Sign in to use this feature.

Years

Between: -

Subjects

remove_circle_outline
remove_circle_outline
remove_circle_outline
remove_circle_outline
remove_circle_outline
remove_circle_outline
remove_circle_outline
remove_circle_outline
remove_circle_outline

Journals

Article Types

Countries / Regions

remove_circle_outline
remove_circle_outline
remove_circle_outline
remove_circle_outline

Search Results (342)

Search Parameters:
Keywords = drought classes

Order results
Result details
Results per page
Select all
Export citation of selected articles as:
32 pages, 8251 KB  
Article
Tracking Quarter-Century Spatio-Temporal Soil Salinization Dynamics in Semi-Arid Landscapes Using Earth Observation and Machine Learning
by Aiman Achemrk, Jamal-Eddine Ouzemou, Ahmed Laamrani, Ali El Battay, Soufiane Hajaj, Sabir Oussaoui and Abdelghani Chehbouni
Remote Sens. 2026, 18(5), 687; https://doi.org/10.3390/rs18050687 - 26 Feb 2026
Abstract
Soil salinization represents a critical constraint to sustainable agriculture in arid and semi-arid regions, where salinity threatens soil productivity, water quality, and ecosystem resilience. Soil salinity pattern prediction is complicated by tightly coupled landscape hydro-climatic processes, wherein the central Sabkha acts as a [...] Read more.
Soil salinization represents a critical constraint to sustainable agriculture in arid and semi-arid regions, where salinity threatens soil productivity, water quality, and ecosystem resilience. Soil salinity pattern prediction is complicated by tightly coupled landscape hydro-climatic processes, wherein the central Sabkha acts as a persistent salt sink, episodic inundation and intense evaporation concentrate dissolved salts, and a shallow saline groundwater table interacts with the semi-arid climate to drive surface salinization. Conventional mapping is laborious and lacks the precision needed to capture the spatio-temporal dynamics of soil salinity across landscapes. This study developed an integrated framework uniting multi-temporal Landsat imagery (2000–2025), hypsometric data, climatic indicators, and in situ soil electrical conductivity (ECe) measurements to model soil salinity dynamics using machine learning (ML), over the Sehb El Masjoune (SEM) semi-arid region, Morocco. A total of 233 soil samples were collected in the investigated area in 2022, 2023, 2024, and 2025 to assess the spatial variability to calibrate and validate modeling findings. To this end, three predictive algorithms, i.e., Gradient-Boosted Trees (GBT), Support Vector Regression (SVR), and Random Forest (RF) were assessed. Our findings showed that SVR achieved the highest predictive capability (R2 = 0.76; RMSE = 32.91 dS/m), whereas SVR-based salinity maps revealed a distinct spatial organization of salinization processes, characterized by extremely saline soils (≥64 dS/m) concentrated in the central study area (i.e., SEM center) and a progressive decline toward adjacent agricultural lands (0–8 dS/m). Our results demonstrated that from 2000 to 2025, moderately to highly saline areas (≥16 dS/m) expanded by nearly 10%, driven by recurrent droughts and inefficient drainage. Hydroclimatic analysis confirmed that dry years (SPI: Standardized Precipitation Index ≤ −0.5) promoted net salinity build-up through the expansion and persistence of moderate-to-high salinity classes (≥16 dS/m), whereas wet years (SPI ≥ +0.5) favored temporary leaching and partial recovery, mainly within the low-to-moderate range. This integrative remote sensing–ML approach provides a robust and scalable framework for operational soil salinity monitoring, offering valuable insights for sustainable land-use planning in similar Sabkha’s data-scarce agroecosystems. Full article
Show Figures

