Sign in to use this feature.

Years

Between: -

Subjects

remove_circle_outline
remove_circle_outline
remove_circle_outline
remove_circle_outline
remove_circle_outline
remove_circle_outline
remove_circle_outline
remove_circle_outline
remove_circle_outline

Journals

remove_circle_outline
remove_circle_outline
remove_circle_outline
remove_circle_outline
remove_circle_outline
remove_circle_outline
remove_circle_outline
remove_circle_outline
remove_circle_outline
remove_circle_outline
remove_circle_outline

Article Types

Countries / Regions

remove_circle_outline
remove_circle_outline
remove_circle_outline
remove_circle_outline
remove_circle_outline

Search Results (1,361)

Search Parameters:
Keywords = dynamic mesh

Order results
Result details
Results per page
Select all
Export citation of selected articles as:
15 pages, 3229 KB  
Article
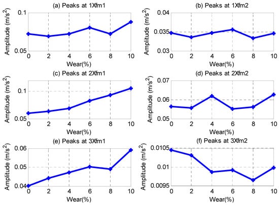
Nonlinear Characterisation of Wind Turbine Gearbox Vibration Dynamics Driven by Inhomogeneous Helical Gear Wear
by Khaldoon F. Brethee, Ghalib R. Ibrahim and Al-Hussein Albarbar
Vibration 2026, 9(1), 20; https://doi.org/10.3390/vibration9010020 - 16 Mar 2026
Abstract
Helical gear transmissions in wind turbine gearboxes operate under high torque, variable speed, and complex rolling–sliding contact conditions, where friction-induced wear evolves in a spatially non-uniform manner. However, most existing dynamic models assume uniform or mild wear and therefore fail to capture the [...] Read more.
Helical gear transmissions in wind turbine gearboxes operate under high torque, variable speed, and complex rolling–sliding contact conditions, where friction-induced wear evolves in a spatially non-uniform manner. However, most existing dynamic models assume uniform or mild wear and therefore fail to capture the nonlinear coupling between localised tooth surface degradation, gear mesh dynamics, and vibration response. In this work, a nonlinear dynamic model of a helical gear pair is formulated by incorporating time-varying mesh stiffness, elasto-hydrodynamic lubrication (EHL)-based friction forces, and wear-dependent contact geometry. The governing equations of motion are derived to explicitly account for the influence of inhomogeneous tooth wear on the contact load distribution and frictional excitation during meshing. Wear evolution is represented as a spatially varying modification of tooth surface topology, enabling the progressive coupling between wear depth, mesh stiffness perturbations, and dynamic transmission error. The model is employed to analyse the effects of non-uniform wear on system stability, vibration spectra, and dynamic response under wind turbine operating conditions. Numerical results reveal that uneven wear introduces nonlinear modulation of gear mesh forces and generates characteristic sidebands and amplitude variations in the vibration signal that are absent in conventional mild-wear formulations. These wear-induced dynamic features provide mathematically traceable indicators for the onset and progression of uneven tooth degradation. The proposed framework establishes a physics-based link between wear evolution and measurable vibration responses, providing a rigorous foundation for advanced vibration-based diagnostics and model-driven condition monitoring of wind turbine gearboxes. Full article
Show Figures

