error_outline You can access the new MDPI.com website here. Explore and share your feedback with us.
 
 
Sign in to use this feature.

Years

Between: -

Subjects

remove_circle_outline
remove_circle_outline
remove_circle_outline
remove_circle_outline
remove_circle_outline
remove_circle_outline
remove_circle_outline

Journals

Article Types

Countries / Regions

Search Results (33)

Search Parameters:
Keywords = dual-robot cooperation

Order results
Result details
Results per page
Select all
Export citation of selected articles as:
23 pages, 2160 KB  
Article
Human–Robot Interaction for a Manipulator Based on a Neural Adaptive RISE Controller Using Admittance Model
by Shengli Chen, Lin Jiang, Keqiang Bai, Yuming Chen, Xiaoang Xu, Guanwu Jiang and Yueyue Liu
Electronics 2025, 14(24), 4862; https://doi.org/10.3390/electronics14244862 - 10 Dec 2025
Viewed by 367
Abstract
Human–robot cooperative tasks require physical human–robot interaction (pHRI) systems that can adapt to individual human behaviors while ensuring robustness and stability. This paper presents a dual-loop control framework combining an admittance outer loop and a neural adaptive inner loop based on the Robust [...] Read more.
Human–robot cooperative tasks require physical human–robot interaction (pHRI) systems that can adapt to individual human behaviors while ensuring robustness and stability. This paper presents a dual-loop control framework combining an admittance outer loop and a neural adaptive inner loop based on the Robust Integral of the Sign of the Error (RISE) approach. The outer loop reshapes the manipulator trajectory according to interaction forces, ensuring compliant motion and user safety. The inner-loop Adaptive RISE–RBFNN controller compensates for unknown nonlinear dynamics and bounded disturbances through online neural learning and robust sign-based correction, guaranteeing semi-global asymptotic convergence. Quantitative results demonstrate that the proposed adaptive RISE controller with neural-network error compensation (ARINNSE) achieves superior performance in the Joint-1 tracking task, reducing the root-mean-square tracking error by approximately 51.7% and 42.3% compared to conventional sliding mode control and standard RISE methods, respectively, while attaining the smallest maximum absolute error and maintaining control energy consumption comparable to that of RISE. Under human–robot interaction scenarios, the controller preserves stable, bounded control inputs and rapid error convergence even under time-varying disturbances. These results confirm that the proposed admittance-based RISE–RBFNN framework provides enhanced robustness, adaptability, and compliance, making it a promising approach for safe and efficient human–robot collaboration. Full article
(This article belongs to the Section Industrial Electronics)
Show Figures

Figure 1

22 pages, 7594 KB  
Article
Research on Task Allocation Method for Dual-Robot Stereoscopic Stone Carving Under Stiffness Constraints
by Jingbo Cong, Hui Huang, Fangchen Yin, Hongwei Shi and Cheng Kang
Machines 2025, 13(12), 1097; https://doi.org/10.3390/machines13121097 - 27 Nov 2025
Viewed by 352
Abstract
Multi-robot systems, owing to their parallel operation and cooperative capabilities, have become an important means of improving the efficiency of complex workpiece machining. However, task allocation methods directly determine the overall system performance, which is particularly critical in scenarios with high curvature and [...] Read more.
Multi-robot systems, owing to their parallel operation and cooperative capabilities, have become an important means of improving the efficiency of complex workpiece machining. However, task allocation methods directly determine the overall system performance, which is particularly critical in scenarios with high curvature and stringent stiffness requirements. This study focuses on a Dual-Robot Carving System (DRCS) and proposes a task allocation method that incorporates stiffness performance constraints, using stereoscopic stone carving as a representative application. First, a workstation optimization model is developed based on the average normal stiffness as the evaluation metric, enabling the selection and allocation of high-complexity tasks. This approach not only ensures machining stiffness but also effectively decouples the task allocation problem. Subsequently, two allocation strategies are designed for low-complexity tasks: one based on machinability and the other on machining time balancing. Comparative simulations and physical experiments are conducted to evaluate the efficiency differences between the proposed methods and the single-robot machining mode. The results show that the machining time balancing strategy improves efficiency by 14.33% compared with the machinability-based strategy, and by 84.78% compared with the single-robot mode. These findings demonstrate the effectiveness of the proposed method in enhancing dual-robot collaborative efficiency and provide a novel modeling perspective and technical support for multi-robot task allocation under stiffness constraints in complex workpiece machining. Full article
(This article belongs to the Section Robotics, Mechatronics and Intelligent Machines)
Show Figures