Figure 1

13 pages, 1692 KB  
Article
Meteorological Drought Under Climate Variability in the Wadi Sly Basin, Algeria (1967–2022)
by Mohammed Achite, Tolga Baris Terzi, Kusum Pandey, Muhammad Jehanzaib and Tommaso Caloiero
Atmosphere 2026, 17(2), 207; https://doi.org/10.3390/atmos17020207 - 14 Feb 2026
Viewed by 218
Abstract
Meteorological drought is a major natural hazard in semi-arid regions, where high climate variability and strong dependence on precipitation intensify pressure on water resources and socio-economic systems. This study examined the spatiotemporal characteristics of meteorological drought in the Wadi Sly basin (northwestern Algeria) [...] Read more.
Meteorological drought is a major natural hazard in semi-arid regions, where high climate variability and strong dependence on precipitation intensify pressure on water resources and socio-economic systems. This study examined the spatiotemporal characteristics of meteorological drought in the Wadi Sly basin (northwestern Algeria) over the period 1967–2022, using long-term monthly precipitation records from seven meteorological stations. The Standardized Precipitation Index (SPI) was calculated at multiple time scales (1-, 3-, 6-, 9-, and 12-month) to characterize drought onset, severity, persistence, and temporal variability. In addition, drought severity probability and frequency analyses were conducted to evaluate the likelihood and recurrence of different drought classes. The results indicate pronounced inter-annual and decadal variability in drought conditions, with severe and prolonged drought episodes occurring during the mid-1980s, early-to-mid-1990s, and late 2010s. During these periods, SPI values frequently fell below −2.0, signifying extreme drought conditions. Spatial analysis reveals strong basin-wide synchronicity of drought events, suggesting the influence of large-scale atmospheric drivers, although localized variations in drought intensity remain evident. Overall, near-normal conditions dominate the record (accounting for approximately 60–70% of observations), while moderately dry conditions occur more frequently than moderately wet conditions at several stations. Drought characteristics exhibit strong scale dependence, with short-term droughts prevailing at shorter SPI time scales, while longer time scales emphasize drought persistence and accumulation. Overall, the findings indicate an increasing prominence of long-duration drought conditions in recent decades, as evidenced by recurrent low SPI values at longer aggregation scales. Such conditions may pose heightened risks to groundwater recharge processes and long-term water resource availability. Despite the limitations inherent in precipitation-based indices, this study provides a robust statistical framework for drought characterization and contributes valuable insights for improved drought monitoring, early warning systems, and climate-resilient water resource management in semi-arid basins. Full article
Show Figures

Figure 1

19 pages, 1870 KB  
Article
Mycorrhizal Inoculation Enhances Drought Resilience in Citrus Seedlings of Two Cultivars by Modulating Gas Exchange and Hormonal Signaling
by Josefa María Navarro, Asunción Morte and Juan Gabriel Pérez-Pérez
Plants 2026, 15(3), 505; https://doi.org/10.3390/plants15030505 - 6 Feb 2026
Viewed by 231
Abstract
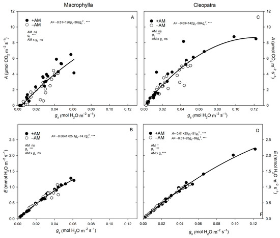
Water scarcity and climate variability threaten citrus production in semi-arid regions, requiring strategies to improve drought resilience. This study evaluated the physiological and hormonal responses of two citrus cultivars, alemow (Citrus macrophylla Wester) and ‘Cleopatramandarin (Citrus reshni Hort. [...] Read more.
Water scarcity and climate variability threaten citrus production in semi-arid regions, requiring strategies to improve drought resilience. This study evaluated the physiological and hormonal responses of two citrus cultivars, alemow (Citrus macrophylla Wester) and ‘Cleopatramandarin (Citrus reshni Hort. Ex Tanaka), inoculated with arbuscular mycorrhizal (AM) fungi (Rhizophagus irregularis + Funneliformis mosseae) and subjected to drought stress imposed by progressive soil drying (water withholding) and quantified by volumetric soil water content (θv) classes: >0.20 cm3 cm−3 (well-watered), 0.05–0.20 cm3 cm−3 (moderate drought), and <0.05 cm3 cm−3 (severe drought). Gas exchange, plant water status, and abscisic acid (ABA) dynamics were monitored to assess cultivar-specific effects of AM symbiosis. Under well-watered conditions, +AM plants exhibited higher photosynthetic rates than non-inoculated plants, with a stronger response in Macrophylla. During drought, contrasting patterns emerged: +AM Macrophylla maintained higher stomatal conductance and photosynthesis, with foliar ABA increasing only under severe stress, suggesting that non-hormonal mechanisms support gas exchange. In Cleopatra, AM inoculation was associated with higher root-derived ABA and earlier stomatal closure, suggesting a more conservative water-use strategy under soil drying conditions; however, the benefits were limited to moderate stress and decreased beyond a stomatal conductance threshold. These findings reveal that AM symbiosis enhances drought resilience through contrasting mechanisms: hydraulic stabilization predominates in Macrophylla, whereas hormonal (ABA-mediated) regulation drives the response in Cleopatra. This cultivar-dependent modulation highlights the importance of developing AM-based strategies adapted to each cultivar for effective citrus drought management. Combining AM inoculation with irrigation-saving practices could improve water productivity and support climate-smart citrus production. Full article
(This article belongs to the Special Issue Drought Responses and Adaptation Mechanisms in Plants, 2nd Edition)
Show Figures

