine health monitoring so as to improve the efficiency and reliability as well as to ensure timely maintenance. Eddy current sensor (ECS) offers an attractive option for BTC measurement due to its robustness, whereas current approaches have not considered two issues sufficiently. One is that BTC affects the response time of a measurement loop, the other is that ECS signal decays with increasing speed. This paper proposes a speed adjustment model (SAM) to deal with these issues in detail. SAM is trained using a nonlinear regression method from a dynamic training data set obtained by an experiment. The Levenberg–Marquardt (LM) algorithm is used to estimate SAM characteristic parameters. The quantitative relationship between the response time of ECS measurement loop and BTC, as well as the output signal and speed are obtained. A BTC measurement method (BTCMM) based on the SAM is proposed and a geometric constraint equation is constructed to assess the accuracy of BTC measurement. Experiment on a real-time BTC measurement during the running process for a micro turbojet engine is conducted to validate the BTCMM. It is desirable and significative to effectively improve BTC measurement accuracy and expand the range of applicable engine speed. Full article
(This article belongs to the Section Physical Sensors)
Show Figures

Figure 1

10 pages, 5211 KB  
Article
A Smart Eddy Current Sensor Dedicated to the Nondestructive Evaluation of Carbon Fibers Reinforced Polymers
by Mohammed Naidjate, Bachir Helifa, Mouloud Feliachi, Iben-Khaldoun Lefkaier, Henning Heuer and Martin Schulze
Sensors 2017, 17(9), 1996; https://doi.org/10.3390/s17091996 - 31 Aug 2017
Cited by 17 | Viewed by 6053
Abstract
This paper propose a new concept of an eddy current (EC) multi-element sensor for the characterization of carbon fiber-reinforced polymers (CFRP) to evaluate the orientations of plies in CFRP and the order of their stacking. The main advantage of the new sensors is [...] Read more.
This paper propose a new concept of an eddy current (EC) multi-element sensor for the characterization of carbon fiber-reinforced polymers (CFRP) to evaluate the orientations of plies in CFRP and the order of their stacking. The main advantage of the new sensors is the flexible parametrization by electronical switching that reduces the effort for mechanical manipulation. The sensor response was calculated and proved by 3D finite element (FE) modeling. This sensor is dedicated to nondestructive testing (NDT) and can be an alternative for conventional mechanical rotating and rectangular sensors. Full article
(This article belongs to the Special Issue Intelligent Sensing Technologies for Nondestructive Evaluation)
Show Figures

Figure 1

22 pages, 2630 KB  
Article
Characterization of a Field Spectroradiometer for Unattended Vegetation Monitoring. Key Sensor Models and Impacts on Reflectance
by Javier Pacheco-Labrador and M. Pilar Martín
Sensors 2015, 15(2), 4154-4175; https://doi.org/10.3390/s150204154 - 11 Feb 2015
Cited by 29 | Viewed by 7093
Abstract
Field spectroradiometers integrated in automated systems at Eddy Covariance (EC) sites are a powerful tool for monitoring and upscaling vegetation physiology and carbon and water fluxes. However, exposure to varying environmental conditions can affect the functioning of these sensors, especially if these cannot [...] Read more.
Field spectroradiometers integrated in automated systems at Eddy Covariance (EC) sites are a powerful tool for monitoring and upscaling vegetation physiology and carbon and water fluxes. However, exposure to varying environmental conditions can affect the functioning of these sensors, especially if these cannot be completely insulated and stabilized. This can cause inaccuracy in the spectral measurements and hinder the comparison between data acquired at different sites. This paper describes the characterization of key sensor models in a double beam spectroradiometer necessary to calculate the Hemispherical-Conical Reflectance Factor (HCRF). Dark current, temperature dependence, non-linearity, spectral calibration and cosine receptor directional responses are modeled in the laboratory as a function of temperature, instrument settings, radiation measured or illumination angle. These models are used to correct the spectral measurements acquired continuously by the same instrument integrated outdoors in an automated system (AMSPEC-MED). Results suggest that part of the instrumental issues cancel out mutually or can be controlled by the instrument configuration, so that changes induced in HCFR reached about 0.05 at maximum. However, these corrections are necessary to ensure the inter-comparison of data with other ground or remote sensors and to discriminate instrumentally induced changes in HCRF from those related with vegetation physiology and directional effects. Full article
(This article belongs to the Section Remote Sensors)
Show Figures

Back to TopTop