Sign in to use this feature.

Years

Between: -

Subjects

remove_circle_outline
remove_circle_outline
remove_circle_outline
remove_circle_outline
remove_circle_outline

Journals

Article Types

Countries / Regions

Search Results (20)

Search Parameters:
Keywords = ecogeographical variation

Order results
Result details
Results per page
Select all
Export citation of selected articles as:
16 pages, 2508 KB  
Article
Eyespot Variation in the Meadow Brown Butterfly, Maniola jurtina (Insecta: Lepidoptera) in Diverse Climatic Conditions
by Tina Klenovšek, Predrag Jakšić and Franc Janžekovič
Diversity 2025, 17(10), 675; https://doi.org/10.3390/d17100675 - 26 Sep 2025
Abstract
Eyespots are functionally complex and highly variable elements of butterfly wing patterns. The Meadow Brown, Maniola jurtina, is a classic model species studied for variation in eyespots as an index of evolutionary divergence and adaptation. However, the role of fine-scale ecogeographic conditions [...] Read more.
Eyespots are functionally complex and highly variable elements of butterfly wing patterns. The Meadow Brown, Maniola jurtina, is a classic model species studied for variation in eyespots as an index of evolutionary divergence and adaptation. However, the role of fine-scale ecogeographic conditions on eyespot variation remains poorly understood. In this study, we examined hindwing eyespot number, distribution, and combination patterns in male M. jurtina across climatically and topographically diverse north-western Balkans. Compared to the species average, males in this region displayed greater spottiness and phenotypic diversity. While the typical two-spot phenotype was dominant and stable, in some populations, three-spotted and even four-spotted males occurred at similar frequencies. Rare six-spotted individuals were recorded only at mountain localities above 1200 m. Geographic and climatic factors together influenced this variation: higher altitudes and cooler, thermally stable environments promoted increased eyespot number and greater phenotypic plasticity than warmer, more variable environments. This pattern contrasts with large-scale latitudinal trends previously described for the species, emphasizing the importance of local climatic heterogeneity. Our findings suggest the north-western Balkans as a possible transitional zone where environmental complexity promotes elevated eyespot variability, contributing to the understanding of adaptive morphological plasticity in M. jurtina. Full article
(This article belongs to the Section Animal Diversity)
Show Figures

Figure 1

16 pages, 3897 KB  
Article
Allelic Variations in Phenology Genes in Club Wheat (Triticum compactum) and Their Association with Heading Date
by Bárbara Mata and Adoración Cabrera
Int. J. Mol. Sci. 2025, 26(10), 4875; https://doi.org/10.3390/ijms26104875 - 19 May 2025
Viewed by 583
Abstract
The allelic diversity within genes controlling the vernalization requirement (VRN1) and photoperiod response (PPD1) determines the ability of wheat to adapt to a wide range of environmental conditions and influences grain yield. In this study, allelic variations at the [...] Read more.
The allelic diversity within genes controlling the vernalization requirement (VRN1) and photoperiod response (PPD1) determines the ability of wheat to adapt to a wide range of environmental conditions and influences grain yield. In this study, allelic variations at the VRN-A1, VRN-B1, VRN-D1 and PPD-D1 genes were studied for 89 accessions of Triticum compactum from different eco-geographical regions of the world. The collection was evaluated for heading date in both field and greenhouse experiments under a long photoperiod and without vernalization. Based on heading date characteristics, 52 (58.4%) of the genotypes had a spring growth habit, and all of them carried at least one dominant VRN1 allele, while 37 (41.6%) accessions had a winter growth habit and carried the triple recessive allele combination. The photoperiod-sensitive Ppd-D1b allele was detected in 85 (95.5%) accessions and the insensitive Ppd-D1a allele in four (4.5%) accessions. A total of 10 phenology gene profiles (haplotypes) were observed at four major genes in the T. compactum germplasm collection. The LSD test revealed significant differences in the mean heading date among the different spring phenology gene profiles, both in greenhouse and field conditions. In addition, 21 microsatellite markers (simple sequence repeats, SSRs) were used to assess the genetic diversity in the collection. The 21 SSR markers amplified a total of 183 alleles across all the genotypes, with a mean of 3.2 alleles per locus. The polymorphic information content ranged from 0.49 to 0.94, with a mean of 0.84. The results of this study may be useful for both T. compactum and common wheat breeding programs as a source of agronomic traits. Full article
(This article belongs to the Collection Genetics and Molecular Breeding in Plants)
Show Figures