Figure 1

40 pages, 47197 KB  
Article
Remote Sensing and GIS Assessment of Drought Dynamics in the Ukrina River Basin, Bosnia and Herzegovina
by Luka Sabljić, Davorin Bajić, Slobodan B. Marković, Dragutin Adžić, Velibor Spalevic, Paul Sestraș, Dragoslav Pavić and Tin Lukić
Atmosphere 2026, 17(2), 124; https://doi.org/10.3390/atmos17020124 - 24 Jan 2026
Viewed by 1113
Abstract
The subject of this research is the exploration of the potential of remote sensing and Geographic Information Systems (GIS) for basin-scale spatio-temporal monitoring of drought and its impacts in the Ukrina River Basin, Bosnia and Herzegovina (BH), during the last decade (2015–2024). The [...] Read more.
The subject of this research is the exploration of the potential of remote sensing and Geographic Information Systems (GIS) for basin-scale spatio-temporal monitoring of drought and its impacts in the Ukrina River Basin, Bosnia and Herzegovina (BH), during the last decade (2015–2024). The aim is to integrate meteorological, hydrological, agricultural, and socio-economic drought signals and to delineate areas of long-term drought exposure. Meteorological drought was evaluated using CHIRPS precipitation and the Standardized Precipitation Index (SPI) calculated at 1-, 3-, 6-, and 12- month accumulation scales using Gamma fitting and a fixed long term reference period; hydrological drought was examined using available water-level records complemented by the Standardized Water Level Index (SWLI) and supported by correspondence with standardized ERA5-Land runoff anomalies; agricultural drought was mapped using remote sensing indices—the Temperature Condition Index (TCI), Vegetation Condition Index (VCI), and Vegetation Health Index (VHI)—calculated from MODIS satellite data; and socio-economic effects were assessed using municipal crop-production statistics (2015–2019). The results indicate that drought conditions were most pronounced in 2015, 2017, 2021, and especially 2022, showing consistent agreement between precipitation deficits, hydrological responses, and vegetation stress, while 2016, 2018–2020, 2023, and 2024 were generally more favorable. As a key novelty, a persistent drought-prone zone was delineated by intersecting drought-affected areas across major episodes, providing a basin-scale identification of chronic drought hotspots for a river basin in BH. The persistent zone covers 40.02% of the basin and spans nine cities and municipalities, with >93% located in Prnjavor, Derventa, Stanari, and Teslić. Hotspots are concentrated mainly in lowlands below 400 m a.s.l., with a statistically significant concentration across lower elevation classes, indicating higher long-term exposure in the central and northern valley sectors, and land use overlay further highlights high relative exposure of productive land. Overall, the integrated remote sensing and GIS framework strengthens drought monitoring by providing spatially explicit and repeatable evidence to support targeted adaptation planning and drought-risk management. Full article
Show Figures

Graphical abstract

27 pages, 11028 KB  
Article
Integration of Satellite-Derived Meteorological Inputs into SWAT, XGBoost, WGAN, and Hybrid Modelling Frameworks for Climate Change-Driven Streamflow Simulation in a Data-Scarce Region
by Sefa Nur Yeşilyurt and Gülay Onuşluel Gül
Water 2026, 18(2), 239; https://doi.org/10.3390/w18020239 - 16 Jan 2026
Viewed by 404
Abstract
The pressure of climate change on water resources has made the development of reliable hydrological models increasingly important, especially for data-scarce regions. However, due to the limited availability of ground-based observations, it considerably affects the accuracy of models developed using these inputs. This [...] Read more.
The pressure of climate change on water resources has made the development of reliable hydrological models increasingly important, especially for data-scarce regions. However, due to the limited availability of ground-based observations, it considerably affects the accuracy of models developed using these inputs. This also limits the ability to investigate future hydrological behavior. Satellite-based data sources have emerged as an alternative to address this challenge and have received significant attention. However, the transferability of these datasets across different model classes has not been widely explored. This paper evaluates the transferability of satellite-derived inputs to eleven types of models, including process-based (SWAT), data-driven methods (XGBoost and WGAN), and hybrid model structures that utilize SWAT outputs with AI models. SHAP has been applied to overcome the black-box limitations of AI models and gain insights into fundamental hydrometeorological processes. In addition, uncertainty analysis was performed for all models, enabling a more comprehensive evaluation of performance. The results indicate that hybrid models using SWAT combined with WGAN can achieve better predictive accuracy than the SWAT model based on ground observation. While the baseline SWAT model achieved satisfactory performance during the validation period (NSE ≈ 0.86, KGE ≈ 0.80), the hybrid SWAT + WGAN framework improved simulation skill, reaching NSE ≈ 0.90 and KGE ≈ 0.89 during validation. Models forced with satellite-derived meteorological inputs additionally performed as well as those forced using station-based observations, validating the feasibility of using satellite products as alternative data sources. The future hydrological status of the basin was assessed based on the best-performing hybrid model and CMIP6 climate projections, showing a clear drought signal in the flows and long-term reductions in average flows reaching up to 58%. Overall, the findings indicate that the proposed framework provides a consistent approach for data-scarce basins. Future applications may benefit from integrating spatio-temporal learning frameworks and ensemble-based uncertainty quantification to enhance robustness under changing climate conditions. Full article
(This article belongs to the Special Issue Application of Hydrological Modelling to Water Resources Management)
Show Figures