Figure 1

20 pages, 3358 KB  
Article
CFD Simulation of a Vertical-Axis Savonius-Type Micro Wind Turbine Using Meteorological Data from an Educational Environment
by José Cabrera-Escobar, Carlos Mauricio Carrillo Rosero, César Hernán Arroba Arroba, Santiago Paúl Cabrera Anda, Catherine Cabrera-Escobar and Raúl Cabrera-Escobar
Clean Technol. 2026, 8(2), 40; https://doi.org/10.3390/cleantechnol8020040 - 12 Mar 2026
Viewed by 174
Abstract
This study presents a two-dimensional computational fluid dynamics analysis of a vertical-axis Savonius-type wind turbine under atmospheric conditions representative of an educational environment located in the Ecuadorian Andean region. Unlike previous studies conducted under sea-level meteorological conditions, this research is performed under high-altitude [...] Read more.
This study presents a two-dimensional computational fluid dynamics analysis of a vertical-axis Savonius-type wind turbine under atmospheric conditions representative of an educational environment located in the Ecuadorian Andean region. Unlike previous studies conducted under sea-level meteorological conditions, this research is performed under high-altitude conditions (2723 m a.s.l.). The unsteady flow around the rotor was simulated using a two-dimensional approach based on the Unsteady Reynolds-Averaged Navier–Stokes (URANS) equations, discretized with the finite volume method and coupled with the k–ω Shear Stress Transport (SST) turbulence model. The rotor rotation was modeled using sliding mesh technique, employing a second-order implicit time scheme to ensure numerical stability and adequate temporal resolution. The numerical model was configured for a tip speed ratio of 0.8 and a wind speed of 3.9 m/s. The time step was defined based on a constant angular advancement of the rotor per time iteration, ensuring numerical stability and adequate temporal resolution. The aerodynamic torque was obtained by integrating the pressure and viscous forces acting on the blades, allowing the calculation of the mechanical power generated and the power coefficient. The results showed a periodic and stable torque behavior after the initial transient cycles, yielding an average torque of 0.7687 N·m and a mechanical power of 5.17 W, while the power coefficient reached a value of 0.2102. Analysis of the flow fields revealed the formation of a low-velocity wake downstream of the rotor, regions of high turbulent kinetic energy associated with periodic vortex shedding, and a significant pressure difference between the advancing and returning blades, confirming that turbine operation is dominated by drag forces. The numerical results were validated through comparison with previous studies, showing good agreement and demonstrating the reliability of the proposed Computational Fluid Dynamics (CFD) approach. This study highlights the potential of Savonius turbines for low-power applications in urban and educational environments, as well as the usefulness of CFD as a tool for evaluating and optimizing their aerodynamic performance. Full article
Show Figures

Figure 1

24 pages, 5424 KB  
Article
Topology Optimization of Micro-Textured Interfaces for Enhanced Load-Bearing Capacity: Validation via Interface Enriched Lubrication and Anti-Scuffing Analyses
by Yongmei Wang, Xigui Wang, Weiqiang Zou and Jiafu Ruan
Lubricants 2026, 14(3), 113; https://doi.org/10.3390/lubricants14030113 - 5 Mar 2026
Viewed by 276
Abstract
Current research lacks systematic understanding of cross-scale correlations between micro-texture geometry and macro-lubrication behavior. This study presents a multi-scale collaborative optimization methodology for gear Micro-Textured Meshing Interface (MTMI). An objective function targeting macroscopic interfacial performance is formulated, and a topology optimization strategy is [...] Read more.
Current research lacks systematic understanding of cross-scale correlations between micro-texture geometry and macro-lubrication behavior. This study presents a multi-scale collaborative optimization methodology for gear Micro-Textured Meshing Interface (MTMI). An objective function targeting macroscopic interfacial performance is formulated, and a topology optimization strategy is employed to achieve optimal MET configuration. The homogenization analysis captures the modulating effects of MET on local flow and stress fields, while topology optimization transcends conventional parametric geometric constraints, enabling the generation of non-regular MET topological patterns tailored to complex operating conditions, thereby ensuring optimal macroscopic ASLBC. The proposed scheme is validated through numerical simulations of two representative problems capturing distinct lubrication regimes: (1) IEL, characterizing transient load-bearing dynamics governed by temporally evolving MET configurations; and (2) ASLBC, elucidating steady-state load-bearing capacity modulation via spatially heterogeneous MET distributions. A Taylor expansion-based surrogate model is developed to efficiently explore the MET configuration design space, significantly enhancing computational efficiency and solution accuracy for multi-scale optimization. While the gradient-based algorithm cannot guarantee global optimality, extensive numerical simulations and cross-validation studies demonstrate consistent convergence toward high-performance MET configurations, with sensitivity analyses of design parameters further confirming the engineering applicability of the optimized solutions. Full article
Show Figures

