Sign in to use this feature.

Years

Between: -

Subjects

remove_circle_outline
remove_circle_outline
remove_circle_outline
remove_circle_outline
remove_circle_outline
remove_circle_outline
remove_circle_outline
remove_circle_outline
remove_circle_outline

Journals

remove_circle_outline
remove_circle_outline
remove_circle_outline
remove_circle_outline
remove_circle_outline
remove_circle_outline
remove_circle_outline
remove_circle_outline
remove_circle_outline
remove_circle_outline
remove_circle_outline
remove_circle_outline
remove_circle_outline
remove_circle_outline
remove_circle_outline
remove_circle_outline
remove_circle_outline

Article Types

Countries / Regions

remove_circle_outline
remove_circle_outline
remove_circle_outline
remove_circle_outline
remove_circle_outline

Search Results (2,281)

Search Parameters:
Keywords = driver simulator

Order results
Result details
Results per page
Select all
Export citation of selected articles as:
17 pages, 4577 KB  
Technical Note
Planetary Boundary Layer Structure as the Primary Driver of Simulated Impact Multipath in GNSS Radio Occultation
by Li Wang and Shengpeng Yang
Remote Sens. 2026, 18(2), 352; https://doi.org/10.3390/rs18020352 - 20 Jan 2026
Abstract
Simulated impact multipath (SIM) occurs when forward operators propagate Global Navigation Satellite System (GNSS) radio occultation (RO) signals through strongly nonspherical atmospheric structures, producing multivalued bending angles that cannot be assimilated directly. In this study, the relationships between SIM and planetary boundary layer [...] Read more.
Simulated impact multipath (SIM) occurs when forward operators propagate Global Navigation Satellite System (GNSS) radio occultation (RO) signals through strongly nonspherical atmospheric structures, producing multivalued bending angles that cannot be assimilated directly. In this study, the relationships between SIM and planetary boundary layer (PBL) structures were quantified using COSMIC-2 RO observations and ERA5 reanalysis during two periods (January and July 2022). The results show that SIM affects ~36% of RO profiles, with more than 70% of cases occurring within 0.5 km above the diagnosed PBL top. By defining the simulated impact multipath height (SIMH) as the first detection level of SIM, we found that discarding data below the SIMH reduces bending angle biases by more than half and substantially decreases their scatter. These results provide direct physical evidence linking SIM to strong vertical gradients near PBL structures and establish a quantitative basis for simple, effective quality control, thereby improving weather prediction, particularly in the data-sparse tropical lower troposphere. Full article
(This article belongs to the Section Atmospheric Remote Sensing)
25 pages, 50188 KB  
Article
Fracture-Filling Mechanism of Aluminous Rock Series in the Ordos Basin
by Hao Zhao and Jingong Zhang
Appl. Sci. 2026, 16(2), 1040; https://doi.org/10.3390/app16021040 - 20 Jan 2026
Abstract
The “bauxite gas reservoir” in the Ordos Basin represents a novel exploration domain, yet the mechanisms governing its widespread aluminous fracture fillings remain unclear. This study integrates core observation, thin-section analysis, geochemical simulation, and rock physics to investigate the formation and impact of [...] Read more.
The “bauxite gas reservoir” in the Ordos Basin represents a novel exploration domain, yet the mechanisms governing its widespread aluminous fracture fillings remain unclear. This study integrates core observation, thin-section analysis, geochemical simulation, and rock physics to investigate the formation and impact of these fracture systems. Results identify a characteristic filling evolutionary sequence of “wall-lining film → oolitic/globular → plug-like → vermicular.” Geochemical simulations confirm that increasing pH and decreasing Eh driven by water–rock interactions are the key drivers for aluminous mineral precipitation. A distinct well log response model characterized by high GR, DEN, and CNL values coupled with low AC and RT is established for effective identification. Seepage experiments reveal that while Al–Si colloidal fracture fillings reduce permeability, they act as natural proppants to preserve effective flow channels, acting as a crucial high-permeability network for gas migration despite the mineral occlusion. These findings refine the accumulation theory for bauxite series reservoirs and provide geological evidence for deep tight gas exploration. Full article
Show Figures