Figure 1

23 pages, 8400 KB  
Article
Seasonal Drought Dynamics in Kenya: Remote Sensing and Combined Indices for Climate Risk Planning
by Vincent Ogembo, Samuel Olala, Ernest Kiplangat Ronoh, Erasto Benedict Mukama and Gavin Akinyi
Climate 2026, 14(1), 14; https://doi.org/10.3390/cli14010014 - 7 Jan 2026
Viewed by 760
Abstract
Drought is a pervasive and intensifying climate hazard with profound implications for food security, water availability, and socioeconomic stability, particularly in sub-Saharan Africa. In Kenya, where over 80% of the landmass comprises arid and semi-arid lands (ASALs), recurrent droughts have become a critical [...] Read more.
Drought is a pervasive and intensifying climate hazard with profound implications for food security, water availability, and socioeconomic stability, particularly in sub-Saharan Africa. In Kenya, where over 80% of the landmass comprises arid and semi-arid lands (ASALs), recurrent droughts have become a critical threat to agricultural productivity and climate resilience. This study presents a comprehensive spatiotemporal analysis of seasonal drought dynamics in Kenya for June–July–August–September (JJAS) from 2000 to 2024, leveraging remote sensing-based drought indices and geospatial analysis for climate risk planning. Using the Standardized Precipitation Evapotranspiration Index (SPEI), Vegetation Condition Index (VCI), Soil Moisture Anomaly (SMA), and Fraction of Absorbed Photosynthetically Active Radiation (FAPAR) anomaly, a Combined Drought Indicator (CDI) was developed to assess drought severity, persistence, and impact across Kenya’s four climatological seasons. Data were processed using Google Earth Engine and visualized through GIS platforms to produce high-resolution drought maps disaggregated by county and land-use class. The results revealed a marked intensification of drought conditions, with Alert and Warning classifications expanding significantly in ASALs, particularly in Garissa, Kitui, Marsabit, and Tana River. The drought persistence analysis revealed chronic exposure in drought conditions in northeastern and southeastern counties, while cropland exposure increased by over 100% while rangeland vulnerability rose nearly 56-fold. Population exposure to drought also rose sharply, underscoring the socioeconomic risks associated with climate-induced water stress. The study provides an operational framework for integrating remote sensing into early warning systems and policy planning, aligning with global climate adaptation goals and national resilience strategies. The findings advocate for proactive, data-driven drought management and localized adaptation interventions in Kenya’s most vulnerable regions. Full article
(This article belongs to the Section Climate and Environment)
Show Figures

Figure 1

17 pages, 2231 KB  
Article
Genome-Wide Identification and Expression Analysis of the ClHMGB Gene Family in Watermelon Under Abiotic Stress and Fusarium oxysporum Infection
by Changqing Xuan, Mengli Yang, Yufan Ma, Xue Dai, Shen Liang, Gaozheng Chang and Xian Zhang
Int. J. Mol. Sci. 2026, 27(1), 157; https://doi.org/10.3390/ijms27010157 - 23 Dec 2025
Viewed by 342
Abstract
High-Mobility Group B (HMGB) proteins are conserved non-histone nuclear proteins involved in DNA replication, transcription, recombination, repair; plant growth and development; and stress responses. In this study, we identified nine ClHMGB genes in watermelon using genome-wide search. Phylogenetic and homology analyses classified them [...] Read more.
High-Mobility Group B (HMGB) proteins are conserved non-histone nuclear proteins involved in DNA replication, transcription, recombination, repair; plant growth and development; and stress responses. In this study, we identified nine ClHMGB genes in watermelon using genome-wide search. Phylogenetic and homology analyses classified them into four distinct classes. Synteny analysis revealed that ClHMGB genes share closer evolutionary relationships with dicots than with monocots. Tissue-specific expression profiling showed that eight ClHMGB members exhibit higher transcript levels in female and/or male flowers, suggesting that they play essential roles in floral organ development. Under drought, low-temperature, and salt stresses, ClHMGB members displayed distinct expression patterns. For instance, ClHMGB4 and ClHMGB8 were downregulated under drought and low-temperature stress but upregulated under salt stress, indicating potential functional specialization in response to different abiotic stresses. The highly virulent Fusarium oxysporum f. sp. niveum race 2 (Fon R2) induced the upregulation of more ClHMGB genes than the less virulent race 1 (Fon R1). Four members (ClHMGB1, 4, 6, and 7) were consistently upregulated by both races, suggesting that they may play fundamental roles in disease resistance. This study provides a foundation for further investigation into the roles of ClHMGB genes in growth, development, and stress responses of watermelon. Full article
(This article belongs to the Special Issue Plant Responses to Biotic and Abiotic Stresses)
Show Figures