Figure 1

22 pages, 3765 KB  
Article
Vibration Characteristics of the Gear–Rotor-Bearing Transmission System Under External Impacts
by Wenbing Tu, Guangya Zhao, Dengliang Hu, Chaodong Zhang, Zhaoping Tang and Wennian Yu
Machines 2026, 14(3), 293; https://doi.org/10.3390/machines14030293 - 4 Mar 2026
Viewed by 265
Abstract
Many industrial machines inevitably suffer from external impacts which can change the meshing state of gears and thus affect the vibration characteristics of the gear transmission system. Previous studies mostly directly applied external impact excitation to the gear pair, with few considering the [...] Read more.
Many industrial machines inevitably suffer from external impacts which can change the meshing state of gears and thus affect the vibration characteristics of the gear transmission system. Previous studies mostly directly applied external impact excitation to the gear pair, with few considering the gear–shaft-bearing system. In reality, external impact excitation first acts on the bearing ends and then is transmitted to the gear ends through the transmission shaft. Therefore, the paper established a bending–torsion coupled dynamic model of the gear–shaft-bearing transmission system, taking into account external impacts, gear eccentricity, time-varying meshing stiffness, transmission error, shafts elastic deformation and nonlinear reactions forces. The vibration characteristics of the bending–torsion coupled gear–shaft-bearing transmission system under external impacts were analyzed in the time and frequency domains. Additionally, the effects of impact load amplitude and impact duration on gear vibration characteristics were investigated. External impacts instantaneously amplified the vibrational energy of the gear pair, which promotes the generation of impact components and increases the vibration acceleration signal amplitude in the time domain. Distinct sidebands emerge in the frequency domain, with meshing impacts intensified during gear operation. Furthermore, as the impact load amplitude increases and the impact duration is shortened, the vibration characteristics of the gear transmission system become more pronounced. The findings provide important theoretical insights and practical engineering significance for improving the reliability and service life of gear transmission systems. Full article
(This article belongs to the Special Issue Advances in Dynamic Analysis of Multibody Mechanical Systems)
Show Figures

Figure 1

21 pages, 1877 KB  
Article
Vibration Response Signal Analysis of Gear Transmission System Considering the Influence of Coupled Crack Fault
by Hengzhe Shi, Wei Li and Wanlin Zhou
Sensors 2026, 26(5), 1615; https://doi.org/10.3390/s26051615 - 4 Mar 2026
Viewed by 228
Abstract
Accurate fault diagnosis of gear transmission systems is crucial for ensuring mechanical reliability and preventing catastrophic failures. However, existing research predominantly focuses on single-gear crack faults, often overlooking the complex coupling effects when cracks occur simultaneously on meshing gears in practical engineering scenarios. [...] Read more.
Accurate fault diagnosis of gear transmission systems is crucial for ensuring mechanical reliability and preventing catastrophic failures. However, existing research predominantly focuses on single-gear crack faults, often overlooking the complex coupling effects when cracks occur simultaneously on meshing gears in practical engineering scenarios. To address this research gap, a multi-degree-of-freedom dynamic model incorporating time-varying mesh stiffness under normal, single-crack, and coupled-crack conditions is established. Experimental validation is conducted based on an FZG closed test rig for power flow. The results indicate that the mesh stiffness under coupled-crack conditions is generally lower than that under single-crack conditions. In the time-domain vibration response, the periodic impact amplitudes induced by coupled cracks are significantly amplified, with the impact period jointly influenced by the rotational speeds of both the driving and driven gears. According to frequency-domain analysis, coupled cracks result in a notable increase in harmonic peaks of the mesh frequency, enhanced sideband amplitudes, and a modulation period that is between the rotational frequencies of the driving and driven gears. The simulation results from the dynamic model show high consistency with the experimental signals in terms of time-frequency characteristic trends and time-domain indicators such as the crest factor, thereby validating the effectiveness of the dynamic model. This study elucidates the unique influence mechanism of coupled cracks on the dynamic behavior of gear systems and can provide theoretical guidance for the accurate diagnosis and condition assessment of multi-tooth faults in subsequent research. Full article
(This article belongs to the Special Issue Fault Diagnosis Based on Sensing and Control Systems)
Show Figures