Figure 1

22 pages, 5492 KB  
Article
High-Performance Multilevel Inverter Integrated DVR for Comprehensive Power Quality Improvement in Power Systems
by Samuel Nii Tackie, Ebrahim Babaei, Şenol Bektaş, Özgür Cemal Özerdem and Murat Fahrioglu
Energies 2026, 19(2), 519; https://doi.org/10.3390/en19020519 - 20 Jan 2026
Abstract
This paper proposes a dynamic voltage restorer (DVR) based on a new three-phase multilevel inverter (MLI). An integral component of DVRs is the power electronic converter. At medium-to-high voltage levels, MLIs are the ideal converters for DVR applications because lower voltage-rated switches are [...] Read more.
This paper proposes a dynamic voltage restorer (DVR) based on a new three-phase multilevel inverter (MLI). An integral component of DVRs is the power electronic converter. At medium-to-high voltage levels, MLIs are the ideal converters for DVR applications because lower voltage-rated switches are used to generate high voltages, thus minimizing power losses. The proposed three-phase MLI generates 15 levels of load voltage per phase, using a reduced component count: eight lower-rated semiconductor power switches, four primary DC voltage sources, two auxiliary DC sources, and eight driver circuits per phase. Additionally, each phase features a low-frequency transformer with voltage-boosting and galvanic isolation capabilities. The switching sequence of the proposed MLI is simpler to execute using fundamental frequency control; this methodology provides reduced switching stress and reduced switching losses as merits. Structurally, the proposed MLI is less complex and thus scalable. The proposed DVR, based on three-phase MLI, efficiently offsets power quality problems such as voltage swell, voltage sags, and harmonics for balanced and unbalanced loads. The operational performance of the proposed DVR-MLI is verified by a simulation, using PSCAD software and an experimental prototype. Full article
(This article belongs to the Section F3: Power Electronics)
Show Figures

Figure 1

22 pages, 6317 KB  
Article
High-Spatiotemporal-Resolution GPP Mapping via a Fusion–VPM Framework: Quantifying Trends and Drivers in the Yellow River Delta from 2000 to 2021
by Ziqi Mai, Pan Li, Xiaomin Sun, Qian Chen, Chongbin Xu, Buli Cui, Yu Wu, Bin Wang and Zhongen Niu
Land 2026, 15(1), 184; https://doi.org/10.3390/land15010184 - 20 Jan 2026
Abstract
Tracking ecosystem productivity in fast-evolving estuarine wetlands is often constrained by the trade-off between spatial detail and temporal continuity in satellite observations. To address this, we developed a reproducible fusion–VPM framework that integrates multi-sensor data to map Gross Primary Production (GPP) at a [...] Read more.
Tracking ecosystem productivity in fast-evolving estuarine wetlands is often constrained by the trade-off between spatial detail and temporal continuity in satellite observations. To address this, we developed a reproducible fusion–VPM framework that integrates multi-sensor data to map Gross Primary Production (GPP) at a high spatiotemporal resolution. By combining the Flexible Spatiotemporal Data Fusion (FSDAF) method with a Time-Series Linear Fitting Model (TSLFM), we constructed a continuous 30 m, 8-day vegetation index record for China’s Yellow River Delta (YRD) from 2000 to 2021. This record was propagated through the Vegetation Photosynthesis Model (VPM) to simulate GPP and quantify the relative contributions of land-use/land-cover change (LUCC) versus environmental factors. The results show a marginally significant increase in total GPP (9.74 Gg C a−1, p = 0.074) over the last two decades. Deconvolution of driving factors reveals that 87.45% of the GPP increase occurred in stable land-cover areas, where the Enhanced Vegetation Index (EVI) was the dominant driver (explaining 79.97% of the variability). In areas undergoing LUCC, the net effect on GPP primarily reflected the combined influences of artificial saline–alkali wetland expansion and cropland expansion: water-to-vegetation conversions enhanced GPP, whereas vegetation-to-water conversions fully offset these gains. This study demonstrates the efficacy of spatiotemporal data fusion in overcoming observational gaps and provides a transferable analytical framework for diagnosing carbon dynamics in complex, dynamic deltaic ecosystems. This study not only provides a critical, high-resolution assessment of carbon dynamics for the YRD but also delivers a generalizable analytical framework for mapping and attributing GPP trends in complex deltaic ecosystems worldwide. Full article
Show Figures