Figure 1

19 pages, 5476 KB  
Article
Variable-Rate Nitrogen Application in Rainfed Barley: A Drought-Year Case Study
by Jaume Arnó, Alexandre Escolà, Leire Sandonís-Pozo and José A. Martínez-Casasnovas
Nitrogen 2025, 6(4), 118; https://doi.org/10.3390/nitrogen6040118 - 17 Dec 2025
Viewed by 593
Abstract
This study explores the potential of Precision Agriculture (PA) to optimize top-dressing nitrogen (N) fertilization in rainfed barley under drought conditions in Central Catalonia (Spain). Efficient N management is critical in Mediterranean dryland winter cereal systems, where water scarcity and environmental regulations limit [...] Read more.
This study explores the potential of Precision Agriculture (PA) to optimize top-dressing nitrogen (N) fertilization in rainfed barley under drought conditions in Central Catalonia (Spain). Efficient N management is critical in Mediterranean dryland winter cereal systems, where water scarcity and environmental regulations limit fertilization strategies. Two plots (2.93 ha and 1.80 ha) were zoned using soil apparent electrical conductivity (ECa) and elevation data obtained with the VERIS 3100 ECa soil surveyor. An on-farm experimental design tested four N dose rates (0 kg N/ha, 32 kg N/ha, 64 kg N/ha, and 96 kg N/ha) across two management zones per plot. Yield data were collected using a combine harvester equipped with a yield monitor and were mapped using geostatistical methods. A linear model (ANOVA) was used to analyze barley yield (kg/ha at 13% moisture), with nitrogen rate and soil zone (management class) as explanatory factors. Results showed low average yields (~1200 kg/ha–1300 kg/ha) due to severe water stress during the 2022–2023 season. Non-fertilized plots (N0) and those receiving moderate (N64) or high fertilization (N96) achieved the best performance, with the latter likely enhancing crop N uptake during the post-stress recovery period. In contrast, low fertilization (N32) proved less effective. Marginal return analysis supported variable-rate N application only in one plot, whereas under drought conditions, a no-fertilization strategy proved more suitable in the other. Ultimately, additional trials conducted under more favourable climatic scenarios are necessary to assess and validate the effectiveness of Precision Agriculture-based fertilization strategies in rainfed barley. Full article
Show Figures

Figure 1

14 pages, 2172 KB  
Article
Demographic Drivers of Population Decline in the Endangered Korean Fir (Abies koreana): Insights from a Bayesian Integral Projection Model
by Jeong-Soo Park, Jaeyeon Lee and Chung-Weon Yun
Plants 2025, 14(23), 3686; https://doi.org/10.3390/plants14233686 - 3 Dec 2025
Viewed by 545
Abstract
Understanding the demographic mechanisms underlying the decline of endangered tree species is essential for developing effective conservation strategies. This study aimed to quantify the population trajectory and its demographic drivers in the Korean fir (Abies koreana), a subalpine conifer endemic to [...] Read more.
Understanding the demographic mechanisms underlying the decline of endangered tree species is essential for developing effective conservation strategies. This study aimed to quantify the population trajectory and its demographic drivers in the Korean fir (Abies koreana), a subalpine conifer endemic to South Korea and listed as endangered by the IUCN, using a Bayesian Integral Projection Model (IPM). Based on eight years of field monitoring of survival, growth, and recruitment, the Bayesian IPM estimated the population growth rate (λs) and quantified its uncertainty under interannual environmental variation. The results indicated that interannual variation in drought, represented by the Standardized Precipitation–Evapotranspiration Index (SPEI), was a key driver of demographic changes. The mean population growth rate (λ = 0.983) suggests a slow decline, primarily driven by high mortality among intermediate-sized individuals, which are vital for maintaining population stability. In contrast, the growth of small to medium trees showed a weak but positive elasticity, implying that management actions targeting these size classes could benefit population persistence. Accordingly, effective conservation of A. koreana should focus on mitigating drought stress through reducing competition and improving soil moisture and structure. Full article
Show Figures