Graphical abstract

27 pages, 4070 KB  
Article
Research on a Cooperative Grasping Method for Heterogeneous Objects in Unstructured Scenarios of Mine Conveyor Belts Based on an Improved MATD3
by Rui Gao, Mengcong Liu, Jingyi Du, Yifan Bao, Xudong Wu and Jiahui Liu
Sensors 2025, 25(22), 6824; https://doi.org/10.3390/s25226824 - 7 Nov 2025
Viewed by 475
Abstract
Underground coal mine conveying systems operate in unstructured environments. Influenced by geological and operational factors, coal conveyors are frequently contaminated by foreign objects such as coal gangue and anchor bolts. These contaminants disrupt conveying stability and pose challenges to safe mining operations, making [...] Read more.
Underground coal mine conveying systems operate in unstructured environments. Influenced by geological and operational factors, coal conveyors are frequently contaminated by foreign objects such as coal gangue and anchor bolts. These contaminants disrupt conveying stability and pose challenges to safe mining operations, making their effective removal critical. Given the significant heterogeneity and unpredictability of these objects in shape, size, and orientation, precise manipulation requires dual-arm cooperative control. Traditional control algorithms rely on precise dynamic models and fixed parameters, lacking robustness in such unstructured environments. To address these challenges, this paper proposes a cooperative grasping method tailored for heterogeneous objects in unstructured environments. The MATD3 algorithm is employed to cooperatively perform dual-arm trajectory planning and grasping tasks. A multi-factor reward function is designed to accelerate convergence in continuous action spaces, optimize real-time grasping trajectories for foreign objects, and ensure stable robotic arm positioning. Furthermore, priority experience replay (PER) is integrated into the MATD3 framework to enhance experience utilization and accelerate convergence toward optimal policies. For slender objects, a sequential cooperative optimization strategy is developed to improve the stability and reliability of grasping and placement. Experimental results demonstrate that the P-MATD3 algorithm significantly improves grasping success rates and efficiency in unstructured environments. In single-arm tasks, compared to MATD3 and MADDPG, P-MATD3 increases grasping success rates by 7.1% and 9.94%, respectively, while reducing the number of steps required to reach the pre-grasping point by 11.44% and 12.77%. In dual-arm tasks, success rates increased by 5.58% and 9.84%, respectively, while step counts decreased by 11.6% and 18.92%. Robustness testing under Gaussian noise demonstrated that P-MATD3 maintains high stability even with varying noise intensities. Finally, ablation and comparative experiments comprehensively validated the proposed method’s effectiveness in simulated environments. Full article
Show Figures

Figure 1

21 pages, 7401 KB  
Article
Deep Reinforcement Learning-Based Cooperative Harvesting Strategy for Dual-Arm Robots in Apple Picking
by Jinxing Niu, Qingyuan Yu, Mingbo Bi, Junlong Zhao and Tao Zhang
Agronomy 2025, 15(11), 2565; https://doi.org/10.3390/agronomy15112565 - 6 Nov 2025
Viewed by 1051
Abstract
In the field of orchard harvesting, this study proposes a collaborative picking strategy for dual-arm robots, aiming to improve efficiency, reduce labor burden, and achieve precise automation. The strategy combines the Multi-Agent Proximal Policy Optimization (MAPPO) algorithm with the Multi-Objective Greedy Picking Strategy [...] Read more.
In the field of orchard harvesting, this study proposes a collaborative picking strategy for dual-arm robots, aiming to improve efficiency, reduce labor burden, and achieve precise automation. The strategy combines the Multi-Agent Proximal Policy Optimization (MAPPO) algorithm with the Multi-Objective Greedy Picking Strategy (MOGPS) algorithm. By centrally training the critic network and decentralizing the actor network, the robots can autonomously learn and precisely pick in a simulated environment. To address dynamic obstacle avoidance, a dynamic collision assessment strategy is proposed, and an improved MOGPS algorithm is used to consider the distribution of fruits and the complexity of the working environment, achieving adaptive path planning. Experimental results show that the MAPPO-MOGPS algorithm optimizes the picking path by 15.11%, with a picking success rate as high as 92.3% and an average picking error of only 0.014. Additionally, physical experiments in real-world settings demonstrate the algorithm’s practical effectiveness and generalization. Full article
(This article belongs to the Section Precision and Digital Agriculture)
Show Figures

