Sign in to use this feature.

Years

Between: -

Subjects

remove_circle_outline
remove_circle_outline
remove_circle_outline
remove_circle_outline
remove_circle_outline
remove_circle_outline
remove_circle_outline
remove_circle_outline
remove_circle_outline

Journals

Article Types

Countries / Regions

Search Results (232)

Search Parameters:
Keywords = dynamic optical fiber sensors

Order results
Result details
Results per page
Select all
Export citation of selected articles as:
19 pages, 5331 KB  
Article
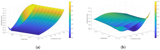
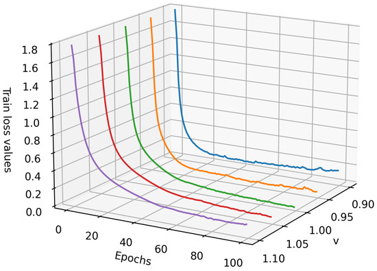
Fractional Derivative in LSTM Networks: Adaptive Neuron Shape Modeling with the Grünwald–Letnikov Method
by Zbigniew Gomolka, Ewa Zeslawska, Lukasz Olbrot, Michal Komsa and Adrian Ćwiąkała
Appl. Sci. 2025, 15(24), 13046; https://doi.org/10.3390/app152413046 - 11 Dec 2025
Viewed by 99
Abstract
The incorporation of fractional-order derivatives into neural networks presents a novel approach to improving gradient flow and adaptive learning dynamics. This paper introduces a fractional-order LSTM model, leveraging the Grünwald–Letnikov (GL) method to modify both activation functions and backpropagation mechanics. By redefining the [...] Read more.
The incorporation of fractional-order derivatives into neural networks presents a novel approach to improving gradient flow and adaptive learning dynamics. This paper introduces a fractional-order LSTM model, leveraging the Grünwald–Letnikov (GL) method to modify both activation functions and backpropagation mechanics. By redefining the transition functions of LSTM gates with fractional derivatives, the model achieves a smoother gradient adaptation while maintaining consistency across forward and backward passes. This is the first study integrating the Grünwald–Letnikov operator directly into both forward and backward LSTM computations, ensuring a consistent fractional framework throughout the entire learning process. We apply this approach to anomaly detection in fiber optic cable manufacturing, where small deviations in production parameters can significantly impact quality. A dataset containing time-series sensor measurements was used to train the fractional LSTM, demonstrating improved generalization and stability compared to classical LSTM models. Numerical stability analysis confirms that the fractional derivative framework allows convergent learning, preventing both vanishing and exploding gradients. Experimental results show that the fractional-order LSTM outperforms standard architectures in detecting manufacturing anomalies, with the optimal fractional order ν=0.95 providing a balance between accuracy and computational complexity. The findings suggest that fractional calculus can enhance deep learning architectures by introducing a continuous and flexible transition between neuron activations, paving the way for adaptive neural networks with tunable memory effects. Full article
(This article belongs to the Section Computing and Artificial Intelligence)
Show Figures

Figure 1

11 pages, 3292 KB  
Article
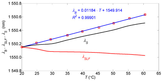
Fiber Optic Sensor of Axial Strain and Dynamic Transverse Force Based on Intensity Demodulation
by Cezary Kaczmarek and Malgorzata Detka
Sensors 2025, 25(24), 7441; https://doi.org/10.3390/s25247441 - 7 Dec 2025
Viewed by 213
Abstract
This paper presents a fiber-optic sensor with intensity demodulation for simultaneous measurement of dynamic transverse force and axial strain. The sensor uses a Sagnac loop filter with a polarization-maintaining photonic crystal fiber (PM-PCF) that is subjected to a dynamic transverse force. The Sagnac [...] Read more.
This paper presents a fiber-optic sensor with intensity demodulation for simultaneous measurement of dynamic transverse force and axial strain. The sensor uses a Sagnac loop filter with a polarization-maintaining photonic crystal fiber (PM-PCF) that is subjected to a dynamic transverse force. The Sagnac loop filter is illuminated by the reflected beam froma uniform fiber-optic Bragg grating (FBG), which is subjected to an axial strain. This way, intensity demodulation is performed in the sensor, enabling it to measure two quantities simultaneously: the dynamic force and the strain. Experimental results show that the sensor achieves a sensitivity to the dynamic transverse force of 38.1 mV/N and a sensitivity to the axial strain of 0.527 mV/με, while the nonlinearity errorsare 4.9% for the dynamic force and 0.9% for the strain. The sensor exhibits low temperature sensitivity due to partial self-compensation of the temperature coefficients of the Sagnac loop filter with the polarization-maintaining photonic crystal fiber and the fiber Bragg grating. Full article
(This article belongs to the Section Optical Sensors)
Show Figures

