Sign in to use this feature.

Years

Between: -

Subjects

remove_circle_outline
remove_circle_outline
remove_circle_outline
remove_circle_outline
remove_circle_outline
remove_circle_outline
remove_circle_outline
remove_circle_outline
remove_circle_outline

Journals

remove_circle_outline
remove_circle_outline
remove_circle_outline
remove_circle_outline
remove_circle_outline
remove_circle_outline
remove_circle_outline
remove_circle_outline
remove_circle_outline
remove_circle_outline
remove_circle_outline
remove_circle_outline

Article Types

Countries / Regions

remove_circle_outline
remove_circle_outline
remove_circle_outline
remove_circle_outline
remove_circle_outline

Search Results (2,272)

Search Parameters:
Keywords = earth system model

Order results
Result details
Results per page
Select all
Export citation of selected articles as:
20 pages, 13767 KB  
Article
Geothermal Resource Exploration Using Multi-Temporal Infrared Remote Sensing Data Based on Annual Temperature Variation Model
by Meihua Wei, Guangzheng Jiang, Luyu Zou, Xiaoyi Wen and Zhenyu Li
Remote Sens. 2026, 18(9), 1362; https://doi.org/10.3390/rs18091362 - 28 Apr 2026
Abstract
Thermal infrared remote sensing offers a cost-effective means of regional geothermal reconnaissance, yet a fundamental challenge remains: isolating the weak geothermal surface signal (typically 1–3 °C) from dominant surface noise introduced by seasonal temperature cycles (annual amplitude > 20 °C), topographic variability, land [...] Read more.
Thermal infrared remote sensing offers a cost-effective means of regional geothermal reconnaissance, yet a fundamental challenge remains: isolating the weak geothermal surface signal (typically 1–3 °C) from dominant surface noise introduced by seasonal temperature cycles (annual amplitude > 20 °C), topographic variability, land cover heterogeneity, and irregular cloud-affected satellite sampling. Conventional single-scene or arithmetic-mean approaches are highly susceptible to these confounding factors and frequently produce pseudo-anomalies that obscure genuine geothermal targets. To overcome this limitation, we propose a physics-based time-series framework in which a nonlinear annual temperature variation model, T(t) = T0 + A·sin(2πt/τ + φ), is fitted to multi-temporal Landsat 8 thermal infrared data via the Levenberg–Marquardt algorithm. Applied to ~50 cloud-free scenes (2021–2022) processed on the Google Earth Engine over the Shanxi Graben System, northern China, the model simultaneously retrieves the background temperature parameter T0 and seasonal amplitude A—two physically interpretable quantities that encode distinct geothermal signatures more robustly than simple temporal statistics. Sub-regional corrections for the elevation (−4 °C/100 m above 800 m), aspect (R2 > 0.95 in piecewise linear segments), and slope further suppress topographic pseudo-anomalies prior to anomaly extraction. Over known high-temperature geothermal fields (Tianzhen and Yanggao; >100 °C at 100 m depth), the method reveals clear T0 offsets of +1–2 °C (3–5% relative) and amplitude deficits of ~2 K (5–10% relative) relative to the background, with model-fitted T0 values averaging ~2 °C higher than arithmetic means due to the correction for seasonal sampling bias. Combined with 5 km fault-proximity buffers, extracted anomaly zones align well spatially with known geothermal sites and major structural corridors of the graben system. However, deeper low-temperature systems (45–50 °C at 300–500 m depth) produce ambiguous signals below the ~1.5 K detection threshold, indicating inherent limitations for deeply buried resources. The fully reproducible, training-data-free workflow is implementable via open satellite archives and cloud computing platforms, making it a transferable low-cost tool for structurally controlled geothermal reconnaissance across extensional basins worldwide. Full article
Show Figures