Figure 1

29 pages, 6907 KB  
Article
Force-Closure-Based Weighted Hybrid Force/Position Fuzzy Coordination Control for Dual-Arm Robots
by Jun Dai, Yi Zhang and Weiqiang Dou
Actuators 2025, 14(10), 471; https://doi.org/10.3390/act14100471 - 26 Sep 2025
Cited by 1 | Viewed by 476
Abstract
There is a strong coupling between two arms in cooperative operations of dual-arm robots. To enhance the coordination and cooperation ability of dual-arm robots, a force-closure-based weighted hybrid force/position fuzzy coordination control method is proposed. Firstly, to improve the grasping stability of dual-arm [...] Read more.
There is a strong coupling between two arms in cooperative operations of dual-arm robots. To enhance the coordination and cooperation ability of dual-arm robots, a force-closure-based weighted hybrid force/position fuzzy coordination control method is proposed. Firstly, to improve the grasping stability of dual-arm robots, the force-closure dynamic constraints are established by combining the friction cone constraints with the force and torque balance constraints. Then the optimal distribution of contact force is performed according to the minimum energy consumption principle. Secondly, to enhance the coordination of dual-arm robots, the weighted hybrid force/position control method is modified by adding the synchronization error between two arms. Then the Lyapunov method is adopted to prove the stability of the proposed coordination control method. Thirdly, the fuzzy self-tuning technique is adopted to adjust the control gains automatically. Lastly, a simulation and experiment are performed for collaborative transport. The results show that, compared with the position coordination control and the traditional hybrid force/position control, the weighted hybrid force/position fuzzy coordination control can improve control accuracy and has good cooperation ability and strong robustness. Therefore, the proposed method can effectively realize the coordination control of dual-arm robots. Full article
(This article belongs to the Section Actuators for Robotics)
Show Figures

Figure 1

19 pages, 41284 KB  
Article
Coordinated Dual-Fin Actuation of Bionic Ocean Sunfish Robot for Multi-Modal Locomotion
by Lidong Huang, Zhong Huang, Quanchao Liu, Zhihao Song, Yayi Shen and Mengxing Huang
Biomimetics 2025, 10(8), 489; https://doi.org/10.3390/biomimetics10080489 - 24 Jul 2025
Cited by 2 | Viewed by 1236
Abstract
This paper presents a bionic dual-fin underwater robot, inspired by the ocean sunfish, that achieves multiple swimming motions using only two vertically arranged fins. This work demonstrates that a mechanically simple platform can execute complex 2-D and 3-D motions through advanced control strategies, [...] Read more.
This paper presents a bionic dual-fin underwater robot, inspired by the ocean sunfish, that achieves multiple swimming motions using only two vertically arranged fins. This work demonstrates that a mechanically simple platform can execute complex 2-D and 3-D motions through advanced control strategies, eliminating the need for auxiliary actuators. We control the two fins independently so that they can perform cooperative actions in the water, enabling the robot to perform various motions, including high-speed cruising, agile turning, controlled descents, proactive ascents, and continuous spiraling. The swimming performance of the dual-fin robot in executing multi-modal locomotion is experimentally analyzed through visual measurement methods and onboard sensors. Experimental results demonstrate that a minimalist dual-fin propulsion system of the designed ocean sunfish robot can provide speed (maximum cruising speed of 1.16 BL/s), stability (yaw amplitude less than 4.2°), and full three-dimensional maneuverability (minimum turning radius of 0.89 BL). This design, characterized by its simple structure, multiple motion capabilities, and excellent motion performance, offers a promising pathway for developing robust and versatile robots for diverse underwater applications. Full article
(This article belongs to the Special Issue Bionic Robotic Fish: 2nd Edition)
Show Figures