Figure 1

14 pages, 2034 KB  
Article
Assessment of the Crown Condition of Oak (Quercus) in Poland—Analysis of Defoliation Trends and Regeneration in the Years 2015–2024
by Grzegorz Zajączkowski, Piotr Budniak, Piotr Mroczek, Wojciech Gil and Pawel Przybylski
Forests 2025, 16(12), 1807; https://doi.org/10.3390/f16121807 - 2 Dec 2025
Viewed by 513
Abstract
Long-term monitoring of tree crown condition is essential for assessing forest resilience under increasing climatic variability. This study presents a comprehensive evaluation of oak (Quercus spp.) defoliation trends in Poland from 2015 to 2024, based on national forest health monitoring data. Mean [...] Read more.
Long-term monitoring of tree crown condition is essential for assessing forest resilience under increasing climatic variability. This study presents a comprehensive evaluation of oak (Quercus spp.) defoliation trends in Poland from 2015 to 2024, based on national forest health monitoring data. Mean defoliation remained relatively stable until 2018, followed by a significant increase in 2019 (+5.1 percentage points; p < 0.001), coinciding with a major drought event across Central Europe. In subsequent years, defoliation gradually decreased and stabilised, indicating partial canopy recovery. Segmented regression and spline models revealed a consistent breakpoint in 2019 across all age classes, with the most severe crown damage recorded in stands older than 100 years. Younger stands showed lower defoliation levels and higher regenerative capacity. A nonlinear relationship between defoliation and growing-season precipitation was also identified, showing that when rainfall fell below 40 mm, canopy loss exceeded 30%. The results confirm that oak defoliation reflects both short-term climatic stress and long-term structural changes. Integrating monitoring data with climatic analyses and statistical modelling improves the detection of stress-related drivers and the assessment of recovery processes. The combined use of these approaches supports adaptive forest management strategies, including the promotion of mixed-species and multi-aged stands, improvement of soil nutrient conditions, and targeted monitoring of drought-sensitive age classes, thereby enhancing the resilience of oak ecosystems to climate change. Full article
(This article belongs to the Special Issue Drought Tolerance in ​Trees: Growth and Physiology)
Show Figures

Figure 1

19 pages, 16157 KB  
Article
Genome-Wide Identification and Expression Analysis of the AS2/LOB Transcription Factor Family in Asparagus officinalis
by Xiao Ye, Yu Li, Sheng-Fu Zhong, Wei-Nian Huang, Jing Zeng, Qian Zuo, Shu Li, Pei Sun, Shan Tao, Ling Huang, Ming-Zhi Zhong, Wen-Ji Zhao, Yu-Xiang Shen, Yang Tao and Jie-Qiong Deng
Genes 2025, 16(12), 1411; https://doi.org/10.3390/genes16121411 - 27 Nov 2025
Viewed by 528
Abstract
Background: AS2/LOB transcription factors are central regulators of plant organ development and stress responses, yet their characteristics in the monocot crop Asparagus officinalis remain uncharacterized. Methods: In this study, we leveraged the A. officinalis genome to perform a genome-wide identification and comprehensive characterization [...] Read more.
Background: AS2/LOB transcription factors are central regulators of plant organ development and stress responses, yet their characteristics in the monocot crop Asparagus officinalis remain uncharacterized. Methods: In this study, we leveraged the A. officinalis genome to perform a genome-wide identification and comprehensive characterization of the AS2/LOB family. We identified 20 AoAS genes (AoAS01AoAS20) and analyzed their physicochemical properties, chromosomal localization, conserved domains and motifs, phylogenetic relationships, gene structures, cis-regulatory elements, duplication history, syntenic relationships, protein–protein interaction networks and expression profiles. Results: Phylogenetic analysis divided the AoAS proteins into two major clades (Class I and Class II), while chromosomal mapping revealed their uneven distribution across eight chromosomes. Analysis of publicly available RNA-seq data showed that 14 AoAS genes exhibit dynamic expression across four developmental stages of the stem (10, 25, 40 and 60 cm), with AoAS11 and AoAS14 consistently displaying high transcript levels. Under drought stress, 12 AoAS genes showed significant transcriptional changes, with AoAS04 and AoAS14 exhibiting the most pronounced expression responses. Conclusions: Together, these results provide a genome-wide portrait of the AS2/LOB family in asparagus, reveal their potential roles in development and drought response, nominate candidate genes for breeding stress-tolerant cultivars, and offer a useful benchmark for molecular breeding in economically important species including peony (Paeonia lactiflora). Full article
(This article belongs to the Section Bioinformatics)
Show Figures