Figure 1

28 pages, 5858 KB  
Article
Flow Characteristics and Thrust Augmentation Effects of Concentric Canister Gas Jets
by Shilin Yang, Hongliang Qi, Wenyan Song, Nan Niu, Weiwei Huang and Yongping Wang
Energies 2026, 19(5), 1264; https://doi.org/10.3390/en19051264 - 3 Mar 2026
Viewed by 248
Abstract
A transient numerical framework incorporating dynamic mesh techniques was developed to simulate the launch process. On this basis, a thermal–fluid–structural multi-physics coupling paradigm was proposed to interpret the evolution of the flow field and the associated load response throughout the entire firing sequence. [...] Read more.
A transient numerical framework incorporating dynamic mesh techniques was developed to simulate the launch process. On this basis, a thermal–fluid–structural multi-physics coupling paradigm was proposed to interpret the evolution of the flow field and the associated load response throughout the entire firing sequence. The results show that flow development follows a multi-stage dynamic pattern, comprising gas-impact filling, gap-jet formation, and subsequent free-jet expansion. A pronounced spatially heterogeneous phase lag was observed in the pressure–Mach number response. This phenomenon arises from a mismatch among the characteristic time scales of pressure-wave propagation, flow inertia, and shock–boundary-layer interaction. Quantitative analysis further indicates that the spatial superposition of high-temperature zones, high-Mach regions, and elevated-pressure areas activates a thermal–fluid–structural positive-feedback loop that drives the local peak temperature to approximately 2.5 × 103 K. The temperature response lags behind the pressure maximum by approximately 30–50 ms, reflecting the governing time scale of thermal inertia. In addition, vortical structures near the tube base account for nearly 15% of the total thrust. These findings provide a theoretical foundation for predicting transient peak loads in concentric cylindrical systems and for optimizing instantaneous thermal protection strategies. Full article
(This article belongs to the Topic Fluid Mechanics, 2nd Edition)
Show Figures

Figure 1

20 pages, 6771 KB  
Article
Study on Dynamic Characteristics and Buffering Mechanisms of Drilling Pump Valve with Secondary Buffer Function
by Yi Wu and Yongjun Hou
Actuators 2026, 15(3), 143; https://doi.org/10.3390/act15030143 - 3 Mar 2026
Viewed by 246
Abstract
This study addresses the impact-induced failure of drilling pump valves caused by uncontrolled disc–seat collisions by proposing a novel valve design incorporating a two-stage buffering mechanism. The design employs a wave spring as the primary buffer and an elastic sealing ring as the [...] Read more.
This study addresses the impact-induced failure of drilling pump valves caused by uncontrolled disc–seat collisions by proposing a novel valve design incorporating a two-stage buffering mechanism. The design employs a wave spring as the primary buffer and an elastic sealing ring as the secondary buffer, effectively mitigating impact through staged energy dissipation. A nonlinear stiffness model of the wave spring, accounting for the transition between line and surface contact modes, was developed. Strong fluid–structure interaction transients were simulated using dynamic meshing and user-defined functions. A parametric study was conducted by systematically varying cylindrical spring stiffness (7.7–15 N/mm), preload (110–160 N), and wave spring type (D85 to D110). Results show that, compared to a conventional valve, the two-stage mechanism reduces impact velocity by 24.2%, accelerates opening response by 17.9%, and extends the closing phase by 0.28%. Increasing wave spring stiffness (from D85 to D110) decreases opening delay time by 98.7% and attenuates peak velocity by 44.4%. Optimized hybrid spring parameters can minimize closing delay height by 27.3%. By reducing seat erosion and suppressing vibration-induced failure, the two-stage buffering mechanism effectively extends valve service life and enhances operational reliability in high-cycle drilling operations. Full article
(This article belongs to the Section Control Systems)
Show Figures