Figure 1

20 pages, 1257 KB  
Article
Variance Analysis of Initial Elasticity Modulus and Bulk Modulus Parameters of Duncan–Chang E-B Model
by Heng Chi, Hengdong Wang, Yufeng Jia, Degao Zou, Wenquan Feng, Zhuyin Wen and Wei Wang
Symmetry 2026, 18(5), 758; https://doi.org/10.3390/sym18050758 (registering DOI) - 28 Apr 2026
Abstract
The stress and deformation sensitivity analysis of high earth-rock dams requires knowledge of the statistical mean and standard deviation of deformation parameters of dam materials. However, these parameters are typically determined through grouped tests and sorting. Given the small sample size in each [...] Read more.
The stress and deformation sensitivity analysis of high earth-rock dams requires knowledge of the statistical mean and standard deviation of deformation parameters of dam materials. However, these parameters are typically determined through grouped tests and sorting. Given the small sample size in each group and the consequently large parameter errors, the inaccuracy of the resulting statistical parameters is evident. The least squares method fits all test points of each group in the same coordinate system for regression calculation, which not only helps to better address the issue of a small sample size, but also eliminates the errors caused by the grouping of test parameters. However, it is found that when the least squares method is applied to the elastic modulus and bulk modulus parameters of the Duncan–Chang E-B model, the residual errors have heteroscedasticity and correlation, which violates the use condition of the least squares method. In order to eliminate the heteroscedasticity and correlation of the fitting residuals of the elastic modulus and bulk modulus parameters of the Duncan–Chang E-B model, this paper decomposes the covariance matrix of the regression residuals to obtain its square root matrix, multiplies the explanatory variables, dependent variables and residual vectors of the regression equation by the square root matrix of the covariance, respectively, and performs variable substitution. The new regression equation has the homogeneity of variance and the irrelevance of the residual. The mean and variance of the model parameters are obtained directly by calculating all the experimental data. The variance of the new parameters is smaller than that of the classical least squares method. The results demonstrate that this generalized least squares method improves the estimation accuracy of elastic modulus and bulk modulus parameters of the Duncan–Chang E-B model. Full article
(This article belongs to the Section Mathematics)
22 pages, 4118 KB  
Article
An Instrumented Earth–Air Heat Exchanger with Embedded Electronic Monitoring for Real-Time Passive Cooling Applications
by Abdelaaziz Yagour, Brahim Ydir, Iulia Antohe, Ahmed Wifaya, Ahmed Aharoune and Radouane Leghrib
Eng 2026, 7(5), 203; https://doi.org/10.3390/eng7050203 - 28 Apr 2026
Abstract
The Earth–Air Heat Exchanger (EAHE), also referred to as an air–soil heat exchanger, represents an effective passive cooling technology that exploits the thermal inertia of the ground. This study presents a combined experimental and analytical investigation of an EAHE system installed at the [...] Read more.
The Earth–Air Heat Exchanger (EAHE), also referred to as an air–soil heat exchanger, represents an effective passive cooling technology that exploits the thermal inertia of the ground. This study presents a combined experimental and analytical investigation of an EAHE system installed at the Faculty of Sciences of Agadir (Morocco). A steady-state analytical model based on convective heat transfer between the airflow within a buried duct and the surrounding soil is developed to describe the axial evolution of air temperature along the exchanger. The model is formulated under a sensible heat transfer framework, where the influence of humidity is accounted for through its effect on the thermophysical properties of moist air, while latent heat transfer and condensation phenomena are neglected. An instrumented experimental setup was implemented to perform continuous measurements of air temperature and relative humidity over a seven-month monitoring period. The experimental results indicate that the outlet air temperature remains stabilized within the range of 23.5–23.8 °C, despite significant variations in ambient temperature (13–38 °C). A parametric analysis is conducted to assess the influence of duct diameter, airflow velocity, and humidity through its effect on moist air properties on the thermal performance of the system. The close agreement between experimental observations and analytical predictions demonstrates the validity and predictive capability of the proposed model. These findings highlight the potential of EAHE systems as an effective passive cooling solution for greenhouse applications in semi-arid climatic conditions. Full article
(This article belongs to the Section Chemical, Civil and Environmental Engineering)
Show Figures