Figure 1

20 pages, 4132 KB  
Article
Morphological Variation in the Striped Field Mouse Across Three Countries
by Linas Balčiauskas, Alexander Csanády, Michal Stanko, Uudo Timm and Laima Balčiauskienė
Animals 2025, 15(3), 452; https://doi.org/10.3390/ani15030452 - 6 Feb 2025
Cited by 2 | Viewed by 1150
Abstract
We examined the morphological variation in the striped field mouse (Apodemus agrarius) along south–north and west–east geographic gradients in Europe (Slovakia, Lithuania, and Estonia). Data collected over several decades (1980s–2020s) were analyzed, focusing on five traits: body mass, body length, tail [...] Read more.
We examined the morphological variation in the striped field mouse (Apodemus agrarius) along south–north and west–east geographic gradients in Europe (Slovakia, Lithuania, and Estonia). Data collected over several decades (1980s–2020s) were analyzed, focusing on five traits: body mass, body length, tail length, hind foot length, and ear length, with GLM models assessing the influence of latitude, longitude, age, sex, and decade. Results revealed strong adherence to ecogeographic rules. Findings suggest that body size increased toward the north, following Bergmann’s rule, which links larger size to better heat conservation in colder climates. Conversely, appendage sizes (e.g., tail, ear) decreased, aligning with Allen’s rule to minimize heat loss. Longitudinal gradients revealed reductions in body length and appendages toward the east, potentially reflecting climatic and habitat variability. Temporal trends highlighted dynamic changes in body size, with increases in Slovakia and mixed trends in Lithuania and Estonia. Sex-based dimorphism varied by country and decade, with females often heavier and males displaying longer appendages. The findings underscore the influence of geographic and temporal factors on morphological variation, providing critical insights into the adaptability of A. agrarius. These results contribute to understanding species’ ecological plasticity and evolutionary responses. Full article
(This article belongs to the Special Issue Small Mammals as Contributors to Terrestrial Ecosystem Functioning)
Show Figures

Figure 1

23 pages, 10381 KB  
Article
Modeling and Application of Drought Monitoring with Adaptive Spatial Heterogeneity Using Eco–Geographic Zoning: A Case Study of Drought Monitoring in Yunnan Province, China
by Quanli Xu, Shan Li, Junhua Yi and Xiao Wang
Water 2024, 16(17), 2500; https://doi.org/10.3390/w16172500 - 3 Sep 2024
Cited by 2 | Viewed by 1430
Abstract
Drought, characterized by frequent occurrences, an extended duration, and a wide range of destruction, has become one of the natural disasters posing a significant threat to both socioeconomic progress and agricultural livelihoods. Large-scale geographical environments often exhibit obvious spatial heterogeneity, leading to significant [...] Read more.
Drought, characterized by frequent occurrences, an extended duration, and a wide range of destruction, has become one of the natural disasters posing a significant threat to both socioeconomic progress and agricultural livelihoods. Large-scale geographical environments often exhibit obvious spatial heterogeneity, leading to significant spatial differences in drought’s development and outcomes. However, traditional drought monitoring models have not taken into account the impact of regional spatial heterogeneity on drought, resulting in evaluation results that do not match the actual situation. In response to the above-mentioned issues, this study proposes the establishment of ecological–geographic zoning to adapt to the spatially stratified heterogeneous characteristics of large-scale drought monitoring. First, based on the principles of ecological and geographical zoning, an appropriate index system was selected to carry out ecological and geographical zoning for Yunnan Province. Second, based on the zoning results and using data from NASA’s Moderate Resolution Imaging Spectroradiometer (MODIS) and the Tropical Rainfall Measuring Mission (TRMM) 3B43, the vegetation condition index (VCI), the temperature condition index (TCI), the precipitation condition index (TRCI), and three topographic factors including the digital elevation model (DEM), slope (SLOPE), and aspect (ASPECT) were selected as model parameters. Multiple linear regression models were then used to establish integrated drought monitoring frameworks at different eco–geographical zoning scales. Finally, the standardized precipitation evapotranspiration index (SPEI) was used to evaluate the monitoring effects of the model, and the spatiotemporal variation patterns and characteristics of winter and spring droughts in Yunnan Province from 2008–2019 were further analyzed. The results show that (1) compared to the traditional non-zonal models, the drought monitoring model constructed based on ecological–geographic zoning has a higher correlation and greater accuracy with the SPEI and (2) Yunnan Province experiences periodic and seasonal drought patterns, with spring being the peak period of drought occurrence and moderate drought and light drought being the main types of drought in Yunnan Province. Therefore, we believe that ecological–geographic zoning can better adapt to geographical spatial heterogeneity characteristics, and the zonal drought monitoring model constructed can more effectively identify the actual occurrence of drought in large regions. This research finding can provide reference for the formulation of drought response policies in large-scale regions. Full article
(This article belongs to the Special Issue Drought Risk Assessment and Human Vulnerability in the 21st Century)
Show Figures