Figure 1

23 pages, 959 KB  
Article
Vectorized Sparse Second-Order Forward Automatic Differentiation for Optimal Control Direct Methods
by Yilin Zou and Fanghua Jiang
Astronautics 2026, 1(1), 8; https://doi.org/10.3390/astronautics1010008 - 2 Mar 2026
Viewed by 165
Abstract
Direct collocation transcription is a dominant technique for solving complex optimal control problems, converting continuous dynamics into large-scale, sparse nonlinear programming problems. The computational efficiency of this approach is fundamentally limited by the evaluation of first- and second-order derivatives required by modern optimization [...] Read more.
Direct collocation transcription is a dominant technique for solving complex optimal control problems, converting continuous dynamics into large-scale, sparse nonlinear programming problems. The computational efficiency of this approach is fundamentally limited by the evaluation of first- and second-order derivatives required by modern optimization algorithms. While general-purpose automatic differentiation tools exist, they often fail to fully exploit the repetitive substructure inherent in trajectory discretization. This paper presents a vectorized, sparse, second-order forward automatic differentiation framework specifically tailored for direct collocation methods. By explicitly distinguishing between scalar and vector nodes within the expression graph, the proposed method leverages the independence of mesh point evaluations to enable Single Instruction, Multiple Data (SIMD) execution and optimize memory access patterns. This structure-aware approach ensures linear time complexity with respect to the number of discretization nodes while maintaining the flexibility to handle complex dependencies. The methodology is implemented in the open-source software package pockit and is validated through three distinct engineering case studies: the aggressive stabilization of a nano-quadrotor, the powered descent guidance of a reusable launch vehicle, and a low-thrust heliocentric orbital transfer. These applications demonstrate the framework’s capability to deliver high-performance derivative computation for large-scale, nonlinear dynamical systems. Full article
Show Figures

Figure 1

23 pages, 27373 KB  
Article
When Reality Meets Practice: Challenges and Pitfalls in 3D Digitization Using Structured Light Scanning and Photogrammetry in Cultural Heritage
by Eleftheria Iakovaki, Markos Konstantakis, Ioannis Giaourtsakis, Evangelia Rentoumi, Dimitrios Protopapas, Christos Psarras and Efterpi Koskeridou
Information 2026, 17(3), 237; https://doi.org/10.3390/info17030237 - 1 Mar 2026
Viewed by 284
Abstract
Three-dimensional (3D) digitization has become a central methodological pillar in cultural heritage documentation, conservation support, and dissemination. Despite the maturity of image-based photogrammetry and active sensing technologies, real-world digitization campaigns frequently diverge from idealized workflows due to constraints related to object accessibility, surface [...] Read more.
Three-dimensional (3D) digitization has become a central methodological pillar in cultural heritage documentation, conservation support, and dissemination. Despite the maturity of image-based photogrammetry and active sensing technologies, real-world digitization campaigns frequently diverge from idealized workflows due to constraints related to object accessibility, surface properties, lighting conditions, and operational feasibility. As a result, practitioners are often required to adapt acquisition and processing strategies dynamically, balancing geometric fidelity, visual quality, and practical limitations. This study presents a practice-oriented analysis of applied digitization workflows conducted in controlled indoor and museum environments, focusing on fragile and optically challenging cultural and paleontological objects. Structured light scanning, DSLR-based photogrammetry, and hybrid approaches were systematically explored. While structured light scanning offered high nominal resolution, its performance proved sensitive to material properties and surface behavior, leading to incomplete or unstable reconstructions in several cases. Photogrammetric workflows, when supported by controlled acquisition setups, yielded robust and visually coherent results for the majority of objects. For cases where conventional photogrammetry underperformed, alternative AI-assisted image-based reconstruction pipelines were evaluated as complementary solutions. Rather than emphasizing only successful outcomes, the paper documents recurring failure modes, decision-making trade-offs, and breakdown points across acquisition, alignment, meshing, and texturing stages. Empirical observations are synthesized into qualitative comparisons and decision-support tables, highlighting the conditions under which specific digitization strategies succeed or fail. The findings underscore that hybrid workflows, while theoretically advantageous, can amplify integration complexity and error propagation if not carefully constrained. By foregrounding practical constraints and adaptive methodological choices, this work contributes a transparent, experience-driven perspective on cultural heritage digitization, supporting more resilient planning and informed decision-making in future documentation and conservation projects. Full article
(This article belongs to the Special Issue Techniques and Data Analysis in Cultural Heritage, 2nd Edition)
Show Figures

