Eddy Current Sensor System for Blade Tip Clearance Measurement Based on a Speed Adjustment Model
Abstract
1. Introduction
2. Speed Adjustment Model
2.1. Principle of BTC Measurement by ECS
2.2. Speed Adjustment Model
2.3. Dynamic Training Data Set Obtained by Experiments
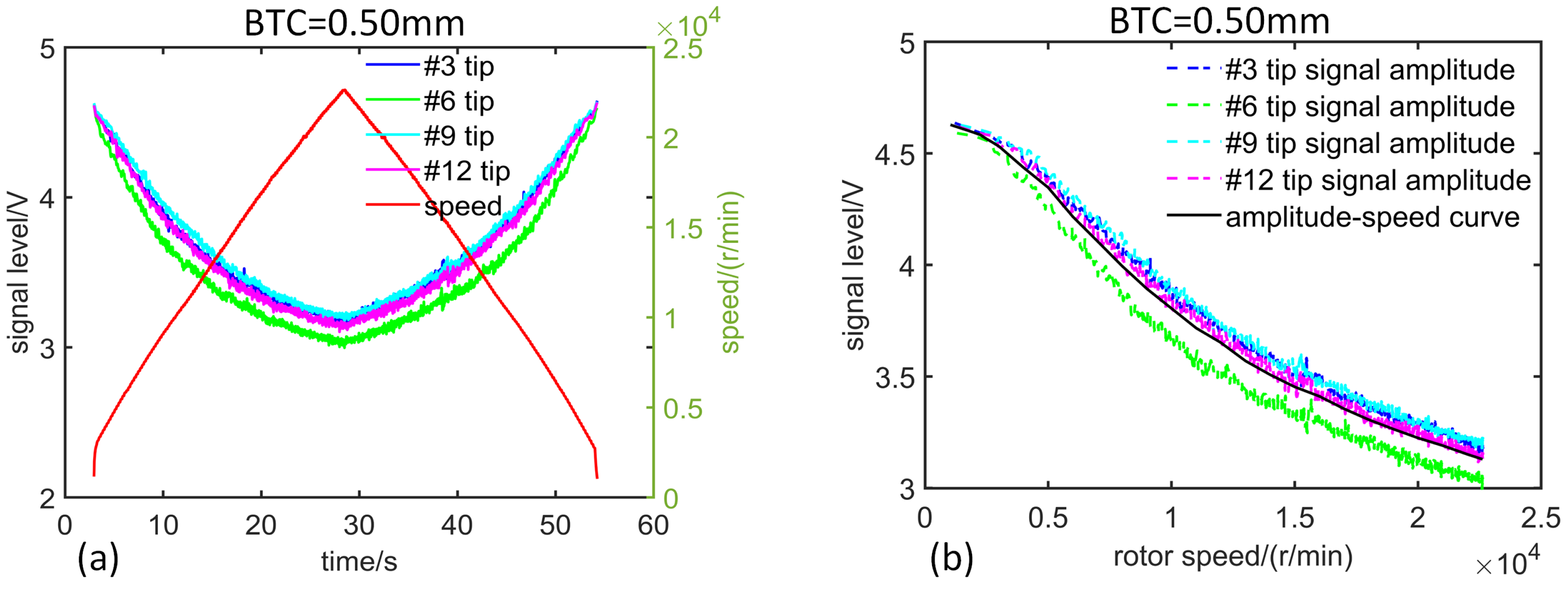
2.4. Calculation of Model Characteristic Parameters
3. BTC Measurement and Geometric Evaluation Method
3.1. BTC Measurement Method
3.2. Geometric Evaluation Method
4. Engine Test
5. Conclusions
- The relationship between response time of the ECS measurement loop and BTC is quantitatively studied by an experimental method, and response time increases rapidly with increasing BTC. When BTC changes from 0.4 mm to 0.6 mm, the response time becomes nine times. The relationship between the output signal and the rotational speed is also quantitatively studied. As the speed increases, the signal amplitude decreases. When the BTC is equal to 0.5 mm, the speed varies from 0 to 20,000 r/min, the SPA is reduced to 67%.
- A high-precision SAM for measuring BTC using ECS is proposed. The characteristic parameters of the model are solved by the experimental method. The goodness of fit between the SAM and the dynamic training data set is greater than 0.999. The explicit physical meaning of the model characteristic parameters is given, which is of great significance for the rational design and accurate usage of ECS.
- A BTCMM based on the SAM is proposed and applied to the BTC measurement of the compressor inlet during the engine test. The experimental results show that this method has the repeatability precision of 0.01 mm in the actual test.