Figure 1

19 pages, 2741 KB  
Article
Genome-Wide Characterization, Expression, and Functional Analysis of Acyl-CoA-Binding Protein (ACBP) Gene Family in Puccinellia tenuiflora
by Hongxia Zheng, Ying Li, Sizhu Wang, Xin Ni, Xiaofeng Xu and Shaojun Dai
Plants 2025, 14(23), 3551; https://doi.org/10.3390/plants14233551 - 21 Nov 2025
Viewed by 599
Abstract
Acyl-CoA-binding proteins (ACBPs) possess a conserved acyl-CoA-binding (ACB) domain that facilitates binding to acyl-CoA esters. In addition to their typical role in lipid metabolism, plant ACBPs have been shown to participate in various physiological processes, such as membrane biogenesis, stress response pathways and [...] Read more.
Acyl-CoA-binding proteins (ACBPs) possess a conserved acyl-CoA-binding (ACB) domain that facilitates binding to acyl-CoA esters. In addition to their typical role in lipid metabolism, plant ACBPs have been shown to participate in various physiological processes, such as membrane biogenesis, stress response pathways and plant immunity mechanisms. Here, we identified five PutACBP members in alkaligrass (Puccinellia tenuiflora), which were divided into four distinct classes based on a phylogenetic tree constructed from 86 ACBP genes from 12 plant species. Promoter analysis identified numerous cis-acting elements linked to abiotic stresses (e.g., light, drought, heat, and cold) and hormone responses. Expression profile analyses revealed that PutACBPs exhibit broad expression patterns across many organs and respond to salinity-alkali, cold, H2O2, and CdCl2 stresses. Transient expression of five PutACBP-GFPs in tobacco (Nicotiana tabacum) revealed PutACBP1 and PutACBP2 localized to the plasma membrane, cytoplasm, and cell nucleus, while PutACBP3, PutACBP4, and PutACBP5 localized around the plasma membrane and cytoplasm. Furthermore, heterologous constitutive expression of PutACBP3 in Arabidopsis (Arabidopsis thaliana) enhanced the resistance of transgenic plants to salinity stress, possibly through alterations in the levels of lipid metabolism-related and stress-responsive genes. The ACBP gene family is highly conserved across different plant species. This study provides the first comprehensive genomic and functional characterization of the PutACBP family in alkaligrass, elucidating its evolutionary conservation, phylogenetic classification, and stress-response roles. Notably, overexpression of PutACBP3 in Arabidopsis significantly enhanced salt tolerance, suggesting its critical function in salt-stress adaptation in alkaligrass. Full article
Show Figures

Figure 1

18 pages, 10300 KB  
Article
Assessment and Validation of FAPAR, a Satellite-Based Plant Health and Water Stress Indicator, over Uganda
by Ronald Ssembajwe, Amina Twah, Godfrey H. Kagezi, Tuula Löytty, Judith Kobusinge, Anthony Gidudu, Geoffrey Arinaitwe, Qingyun Du and Mihai Voda
Remote Sens. 2025, 17(20), 3501; https://doi.org/10.3390/rs17203501 - 21 Oct 2025
Viewed by 695
Abstract
This study aimed to assess, compare, and validate a satellite-based plant health and water stress indicator: Fraction of Absorbed Photosynthetically Active Radiation (FAPAR) over Uganda. We used a direct agricultural drought indicator—the Standardized Precipitation and Evapotranspiration Index at scale 3 (SPEI-03)—and a plant [...] Read more.
This study aimed to assess, compare, and validate a satellite-based plant health and water stress indicator: Fraction of Absorbed Photosynthetically Active Radiation (FAPAR) over Uganda. We used a direct agricultural drought indicator—the Standardized Precipitation and Evapotranspiration Index at scale 3 (SPEI-03)—and a plant water stress indicator—the crop water stress index (CWSI)—for the period of 1983–2013. Novel approaches such as spatial variability and trend analysis, along with correlation analysis, were used to achieve this. The results showed that there are six classes of highly variable photosynthetic activity over Uganda, dominated by class 4 (0.36–0.45). This dominant class encompassed 45% of the total land area, mainly spanning cropland. In addition, significant increases in monthly photosynthetic activity (FAPAR) and FAPAR-centered stress indicators (SFI < −1) were observed over 85% and 60% of total land area, respectively. The Standardized FAPAR Index (SFI) had a strong positive correlation with SPEI-03 over cropland, grassland, and forest lands, while SFI had a strong negative correlation with CWSI over 80% of the total area. These results highlight the state and variation in plant health and water stress, generate insights on ecosystem dynamics and functionality, and weigh in on the usability and reliability of satellite-based variables such as FAPAR in plant water monitoring over Uganda. We thus recommend satellite-based FAPAR as a robust proxy for vegetation health and water stress monitoring over Uganda, with potential application in crop yield prediction and irrigation management to inform effective agricultural planning and improve productivity. Full article
Show Figures