Figure 1

16 pages, 2880 KB  
Article
Dynamic Modeling of Planetary Gear Reducer in High-Torque Hub Drive System
by Fang Li, Xiaofei Du, Haoyu Jiao, Jianrun Zhang and Qidi Fu
Symmetry 2026, 18(3), 429; https://doi.org/10.3390/sym18030429 - 28 Feb 2026
Viewed by 210
Abstract
The hub drive system has emerged as a promising development orientation for future vehicles, with the planetary gear reducer serving as its key power transmission component. Considering the complexity of the reducer’s dynamic characteristics under high-torque conditions, this study establishes a lumped parameter [...] Read more.
The hub drive system has emerged as a promising development orientation for future vehicles, with the planetary gear reducer serving as its key power transmission component. Considering the complexity of the reducer’s dynamic characteristics under high-torque conditions, this study establishes a lumped parameter translational–torsional coupling dynamic model for the two-stage planetary gear reducer based on Lagrange’s dynamic equations, incorporating critical nonlinear factors such as time-varying meshing stiffness and tooth clearance. No-load vibration tests were conducted to collect vibration acceleration of the secondary planet carrier and the primary ring gear under the operating condition of the primary sun gear rotating at 606 r/min. Experimental verification indicates that the errors between the simulation results and experimental acceleration amplitudes are 9.09% and 14.63%, respectively, confirming the validity and reliability of the theory model. This translational–torsional coupling dynamic model provides significant theoretical support for the dynamic optimization design, vibration control, and performance improvement of reducers in high-torque hub drive systems. Full article
Show Figures

Figure 1

25 pages, 3353 KB  
Article
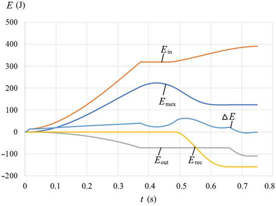
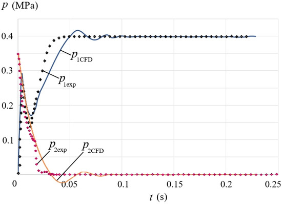
Transient Energy Conversion and Compressed Air Recovery in Pneumatic Systems: Optimization and CFD-Based Analysis
by Andrii Rogovyi, Yuriy Romasevych, Mariana Stryzhak, Ruslan Kryvobok, Gennady Krutikov and Serhiy Iglin
Actuators 2026, 15(3), 135; https://doi.org/10.3390/act15030135 - 27 Feb 2026
Viewed by 239
Abstract
Pneumatic drives remain widely used in industrial automation due to their simplicity and reliability, yet their overall energy efficiency is typically low. This study introduces an energy-efficient pneumatic drive concept that enhances braking control and enables compressed air recovery without modifying the actuator’s [...] Read more.
Pneumatic drives remain widely used in industrial automation due to their simplicity and reliability, yet their overall energy efficiency is typically low. This study introduces an energy-efficient pneumatic drive concept that enhances braking control and enables compressed air recovery without modifying the actuator’s mechanical design. A transient one-dimensional mathematical model is developed to describe system dynamics and is combined with a particle swarm optimization (PSO) algorithm to determine optimal switching coordinates for the braking phase under constraints on piston motion and positioning accuracy. To assess the validity and limitations of simplified models, the optimized process is additionally investigated using a three-dimensional CFD model with moving mesh and valve control. The CFD model is validated experimentally using pressure measurements in the cylinder chambers. The results reveal that conventional isothermal 1D models underestimate transient pressure and energy parameters by up to 30–35% in systems with air recovery, highlighting the necessity of 3D analysis for accurate energy assessment. Optimization increases the duration of the recovery phase by a factor of 2.8 while maintaining cycle time and improving positioning accuracy. The resulting cycle energy efficiency reaches 53.4%, significantly exceeding typical industrial values. The proposed methodology provides a practical framework for designing energy-efficient pneumatic drives. Full article
(This article belongs to the Section Actuators for Manufacturing Systems)
Show Figures