Figure 1

19 pages, 4524 KB  
Article
Spatial and Temporal Evolution Characteristics of Water Conservation in the Three-Rivers Headwater Region and the Driving Factors over the Past 30 Years
by Yao Pan and Yunhe Yin
Atmosphere 2023, 14(9), 1453; https://doi.org/10.3390/atmos14091453 - 18 Sep 2023
Cited by 3 | Viewed by 1866
Abstract
The Three-Rivers Headwater Region (TRHR), located in the hinterland of the Tibetan Plateau, serves as the “Water Tower of China”, providing vital water conservation (WC) services. Understanding the variations in WC is crucial for locally tailored efforts to adapt to climate change. This [...] Read more.
The Three-Rivers Headwater Region (TRHR), located in the hinterland of the Tibetan Plateau, serves as the “Water Tower of China”, providing vital water conservation (WC) services. Understanding the variations in WC is crucial for locally tailored efforts to adapt to climate change. This study improves the Integrated Valuation of Ecosystem Services and Trade-offs (InVEST) water yield model by integrating long-term time series of vegetation data, emphasizing the role of interannual vegetation variation. This study also analyzes the influences of various factors on WC variations. The results show a significant increase in WC from 1991 to 2020 (1.4 mm/yr, p < 0.05), with 78.17% of the TRHR showing improvement. Precipitation is the primary factor driving the interannual variations in WC. Moreover, distinct interactions play dominant roles in WC across different eco-geographical regions. In the north-central and western areas, the interaction between annual precipitation and potential evapotranspiration has the highest influence. Conversely, the interaction between annual precipitation and vegetation has the greatest impact in the eastern and central-southern areas. This study provides valuable insights into the complex interactions between the land and atmosphere of the TRHR, which are crucial for enhancing the stability of the ecosystem. Full article
(This article belongs to the Special Issue Land-Atmosphere Interactions over the Tibetan Plateau)
Show Figures