Figure 1

26 pages, 4806 KB  
Article
Behavior-Based Assessment of Driverless Vehicles in Signalized Urban Traffic: Effects on Delay, Emissions, and Fuel Consumption
by Ecem Şentürk Berktaş and Serhan Tanyel
Sustainability 2026, 18(2), 1013; https://doi.org/10.3390/su18021013 - 19 Jan 2026
Viewed by 38
Abstract
The gradual integration of driverless vehicles into urban traffic systems is expected to affect both operational performance and environmental outcomes, particularly during the mixed-automation phase of urban traffic systems, in which human-driven and driverless vehicles coexist. However, existing studies have rarely examined this [...] Read more.
The gradual integration of driverless vehicles into urban traffic systems is expected to affect both operational performance and environmental outcomes, particularly during the mixed-automation phase of urban traffic systems, in which human-driven and driverless vehicles coexist. However, existing studies have rarely examined this phase through jointly accounting for behavioral heterogeneity among human drivers and varying levels of driverless vehicle penetration in signalized urban networks. This study addresses this gap through a behavior-based microscopic traffic simulation framework that explicitly incorporates different human driving styles together with driverless vehicles across penetration levels ranging from 0% to 100%. Network- and link-level indicators, including delay, queue length, fuel consumption, and emissions, are evaluated under coordinated signal control conditions. The results reveal a nonlinear relationship between the automation level and traffic performance. While changes remain limited at low and moderate penetration levels, more pronounced improvements emerge beyond a critical threshold of approximately 75% driverless vehicle penetration. At this level, network-wide average delay reductions of about 3–5% are observed, accompanied by consistent decreases in fuel consumption and emissions. By highlighting how behavioral interactions shape the effectiveness of automation, the findings provide practical insights for traffic engineers and urban planners, supporting the design and evaluation of signalized urban arterials under mixed traffic conditions while contributing to environmental sustainability and sustainable urban mobility through improved traffic efficiency and stability. Full article
(This article belongs to the Section Sustainable Transportation)
Show Figures

Figure 1

25 pages, 20803 KB  
Article
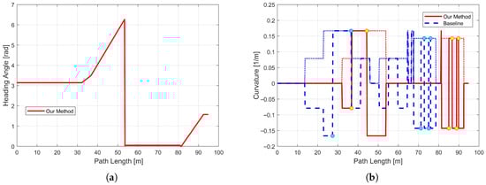
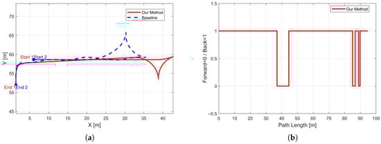
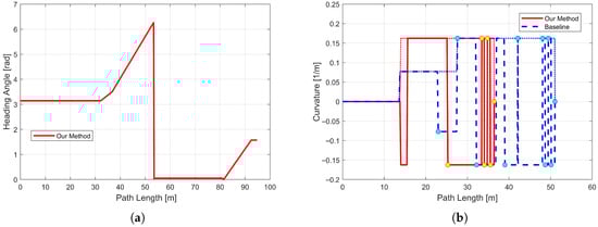
Hierarchical Path Planning for Automatic Parking in Constrained Scenarios via Entry-Point Guidance
by Liang Chen, Lizhi Huang, Chaoyi Chen, Guangwei Wang, Yougang Bian, Mengchi Cai, Qingwen Meng, Qing Xu, Jianqiang Wang and Keqiang Li
Machines 2026, 14(1), 112; https://doi.org/10.3390/machines14010112 - 18 Jan 2026
Viewed by 63
Abstract
Automatic parking in constrained environments, such as dead-end roads and narrow parallel spaces, remains a challenge due to the low success rate and poor real-time performance of conventional planning algorithms. The paper proposes an entry-point guided path planning method that integrates heuristic search [...] Read more.
Automatic parking in constrained environments, such as dead-end roads and narrow parallel spaces, remains a challenge due to the low success rate and poor real-time performance of conventional planning algorithms. The paper proposes an entry-point guided path planning method that integrates heuristic search with hybrid A* and reeds-shepp curve to address the above limitations. By rapidly identifying the optimal initial parking pose, the proposed method ensures the kinematic feasibility and smoothness of the resulting trajectories. To further improve efficiency and safety in tight spaces, a hybrid collision detection mechanism is developed by combining a rectangular envelope with multi-circle fitting. The hierarchical geometric modeling approach significantly reduces computational cost while maintaining high detection accuracy. The method is validated through both simulations and real-vehicle experiments in vertical and parallel parking scenarios. Results demonstrate that in typical constrained scenarios, the average planning time is only 0.543 s, and the number of direction changes is maintained between 1 and 6, demonstrating superior computational efficiency and improved trajectory smoothness. These attributes make the algorithm highly suitable for practical deployment in advanced driver assistance systems and autonomous vehicles. Full article
Show Figures