Author Contributions
Funding
Conflicts of Interest
Abbreviations
| BTC | blade tip clearance |
| ACC | active clearance control |
| ECS | eddy current sensor |
| SPA | signal pulse amplitude |
| SAM | speed adjustment model |
| BTCMM | BTC measurement method |
References
- Bunker, R.S. Axial Turbine Blade Tips: Function, Design, and Durability. J. Propul. Power 2006, 22, 271–285. [Google Scholar] [CrossRef]
- Ji, F.; Bao, Y.; Zhou, Y.; Du, F.; Zhu, H.; Zhao, S.; Li, G.; Zhu, X.; Ding, S. Investigation on performance and implementation of Tesla turbine in engine waste heat recovery. Energy Convers. Manag. 2019, 179, 326–338. [Google Scholar] [CrossRef]
- Zhou, Y.; Wang, H.; Du, F.; Ding, S. Algorithm to Construct Line-Shaped Feature Point Clouds of Single-Value Ruled Blades for Gas Turbines. J. Manuf. Sci. Eng. 2014, 136, 041022. [Google Scholar] [CrossRef]
- Jacquet-Richardet, G.; Torkhani, M.; Cartraud, P.; Thouverez, F.; Baranger, T.N.; Herran, M.; Gibert, C.; Baguet, S.; Almeida, P.; Peletan, L. Rotor to stator contacts in turbomachines. Review and application. Mech. Syst. Signal. Process. 2013, 40, 401–420. [Google Scholar] [CrossRef]
- Denton, J.D. Loss Mechanisms in Turbomachines. J. Turbomach. 1993, 115, 621–656. [Google Scholar] [CrossRef]
- Volponi, A.J. Gas Turbine Engine Health Management: Past, Present, and Future Trends. J. Eng. Gas Turbines Power 2014, 136, 051201. [Google Scholar] [CrossRef]
- Simon, D.L.; Garg, S.; Semega, K.J. Sensor Needs for Control and Health Management of Intelligent Aircraft Engines. ASME Turbo Expo 2004: Power Land, Sea, Air 2004, 2, 873–882. [Google Scholar]
- DeCastro, J.A.; Melcher, K.J. A Study on the Requirements for Fast Active Turbine Tip Clearance Control Systems. In Proceedings of the 40th AIAA/ASME/SAE/ASEE Joint Propulsion Conference and Exhibit, Fort Lauderdale, FL, USA, 11–14 July 2004. [Google Scholar]
- Lattime, S.B.; Steinetz, B.M.; Robbie, M.G. Test Rig for Evaluating Active Turbine Blade Tip Clearance Control Concepts. J. Propul. Power 2005, 21, 552–563. [Google Scholar] [CrossRef]
- Hafner, M.T. Methods, systems and apparatus relating to tip clearance calculations in turbine engines. Patent US 823,072,6B2, 31 July 2012. [Google Scholar]
- Hershey, J.E.; Osborn, B.E.; Gardner, D.L.; Ruiz, R.J.; Herron, W.L. Aircraft gas turbine engine blade tip clearance control. Patent US 812,662,8B2, 28 February 2012. [Google Scholar]
- Plunkett, T.T.; Hershey, J.E.; Osborn, B.E.; Seitzer, K.E.; Taylor, K.K. Method, system, and apparatus for reducing a turbine clearance. Patent US 829,603,7B2, 23 October 2012. [Google Scholar]
- Gil-García, J.M.; Zubia, J.; Aranguren, G. Architecture for Measuring Blade Tip Clearance and Time of Arrival with Multiple Sensors in Airplane Engines. Int. J. Aerosp. Eng. 2018, 2018, 3756278. [Google Scholar] [CrossRef]
- Gil-García, J.M.; Solís, A.; Aranguren, G.; Zubia, J. An Architecture for On-Line Measurement of the Tip Clearance and Time of Arrival of a Bladed Disk of an Aircraft Engine. Sensors 2017, 17, 2162. [Google Scholar] [CrossRef]
- García, I.; Zubia, J.; Beloki, J.; Arrue, J.; Durana, G.; Aldabaldetreku, G. Optical Tip Clearance Measurements as a Tool for Rotating Disk Characterization. Sensors 2017, 17, 165. [Google Scholar] [CrossRef] [PubMed]
- García, I.; Przysowa, R.; Amorebieta, J.; Zubia, J. Tip-Clearance Measurement in the First Stage of the Compressor of an Aircraft Engine. Sensors 2016, 16, 1897. [Google Scholar] [CrossRef] [PubMed]