Figure 1

36 pages, 4430 KB  
Review
Emerging Trends in Optical Fiber Biosensing for Non-Invasive Biomedical Analysis
by Sajjad Mortazavi, Somayeh Makouei, Karim Abbasian and Sebelan Danishvar
Photonics 2025, 12(12), 1202; https://doi.org/10.3390/photonics12121202 - 5 Dec 2025
Viewed by 373
Abstract
Optical fiber biosensors have evolved into powerful tools for non-invasive biomedical analysis. While foundational principles are well-established, recent years have marked a paradigm shift, driven by advancements in nanomaterials, fabrication techniques, and data processing. This review provides a focused overview of these emerging [...] Read more.
Optical fiber biosensors have evolved into powerful tools for non-invasive biomedical analysis. While foundational principles are well-established, recent years have marked a paradigm shift, driven by advancements in nanomaterials, fabrication techniques, and data processing. This review provides a focused overview of these emerging trends, critically analyzing the innovations that distinguish the current generation of optical fiber biosensors from their predecessors. We begin with a concise summary of fundamental sensing principles, including Surface Plasmon Resonance (SPR) and Fiber Bragg Gratings (FBGs), before delving into the latest breakthroughs. Key areas of focus include integrating novel 2D materials and nanostructures to dramatically enhance sensitivity and advancing synergy with Lab-on-a-Chip (LOC) platforms. A significant portion of this review is dedicated to the rapid expansion of clinical applications, particularly in early cancer detection, infectious disease diagnostics, and continuous glucose monitoring. We highlight the pivotal trend towards wearable and in vivo sensors and explore the transformative role of artificial intelligence (AI) and machine learning (ML) in processing complex sensor data to improve diagnostic accuracy. Finally, we address the persistent challenges—biocompatibility, long-term stability, and scalable manufacturing—that must be overcome for widespread clinical adoption and commercialization, offering a forward-looking perspective on the future of this dynamic field. Full article
Show Figures

Figure 1

14 pages, 3662 KB  
Article
Optical Characterization of a Sensitive Lophine Layer for the Detection of Hydrogen Ions (H+)
by Pedro Marcos Velasco-Bolom, Jorge Luis Camas-Anzueto, Rocío Meza-Gordillo, Madaín Pérez-Patricio, Marcoantonio Ramírez-Morales, Gilberto Anzueto-Sánchez, Rubén Grajales-Coutiño and José Antonio Hoyo-Montaño
Optics 2025, 6(4), 58; https://doi.org/10.3390/opt6040058 - 19 Nov 2025
Viewed by 303
Abstract
The scientific community has been interested in lophine’s versatility and usage in various applications. Research has shown that humic acid is a material that exhibits interference with lophine. Humic molecules associate with each other in supramolecular conformations through weak hydrophobic interactions at alkaline [...] Read more.
The scientific community has been interested in lophine’s versatility and usage in various applications. Research has shown that humic acid is a material that exhibits interference with lophine. Humic molecules associate with each other in supramolecular conformations through weak hydrophobic interactions at alkaline or neutral pH and hydrogen bonds at low pH. This work presents the characterization of a sensitive lophine layer based on water’s hydrogen ions (pH). We conducted a spectroscopy study to analyze how the absorbance at different amounts of lophine depends on pH. This study demonstrates the hyperchromic behavior of imidazole at various pH values, which may be utilized in an intrinsic fiber optic pH sensor. The dynamic range of the fiber optic sensor was 5 to 11.3 pH units. The sensor was developed by coating a thinned fiber with a sensitive lophine layer. It achieves a sensitivity of 0.27 dB/pH and a response time of 5 s. Full article
(This article belongs to the Section Photonics and Optical Communications)
Show Figures