Figure 1

38 pages, 7181 KB  
Article
Object-Oriented Geometric Figures with Operations and Transformations for Relational Modeling
by Steven D. P. Moore
Symmetry 2026, 18(5), 725; https://doi.org/10.3390/sym18050725 - 24 Apr 2026
Viewed by 90
Abstract
This article introduces novel methodologies, coordinate systems, and procedures in computational geometry that further develop a Euclidean-based relationalistic framework. The objective is to describe tools using object-oriented relational elements with symmetry, anchored to a fixed point in a relational model, that generate structured [...] Read more.
This article introduces novel methodologies, coordinate systems, and procedures in computational geometry that further develop a Euclidean-based relationalistic framework. The objective is to describe tools using object-oriented relational elements with symmetry, anchored to a fixed point in a relational model, that generate structured point sets serving as blueprints for geometric figures and physical structures representing their source objects. Geometric operations and transformations construct ratio figures and ordered proportional structures. Using discrete N-Euclidean geometry, two relational coordinate systems are introduced—polar-vertex coordinates and radial coordinates—both formed through discrete geometric operations. A relational unit circle of fixed magnitude is defined by a 4::1 proportional equivalence between radius and angular ratios, independent of real-number or arc-length geometry. Euclid’s theory of proportion is extended from static abstract magnitudes to symmetry-driven geometric construction, and a square-pyramid geometric blueprint is produced from an Earth ratio figure with accurate dimensional magnitudes. The findings reveal a novel commensurability between the radius of a circle and the side length of a square using a shared fixed point coupled via a 3:4:5 Pythagorean-triple triangle, introducing the concept of ordered proportions. Full article
33 pages, 34727 KB  
Article
Treatment of Planetary Climate Regulation in Spanish Secondary Education and Bachillerato School Textbooks
by Carmen Brenes-Cuevas, María Armario and Natalia Jiménez-Tenorio
Sustainability 2026, 18(8), 4146; https://doi.org/10.3390/su18084146 - 21 Apr 2026
Viewed by 329
Abstract
This exploratory study examines how planetary climate regulation is addressed in 39 Compulsory Secondary Education and Bachillerato textbooks used in Spain, focusing on three key regulating factors, global ocean circulation, atmospheric circulation, and the greenhouse effect, and their integration into a coherent, interrelated [...] Read more.
This exploratory study examines how planetary climate regulation is addressed in 39 Compulsory Secondary Education and Bachillerato textbooks used in Spain, focusing on three key regulating factors, global ocean circulation, atmospheric circulation, and the greenhouse effect, and their integration into a coherent, interrelated model. Textbooks from Biology and Geology, Physics and Chemistry, Scientific Culture, and Earth and Environmental Sciences, published by three anonymised Spanish publishers, were analysed using two complementary instruments—a global presence grid and an analytical grid—examining explanation type, presentation format, didactic resources, and activities associated with each submodel. The results reveal a fragmented and largely disconnected treatment of the three factors across educational stages, with limited explicit articulation of their interrelationships. This fragmentation restricts students’ ability to understand the functioning of each factor, recognise their systemic interdependencies, and appreciate the role of human activity in climate regulation. Full article
Show Figures

Figure 1

23 pages, 2811 KB  
Article
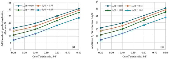
Physical Modeling of Seepage Control Using Upstream Blanket and Cutoff in Earth Dams: A Hele–Shaw Experimental Study
by Ahmed M. Abdelrazek, Mohamed A. Hafez, Abdulrahman Mohammed and Mohammed A. Abourohiem
Water 2026, 18(8), 989; https://doi.org/10.3390/w18080989 - 21 Apr 2026
Viewed by 315
Abstract
Seepage beneath earth dams founded on pervious strata can cause excessive under-seepage, elevated downstream exit gradients, and high phreatic levels, thereby increasing susceptibility to internal erosion and piping. This study presents a Hele–Shaw laboratory investigation of seepage-control efficiency for an upstream impervious blanket [...] Read more.
Seepage beneath earth dams founded on pervious strata can cause excessive under-seepage, elevated downstream exit gradients, and high phreatic levels, thereby increasing susceptibility to internal erosion and piping. This study presents a Hele–Shaw laboratory investigation of seepage-control efficiency for an upstream impervious blanket used alone and in combination with a vertical cutoff (blanket–cutoff system). The experimental geometry reproduces a zoned earth dam cross-section at a scale of 1:200. Five foundation thickness ratios (T/B=0.1841.00) were tested. For the blanket-only system, four blanket length ratios (Lb/B=0.501.25) were examined. For the blanket–cutoff system, cutoff depth ratios (S/T=0.200.80) were investigated using (i) a representative blanket length Lb/B=0.75 across all foundation depths and (ii) a deep-foundation case T/B=1.00 across all blanket lengths. Seepage discharge, head loss due to seepage-control measures, maximum exit gradient at the downstream toe, and phreatic line location were measured at steady state and expressed in dimensionless form using the equivalent Hele–Shaw hydraulic conductivity. Relative to the no-measure reference case, the upstream blanket reduced dimensionless discharge by 20.8–70.2%, reduced the exit-gradient indicator by 6.4–50.2%, and reduced the downstream seepage-surface height by 58.9–92.8%. Adding a vertical cutoff provided further reductions relative to the blanket-only configuration, up to 34.4% in discharge and to 29.8% in exit-gradient indicator at Lb/B=0.75—while increasing head loss across the upstream control system. Regression-based correlations and main-text design maps are proposed for preliminary sizing. The proposed correlations and design maps are intended for screening-level use only within the tested ranges 0.18 ≤ T/B ≤ 1.00, 0.50 ≤ Lb/B ≤ 1.25, and 0.20 ≤ S/T ≤ 0.80. Because the Hele–Shaw model is a two-dimensional viscous-flow analog of saturated seepage, the results provide a physical basis for relative comparison of seepage-control measures rather than a direct substitute for site-specific analysis of heterogeneous three-dimensional foundations. Accordingly, the agreement discussed in this paper is qualitative and trend-based, and the proposed tools are intended to complement rather than replace quantitative FEM for site-specific design. Full article
(This article belongs to the Special Issue Advances in Hydraulic and Water Resources Research, 4th Edition)
Show Figures