Figure 1

22 pages, 2662 KB  
Article
One Size Fits All—Venomics of the Iberian Adder (Vipera seoanei, Lataste 1878) Reveals Low Levels of Venom Variation across Its Distributional Range
by Ignazio Avella, Maik Damm, Inês Freitas, Wolfgang Wüster, Nahla Lucchini, Óscar Zuazo, Roderich D. Süssmuth and Fernando Martínez-Freiría
Toxins 2023, 15(6), 371; https://doi.org/10.3390/toxins15060371 - 1 Jun 2023
Cited by 15 | Viewed by 4640
Abstract
European vipers (genus Vipera) are medically important snakes displaying considerable venom variation, occurring at different levels in this group. The presence of intraspecific venom variation, however, remains understudied in several Vipera species. Vipera seoanei is a venomous snake endemic to the northern [...] Read more.
European vipers (genus Vipera) are medically important snakes displaying considerable venom variation, occurring at different levels in this group. The presence of intraspecific venom variation, however, remains understudied in several Vipera species. Vipera seoanei is a venomous snake endemic to the northern Iberian Peninsula and south-western France, presenting notable phenotypic variation and inhabiting several diverse habitats across its range. We analysed the venoms of 49 adult specimens of V. seoanei from 20 localities across the species’ Iberian distribution. We used a pool of all individual venoms to generate a V. seoanei venom reference proteome, produced SDS-PAGE profiles of all venom samples, and visualised patterns of variation using NMDS. By applying linear regression, we then assessed presence and nature of venom variation between localities, and investigated the effect of 14 predictors (biological, eco-geographic, genetic) on its occurrence. The venom comprised at least 12 different toxin families, of which five (i.e., PLA2, svSP, DI, snaclec, svMP) accounted for about 75% of the whole proteome. The comparative analyses of the SDS-PAGE venom profiles showed them to be remarkably similar across the sampled localities, suggesting low geographic variability. The regression analyses suggested significant effects of biological and habitat predictors on the little variation we detected across the analysed V. seoanei venoms. Other factors were also significantly associated with the presence/absence of individual bands in the SDS-PAGE profiles. The low levels of venom variability we detected within V. seoanei might be the result of a recent population expansion, or of processes other than directional positive selection. Full article
(This article belongs to the Section Animal Venoms)
Show Figures

Figure 1

16 pages, 2731 KB  
Article
Morphological and Eco-Geographic Variation in Algerian Wild Olives
by Wahiba Falek, Isabella Mascio, Susanna Gadaleta, Valentina Fanelli, Sakina Bechkri, Douadi Khelifi, Monica Marilena Miazzi and Cinzia Montemurro
Plants 2022, 11(14), 1803; https://doi.org/10.3390/plants11141803 - 8 Jul 2022
Cited by 8 | Viewed by 2896
Abstract
Algerian wild olives can represent an important resource for cultivated olive breeding, since they are characterized by great morphological variability. Moreover, they grow in different bioclimatic environments, including dry and hot climates, making the collections of wild olives a good source of abiotic [...] Read more.
Algerian wild olives can represent an important resource for cultivated olive breeding, since they are characterized by great morphological variability. Moreover, they grow in different bioclimatic environments, including dry and hot climates, making the collections of wild olives a good source of abiotic stress resistance traits. Our study aimed to investigate the morphological diversity of 175 wild olive trees collected in North Algeria along with a wide range of different bioclimatic habitats for studying traits of olive accessions in relation to their different ecogeographical parameters. Wild olive trees were found in five different bioclimates areas spanning from humid to Saharan areas. They showed high variation in all traits, in particular fruit and stone weight, which expressed the highest coefficient of variation, and a high positive correlation between fruit weight/width. Cluster analysis separated the samples into two groups mostly based on fruit and stone size, while no relationship was observed with the area of sampling. Only the Saharan samples showed significantly different foliar and fruit characteristics compared to samples from other bioclimatic areas. Full article
(This article belongs to the Special Issue Olive Diversity and Conservation)
Show Figures