Figure 1

21 pages, 5218 KB  
Article
Groundwater Pollution Transport in Plain-Type Landfills: Numerical Simulation of Coupled Impacts of Precipitation and Pumping
by Tengchao Li, Shengyan Zhang, Xiaoming Mao, Yuqin He, Ninghao Wang, Daoyuan Zheng, Henghua Gong and Tianye Wang
Hydrology 2026, 13(1), 36; https://doi.org/10.3390/hydrology13010036 - 17 Jan 2026
Viewed by 67
Abstract
Landfills serve as a primary disposal method for municipal solid waste in China, with over 20,000 operational sites nationwide; however, long-term operations risk leachate leakage and groundwater contamination. Amid intensifying climate change and human activities, understanding contaminant evolution mechanisms in landfills has become [...] Read more.
Landfills serve as a primary disposal method for municipal solid waste in China, with over 20,000 operational sites nationwide; however, long-term operations risk leachate leakage and groundwater contamination. Amid intensifying climate change and human activities, understanding contaminant evolution mechanisms in landfills has become critically urgent. Focusing on a representative plain-based landfill in North China, this study integrated field investigations and groundwater monitoring to establish a monthly coupled groundwater flow–solute transport model (using MODFLOW and MT3DMS codes) based on site-specific hydrogeological boundaries and multi-year monitoring data, analyzing spatiotemporal plume evolution under the coupled impacts of precipitation variability (climate change) and intensive groundwater extraction (human activities), spanning the historical period (2021–2024) and future projections (2025–2040). Historical simulations demonstrated robust model performance with satisfactory calibration against observed water levels and chloride concentrations, revealing that the current contamination plume exhibits a distinct distribution beneath the site. Future projections indicate nonlinear concentration increases: in the plume core zone, concentrations rise with precipitation, whereas at the advancing front, concentrations escalate with extraction intensity. Spatially, high-risk zones (>200 mg/L) emerge earlier under wetter conditions—under the baseline scenario (S0), such zones form by 2033 and exceed site boundaries by 2037. Plume expansion scales positively with extraction intensity, reaching its maximum advancement and coverage under the high-extraction scenario. These findings demonstrate dual drivers—precipitation accelerates contaminant accumulation through enhanced leaching, while groundwater extraction promotes plume expansion via heightened hydraulic gradients. This work elucidates coupled climate–human activity impacts on landfill contamination mechanisms, proposing a transferable numerical modeling framework that provides a quantitative scientific basis for post-closure supervision, risk assessment, and regional groundwater protection strategies, thereby aligning with China’s Standard for Pollution Control on the Landfill Site of Municipal Solid Waste and the Zero-Waste City initiative. Full article
24 pages, 3151 KB  
Article
Sustainable Mixed-Traffic Micro-Modeling in Intelligent Connected Environments: Construction and Simulation Analysis
by Yang Zhao, Xiaoqiang Zhang, Haoxing Zhang, Xue Lei, Jianjun Wang and Mei Xiao
Sustainability 2026, 18(2), 960; https://doi.org/10.3390/su18020960 - 17 Jan 2026
Viewed by 167
Abstract
Sustainable urban mobility necessitates traffic regimes that enhance operational efficiency and improve traffic safety and flow stability; the rise in intelligent connected vehicles (ICVs) provides a salient mechanism to meet this imperative. This paper aims to investigate the mixed traffic flow characteristics in [...] Read more.
Sustainable urban mobility necessitates traffic regimes that enhance operational efficiency and improve traffic safety and flow stability; the rise in intelligent connected vehicles (ICVs) provides a salient mechanism to meet this imperative. This paper aims to investigate the mixed traffic flow characteristics in an intelligent connected environment, using one-way single-lane, double-lane, and three-lane straight highways as modeling objects. Combining the different driving characteristics of human-driven vehicles (HDVs) and ICVs, a single-lane mixed traffic flow model and a multi-lane mixed traffic flow model are established based on the intelligent driver model (IDM) and flexible symmetric two-lane cellular automata model (FSTCAM). The mixed traffic flow in the intelligent connected environment is then simulated using MATLAB R2021a. The research results indicate that the integration of ICVs can improve the speed, flow, and critical density of traffic flow. The increase in the proportion of ICVs can reduce the congestion ratio and speed difference between front and rear vehicles at the same density. As the proportion of ICVs increases, the frequency of lane-changing for HDVs gradually increases, while the frequency of lane-changing for ICVs gradually decreases. The overall lane-changing frequency shows a trend of first increasing and then decreasing. In addition, with the continuous infiltration of ICVs, the area of road congestion gradually decreases, and congestion is significantly alleviated. The speed fluctuation of following vehicles gradually decreases. When the infiltration rate reaches a high level, vehicles travel at a stable speed and remain in a relatively steady state. The findings substantiate the potential of ICV-enabled operations to advance efficiency-oriented and stability-enhancing urban mobility and to inform evidence-based traffic management and policy design. Full article
Show Figures