Figure 1

18 pages, 1570 KB  
Article
Moisture Content Detection in Mango (Mangifera indica L., cv. Ataulfo) and Papaya (Carica papaya) Slices During Drying Using an MMI-Based Sensor
by Guadalupe López-Morales, Yuliana M. Espinosa-Sánchez, Ariel Flores-Rosas and Héber Vilchis
Sensors 2025, 25(22), 6902; https://doi.org/10.3390/s25226902 - 12 Nov 2025
Viewed by 424
Abstract
Monitoring moisture content in agricultural products during the drying process is critical for ensuring quality, preserving nutritional value, and optimizing energy consumption. This study presents the design and implementation of an optical fiber sensor based on multimode interference (MMI) for non-destructive detection of [...] Read more.
Monitoring moisture content in agricultural products during the drying process is critical for ensuring quality, preserving nutritional value, and optimizing energy consumption. This study presents the design and implementation of an optical fiber sensor based on multimode interference (MMI) for non-destructive detection of moisture content in mango (Mangifera indica L., cv. Ataulfo) and papaya (Carica papaya) slices during convective drying at 57 °C. Two sensors were designed and fabricated: one operates in the 975 nm range and the other in the 1414.25 nm range. These sensors detect variations in the refractive index caused by moisture loss, which directly affects the MMI spectral response. The sensor output was correlated with reference gravimetric measurements, demonstrating a dependence in tracking the output power as a function of the reduction in humidity over time. The results confirm the feasibility of the MMI-based optical fiber sensor as a reliable tool for in situ monitoring of drying dynamics in tropical fruits, offering potential applications in agri-food processing and quality control. Full article
Show Figures

Figure 1

22 pages, 1069 KB  
Review
Optical Fiber Sensing Technologies in Radiation Therapy
by Zhe Guang, Chuan He, Victoria Bry, Anh Le, John DeMarco and Indrin J. Chetty
Photonics 2025, 12(11), 1058; https://doi.org/10.3390/photonics12111058 - 25 Oct 2025
Viewed by 1193
Abstract
Optical fiber technology is becoming essential in modern radiation therapy, enabling precise, real-time, and minimally invasive monitoring. As oncology moves toward patient-specific treatment, there is growing demand for adaptable and biologically compatible sensing tools. Fiber-optic systems meet this need by integrating into clinical [...] Read more.
Optical fiber technology is becoming essential in modern radiation therapy, enabling precise, real-time, and minimally invasive monitoring. As oncology moves toward patient-specific treatment, there is growing demand for adaptable and biologically compatible sensing tools. Fiber-optic systems meet this need by integrating into clinical workflows with highly localized dosimetric and spectroscopic feedback. Their small size and flexibility allow deployment within catheters, endoscopes, or treatment applicators, making them suitable for both external beam and internal therapies. This paper reviews the fundamental principles and diverse applications of optical fiber sensing technologies in radiation oncology, focusing on dosimetry, spectroscopy, imaging, and adaptive radiotherapy. Implementations such as scintillating and Bragg grating-based dosimeters demonstrate feasibility for in vivo dose monitoring. Spectroscopic techniques, such as Raman and fluorescence spectroscopy, offer real-time insights into tissue biochemistry, aiding in treatment response assessment and tumor characterization. However, despite such advantages of optical fiber sensors, challenges such as signal attenuation, calibration demands, and limited dynamic range remain. This paper further explores clinical application, technical limitations, and future directions, emphasizing multiplexing capabilities, integration and regulatory considerations, and trends in machine learning development. Collectively, these optical fiber sensing technologies show strong potential to improve the safety, accuracy, and adaptability of radiation therapy in personalized cancer care. Full article
Show Figures