- Sheard, A.G. Blade by Blade Tip Clearance Measurement. Int. J. Rotating Mach. 2011, 2011, 516128. [Google Scholar] [CrossRef]
- Lavagnoli, S.; Paniagua, G.; Tulkens, M.; Steiner, A. High-Fidelity Rotor Gap Measurements in a Short-Duration Turbine Rig. Mech. Syst. Signal. Process. 2012, 27, 590–603. [Google Scholar] [CrossRef]
- Lawson, C.P.; Ivey, P.C. Tubomachinery blade vibration amplitude measurement through tip timing with capacitance tip clearance probes. Sens. Actuators A 2005, 118, 14–24. [Google Scholar] [CrossRef]
- Lawson, C. Capacitance Tip Timing Techniques in Tas Turbines. PhD Thesis, Cranfield University, Cranfield, England, 2003. [Google Scholar]
- Kubín, Z.; Mísek, T.; Hlous, J.; Dadaková, T.; Kellner, J.; Bachorec, T. Calibration of blade tip-timing sensor for shrouded 40” last stage blade. Mech. Syst. Signal. Process. 2018, 108, 88–98. [Google Scholar] [CrossRef]
- Jamia, N.; Friswell, M.I.; El-Borgi, S.; Fernandes, R. Simulating eddy current sensor outputs for blade tip timing. Adv. Mech. Eng. 2018, 10, 1–12. [Google Scholar] [CrossRef]
- Han, Y.; Zhong, C.; Zhu, X.; Zhe, J. Online monitoring of dynamic tip clearance of turbine blades in high temperature environments. Meas. Sci. Technol. 2018, 29, 045102. [Google Scholar] [CrossRef]
- Zhang, J.; Duan, F.; Niu, G.; Jiang, J.; Li, J. A Blade Tip Timing Method Based on a Microwave Sensor. Sensors 2017, 17, 1097. [Google Scholar] [CrossRef]
- Maslovskiy, A. Microwave Turbine Tip Clearance Measuring System for Gas Turbine Engines. ASME Turbo Expo 2008: Power for Land, Sea, and Air 2008, 2, 105–114. [Google Scholar]
- Woike, M.R.; Roeder, J.W.; Hughes, C.E.; Bencic, T.J. Testing of a Microwave Blade Tip Clearance Sensor at the NASA Glenn Research Center. In Proceedings of the 47th AIAA Aerospace Sciences Meeting including The New Horizons Forum and Aerospace Exposition, Orlando, FL, USA, 5–8 January 2009. [Google Scholar]
- Neumann, M.; Dreier, F.; Günther, P.; Wilke, U.; Fischer, A.; Büttner, L.; Holzinger, F.; Schiffer, H.P.; Czarske, J. A laser-optical sensor system for blade vibration detection of high-speed compressors. Mech. Syst. Signal. Process. 2015, 64–65, 337–346. [Google Scholar] [CrossRef]
- García, I.; Beloki, J.; Zubia, J.; Aldabaldetreku, G.; Illarramendi, M.A.; Jiménez, F. An Optical Fiber Bundle Sensor for Tip Clearance and Tip Timing Measurements in a Turbine Rig. Sensors 2013, 13, 7385–7398. [Google Scholar] [CrossRef] [PubMed]
- Ye, D.; Duan, F.; Guo, H.; Li, Y.; Wang, K. Turbine blade tip clearance measurement using a skewed dual-beam fiber optic sensor. Opt. Eng. 2012, 51, 081514. [Google Scholar] [CrossRef]
- García, I.; Zubia, J.; Durana, G.; Aldabaldetreku, G.; Illarramendi, M.A.; Villatoro, J. Optical Fiber Sensors for Aircraft Structural Health Monitoring. Sensors 2015, 15, 15494–15519. [Google Scholar] [CrossRef]
- García-Martín, J.; Gómez-Gil, J.; Vázquez-Sánchez, E. Non-Destructive Techniques Based on Eddy Current Testing. Sensors 2011, 11, 2525–2565. [Google Scholar] [CrossRef] [PubMed]
- Wang, W.; Shao, H.; Chen, L.; Song, H. Investigation on the Turbine Blade Tip Clearance Monitoring Based on Eddy Current Pulse-Trigger Method. In Proceedings of the ASME Turbo Expo 2016: Turbomachinery Technical Conference and Exposition, Seoul, Korea, 13–17 June 2016. [Google Scholar]
- Chivers, J. A Technique for the Measurement of Blade Tip Clearance in a Gas Turbine. In Proceedings of the 25th Joint Propulsion Conference, Monterey, CA, USA, 10–12 July 1989. [Google Scholar]