Figure 1

13 pages, 3644 KB  
Article
Emmer Wheat Eco-Geographic and Genomic Congruence Shapes Phenotypic Performance under Mediterranean Climate
by Aviya Fadida-Myers, Dana Fuerst, Aviv Tzuberi, Shailesh Yadav, Kamal Nashef, Rajib Roychowdhury, Carolina Paola Sansaloni, Sariel Hübner and Roi Ben-David
Plants 2022, 11(11), 1460; https://doi.org/10.3390/plants11111460 - 30 May 2022
Cited by 9 | Viewed by 3220
Abstract
Emmer wheat (Triticum turgidum ssp. dicoccum) is one of the world’s oldest domesticated crops, and it harbors a potentially rich reservoir of agronomic and nutritional quality trait variations. The growing global demand for plant-based health-food niche markets has promoted new commercial [...] Read more.
Emmer wheat (Triticum turgidum ssp. dicoccum) is one of the world’s oldest domesticated crops, and it harbors a potentially rich reservoir of agronomic and nutritional quality trait variations. The growing global demand for plant-based health-food niche markets has promoted new commercial interest in ancient grains, including Emmer wheat. Although T. dicoccum can also perform well under harsh environments, its cultivation along the Mediterranean agro-ecosystems is sparse. Here, we analyze a unique tetraploid wheat collection (n = 121) representing a wide geographic range of Emmer accessions, using 9897 DArTseq markers and on-field phenotypic characterization to quantify the extent of diversity among populations and the interactions between eco-geographic, genetic, and phenotypic attributes. Population genomic inferences based on the DArTseq data indicated that the collection could be split into four distinguished clusters in accordance with their eco-geographic origin although significant phenotypic variation was observed within clusters. Superior early vegetative vigor, shorter plant height, and early phenology were observed among emmer wheat accessions from Ethiopia compared to accessions from northern regions. This adaptive advantage highlights the potential of emmer wheat as an exotic germplasm for wheat improvement through breeding. The direct integration of such germplasm into conventional or organic farming agro-systems under the Mediterranean basin climate is also discussed. Full article
(This article belongs to the Special Issue Advances in Genetics and Breeding of Grain Crops)
Show Figures

Figure 1

19 pages, 1563 KB  
Article
Identification of New QTLs for Dietary Fiber Content in Aegilops biuncialis
by László Ivanizs, Ilaria Marcotuli, Marianna Rakszegi, Balázs Kalapos, Kitti Szőke-Pázsi, András Farkas, Edina Türkösi, Eszter Gaál, Klaudia Kruppa, Péter Kovács, Éva Darkó, Éva Szakács, Mahmoud Said, Petr Cápal, Jaroslav Doležel, Agata Gadaleta and István Molnár
Int. J. Mol. Sci. 2022, 23(7), 3821; https://doi.org/10.3390/ijms23073821 - 30 Mar 2022
Cited by 11 | Viewed by 3144
Abstract
Grain dietary fiber content is an important health-promoting trait of bread wheat. A dominant dietary fiber component of wheat is the cell wall polysaccharide arabinoxylan and the goatgrass Aegilops biuncialis has high β-glucan content, which makes it an attractive gene source to develop [...] Read more.
Grain dietary fiber content is an important health-promoting trait of bread wheat. A dominant dietary fiber component of wheat is the cell wall polysaccharide arabinoxylan and the goatgrass Aegilops biuncialis has high β-glucan content, which makes it an attractive gene source to develop wheat lines with modified fiber composition. In order to support introgression breeding, this work examined genetic variability in grain β-glucan, pentosan, and protein content in a collection of Ae. biuncialis. A large variation in grain protein and edible fiber content was revealed, reflecting the origin of Ae. biuncialis accessions from different eco-geographical habitats. Association analysis using DArTseq-derived SNPs identified 34 QTLs associated with β-glucan, pentosan, water-extractable pentosan, and protein content. Mapping the markers to draft chromosome assemblies of diploid progenitors of Ae. biuncialis underlined the role of genes on chromosomes 1Mb, 4Mb, and 5Mb in the formation of grain β-glucan content, while other QTLs on chromosome groups 3, 6, and 1 identified genes responsible for total- and water-extractable pentosan content. Functional annotation of the associated marker sequences identified fourteen genes, nine of which were identified in other monocots. The QTLs and genes identified in the present work are attractive targets for chromosome-mediated gene transfer to improve the health-promoting properties of wheat-derived foods. Full article
(This article belongs to the Special Issue New Breeding Technologies in Grasses)
Show Figures