Figure 1

14 pages, 2702 KB  
Article
Albendazole Detection at a Nanomolar Level Through a Fabry–Pérot Interferometer Realized via Molecularly Imprinted Polymers
by Ines Tavoletta, Ricardo Oliveira, Filipa Sequeira, Catarina Cardoso Novo, Luigi Zeni, Giancarla Alberti, Nunzio Cennamo and Rogerio Nunes Nogueira
Sensors 2025, 25(20), 6456; https://doi.org/10.3390/s25206456 - 18 Oct 2025
Viewed by 514
Abstract
Albendazole (ABZ) is a broad-spectrum anthelmintic drug whose residual presence in food and the environment raises public health concerns, requiring rapid and sensitive methods of detection. In this work, a sensitive Fabry–Pérot interferometer (FPI) probe was fabricated by realizing a cavity located at [...] Read more.
Albendazole (ABZ) is a broad-spectrum anthelmintic drug whose residual presence in food and the environment raises public health concerns, requiring rapid and sensitive methods of detection. In this work, a sensitive Fabry–Pérot interferometer (FPI) probe was fabricated by realizing a cavity located at the tip of a single-mode optical fiber core with a molecularly imprinted polymer (MIP) for ABZ detection. The fabrication process involved the development of a photoresist-based micro-hole filled by the specific MIP via thermal polymerization. Interferometric measurements obtained using the proposed sensor system have demonstrated a limit of detection (LOD) of 27 nM, a dynamic concentration range spanning from 27 nM (LOD) to 250 nM, and a linear response at the nanomolar level (27 nM–100 nM). The selectivity test demonstrated no signal when interfering molecules were present, and the application of the sensor for ABZ quantification in a commercial pharmaceutical sample provided good recovery, in accordance with bioanalytical validation standard methods. These results demonstrate the capability of a MIP layer-based FPI probe to provide low-cost and selective optical-sensing strategies, proposing a competitive approach to traditional analytical techniques for ABZ monitoring. Full article
Show Figures

Figure 1

22 pages, 5340 KB  
Article
Circular Array Fiber-Optic Sub-Sensor for Large-Area Bubble Observation, Part I: Design and Experimental Validation of the Sensitive Unit of Array Elements
by Feng Liu, Lei Yang, Hao Li and Zhentao Chen
Sensors 2025, 25(20), 6378; https://doi.org/10.3390/s25206378 - 16 Oct 2025
Viewed by 581
Abstract
For large-scale measurement of microbubble parameters on the ocean surface beneath breaking waves, a buoy-type bubble sensor (BBS) is proposed. This sensor integrates a panoramic bubble imaging sub-sensor with a circular array fiber-optic sub-sensor. The sensitive unit of the latter sub-sensor is designed [...] Read more.
For large-scale measurement of microbubble parameters on the ocean surface beneath breaking waves, a buoy-type bubble sensor (BBS) is proposed. This sensor integrates a panoramic bubble imaging sub-sensor with a circular array fiber-optic sub-sensor. The sensitive unit of the latter sub-sensor is designed via theoretical modeling and experimental validation. Theoretical calculations indicate that the optimal cone angle for a quartz fiber-optic-based sensitive unit ranges from 45.2° to 92°. A prototype array element with a cone angle of 90° was fabricated and used as the core component for feasibility experiments in static and dynamic two-phase (gas and liquid) identification. During static identification, the reflected optical power differs by an order of magnitude between the two phases. For dynamic sensing of multiple microbubble positions, the reflected optical power varies from 13.4 nW to 29.3 nW, which is within the operating range of the array element’s photodetector. In theory, assembling conical quartz fiber-based sensitive units into fiber-optic probes and configuring them as arrays could overcome the resolution limitations of the panoramic bubble imaging sub-sensor. Further discussion of this approach will be presented in a subsequent paper. Full article
(This article belongs to the Section Optical Sensors)
Show Figures

Figure 1

13 pages, 3209 KB  
Article
Fabrication and Measurement of Fiber Optic Sensor Based on Localized Surface Plasmon Resonance for Interleukin-8 Detection Using Micropillar and Gold Nanoparticle Composite
by Min-Jun Kim, Jong-Hyun Bang, Hyeong-Min Kim, Jae-Hyoung Park and Seung-Ki Lee
Appl. Sci. 2025, 15(20), 10894; https://doi.org/10.3390/app152010894 - 10 Oct 2025
Viewed by 858
Abstract
This study reports the development of a fiber-optic localized surface plasmon resonance (FO-LSPR) sensor incorporating a three-dimensional micropillar array functionalized with gold nanoparticles. The micropillar structures were fabricated on the fiber facet using a single-mask imprint lithography process, followed by nanoparticle immobilization to [...] Read more.
This study reports the development of a fiber-optic localized surface plasmon resonance (FO-LSPR) sensor incorporating a three-dimensional micropillar array functionalized with gold nanoparticles. The micropillar structures were fabricated on the fiber facet using a single-mask imprint lithography process, followed by nanoparticle immobilization to create a composite plasmonic surface. Compared with flat polymer-coated fibers, the micropillar array markedly increased the effective sensing surface and enhanced light trapping by providing anti-reflective conditions at the interface. Consequently, the sensor demonstrated superior performance in refractive index sensing, yielding a sensitivity of 4.54 with an R2 of 0.984, in contrast to 3.13 and 0.979 obtained for the flat counterpart. To validate its biosensing applicability, Interleukin-8 (IL-8), a cancer-associated cytokine, was selected as a model analyte. Direct immunoassays revealed quantitative detection across a broad dynamic range (0.1–1000 pg/mL) with a limit of detection of 0.013 pg/mL, while specificity was confirmed against non-target proteins. The proposed FO-LSPR platform thus offers a cost-effective and reproducible route to overcome the surface-area limitations of conventional designs, providing enhanced sensitivity and stability. These results highlight the potential of the micropillar-based FO-LSPR sensor for practical deployment in point-of-care diagnostics and real-time biomolecular monitoring. Full article
Show Figures