Figure 1

30 pages, 12944 KB  
Article
Machine Learning Analysis of Weather-Yield Relationships in Hainan Island’s Litchi
by Linyi Feng, Chenxiao Shi, Zhiyu Lin, Ruijuan Li, Jiaquan Ning, Ming Shang, Jingying Xu and Lei Bai
Agriculture 2026, 16(2), 237; https://doi.org/10.3390/agriculture16020237 - 16 Jan 2026
Viewed by 139
Abstract
Litchi (Litchi chinensis Sonn.) is a pillar of the tropical agricultural economy in southern China, yet its production faces increasing instability due to climate change. Traditional agronomic models often fail to capture the complex, non-linear interactions between meteorological drivers and yield formation [...] Read more.
Litchi (Litchi chinensis Sonn.) is a pillar of the tropical agricultural economy in southern China, yet its production faces increasing instability due to climate change. Traditional agronomic models often fail to capture the complex, non-linear interactions between meteorological drivers and yield formation in perennial fruit trees. To address this challenge, the study constructed a yield prediction framework using an optimized Random Forest (RF) model integrated with interpretable machine learning (SHAP), based on a comprehensive dataset from 17 major production regions in Hainan Province (2000–2022). The model demonstrated robust predictive capability at the provincial scale (R2 = 0.564, RMSE = 2.1 t/ha) and high consistency across regions (R2 ranging from 0.51 to 0.94). Feature importance analysis revealed that heat accumulation (specifically growing degree days above 20 °C) is the dominant driver, explaining over 85% of yield variability. Crucially, scenario simulations uncovered asymmetric climate risks across phenological stages: while moderate warming generally enhances yield by promoting vegetative growth and ripening, it acts as a stressor during the Fruit Development stage, where temperatures exceeding 26 °C trigger yield decline. Furthermore, the yield penalty for drought during Flowering (−8.09%) far outweighed the marginal benefits of surplus rainfall, identifying this window as critically sensitive to water deficits. These findings underscore the necessity of phenology-aligned adaptation strategies—specifically, securing irrigation during flowering and deploying cooling interventions during fruit development—providing a data-driven basis for climate-smart management in tropical agriculture. Full article
(This article belongs to the Section Artificial Intelligence and Digital Agriculture)
Show Figures

Figure 1

27 pages, 6365 KB  
Article
Lessons Learned and Proposed Solutions for Drilling Wells in the San Juan Basin for a CO2-Storage Project
by Van Tang Nguyen, William Ampomah, Tan Nguyen, Sai Wang, Duc Pham, Hao Duong and Hoa Vo
Appl. Sci. 2026, 16(2), 937; https://doi.org/10.3390/app16020937 - 16 Jan 2026
Viewed by 106
Abstract
This paper synthesizes lessons learned from drilling a CO2-storage stratigraphic well in the San Juan Basin (New Mexico, USA) to clarify drivers of operational incidents and to inform future well planning. A literature review of regional drilling problems was combined with [...] Read more.
This paper synthesizes lessons learned from drilling a CO2-storage stratigraphic well in the San Juan Basin (New Mexico, USA) to clarify drivers of operational incidents and to inform future well planning. A literature review of regional drilling problems was combined with pre-drill engineering based on offset-well history and a geomechanical model, including casing, cementing, and hydraulics designs developed in commercial software; these designs were compared with field execution to extract incident-specific lessons. The most frequent problems observed are lost circulation, stuck pipe, and poor control of drilling parameters, consistent with complex lithology and reservoir pressure depletion that reduces fracture pressure below anticipated values. Based on the lessons learned, three mitigations are proposed as follows: (1) update the geomechanical model with the latest pore, fracture pressure estimates; (2) apply underbalanced drilling using nitrified mud by injecting nitrogen through a parasite string while drilling intermediate and production sections; and (3) maintain operating limits (weight on bit < 44.5 kN, top-drive rotation < 45 rpm, and pump rate < 1.32 m3/min) to improve fluid returns through low-fracture-pressure intervals. Simulation results support the applicability of the proposed solutions. Full article
(This article belongs to the Section Energy Science and Technology)
Show Figures