Figure 1

24 pages, 7992 KB  
Article
Ensemble Artificial Intelligence Fusing Satellite, Reanalysis, and Ground Observations for Improved PM2.5 Prediction
by Muhammad Haseeb, Zainab Tahir, Syed Amer Mehmood, Hania Arif, Sumaira Kousar, Sundas Ghafoor and Khalid Mehmood
Atmosphere 2026, 17(4), 411; https://doi.org/10.3390/atmos17040411 - 18 Apr 2026
Viewed by 186
Abstract
Air pollution caused by fine particulate matter (PM2.5) poses a serious public health threat in many South Asian megacities where monitoring networks remain limited. Lahore, Pakistan—frequently ranked among the world’s most polluted cities—still lacks reliable short-term PM2.5 forecasting systems. This [...] Read more.
Air pollution caused by fine particulate matter (PM2.5) poses a serious public health threat in many South Asian megacities where monitoring networks remain limited. Lahore, Pakistan—frequently ranked among the world’s most polluted cities—still lacks reliable short-term PM2.5 forecasting systems. This study develops a performance-weighted ensemble machine learning framework that integrates satellite observations, meteorological reanalysis data, and ground monitoring measurements to improve daily PM2.5 prediction. Eleven predictor variables were processed using a unified Google Earth Engine pipeline, including MODIS aerosol optical depth, Sentinel-5P trace gases (CO, NO2, SO2), and ERA5 meteorological parameters. Four tree-based machine learning algorithms—Random Forest, XGBoost, LightGBM, and CatBoost—were trained using daily observations from 2019 to 2023. Model evaluation using an independent 2024 dataset showed strong predictive capability, with Random Forest achieving R2 = 0.77 (RMSE = 24.75 µg m−3), XGBoost R2 = 0.76 (RMSE = 26.32 µg m−3), CatBoost R2 = 0.73 (RMSE = 30.39 µg m−3), and LightGBM R2 = 0.70 (RMSE = 32.75 µg m−3). To further enhance performance, the best models were combined into a weighted ensemble (RF 0.5, XGBoost 0.3, and CatBoost 0.2), which produced the highest validation accuracy (R2 = 0.77; RMSE = 23.37 µg m−3). Statistical testing using paired t-tests and Diebold–Mariano tests confirmed that the ensemble significantly reduced forecast errors compared with individual models. Feature importance analysis revealed that surface pressure, temperature, CO, and NO2 were the most influential predictors of PM2.5 variability. The proposed framework demonstrates that combining satellite data, reanalysis meteorology, and ground observations through ensemble learning can provide accurate and scalable air quality forecasting for data-limited urban environments. Full article
Show Figures