- Rosado, L.S.; Janeiro, F.M.; Ramos, P.M.; Piedade, M. Defect Characterization with Eddy Current Testing Using Nonlinear-Regression Feature Extraction and Artificial Neural Networks. IEEE Trans. Instrum. Meas. 2013, 62, 1207–1214. [Google Scholar] [CrossRef]
- Yaxiang, Y. Optimization theory and method; Science Press: Beijing, China, 1997. [Google Scholar]
- Friswell, M.I.; Penny, J.E.T.; Garvey, S.D.; Lees, A.W. Dynamics of Rotating Machines; Cambridge University Press: New York, NY, USA, 2010. [Google Scholar]
- Li, Y.; Liang, F.; Zhou, Y.; Ding, S.; Du, F.; Zhou, M.; Bi, J.; Cai, Y. Numerical and experimental investigation on thermohydrodynamic performance of turbocharger rotor-bearing system. Appl. Therm. Eng. 2017, 121, 27–38. [Google Scholar] [CrossRef]
- Yang, Z.; Radzienski, M.; Kudela, P.; Ostachowicz, W. Fourier spectral-based modal curvature analysis and its application to damage detection in beams. Mech. Syst. Signal. Process. 2017, 84, 763–781. [Google Scholar] [CrossRef]
- Yang, Z.; Radzienski, M.; Kudela, P.; Ostachowicz, W. Two-dimensional modal curvature estimation via Fourier spectral method for damage detection. Compos. Struct. 2016, 148, 155–167. [Google Scholar] [CrossRef]
- Kypuros, J.A.; Melcher, K.J. A Reduced Model for Prediction of Thermal and Rotational Effects on Turbine Tip Clearance; Technical Report NASA/TM—2003-212226; Glenn Research Center: Cleveland, OH, USA, March 2003.
- Press, W.H.; Teukolsky, S.A.; Vetterling, W.T.; Flannery, B.P. Numerical Recipes, 3rd ed.; Cambridge University Press: New York, NY, USA, 2007. [Google Scholar]















| Blade Tip Clearance (BTC)/mm | /V | /( s) | / | / (n = 5000) | / (n = 15,000) | |
|---|---|---|---|---|---|---|
| 0.40 | 4.693 | 0.1422 | 0.9990 | 1.7319 | –1.5112 | –7.9378 |
| 0.45 | 4.676 | 0.2119 | 0.9991 | 2.8799 | –3.6381 | –11.5880 |
| 0.50 | 4.604 | 0.4177 | 0.9997 | 5.5075 | –8.4215 | –9.8306 |
| 0.55 | 4.517 | 0.7667 | 0.9997 | 9.2653 | –10.9046 | –7.5369 |
| 0.60 | 4.289 | 1.3590 | 0.9990 | 15.573 | –12.1230 | –7.3601 |
| Item | Specification |
|---|---|
| Turbojet engine | Compressor inlet-11 full blades, static BTC = 0.55 mm |
| Eddy current sensor | Response frequency: 25 kHz |
| Laser sensor | Response frequency: 5 kHz |
| Accelerometer | 50 mV/g |
| Data acquisition device | 2.5 MS/s |
© 2019 by the authors. Licensee MDPI, Basel, Switzerland. This article is an open access article distributed under the terms and conditions of the Creative Commons Attribution (CC BY) license (http://creativecommons.org/licenses/by/4.0/).
Share and Cite
Wu, J.; Wen, B.; Zhou, Y.; Zhang, Q.; Ding, S.; Du, F.; Zhang, S. Eddy Current Sensor System for Blade Tip Clearance Measurement Based on a Speed Adjustment Model. Sensors 2019, 19, 761. https://doi.org/10.3390/s19040761
Wu J, Wen B, Zhou Y, Zhang Q, Ding S, Du F, Zhang S. Eddy Current Sensor System for Blade Tip Clearance Measurement Based on a Speed Adjustment Model. Sensors. 2019; 19(4):761. https://doi.org/10.3390/s19040761
Chicago/Turabian StyleWu, Jiang, Bin Wen, Yu Zhou, Qi Zhang, Shuiting Ding, Farong Du, and Shuguang Zhang. 2019. "Eddy Current Sensor System for Blade Tip Clearance Measurement Based on a Speed Adjustment Model" Sensors 19, no. 4: 761. https://doi.org/10.3390/s19040761
APA StyleWu, J., Wen, B., Zhou, Y., Zhang, Q., Ding, S., Du, F., & Zhang, S. (2019). Eddy Current Sensor System for Blade Tip Clearance Measurement Based on a Speed Adjustment Model. Sensors, 19(4), 761. https://doi.org/10.3390/s19040761