Figure 1

18 pages, 20327 KB  
Article
Purely Physics-Driven Neural Networks for Tracking the Spatiotemporal Evolution of Time-Dependent Flow
by Chuyu Zhou, Yuxin Liu, Guoguo Xin, Pengyu Nan and Hangzhou Yang
Appl. Sci. 2026, 16(5), 2294; https://doi.org/10.3390/app16052294 - 27 Feb 2026
Viewed by 205
Abstract
As a mesh-free solving paradigm, Physics-Informed Neural Networks (PINNs) demonstrate potential in both forward and inverse problems by embedding physical equations into the loss function. However, they still face challenges in capturing the spatiotemporal evolution of complex physical processes. When applied to time-dependent [...] Read more.
As a mesh-free solving paradigm, Physics-Informed Neural Networks (PINNs) demonstrate potential in both forward and inverse problems by embedding physical equations into the loss function. However, they still face challenges in capturing the spatiotemporal evolution of complex physical processes. When applied to time-dependent complex flows, such as high-Reynolds-number cylinder flow, they often rely on supervised data, which is frequently difficult to obtain accurately in practice. To address these issues, this paper proposes a novel unsupervised solving framework—the Adaptive Hard-Constraint Physics-Informed Neural Network (AHC-PINN). This method integrates an adaptive sampling mechanism based on partial differential equation residuals with a hard-constraint strategy. By dynamically evaluating the contribution of collocation points to the loss and incorporating analytically embedded boundary constraints, it directs the network training entirely toward solving the governing equations. Using two-dimensional unsteady cylinder flow as a validation case, experimental results show that AHC-PINN significantly improves the prediction accuracy of wake evolution under unsupervised conditions. Its performance surpasses that of traditional soft-constraint PINNs by an order of magnitude and is even superior to methods using sparse supervised data. Furthermore, through analysis of the PDE loss and gradient distribution, the study explicitly identifies the impact of large-gradient regions on PINN training stability and prediction accuracy, providing a basis for subsequent optimization. Full article
(This article belongs to the Section Computing and Artificial Intelligence)
Show Figures

Figure 1

24 pages, 32955 KB  
Article
SynBag: Synthetic Training Data for Autonomous Grasping of Regolith Bags in the Lunar Environment
by Oluwadamilola O. Kadiri, Mackenzie Annis, Isabel R. Higgon and Kenneth A. McIsaac
Aerospace 2026, 13(2), 204; https://doi.org/10.3390/aerospace13020204 - 22 Feb 2026
Cited by 1 | Viewed by 301
Abstract
Accurate perception of deformable objects on the lunar surface is essential for autonomous construction and in situ resource utilization (ISRU) missions. However, the lack of representative lunar imagery limits the development of data-driven models for pose estimation and manipulation. We present SynBag 1.0, [...] Read more.
Accurate perception of deformable objects on the lunar surface is essential for autonomous construction and in situ resource utilization (ISRU) missions. However, the lack of representative lunar imagery limits the development of data-driven models for pose estimation and manipulation. We present SynBag 1.0, a large-scale synthetic dataset designed for training and benchmarking six-degree-of-freedom (6-DoF) pose estimation algorithms on regolith-filled construction bags. SynBag 1.0 employs rigid-body representations of bag meshes designed to approximate deformable structures with varied levels of feature richness. The dataset was generated using a novel framework titled MoonBot Studio, built in Unreal Engine 5 with physically consistent lunar lighting, low-gravity dynamics, and dynamic dust occlusion modeled through Niagara particle systems. SynBag 1.0 contains approximately 180,000 labeled samples, including RGB images, dense depth maps, instance segmentation masks, and ground-truth 6-DoF poses in a near-BOP format. To verify dataset usability and annotation consistency, we perform zero-shot 6-DoF pose estimation using a state-of-the-art model on a representative subset of the dataset. Variations span solar azimuth, camera height, elevation, dust state, surface degradation, occlusion level, and terrain type. SynBag 1.0 establishes one of the first open, physically grounded datasets for 6-DoF-object perception in lunar construction and provides a scalable basis for future datasets incorporating soft-body simulation and robotic grasping. Full article
(This article belongs to the Special Issue Lunar Construction)
Show Figures