Figure 1

16 pages, 5559 KB  
Article
Enhancing the Usability of CALIPSO Low-Confidence Cloud Products Using a Multilayer Perceptron-Based Data Refinement Framework
by Xiaolu Luo, Wenkai Song, Shiqi Yan, Miao Zhang and Ge Han
Atmosphere 2026, 17(4), 413; https://doi.org/10.3390/atmos17040413 - 18 Apr 2026
Viewed by 157
Abstract
The CALIPSO V4.10 5 km cloud-layer product contains a small yet influential fraction of low-confidence and “unknown” cloud-type labels, which constrains its effectiveness in climatological analyses and limits its utility for downstream Earth system applications. To improve the practical usability and completeness of [...] Read more.
The CALIPSO V4.10 5 km cloud-layer product contains a small yet influential fraction of low-confidence and “unknown” cloud-type labels, which constrains its effectiveness in climatological analyses and limits its utility for downstream Earth system applications. To improve the practical usability and completeness of these observations, this study develops a multilayer perceptron (MLP)-based refinement framework using global summer daytime CALIPSO data from 2006–2021. High-confidence cloud samples (76% of the dataset), defined as cases with high Feature Type QA and high Ice/Water Phase QA, were used as the reliable supervision subset to train the MLP model using 11 geolocation-, optical-, and microphysics-related variables, including cloud optical depth, cloud thickness, depolarization ratio, and color ratio. The trained model was subsequently applied to a separately defined low-confidence cloud subset (~5% of the dataset), consisting of cases with high Feature Type QA but low Ice/Water Phase QA, of which over 60% were originally labeled as “unknown”, to generate probabilistic assignments of three cloud types: ice clouds, water clouds, and oriented ice crystals. Evaluation using withheld high-confidence samples indicates a strong level of agreement with operational CALIPSO classifications (~94.99%). Moreover, the refined low-confidence results exhibit physically coherent vertical structural characteristics consistent with established cloud thermodynamic regimes. It is emphasized that the proposed framework does not establish an independent physical truth beyond CALIOP’s measurement capability; instead, it provides a physically consistent and statistically robust approach to improving the completeness and practical usability of CALIPSO cloud-type products for large-scale scientific and modeling applications. Full article
(This article belongs to the Section Atmospheric Techniques, Instruments, and Modeling)
Show Figures

Figure 1

29 pages, 4122 KB  
Article
LeGNSS-Based Cycle Slip Detection Method for High-Precision PPP
by Xizi Jia, Yuanfa Ji, Xiyan Sun, Jian Liu, Fan Zhang and Shuai Ren
Remote Sens. 2026, 18(8), 1199; https://doi.org/10.3390/rs18081199 - 16 Apr 2026
Viewed by 177
Abstract
Low earth orbit (LEO)-enhanced global navigation satellite systems (GNSSs) (LeGNSSs) have emerged as a promising paradigm for next-generation precise point positioning (PPP). However, the highly dynamic nature of LEO satellites results in significant ionospheric variations with more frequent cycle slips. Thus, identifying fractional [...] Read more.
Low earth orbit (LEO)-enhanced global navigation satellite systems (GNSSs) (LeGNSSs) have emerged as a promising paradigm for next-generation precise point positioning (PPP). However, the highly dynamic nature of LEO satellites results in significant ionospheric variations with more frequent cycle slips. Thus, identifying fractional cycle slips and evaluating false alarms present significant challenges. In this paper, we propose an ionospheric preprocessing generalized combination (IPGC) method to improve the reliability of cycle slip detection. The ionospheric delay in the carrier phase is mitigated using the NeQuick model. Additionally, a set of specifically designed coefficients is used to combine LEO and GNSS observations, which increases the sensitivity of cycle slip detection. The simulation results indicate that the proposed method can effectively eliminate ionospheric interference of up to 4 cycles in LEO satellite cycle slip detection and can accurately detect all combinations of cycle slips with a maximum deviation of 0.14 cycles. Compared with solutions without cycle slip repair, this method accelerates the positioning convergence time by 0.96/0.89/1.2 min on the north/east/up (NEU) components, and the reconvergence efficiency is increased by factors of 10, 5.5, and 2, respectively. Even with an elevated cutoff angle of 40, the system achieves centimeter-level positioning accuracy (0.38/1.08/1.86 cm). These results confirm the effectiveness of the proposed method in LEO satellite cycle slip detection, providing key algorithmic guidance for the practical implementation of PPP in hybrid constellation systems. Full article
Show Figures