Figure 1

22 pages, 4516 KB  
Article
Impact Analysis of Tunnel Sidewall Decoration on Driving Safety: An Exploration of Element Complexity and Pattern Spacing Coupling Coordination Using Driving Simulator Technology
by Fangyan Zhang, Qiqi Liu, Jianling Huang, Xiaohua Zhao and Wenhui Dong
Sustainability 2026, 18(2), 844; https://doi.org/10.3390/su18020844 - 14 Jan 2026
Viewed by 80
Abstract
As a novel traffic security facility to improve the environment of tunnels, the influence of tunnel sidewall decoration on drivers has been highly controversial. To analyze the impact of the multi-factor coupling of sidewall decoration effects on driving safety, eight combination schemes with [...] Read more.
As a novel traffic security facility to improve the environment of tunnels, the influence of tunnel sidewall decoration on drivers has been highly controversial. To analyze the impact of the multi-factor coupling of sidewall decoration effects on driving safety, eight combination schemes with different pattern elements and pattern spacings were designed to create a driving simulation environment. Twenty-seven drivers were recruited to obtain fine-grained driving behavior indicators via driving simulation experiments. The velocity following ratio, steering wheel angle, maximum deceleration, and accelerator power were selected to construct an index system. The visual information load of drivers was quantified by the landscape color quantified theory. Based on the analysis of the influence of the singular factor of the pattern element or pattern spacing on driving behavior, a coupling coordination degree model is introduced to quantify the relationship between the complexity of the pattern elements, the pattern spacing, and the coupling coordination degree, and a reasonable combination of their complexities is selected. The results show that the element complexity and pattern spacing of tunnel sidewall decoration have significant effects on driving behavior. Among the schemes considered in this study, the coupling effect of an element complexity of 562.1 and a pattern spacing of 5.5 m was found to be the optimal combination. The coupling coordination degree should be more than 0.8 as the threshold, and the model analysis results indicated that when the pattern spacing was fixed at about 10 m, the ideal element complexity was between 135.6–564.7. This study offers both theoretical and technical support for enhancing traffic safety through tunnel sidewall decoration. By defining optimal thresholds for information density and pattern spacing, it lays a solid foundation for the development of a standardized guideline on decoration content. Full article
(This article belongs to the Section Sustainable Transportation)
Show Figures

Figure 1

20 pages, 12692 KB  
Article
Spatiotemporal Evolution of Water Yield Services and Multiscale Driving Effects in an Arid Watershed: A Case Study of the Aksu River Basin
by Fan Gao, Hairui Li, Shichen Yang, Ying Li, Qiu Zhao and Bing He
Sustainability 2026, 18(2), 818; https://doi.org/10.3390/su18020818 - 13 Jan 2026
Viewed by 179
Abstract
The water yield (WY) service is a critical ecosystem service in arid regions, and understanding its spatiotemporal heterogeneity and controls is important for sustainable watershed management. Annual water yield (WY) in the Aksu River Basin (ARB), China, from 2000 to 2020 was simulated [...] Read more.
The water yield (WY) service is a critical ecosystem service in arid regions, and understanding its spatiotemporal heterogeneity and controls is important for sustainable watershed management. Annual water yield (WY) in the Aksu River Basin (ARB), China, from 2000 to 2020 was simulated using the InVEST model, with validation against observed runoff (NSE = 0.840, R2 = 0.846, RMSE = 1.787). The results revealed a decline in WY from 66.49 mm in 2000 to 43.15 mm in 2015, while retaining a clear north–south gradient, with higher values in the north. Areas showing decreasing and increasing trends accounted for 45.34% and 3.14% of the basin, respectively. WY exhibited strong spatial autocorrelation (global Moran’s I = 0.912–0.941), with high-value clusters in the north and low-value clusters in the south. GeoDetector identified precipitation, temperature, and potential evapotranspiration as key drivers (q = 0.889, 0.880, and 0.832, respectively), with precipitation-related interactions generally exceeding 0.9, indicating enhanced explanatory power through multi-factor coupling. After variable screening and collinearity control, MGWR revealed spatially varying effects of drivers and significant spatial non-stationarity. Overall, despite the declining trend, WY in the ARB maintained a relatively stable spatial structure, with its heterogeneity primarily driven by the coupling of climatic forcing and topographic constraints, providing a scientific basis for zonal water resource management in arid river basins. Full article
Show Figures