Figure 1

18 pages, 2184 KB  
Article
Resistance to Leaf and Yellow Rust in a Collection of Spanish Bread Wheat Landraces and Association with Ecogeographical Variables
by Fernando Martínez-Moreno, Patricia Giraldo, Cristina Nieto and Magdalena Ruiz
Agronomy 2022, 12(1), 187; https://doi.org/10.3390/agronomy12010187 - 13 Jan 2022
Cited by 12 | Viewed by 2923
Abstract
A collection of 84 bread wheat Spanish landraces were inoculated with three isolates of leaf rust and one of yellow rust at the seedling stage in controlled conditions. The latency period of leaf rust on the susceptible landraces was also assessed. An extended [...] Read more.
A collection of 84 bread wheat Spanish landraces were inoculated with three isolates of leaf rust and one of yellow rust at the seedling stage in controlled conditions. The latency period of leaf rust on the susceptible landraces was also assessed. An extended collection of 149 landraces was planted in three locations in field trials to evaluate the naturally occurring leaf and yellow rust severity. Several landraces (36) were resistant to one leaf rust isolate at the seedling stage, but only one was resistant to all three isolates. Landraces resistant to PG14 leaf rust isolate originated from areas with higher precipitation and more uniform temperatures. Many resistant landraces were from the north-west zone of Spain, a region with high precipitation and uniform temperatures. Results from the field trials also confirmed this trend. Landraces from the north-west also possessed a longer latency period of leaf rust, an important component of partial resistance. Regarding yellow rust, 16 landraces showed a lower disease severity in the seedling tests. Again, the resistant landraces mostly originated from areas with higher precipitation (especially in winter) and more uniform temperature. Full article
(This article belongs to the Special Issue Utilizing Genetic Resources for Agronomic Traits Improvement)
Show Figures

Figure 1

14 pages, 2158 KB  
Article
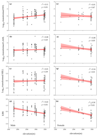
Ecogeographical Adaptation Revisited: Morphological Variations in the Plateau Brown Frog along an Elevation Gradient on the Qinghai–Tibetan Plateau
by Ka Wah Leung, Shengnan Yang, Xiaoyi Wang, Ke Tang and Junhua Hu
Biology 2021, 10(11), 1081; https://doi.org/10.3390/biology10111081 - 22 Oct 2021
Cited by 11 | Viewed by 3993
Abstract
Several anurans have broad elevational and latitudinal distribution ranges; distinct species and populations may face various environmental and selection stresses. Due to their environmental sensitivity, adaptation is critical for the long-term persistence of anurans. Previous studies have tried to identify the ecogeographical pattern [...] Read more.
Several anurans have broad elevational and latitudinal distribution ranges; distinct species and populations may face various environmental and selection stresses. Due to their environmental sensitivity, adaptation is critical for the long-term persistence of anurans. Previous studies have tried to identify the ecogeographical pattern and its mechanism in anurans, suggesting different patterns, but the related explanatory mechanisms are yet to be generally supported and are suggested to be complicated. To explore the elusive mechanisms, we studied the morphological variation of the plateau brown frog (Rana kukunoris) along an elevational gradient on the eastern margin of the Qinghai–Tibetan Plateau. Using body size, extremity length, and the ratio between them (extremities/body size) as testing indicators, we examined potential ecogeographical adaptations and investigated how environmental and biological factors could shape the morphological development in R. kukunoris. We found that males and females showed different variations in body size and extremities along the elevational gradient, whereas both of them showed a decreasing extremities/body size ratio along elevation. Together with the strong correlations between environmental and biological factors and the morphometrics, we identified ecogeographical adaptation and a sexual difference in the selective pressures on the extremities and body size of the plateau brown frog. Our results imply that geographic variations in anuran morphological traits should be understood as an outcome of environmental and biological factors. Furthermore, ecogeographical adaptation in anurans can manifest as an interactive change between body size and extremities. Full article
(This article belongs to the Section Ecology)
Show Figures