Figure 1

24 pages, 4689 KB  
Article
Dynamic Trajectory Tracking and Autonomous Berthing Control of a Container Ship Based on Four-Quadrant Hydrodynamics
by Chen-Wei Chen, Jiahao Yin, Jialin Lu, Chin-Yin Chen, Ningmin Yan and Zhuo Feng
J. Mar. Sci. Eng. 2026, 14(8), 724; https://doi.org/10.3390/jmse14080724 (registering DOI) - 14 Apr 2026
Viewed by 210
Abstract
To address the strongly nonlinear hydrodynamic coupling and complex maneuvering challenges encountered by large ships during berthing operations in restricted waters, this paper proposes a high-precision autonomous berthing control system incorporating four-quadrant propeller hydrodynamics. Based on an improved Mathematical Maneuvering Group (MMG) framework, [...] Read more.
To address the strongly nonlinear hydrodynamic coupling and complex maneuvering challenges encountered by large ships during berthing operations in restricted waters, this paper proposes a high-precision autonomous berthing control system incorporating four-quadrant propeller hydrodynamics. Based on an improved Mathematical Maneuvering Group (MMG) framework, a three-degree-of-freedom (3-DOF) dynamic model is established to accurately capture the transient thrust and torque mappings of the propeller over all four quadrants. A dynamic line-of-sight (LOS) guidance system with a nonlinearly decaying acceptance radius is tightly coupled with PD/PI controllers to coordinate and regulate the rudder angle and propeller rotational speed. The numerical solver was rigorously validated against turning-test data for the S-175 container ship, with the errors of the key parameters all controlled within 15%. Subsequently, under the environmental conditions of Yangshan Port, full-condition path-planning and berthing simulations were conducted for the novel B-573 container ship under steady-current disturbances. These simulations evaluated multiple flow directions, namely due south, due north, due west, and due east defined in the Earth-fixed coordinate system, as well as multiple intensity levels ranging from 0 to 1.5 m/s that were specifically tested under the due north current. Quantitative evaluation shows that, under the highly challenging current condition of 1.0 m/s, the dynamic corrective mechanism effectively drives the global mean absolute error (MAE) to converge to 85.50 m, representing a 62% statistical reduction relative to the transient peak value. In addition, a parameter sensitivity analysis based on the cumulative cross-track error confirms that, when subject to variations in the underlying hydrodynamic parameters, the proposed system can suppress fluctuations in trajectory error to a very low level, thereby demonstrating a certain degree of control robustness. During the terminal berthing stage, the vessel smoothly completed an extreme deceleration from an initial speed of 6.4 m/s to a full stop within 588 s, while constraining the maximum astern rotational speed to −2 rps and seamlessly passing through all four propeller quadrants. The results confirm that the proposed autopilot framework possesses a certain degree of engineering feasibility in complex maritime environments. Full article
(This article belongs to the Special Issue Advanced Modeling and Intelligent Control of Marine Vehicles)
Show Figures