Figure 1

26 pages, 8154 KB  
Article
Investigation into the Efficient Cooperative Planning Approach for Dual-Arm Picking Sequences of Dwarf, High-Density Safflowers
by Zhenguo Zhang, Peng Xu, Binbin Xie, Yunze Wang, Ruimeng Shi, Junye Li, Wenjie Cao, Wenqiang Chu and Chao Zeng
Sensors 2025, 25(14), 4459; https://doi.org/10.3390/s25144459 - 17 Jul 2025
Cited by 1 | Viewed by 708
Abstract
Path planning for picking safflowers is a key component in ensuring the efficient operation of robotic safflower-picking systems. However, existing single-arm picking devices have become a bottleneck due to their limited operating range, and a breakthrough in multi-arm cooperative picking is urgently needed. [...] Read more.
Path planning for picking safflowers is a key component in ensuring the efficient operation of robotic safflower-picking systems. However, existing single-arm picking devices have become a bottleneck due to their limited operating range, and a breakthrough in multi-arm cooperative picking is urgently needed. To address the issue of inadequate adaptability in current path planning strategies for dual-arm systems, this paper proposes a novel path planning method for dual-arm picking (LTSACO). The technique centers on a dynamic-weight heuristic strategy and achieves optimization through the following steps: first, the K-means clustering algorithm divides the target area; second, the heuristic mechanism of the Ant Colony Optimization (ACO) algorithm is improved by dynamically adjusting the weight factor of the state transition probability, thereby enhancing the diversity of path selection; third, a 2-OPT local search strategy eliminates path crossings through neighborhood search; finally, a cubic Bézier curve heuristically smooths and optimizes the picking trajectory, ensuring the continuity of the trajectory’s curvature. Experimental results show that the length of the parallelogram trajectory, after smoothing with the Bézier curve, is reduced by 20.52% compared to the gantry trajectory. In terms of average picking time, the LTSACO algorithm reduces the time by 2.00%, 2.60%, and 5.60% compared to DCACO, IACO, and the traditional ACO algorithm, respectively. In conclusion, the LTSACO algorithm demonstrates high efficiency and strong robustness, providing an effective optimization solution for multi-arm cooperative picking and significantly contributing to the advancement of multi-arm robotic picking systems. Full article
Show Figures

Figure 1

19 pages, 4860 KB  
Article
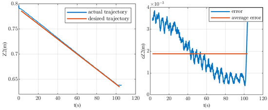
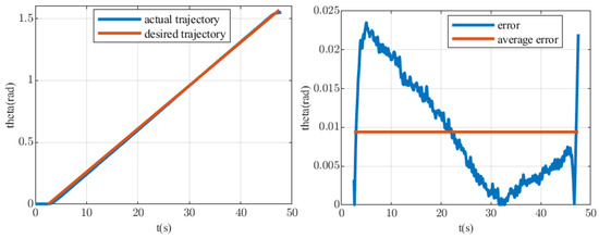
Research on Kinematic Calibration and Trajectory Tracking of the Dual-Robot Collaborative Grinding and Polishing System
by Wenduan Yan, Luwei Xu, Yifang Sun, Hongjie Xu and Zhifei Ji
Sensors 2025, 25(13), 4075; https://doi.org/10.3390/s25134075 - 30 Jun 2025
Viewed by 1102
Abstract
This study proposes a systematic solution to the motion planning challenges in dual-robot collaborative grinding and polishing systems, with its effectiveness experimentally validated. By establishing a dual-robot pose constraint model, this study innovatively integrates the “handshake” method with the seven-point calibration approach, achieving [...] Read more.
This study proposes a systematic solution to the motion planning challenges in dual-robot collaborative grinding and polishing systems, with its effectiveness experimentally validated. By establishing a dual-robot pose constraint model, this study innovatively integrates the “handshake” method with the seven-point calibration approach, achieving enhanced spatial mapping accuracy between the base coordinate system and tool coordinate system. Based on the modified Denavit–Hartenberg (DH) method, this study establishes kinematic modeling for EPSON C4-A901S robots on the MATLAB platform. By integrating calibration parameters, a dual-robot collaborative grinding model is constructed, with its reliability thoroughly verified through comprehensive simulations. An experimental platform integrating dual EPSON C4-series robots with grinding devices, clamping fixtures, and drive systems was established. The average error below 8 mm from 10 repeated experiments fully validates the accuracy and practical applicability of the integrated calibration method. Full article
(This article belongs to the Section Sensors and Robotics)
Show Figures