Figure 1

17 pages, 13069 KB  
Article
Sensitive Detection of Multi-Point Temperature Based on FMCW Interferometry and DSP Algorithm
by Chengyu Mo, Yuqiang Yang, Xiaoguang Mu, Fujiang Li and Yuting Li
Nanomaterials 2025, 15(20), 1545; https://doi.org/10.3390/nano15201545 - 10 Oct 2025
Viewed by 463
Abstract
This paper presents a high-sensitivity multi-point seawater temperature detection system based on the virtual Vernier effect, achieved through multiplexed Fabry–Perot (FP) cavities combined with optical frequency-modulated continuous wave (FMCW) interferometry. To address the nonlinear frequency scanning issue inherent in FMCW systems, this paper [...] Read more.
This paper presents a high-sensitivity multi-point seawater temperature detection system based on the virtual Vernier effect, achieved through multiplexed Fabry–Perot (FP) cavities combined with optical frequency-modulated continuous wave (FMCW) interferometry. To address the nonlinear frequency scanning issue inherent in FMCW systems, this paper implemented a software compensation method. This approach enables accurate positioning of multiple FP sub-sensors and effective demodulation of the sensing interference spectrum (SIS) for each FP interferometer (FPI). Through digital signal processing (DSP) algorithms and spectral demodulation, each sub-FP sensor generates an artificial reference spectrum (ARS). The virtual Vernier effect is then achieved by means of a computational process that combines the SIS intensity with the corresponding ARS intensity. This eliminates the need for physical reference arrays with carefully detuned spatial frequencies, as is required in traditional Vernier effect implementations. The sensitivity amplification can be dynamically adjusted with the modulation function parameters. Experimental results demonstrate that an optical fiber link of 82.3 m was achieved with a high spatial resolution of 23.9 μm. Within the temperature range of 30 C to 70 C, the temperature sensitivities of the three enhanced EIS reached −275.56 pm/C, −269.78 pm/C, and −280.67 pm/C, respectively, representing amplification factors of 3.32, 4.93, and 6.13 compared to a single SIS. The presented approach not only enables effective multiplexing and spatial localization of multiple fiber sensors but also successfully amplifies weak signal detection. This breakthrough provides crucial technical support for implementing quasi-distributed optical sensitization sensing in marine environments, opening new possibilities for high-precision oceanographic monitoring. Full article
(This article belongs to the Section Nanoelectronics, Nanosensors and Devices)
Show Figures

Figure 1

14 pages, 1994 KB  
Article
Long-Haul Microwave-Photonic Optical Fiber Transfer Delay Measurement via Microwave Signal Interferometry
by Yiguang Yang, Hengrui Liu, Ziyi Wang, Hanwen Zhang, Hongyu Li, Yibo Yuan and Xujin Li
Photonics 2025, 12(10), 949; https://doi.org/10.3390/photonics12100949 - 23 Sep 2025
Viewed by 460
Abstract
Optical-carried microwave interferometry (OCMI) has attracted increasing attention in recent years, as it combines the ease of phase extraction and manipulation of microwave techniques with the low-loss transfer of optical fibers. Conventional OCMI implementations typically employ broadband light sources and coherent photodetection, which [...] Read more.
Optical-carried microwave interferometry (OCMI) has attracted increasing attention in recent years, as it combines the ease of phase extraction and manipulation of microwave techniques with the low-loss transfer of optical fibers. Conventional OCMI implementations typically employ broadband light sources and coherent photodetection, which inevitably suffer from dispersion, polarization fading, and phase drift, severely limiting the achievable sensing distance. In this work, we proposed an optimized OCMI architecture that adopts incoherent photodetection combined with electric-domain microwave interferometry. Comprehensive theoretical analysis and systematic experiments demonstrate that the proposed system enables robust, dynamic, and long-haul fiber transfer delay (FTD) measurements, no less than in 15 km length, with improved resolution and stability. It provides new insight for building long-haul FTD sensor networks. Full article
(This article belongs to the Special Issue Emerging Trends in Fiber Optic Sensing)
Show Figures