Figure 1

12 pages, 255 KB  
Article
The Logic of Appropriation: A Theological Synthesis of the ‘Throwaway Culture’ and the Theology of the Body
by Sesil Lim and Yong-Gil Lee
Religions 2026, 17(4), 483; https://doi.org/10.3390/rel17040483 - 14 Apr 2026
Viewed by 570
Abstract
This paper investigates the anthropological and ethical roots of the global ecological and social crisis, centered on Pope Francis’s critique of the “throwaway culture” (Laudato Si’, LS). While LS identifies this crisis in the linear “take–make–dispose” model and the technocratic paradigm—which [...] Read more.
This paper investigates the anthropological and ethical roots of the global ecological and social crisis, centered on Pope Francis’s critique of the “throwaway culture” (Laudato Si’, LS). While LS identifies this crisis in the linear “take–make–dispose” model and the technocratic paradigm—which prioritizes efficiency over moral reflection—this research argues that these macro-societal failures originate in a foundational spiritual pathology: concupiscence. Drawing upon St. John Paul II’s Theology of the Body (TOB), we analyze concupiscence as “appropriation,” the direct antithesis to the human vocation of the “sincere gift of self.” This study aligns LS’s socio-economic critique with Karol Wojtyła’s personalist anthropology, asserting that the systemic exploitation of nature and the marginalization of the vulnerable are structural extensions of the human failure to reread the “language of the body” in truth. The throwaway culture is thus revealed as an axiological reduction—a societal manifestation of lust that reduces both the body and creation to mere objects of utility. Consequently, a genuine ecological conversion (LS) necessitates embracing the “ethos of redemption” (TOB). This transformation of desire is essential to restoring the harmony between humanity and nature, recognizing that the ‘cry of the earth’ and the ‘cry of the poor’ are inextricably linked within an integral ecology. Full article
31 pages, 20257 KB  
Article
Research on Recognition of Check Dams Considering Suitable Construction Areas and Microtopography Standard Deviation Based on Faster R-CNN
by Jinjin Shi, Xin Tong, Meng He, Panrui Xia, Xuemian Wei, Xin Sun, Xiaomin Liu, Ping Miao, Haixia Wu and Jiwen Wang
Hydrology 2026, 13(4), 113; https://doi.org/10.3390/hydrology13040113 - 13 Apr 2026
Viewed by 313
Abstract
Accurate spatial identification of check dams is a key prerequisite for evaluating soil and water conservation benefits and optimizing dam system planning on the Loess Plateau. Current deep learning models face severe misclassification and omission issues under complex terrain due to the scarcity [...] Read more.
Accurate spatial identification of check dams is a key prerequisite for evaluating soil and water conservation benefits and optimizing dam system planning on the Loess Plateau. Current deep learning models face severe misclassification and omission issues under complex terrain due to the scarcity of check dam samples and the lack of prior geographic knowledge. This study proposes a recognition method based on Faster R-CNN, constrained by suitable areas and microtopography. The Xiliugou watershed in Inner Mongolia was selected as the study area. Based on Google Earth imagery and field survey data, a check dam sample dataset was constructed, integrating the morphological features of “linear dam body with a trapezoidal slope.” Using the construction suitable area constraints defined by the Technical Specifications for Check Dams and microtopography standard deviation (δ) derived from DEM as dual spatial filtering mechanisms, these were deeply embedded into the Faster R-CNN model to limit the search space and enhance geographic plausibility. Experimental results show that the constrained Faster R-CNN model achieved a precision and recall of 92.86% and 96.89%, compared with the accuracy rate of only deep learning model recognition (60.61%), which significantly increased by 32.25%, indicating that geographical constraints have an enhancing effect. Using this method, a total of 191 embankment dams were identified in the Xiliugou Basin. New 30 unrecorded embankment dams (21 small dams and 9 micro-dams) were discovered. The model’s good generalization ability was verified in the Han Tiechuan geographical isolation area, which contained 153 embankment dam samples, with an accuracy rate of 72.94%. Spatial analysis further revealed the “successive interception along tributaries” distribution pattern and strong spatial aggregation characteristics (box dimension D ≈ 0.36) of check dams in the Xiliugou watershed. This study confirms the critical role of suitable area and microtopography constraints in improving the accuracy and reliability of deep learning models and provides a transferable technical paradigm for automated, high-precision surveys of regional soil and water conservation projects. Full article
Show Figures

Figure 1

43 pages, 15246 KB  
Review
Cloud-Native Earth Observation for Quantitative Vegetation Science: Architectures, Workflows, and Scientific Implications
by Jochem Verrelst, Emma De Clerck, Bhagyashree Verma, Kavach Mishra and Gabriel Caballero
Remote Sens. 2026, 18(8), 1154; https://doi.org/10.3390/rs18081154 - 13 Apr 2026
Viewed by 371
Abstract
The increasing volume, temporal density, and diversity of satellite Earth observation (EO) data have fundamentally transformed quantitative vegetation remote sensing. Dense multi-sensor time series and computationally intensive modelling have rendered traditional download-and-process workflows increasingly impractical. Cloud-native computing—where data access, storage, and computation are [...] Read more.
The increasing volume, temporal density, and diversity of satellite Earth observation (EO) data have fundamentally transformed quantitative vegetation remote sensing. Dense multi-sensor time series and computationally intensive modelling have rendered traditional download-and-process workflows increasingly impractical. Cloud-native computing—where data access, storage, and computation are co-located and analyses are executed in data-proximate environments—has therefore emerged as a key paradigm for scalable and reproducible vegetation EO analysis. This review provides a science-oriented synthesis of cloud-native EO for quantitative vegetation research. We examine architectural principles, data models, and compute patterns that shape how vegetation analyses are implemented, scaled, and scientifically interpreted. Particular attention is given to machine learning as a system component, including model lifecycle management, domain shift, and evaluation integrity in distributed environments. We analyse how cloud-native data abstractions influence algorithmic assumptions, validation design, and long-term product consistency, highlighting trade-offs between analytical complexity, computational cost, latency, and scientific robustness. We provide a forward-looking perspective on emerging imaging spectroscopy missions and the growing system-level requirements for reproducible, scalable, and uncertainty-aware vegetation analytics at continental-to-global scales. We also outline how cloud-native EO infrastructures are driving new scientific paradigms based on continuous monitoring, systematic reprocessing, and AI-driven modelling. Full article
Show Figures