Figure 1

20 pages, 7183 KB  
Article
A Two-Stage Strategy Integrating Gaussian Processes and TD3 for Leader–Follower Coordination in Multi-Agent Systems
by Xicheng Zhang, Bingchun Jiang, Fuqin Deng and Min Zhao
J. Sens. Actuator Netw. 2025, 14(3), 51; https://doi.org/10.3390/jsan14030051 - 14 May 2025
Viewed by 2355
Abstract
In mobile multi-agent systems (MASs), achieving effective leader–follower coordination under unknown dynamics poses significant challenges. This study proposes a two-stage cooperative strategy that integrates Gaussian Processes (GPs) for modeling and a Twin Delayed Deep Deterministic Policy Gradient (TD3) for policy optimization (GPTD3), aiming [...] Read more.
In mobile multi-agent systems (MASs), achieving effective leader–follower coordination under unknown dynamics poses significant challenges. This study proposes a two-stage cooperative strategy that integrates Gaussian Processes (GPs) for modeling and a Twin Delayed Deep Deterministic Policy Gradient (TD3) for policy optimization (GPTD3), aiming to enhance adaptability and multi-objective optimization. Initially, GPs are utilized to model the uncertain dynamics of agents based on sensor data, providing a stable and noiseless training virtual environment for the first phase of TD3 strategy network training. Subsequently, a TD3-based compensation learning mechanism is introduced to reduce consensus errors among multiple agents by incorporating the position state of other agents. Additionally, the approach employs an enhanced dual-layer reward mechanism tailored to different stages of learning, ensuring robustness and improved convergence speed. Experimental results using a differential drive robot simulation demonstrate the superiority of this method over traditional controllers. The integration of the TD3 compensation network further improves the cooperative reward among agents. Full article
Show Figures

Figure 1

19 pages, 5271 KB  
Article
Comparison of Single-Arm and Dual-Arm Collaborative Robots in Precision Assembly
by Katarzyna Peta, Marcin Wiśniewski, Mikołaj Kotarski and Olaf Ciszak
Appl. Sci. 2025, 15(6), 2976; https://doi.org/10.3390/app15062976 - 10 Mar 2025
Cited by 7 | Viewed by 3459
Abstract
The aim of the study is a multi-criteria comparative evaluation of robots cooperating with humans in single- and dual-arm variants used for the process of precise assembly of complex parts. RobotStudio simulation software with the Signal Analyzer add-on was used for comparative analyses. [...] Read more.
The aim of the study is a multi-criteria comparative evaluation of robots cooperating with humans in single- and dual-arm variants used for the process of precise assembly of complex parts. RobotStudio simulation software with the Signal Analyzer add-on was used for comparative analyses. These studies were conducted as case studies. A robotic station was designed for the assembly of a computer motherboard and two robot variants were programmed to perform the assembly task while maintaining the same motion parameters and functions for both. Then, the TCP motion trajectories associated with the robot were analyzed, as well as monitoring signals from the robot controller during simulation, such as time, speed, acceleration and energy consumption. The costs and profitability of the robot variants were also calculated. The percentage share of tasks performed in the process was also analyzed, divided into assembly tasks and free movements. The differences between the robots in this process include time, 21 s single-arm versus 14 s dual-arm robots. The main influence on achieving the programmed speed was the length of the robot’s TCP motion path. In most cases, the maximum programmed speed of 200 mm/s was achieved. The single-arm robot proved to be more energy-efficient, but the dual-arm robot proved to be 20% faster, which in the long run proved to be a more profitable robot. The profitability of the dual-arm robot paid off after eight months of operation. The case study presented in this paper, assembling a computer motherboard using single- and dual-arm collaborative robots, provides a guide for conducting similar comparative analyses of different robotic stations. Simulations enabled reliable verification of collaborative robots in technological processes, supporting the design of production processes and the analysis of several variants of robotic solutions. Full article
(This article belongs to the Section Robotics and Automation)
Show Figures