Figure 1

23 pages, 3172 KB  
Article
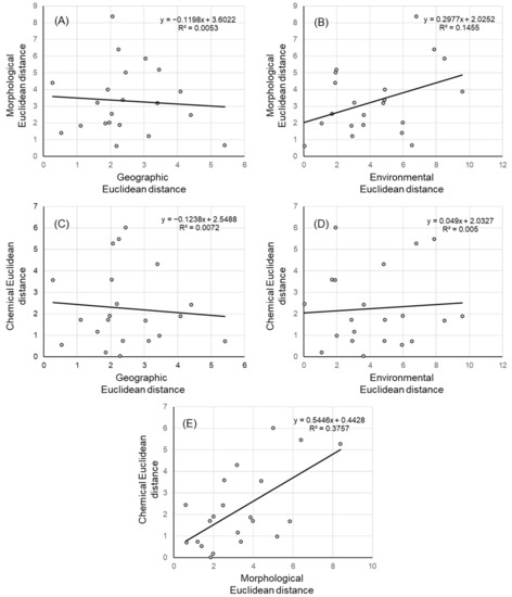
Morphological and Chemical Diversity and Antioxidant Capacity of the Service Tree (Sorbus domestica L.) Fruits from Two Eco-Geographical Regions
by Igor Poljak, Nada Vahčić, Zlatko Liber, Katarina Tumpa, Valentino Pintar, Ivana Zegnal, Antonio Vidaković, Bernarda Valković, Davorin Kajba and Marilena Idžojtić
Plants 2021, 10(8), 1691; https://doi.org/10.3390/plants10081691 - 17 Aug 2021
Cited by 19 | Viewed by 3556
Abstract
Service tree, Sorbus domestica L., is a rare and neglected wild fruit tree species of southern and central Europe. Being distributed in different eco-geographical regions, with fragmented and low-density populations, S. domestica represents an interesting model case for investigating patterns of within- [...] Read more.
Service tree, Sorbus domestica L., is a rare and neglected wild fruit tree species of southern and central Europe. Being distributed in different eco-geographical regions, with fragmented and low-density populations, S. domestica represents an interesting model case for investigating patterns of within- and between-population diversity at geographical and environmental scales. This study aimed to analyze the proximate composition, antioxidant activity, and morphometric fruit characteristics. We examined the diversity and population divergences of 49 S. domestica individuals originating from seven populations across continental and Mediterranean eco-geographical regions. In addition, tests of isolation by distance and environment were performed to detect the magnitude of divergence explained by geographic and environmental variables. Significant differences between the studied populations were found in almost all of the studied morphometric and chemical fruit characteristics. The studied service tree populations were characterized by high phenotypic variation despite the low number of trees per population. Model-based population structure analysis using morphometric and chemical fruit characteristics revealed three groups of service tree populations. We concluded that non-effective pollen and seed dispersal along with genetic drift and specific environmental factors resulted in a distinct phenotype with a specific chemical composition in the isolated island population. In addition, a pattern of isolation by the environment was revealed. We infer that morphological and chemical differences between the studied populations in the true service tree from different eco-geographical regions were mediated by adaptation to the specific environmental conditions. Full article
(This article belongs to the Section Plant Ecology)
Show Figures

Figure 1

18 pages, 1419 KB  
Article
Evaluation of Leaf Rust Resistance in the Spanish Core Collection of Tetraploid Wheat Landraces and Association with Ecogeographical Variables
by Fernando Martínez-Moreno, Patricia Giraldo, María del Mar Cátedra and Magdalena Ruiz
Agriculture 2021, 11(4), 277; https://doi.org/10.3390/agriculture11040277 - 24 Mar 2021
Cited by 12 | Viewed by 3139
Abstract
Spain has a great landrace diversity of the subspecies of the tetraploid species Triticum turgidum L., namely, durum (or durum wheat), turgidum (or rivet wheat) and dicoccon (or domesticated emmer wheat). These wheats have to confront several foliar diseases such as the leaf [...] Read more.
Spain has a great landrace diversity of the subspecies of the tetraploid species Triticum turgidum L., namely, durum (or durum wheat), turgidum (or rivet wheat) and dicoccon (or domesticated emmer wheat). These wheats have to confront several foliar diseases such as the leaf rust. In this work, a core collection of 94 landraces of tetraploid wheats were inoculated with three leaf rust isolates. Besides, a larger collection (of 192 accessions) was evaluated in the field. Although the majority of landraces were susceptible, approximately 20% were resistant, especially domesticated emmer wheat landraces. Several variables, such as late heading and red coat seeds were associated to resistant accessions. Regarding ecogeographic variables, a higher rainfall from October to February and more uniform temperature were found in the area of origin of resistant landraces. Based on these results, several resistant landraces were identified that potentially may be used in durum wheat breeding programs. In addition, a predictive model was elaborated to develop smaller subsets for future screening with a higher hit rate for rust resistance. Full article
(This article belongs to the Special Issue Genetics, Genomics, and Genetic Improvement of Wheat)
Show Figures