Figure 1

21 pages, 1119 KB  
Article
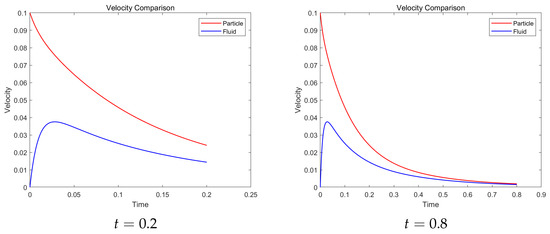
An ALE Framework with an HLLC-2D Riemann Solver for Reactive Gas–Particle Flows
by Jianqiao Zhang, Xianggui Li and Wei Yan
Mathematics 2026, 14(4), 739; https://doi.org/10.3390/math14040739 - 22 Feb 2026
Viewed by 242
Abstract
We propose a coupled gas–particle two-phase model for particle transport in a compressible carrier gas with interphase momentum and energy exchange, and we incorporate a diffusion-based mechanism to represent gas–particle reactions. The governing equations are discretized in an Arbitrary Lagrangian–Eulerian (ALE) finite-volume framework [...] Read more.
We propose a coupled gas–particle two-phase model for particle transport in a compressible carrier gas with interphase momentum and energy exchange, and we incorporate a diffusion-based mechanism to represent gas–particle reactions. The governing equations are discretized in an Arbitrary Lagrangian–Eulerian (ALE) finite-volume framework using an HLLC-type two-dimensional Riemann solver (HLLC-2D). The solver employs a nodal-conservation construction that enforces consistency between numerical fluxes and nodal contact velocities, which helps reduce spurious oscillations near discontinuities on moving meshes. In addition, a particle-search-based Courant–Friedrichs–Lewy(CFL)-like time-step restriction is introduced to enhance robustness in coupled simulations. Numerical tests are presented to assess the method and to illustrate particle-induced modifications of wave dynamics, as well as reaction-driven variations in velocity and temperature fields. Full article
Show Figures

Figure 1

27 pages, 5588 KB  
Article
Study on Heat Generation Mechanisms and Circumferential Temperature Evolution Characteristics of Journal Bearings Under Different Whirl Motion
by Yang Liu, Xujiang Liu, Tingting Yang and Qi Yuan
Appl. Sci. 2026, 16(4), 2069; https://doi.org/10.3390/app16042069 - 20 Feb 2026
Viewed by 195
Abstract
To investigate the heat-generation mechanisms of journal bearings under different whirl motion and to clarify the corresponding temperature distribution characteristics, a computational fluid dynamics-based method was developed. The model incorporates temperature-dependent lubricant viscosity and employs an unsteady dynamic-mesh updating approach based on structured [...] Read more.
To investigate the heat-generation mechanisms of journal bearings under different whirl motion and to clarify the corresponding temperature distribution characteristics, a computational fluid dynamics-based method was developed. The model incorporates temperature-dependent lubricant viscosity and employs an unsteady dynamic-mesh updating approach based on structured grids, enabling the automatic iterative tracking of the journal center during whirl motion. A thermal-effect analysis model that accounts for journal whirl trajectories was thereby established. The whirl orbit shape is characterized using elliptical eccentricity, and the effects of whirl direction, elliptical eccentricity, and whirl frequency on the circumferential temperature and pressure distributions of the journal are examined. Results show that under forward whirl, increasing whirl frequency and elliptical eccentricity initially enhances and then weakens local hydrodynamic pressure and viscous shear dissipation in the oil-film convergent region, producing pronounced first-order circumferential temperature nonuniformity and a high risk of thermal bending at intermediate frequencies. Under backward whirl, hydrodynamic effects are reduced and heat generation shifts from localized concentration to global shear dissipation, forming a relatively uniform second-order circumferential temperature field. Increasing elliptical eccentricity causes the whirl orbit to become more linear, improving load-carrying capacity and heat-transfer performance and thereby mitigating thermally induced vibration and oil-film whirl instability. Full article
(This article belongs to the Section Energy Science and Technology)
Show Figures

Figure 1

Back to TopTop