Figure 1

15 pages, 3856 KB  
Article
Research on Motion Trajectory Planning and Impedance Control for Dual-Arm Collaborative Robot Grinding Tasks
by Lu Qian, Lei Hao, Shuhao Cui, Xianglin Gao, Xingwei Zhao and Yifan Li
Appl. Sci. 2025, 15(2), 819; https://doi.org/10.3390/app15020819 - 15 Jan 2025
Cited by 2 | Viewed by 2235
Abstract
In robot grinding tasks, dual manipulators possess improved flexibility, which can cooperate to complete different tasks with higher efficiency and satisfactory effect. In collaborative robot grinding tasks, the critical issues lie in the motion trajectory planning of the two manipulators and trajectory tracking [...] Read more.
In robot grinding tasks, dual manipulators possess improved flexibility, which can cooperate to complete different tasks with higher efficiency and satisfactory effect. In collaborative robot grinding tasks, the critical issues lie in the motion trajectory planning of the two manipulators and trajectory tracking with satisfactory accuracy under the condition that the two manipulator ends apply force on each other. In order to accomplish the goals in a more concise and feasible way, a complete scheme for dual-arm robot grinding tasks is essential. To address this issue, taking the motion trajectory planning and impedance control into consideration, a novel scheme for dual manipulators to complete collaborative grinding tasks is presented in this paper. To this end, a dual-arm grinding system is first constructed, and the kinematic constraints in the cooperative motion are analyzed, based on which the motion trajectories of the dual manipulators are planned according to the grinding task objectives. Then, an impedance controller is designed to achieve accurate tracking of the motion trajectory in the grinding process. Finally, dual-arm collaborative simulations and grinding experiments are carried out, and the results show that the proposed method can achieve good motion results and better flexibility compared to the single-arm motion, which demonstrates the effectiveness of the proposed method. Full article
Show Figures

Figure 1

18 pages, 6112 KB  
Article
A Globally Guided Dual-Arm Reactive Motion Controller for Coordinated Self-Handover in a Confined Domestic Environment
by Zihang Geng, Zhiyuan Yang, Wei Xu, Weichao Guo and Xinjun Sheng
Biomimetics 2024, 9(10), 629; https://doi.org/10.3390/biomimetics9100629 - 16 Oct 2024
Cited by 3 | Viewed by 2118
Abstract
Future humanoid robots will be widely deployed in our daily lives. Motion planning and control in an unstructured, confined, and human-centered environment utilizing dexterity and a cooperative ability of dual-arm robots is still an open issue. We propose a globally guided dual-arm reactive [...] Read more.
Future humanoid robots will be widely deployed in our daily lives. Motion planning and control in an unstructured, confined, and human-centered environment utilizing dexterity and a cooperative ability of dual-arm robots is still an open issue. We propose a globally guided dual-arm reactive motion controller (GGDRC) that combines the strengths of global planning and reactive methods. In this framework, a global planner module with a prospective task horizon provides feasible guidance in a Cartesian space, and a local reactive controller module addresses real-time collision avoidance and coordinated task constraints through the exploitation of dual-arm redundancy. GGDRC extends the start-of-the-art optimization-based reactive method for motion-restricted dynamic scenarios requiring dual-arm cooperation. We design a pick–handover–place task to compare the performances of these two methods. Results demonstrate that GGDRC exhibits accurate collision avoidance precision (5 mm) and a high success rate (84.5%). Full article
(This article belongs to the Special Issue Human-Inspired Grasp Control in Robotics)
Show Figures

Figure 1

13 pages, 4426 KB  
Article
Enhancement of Robot Position Control for Dual-User Operation of Remote Robot System with Force Feedback
by Pingguo Huang and Yutaka Ishibashi
Appl. Sci. 2024, 14(20), 9376; https://doi.org/10.3390/app14209376 - 14 Oct 2024
Cited by 1 | Viewed by 1514
Abstract
We focus on dual-user operation, where two users control a single remote robot equipped with a force sensor using haptic interface devices. We employ a cooperative work in which the two users control the remote robot to collaborate with remote robot systems with [...] Read more.
We focus on dual-user operation, where two users control a single remote robot equipped with a force sensor using haptic interface devices. We employ a cooperative work in which the two users control the remote robot to collaborate with remote robot systems with force feedback to carry an object. By measuring the force acting upon the object, we aim to better understand the underlying mechanisms by which the user with lower network latency can help the other user, as observed in our previous work. We notice that with increasing network delays, the force exerted on the object tends to intensify, indicating that it becomes more challenging for users to operate the remote robot effectively as network delays increase. We also measure the force applied to the object by changing the network delays between the remote robot and the two users to clarify why the user with the lower network delay can assist the other user. We find that when the total network delay is the same, the average force magnitude and the average maximum force magnitude remain nearly identical. This is because, despite the challenges faced by the user with the larger network delay, the user with the smaller delay can operate the remote robot more easily and assist the other user. In order to reduce the force acting upon the object, we propose an enhancement method for the robot position control, which determines the position of the remote robot arm while accounting for network delay, and investigate the effects by experiment. Experimental results demonstrate that our proposed method is effective and can reduce the applied force. This is because the proposed method adjusts the ratio between the user with the lower delay and the user with the higher delay. The user with the lower delay can operate the remote robot more easily and respond to it more quickly. Our findings and proposed method can be useful in improving work accuracy and operability when designing a remote robot system with force feedback for applications. Full article
(This article belongs to the Special Issue Trajectory Analysis, Positioning and Control of Mobile Robots)
Show Figures