Graphical abstract

26 pages, 5583 KB  
Article
Multifaceted Analysis of Barley Landraces Collected during Gene Bank Expeditions in Poland at the End of the 20th Century
by Joanna Dziurdziak, Paulina Bolc, Sylwia Wlodarczyk, Marta Puchta, Grzegorz Gryziak, Wiesław Podyma and Maja Boczkowska
Agronomy 2020, 10(12), 1958; https://doi.org/10.3390/agronomy10121958 - 12 Dec 2020
Cited by 5 | Viewed by 3415
Abstract
The extensive genetic diversity of crop landraces deposited in gene banks is an important part of future breeding programs. However, in order to exploit this potential, it is necessary both to preserve germplasm and to collect and share a wide range of data [...] Read more.
The extensive genetic diversity of crop landraces deposited in gene banks is an important part of future breeding programs. However, in order to exploit this potential, it is necessary both to preserve germplasm and to collect and share a wide range of data on its characteristics and evaluation. The main objective of the presented paper was to evaluate the diversity of spring barley landraces originating from Poland. Historical data from standard field evaluation of agronomic traits, genetic data obtained from Inter Simple Sequence Repeat (ISSR) analysis and grain morphometric data were used. The analysis showed that groups of hulled and hulls barley accessions were substantially separate. Genetic and grain morphological variation did not show any relationship with eco-geographical conditions in the place of origin. There was also no clear division into forms with two- and six-row ears. The combination of the results of various types of analyzes describing this collection makes us believe that its chances of being used in research and breeding will increase. Full article
Show Figures

Figure 1

11 pages, 1811 KB  
Article
Soybean Response to Weather and Climate Conditions in the Krasnodar and Primorye Territories of Russia over the Past Decades
by Liubov Yu. Novikova, Pavel P. Bulakh, Alexander Yu. Nekrasov and Irina V. Seferova
Agronomy 2020, 10(9), 1278; https://doi.org/10.3390/agronomy10091278 - 28 Aug 2020
Cited by 15 | Viewed by 4931
Abstract
In view of climate change and the active extension of soybean cultivation in Russia, the identification of yield-limiting factors has become a relevant task. The objective of this study was to identify the climatic factors associated with the variation in soybean productivity under [...] Read more.
In view of climate change and the active extension of soybean cultivation in Russia, the identification of yield-limiting factors has become a relevant task. The objective of this study was to identify the climatic factors associated with the variation in soybean productivity under the contrasting eco-geographical conditions of the Krasnodar (KR) and Primorye (PR) territories of Russia. An analysis of 424 soybean varieties from the global collection of the N.I. Vavilov Institute (VIR) at experimental stations in KR and PR in 1987–2005 showed that the soybean yields were higher and time to maturity was longer in KR than in PR, while the 1000 seed weight, on average, was irrelevant to the place of cultivation. The agrometeorological regression models of the observations in 1972–2017 of varieties accepted as the standards showed that the yield in PR was positively related to the sum of the temperatures above 10 °C and negatively related to precipitation in October, while in KR it was positively related to the hydrothermal coefficient. The stability of the soybean yield and of the time to maturity were higher in PR than in KR. Under the conditions of increasing temperatures and the absence of reliable trends for precipitation, a lack of moisture becomes a significant disadvantage for soybean in KR, while in PR conditions are improving. Full article
Show Figures

Figure 1

Back to TopTop