Figure 1

17 pages, 2112 KB  
Article
Highly Sensitive Optical Fiber Pb2+ Concentration Sensor Based on HEMA/AM/SA Interpenetrating Polymer Network (IPN) Hydrogel
by Ning Wang, Ming He, Longjiao Wang, Chuanjie Lei, Linyufan Xiao, Yingjie Li and Shuan Liu
Gels 2025, 11(10), 766; https://doi.org/10.3390/gels11100766 - 23 Sep 2025
Cited by 1 | Viewed by 619
Abstract
An optical fiber sensor based on a HEMA/AM/SA interpenetrating polymer network (IPN) hydrogel is proposed for monitoring the concentration of Pb2+. The Fabry–Perot interference cavity is constructed from a single-mode fiber, a ceramic ferrule, and an IPN hydrogel layer. P (HEMA [...] Read more.
An optical fiber sensor based on a HEMA/AM/SA interpenetrating polymer network (IPN) hydrogel is proposed for monitoring the concentration of Pb2+. The Fabry–Perot interference cavity is constructed from a single-mode fiber, a ceramic ferrule, and an IPN hydrogel layer. P (HEMA co AM)/SA IPN hydrogel films were prepared by a step-by-step crosslinking method, which had good mechanical properties, swelling properties, and Pb2+ adsorption capacity. The Pb2+ concentration changes cause the interference spectrum shift of the sensor. By monitoring the wavelength shift under different Pb2+ concentrations, the sensor sensitivity in the range of 0~1 ppm Pb2+ concentration in solution is 5.0743 nm/ppm with 0.994 linearity. The influence of different proportions of IPN hydrogel on the performance of the sensor was studied. In the range of 10–90% HEMA, higher sensitivity is obtained by a small weight ratio of HEMA/AM. The sensor stability, repeatability, selectivity, dynamic response, and temperature response are also investigated in experiments. Experimental results demonstrate that the proposed sensor exhibits good stability, sensitivity, repeatability, and selectivity. Owing to its compact structure, straightforward fabrication, low cost, and good sensing performance, this sensor shows strong potential for application in monitoring Pb2+ concentrations. Full article
Show Figures

Figure 1

28 pages, 2114 KB  
Review
Recent Advances in Flexible Materials for Wearable Optical Biosensors
by Linyan Xie, Kai Yang, Mengfei Wang, Wenli Hou and Qiongqiong Ren
Biosensors 2025, 15(9), 611; https://doi.org/10.3390/bios15090611 - 16 Sep 2025
Viewed by 2309
Abstract
The integration of flexible materials with optical sensing technologies has advanced wearable optical biosensors, offering significant potential in personalized medicine, health monitoring, and disease prevention. This review summarizes the recent advancements in flexible materials for wearable optical biosensors, with a focus on materials [...] Read more.
The integration of flexible materials with optical sensing technologies has advanced wearable optical biosensors, offering significant potential in personalized medicine, health monitoring, and disease prevention. This review summarizes the recent advancements in flexible materials for wearable optical biosensors, with a focus on materials such as polymer substrates, nanostructured materials, MXenes, hydrogels, and textile-based integrated platforms. These materials enhance the functionality, sensitivity, and adaptability of sensors, particularly in wearable applications. The review also explores various optical sensing mechanisms, including surface plasmon resonance (SPR), optical fiber sensing, fluorescence sensing, chemiluminescence, and surface-enhanced Raman spectroscopy (SERS), emphasizing their role in improving the detection capabilities for biomarkers, physiological parameters, and environmental pollutants. Despite significant advancements, critical challenges remain in the fabrication and practical deployment of flexible optical biosensors, particularly regarding the long-term stability of materials under dynamic environments, maintaining reliable biocompatibility during prolonged skin contact, and minimizing signal interference caused by motion artifacts and environmental fluctuations. Addressing these issues is vital to ensure robustness and accuracy in real-world applications. Looking forward, future research should emphasize the development of multifunctional and miniaturized devices, the integration of wireless communication and intelligent data analytics, and the improvement of environmental resilience. Such innovations are expected to accelerate the transition of flexible optical biosensors from laboratory research to practical clinical and consumer healthcare applications, paving the way for intelligent health management and early disease diagnostics. Overall, flexible optical biosensors hold great promise in personalized health management, early disease diagnosis, and continuous physiological monitoring, with the potential to revolutionize the healthcare sector. Full article
(This article belongs to the Special Issue Flexible Electronics for Biosensing)
Show Figures