Figure 1

19 pages, 6221 KB  
Article
Learning Temporal–Spatial Contextual Adaptation for Three-Dimensional Human Pose Estimation
by Hexin Wang, Wei Quan, Runjing Zhao, Miaomiao Zhang and Na Jiang
Sensors 2024, 24(13), 4422; https://doi.org/10.3390/s24134422 - 8 Jul 2024
Cited by 3 | Viewed by 2455
Abstract
Three-dimensional human pose estimation focuses on generating 3D pose sequences from 2D videos. It has enormous potential in the fields of human–robot interaction, remote sensing, virtual reality, and computer vision. Existing excellent methods primarily focus on exploring spatial or temporal encoding to achieve [...] Read more.
Three-dimensional human pose estimation focuses on generating 3D pose sequences from 2D videos. It has enormous potential in the fields of human–robot interaction, remote sensing, virtual reality, and computer vision. Existing excellent methods primarily focus on exploring spatial or temporal encoding to achieve 3D pose inference. However, various architectures exploit the independent effects of spatial and temporal cues on 3D pose estimation, while neglecting the spatial–temporal synergistic influence. To address this issue, this paper proposes a novel 3D pose estimation method with a dual-adaptive spatial–temporal former (DASTFormer) and additional supervised training. The DASTFormer contains attention-adaptive (AtA) and pure-adaptive (PuA) modes, which will enhance pose inference from 2D to 3D by adaptively learning spatial–temporal effects, considering both their cooperative and independent influences. In addition, an additional supervised training with batch variance loss is proposed in this work. Different from common training strategy, a two-round parameter update is conducted on the same batch data. Not only can it better explore the potential relationship between spatial–temporal encoding and 3D poses, but it can also alleviate the batch size limitations imposed by graphics cards on transformer-based frameworks. Extensive experimental results show that the proposed method significantly outperforms most state-of-the-art approaches on Human3.6 and HumanEVA datasets. Full article
(This article belongs to the Special Issue Computer Vision and Virtual Reality: Technologies and Applications)
Show Figures

Figure 1

21 pages, 7174 KB  
Article
An Informed-Bi-Quick RRT* Algorithm Based on Offline Sampling: Motion Planning Considering Multiple Constraints for a Dual-Arm Cooperative System
by Qinglei Zhang, Yunfeng Liu, Jiyun Qin and Jianguo Duan
Actuators 2024, 13(2), 75; https://doi.org/10.3390/act13020075 - 14 Feb 2024
Cited by 3 | Viewed by 2967
Abstract
Aiming to address problems such as low sampling success rate and long computation time in the motion planning of a dual-arm cooperative system with multiple constraints, this paper proposes an Informed-Bi-Quick RRT* algorithm based on offline sampling. First, in the process of pre-sampling, [...] Read more.
Aiming to address problems such as low sampling success rate and long computation time in the motion planning of a dual-arm cooperative system with multiple constraints, this paper proposes an Informed-Bi-Quick RRT* algorithm based on offline sampling. First, in the process of pre-sampling, the new algorithm relaxes the approximation of constrained manifolds by introducing the idea of incremental construction, and it incorporates the stochastic gradient descent method to replace global random sampling with local random sampling, which enriches the data set and shortens the offline sampling time of the data set. Second, the new algorithm improves the original Quick-RRT* algorithm by combining the two-tree idea and the multi-target bias expansion strategy, and it improves the adaptability of the algorithm to different obstacle environments. In addition, the loosely constrained motion and tightly constrained motion in the two-arm cooperative system are analyzed, and the adaptive planning of the two-arm trajectory in different motions is described in detail. In this paper, the two-arm cooperative model constructed with UR5 and UR10 robot arms is studied, and the ability of the proposed algorithm to deal with multiple constraints is verified by simulating assembly and handling tasks. The experimental results show that compared with other methods, the proposed algorithm has obvious advantages in path quality and planning efficiency. Full article
(This article belongs to the Section Control Systems)
Show Figures

Figure 1

Back to TopTop