Figure 1

29 pages, 6563 KB  
Article
An Autonomous Orbit Prediction Approach for BDS MEO Satellites Using a Short-Sequence Adaptive Model
by Yihui Zhao, Yuebo Ma, Hongfeng Long, Rujin Zhao and Xia Lin
Remote Sens. 2026, 18(8), 1146; https://doi.org/10.3390/rs18081146 - 12 Apr 2026
Viewed by 361
Abstract
The new-generation global navigation satellite system (GNSS) demands enhanced satellite autonomy, where high-precision orbit prediction plays a pivotal role. Traditional dynamic models depend heavily on long-term on-orbit observations, making hybrid deep-learning-based orbit prediction models an efficient alternative. Although existing studies have validated that [...] Read more.
The new-generation global navigation satellite system (GNSS) demands enhanced satellite autonomy, where high-precision orbit prediction plays a pivotal role. Traditional dynamic models depend heavily on long-term on-orbit observations, making hybrid deep-learning-based orbit prediction models an efficient alternative. Although existing studies have validated that temporal networks can effectively capture orbit error variations, improving prediction accuracy under short input sequences remains a critical challenge. To address this issue, this paper proposes an improved short-sequence-adaptive Bidirectional Long Short-Term Memory (BiLSTM) network to enhance orbit prediction performance of BeiDou Medium Earth Orbit satellites. Specifically, we design a scale-aware hybrid convolution module and an attention-driven feature fusion module to generate feature representations with high information density, which outperform the standalone BiLSTM under short input sequences. Experiments on the BeiDou system (BDS) C19 satellite demonstrate that our method reduces the mean residual rates from 54.03%, 41.18%, 80.10% to 4.36%, 6.12%, 5.39% in the X, Y, and Z axes, respectively, surpassing BiLSTM alone by over 85% across all metrics. Notably, the proposed method exhibits robust generalization capabilities across similar satellites with similar orbital configurations and dynamic environments. Full article
(This article belongs to the Special Issue Autonomous Space Navigation (Second Edition))
Show Figures

Figure 1

63 pages, 6343 KB  
Review
Rare-Earth Elements at the Interface of Chemistry and Cancer Therapy
by Christian Goldiș, Nicoleta Anamaria Pașcalău, Roxana Racoviceanu, Tamara Maksimovic, Mihaela Jorgovan, Elisabeta Atyim, Oana Bătrîna, Marius Mioc and Codruța Șoica
Molecules 2026, 31(8), 1264; https://doi.org/10.3390/molecules31081264 - 11 Apr 2026
Viewed by 379
Abstract
Rare-earth elements (REEs), which include the entire lanthanide series together with scandium and yttrium, have unique electronic configurations and coordination chemical properties that provide them with special magnetic, optical, and redox abilities. Generally used for diagnostic imaging and theranostic applications, increasing evidence emphasizes [...] Read more.
Rare-earth elements (REEs), which include the entire lanthanide series together with scandium and yttrium, have unique electronic configurations and coordination chemical properties that provide them with special magnetic, optical, and redox abilities. Generally used for diagnostic imaging and theranostic applications, increasing evidence emphasizes their potential as direct anticancer agents. This review aims to present a thorough investigation of the studies published in the last ten years that focus on the intrinsic anticancer properties of REE-based molecular complexes and nanostructures, without discussing their recognized imaging functions. Rare-earth compounds exhibit selective cytotoxicity against malignant cells via mechanisms that mainly include modulations in the generation of reactive oxygen species, mitochondrial dysfunctions, interaction with DNA molecules, apoptosis, and ferroptosis induction, as well as radiosensitization. Molecular complexes that are based on the trivalent coordination chemistry of REEs enable them to target biomolecules like DNA and serum albumin. Nanostructured systems, on the other hand, render tumors more responsive to treatment by improving the cellular uptake, enabling surface functionalization, and controlling ROS generation. Terbium, thulium, yttrium, scandium, ytterbium, cerium, erbium, dysprosium, and europium show different levels of anticancer activity in both in vitro and in vivo cancer models. They often exert more toxicity in tumor cells than in normal tissues, thus exhibiting selective anticancer effects. The findings collectively underscore the therapeutic potential of REE-based compounds as novel metal-based anticancer agents and advocate for additional mechanistic and translational research to enhance their clinical applicability. Full article
Show Figures

Figure 1

Back to TopTop