Figure 1

13 pages, 3349 KB  
Article
Magnetostrictive Behavior of Metglas® 2605SC and Acoustic Sensing Optical Fiber for Distributed Static Magnetic Field Detection
by Zach Dejneka, Daniel Homa, Logan Theis, Anbo Wang and Gary Pickrell
Photonics 2025, 12(9), 914; https://doi.org/10.3390/photonics12090914 - 12 Sep 2025
Viewed by 893
Abstract
Fiber optic technologies have strong potential to augment and improve existing areas of sensor performance across many applications. Magnetic sensing, in particular, has attracted significant interest in structural health monitoring and ferromagnetic object detection. However, current technologies such as fluxgate magnetometers and inspection [...] Read more.
Fiber optic technologies have strong potential to augment and improve existing areas of sensor performance across many applications. Magnetic sensing, in particular, has attracted significant interest in structural health monitoring and ferromagnetic object detection. However, current technologies such as fluxgate magnetometers and inspection gauges rely on measuring magnetic fields as single-point sensors. By using fiber optic distributed strain sensors in tandem with magnetically biased magnetostrictive material, static and dynamic magnetic fields can be detected across long lengths of sensing fiber. This paper investigates the relationship between Fiber Bragg Grating (FBG)-based strain sensors and the magnetostrictive alloy Metglas® 2605SC for the distributed detection of static fields for use in a compact cable design. Sentek Instrument’s picoDAS system is used to interrogate the FBG based sensors coupled with Metglas® that is biased with an alternating sinusoidal magnetic field. The sensing system is then exposed to varied external static magnetic field strengths, and the resultant strain responses are analyzed. A minimum magnetic field strength on the order of 300 nT was able to be resolved and a variety of sensing configurations and conditions were also tested. The sensing system is compact and can be easily cabled as both FBGs and Metglas® are commercialized and readily acquired. In combination with the robust and distributed nature of fiber sensors, this demonstrates strong promise for new means of magnetic characterization. Full article
(This article belongs to the Special Issue Optical Fiber Sensors: Design and Application)
Show Figures

Figure 1

31 pages, 7404 KB  
Article
Multi-Stage Coordinated Azimuth Control for High-Precision Balloon-Borne Astronomical Platforms
by Yulang Cui, Jianghua Zhou, Yijian Li, Wanning Huang and Yongqi Liu
Aerospace 2025, 12(9), 821; https://doi.org/10.3390/aerospace12090821 - 11 Sep 2025
Viewed by 617
Abstract
This study investigates multi-level coupled dynamic issues in near-space balloon-borne astronomical observation platforms subjected to multi-source disturbances, proposing an integrated azimuth pointing control scheme combining unified modeling with composite control strategies. A nonlinear dynamic model is established to characterize inertial coupling effects between [...] Read more.
This study investigates multi-level coupled dynamic issues in near-space balloon-borne astronomical observation platforms subjected to multi-source disturbances, proposing an integrated azimuth pointing control scheme combining unified modeling with composite control strategies. A nonlinear dynamic model is established to characterize inertial coupling effects between the gondola system and secondary gimbal platform. The velocity-loop feedback mechanism utilizing fiber-optic gyroscopes achieves base disturbance decoupling, while an adaptive fuzzy PID controller enhances position-loop disturbance rejection capabilities. A gain adaptation strategy coordinates hierarchical control dynamics, complemented by anti-windup constraints safeguarding actuator operational boundaries. Simulation verifications confirm the exceptional high-precision pointing capability and robust stability under representative wind disturbances and sensor noise conditions. The system maintains a superior control performance across parameter perturbation scenarios, demonstrating consistent operational reliability. This study provides an innovative technical paradigm for precision observation missions in near space. Full article
Show Figures

Figure 1

Back to TopTop