Graphical abstract

25 pages, 7850 KB  
Article
Genome-Wide Identification, Phylogenetic Classification, and Expression Profiling of the HSF Gene Family in Rosa hybrida Under Heat and Drought Stress
by Jiao Zhu, Shikai Fan, Rongchong Li, Fei Dong, Yiyang Liu and Chengpeng Wang
Plants 2025, 14(20), 3167; https://doi.org/10.3390/plants14203167 - 15 Oct 2025
Viewed by 760
Abstract
Rosa hybrida (R. hybrida), a widely cultivated ornamental species, is increasingly threatened by climate-induced abiotic stresses, including heat and drought. Heat shock transcription factors (HSFs) are critical for plant stress responses, yet their roles in R. hybrida remain understudied. In this [...] Read more.
Rosa hybrida (R. hybrida), a widely cultivated ornamental species, is increasingly threatened by climate-induced abiotic stresses, including heat and drought. Heat shock transcription factors (HSFs) are critical for plant stress responses, yet their roles in R. hybrida remain understudied. In this research, 71 HSF genes were identified from the haplotype-resolved genome of the tetraploid variety ‘Samantha’. These genes were classified into three major classes (HSFA, HSFB, HSFC) and 15 subgroups based on phylogenetic and motif analysis. Gene structure and conserved motifs revealed subgroup-specific functional divergence. Promoter analysis identified abundant hormone- and stress-responsive cis-elements, particularly for abscisic acid (ABA) and jasmonic acid. Synteny analysis suggested that segmental duplication contributed to the RhHSF family’s expansion. Tissue-specific expression profiling revealed distinct roles for HSFs, with HSFB genes predominantly expressed in reproductive tissues and HSFA genes in vegetative organs. Expression under heat and drought stress showed dynamic, subgroup-dependent responses, with HSFC members playing significant roles. Functional assays demonstrated that RhHSF17, induced by both stresses and ABA, localized to the nucleus, and its overexpression in Arabidopsis enhanced drought tolerance. This study provides a comprehensive characterization of the RhHSF gene family, offering insights into their roles in stress tolerance and laying the foundation for future functional research. Full article
(This article belongs to the Section Plant Response to Abiotic Stress and Climate Change)
Show Figures

Figure 1

16 pages, 526 KB  
Review
Companion Crops as Catalysts for Sustainable Cover Cropping in Vineyards—A Critical Review and Research Agenda
by Mehdi Sharifi and Zahra Zolfaghari
Plants 2025, 14(19), 3056; https://doi.org/10.3390/plants14193056 - 2 Oct 2025
Cited by 2 | Viewed by 1233
Abstract
Vineyard cover crops deliver well-documented ecosystem services, yet consistent establishment, especially of perennial grasses and legumes, remains a primary barrier to adoption. This review reframes “companion (nurse) cropping” not as a new crop class but as a facilitative establishment strategy within the broader [...] Read more.
Vineyard cover crops deliver well-documented ecosystem services, yet consistent establishment, especially of perennial grasses and legumes, remains a primary barrier to adoption. This review reframes “companion (nurse) cropping” not as a new crop class but as a facilitative establishment strategy within the broader cover-/service-crop literature. We (i) position our contribution relative to recent syntheses, (ii) synthesize evidence on companion crops practices that reduce cover cropping early failure risk, and (iii) propose a testable research agenda. A focused scoping review of peer-reviewed and extension literature indexed in Web of Science and Google Scholar was conducted using search terms encompassing cover/service crops and nurse/companion/facilitation in viticulture systems. Across climates, fast-establishing cereals (Avena sativa, Hordeum vulgare, Secale cereale, × Triticosecale Wittmack) and short-cycle legumes (Vicia sativa, Pisum sativum, Trifolium incarnatum) can reliably “nurse” slower perennials and legumes by providing early groundcover, weeds control, and microclimate buffering when sown at reduced rates (≈25–50% of monoculture) and terminated on time to limit vine competition. Evidence gaps persist for in-row applications, water-use penalties under drought, and long-term effects on yield and grape composition. Companion cropping is argued to be a design principle in vineyard cover-crop programs rather than a separate category. A decision framework and research agenda are presented to quantify establishment reliability, resource trade-offs, and wine-relevant outcomes, and it is recommended that future decision tools make the companion-phase logic explicit to de-risk adoption and align with regional guidelines. Full article
(This article belongs to the Section Crop Physiology and Crop Production)
Show Figures

Figure 1

Back to TopTop