Figure 1

26 pages, 6868 KB  
Article
A Novel Human–Machine Shared Control Strategy with Adaptive Authority Allocation Considering Scenario Complexity and Driver Workload
by Lijie Liu, Anning Ni, Linjie Gao, Yutong Zhu and Yi Zhang
Actuators 2026, 15(1), 51; https://doi.org/10.3390/act15010051 - 13 Jan 2026
Viewed by 115
Abstract
Human–machine shared control has been widely adopted to enhance driving performance and facilitate smooth transitions between manual and fully autonomous driving. However, existing authority allocation strategies often neglect real-time assessment of scenario complexity and driver workload. To address this gap, we leverage non-invasive [...] Read more.
Human–machine shared control has been widely adopted to enhance driving performance and facilitate smooth transitions between manual and fully autonomous driving. However, existing authority allocation strategies often neglect real-time assessment of scenario complexity and driver workload. To address this gap, we leverage non-invasive eye-tracking devices and the 3D virtual driving simulator Car Learning to Act (CARLA) to collect multimodal data—including physiological measures and vehicle dynamics—for the real-time classification of scenario complexity and cognitive workload. Feature importance is quantified using the SHAP (SHapley Additive exPlanations) values derived from Random Forest classifiers, enabling robust feature selection. Building upon a Hidden Markov Model (HMM) for workload inference and a Model Predictive Control (MPC) framework, we propose a novel human–machine shared control architecture with adaptive authority allocation. Human-in-the-loop validation experiments under both high- and low-workload conditions demonstrate that the proposed strategy significantly improves driving safety, stability, and overall performance. Notably, under high-workload scenarios, it achieves substantially greater reductions in Time to Collision (TTC) and Time to Lane Crossing (TLC) compared to low-workload conditions. Moreover, the adaptive approach yields lower controller load than alternative authority allocation methods, thereby minimizing human–machine conflict. Full article
(This article belongs to the Section Actuators for Surface Vehicles)
Show Figures

Figure 1

23 pages, 6278 KB  
Article
Scenario-Based Land-Use Trajectories and Habitat Quality in the Yarkant River Basin: A Coupled PLUS–InVEST Assessment
by Min Tian, Yingjie Ma, Qiang Ni, Amannisa Kuerban and Pengrui Ai
Sustainability 2026, 18(2), 796; https://doi.org/10.3390/su18020796 - 13 Jan 2026
Viewed by 135
Abstract
Land use/cover change (LUCC) is a dominant driver of ecosystem service dynamics in arid inland basins. Focusing on the Yarkant River Basin (YRB), Xinjiang, we coupled the PLUS land-use simulation with the InVEST Habitat Quality Model to project 2040 land-use patterns under four [...] Read more.
Land use/cover change (LUCC) is a dominant driver of ecosystem service dynamics in arid inland basins. Focusing on the Yarkant River Basin (YRB), Xinjiang, we coupled the PLUS land-use simulation with the InVEST Habitat Quality Model to project 2040 land-use patterns under four policy scenarios—Natural Development (ND), Arable Protection (AP), Ecological Protection (EP), and Economic Development (ED)—and to quantify their impact on habitat quality. Model validation against the 2020 map indicated strong agreement (Kappa = 0.792; FOM = 0.342), supporting scenario inference. From 1990 to 2023, arable land expanded by 58.17% and construction land by 121.64%, while forest land declined by 37.45%; these shifts corresponded to a basin-wide decline and increasing spatial heterogeneity of habitat quality. Scenario comparisons showed the EP pathway performed best, with 32.11% of the basin classified as very high-quality habitat and only 8.36% as very low-quality. In contrast, under ED, the combined share of very low + low quality reached 11.17%, alongside greater fragmentation. Spatially, high-quality habitat concentrates in forest and grassland zones of the middle–upper basin, whereas low-quality areas cluster along the oasis–desert transition and urban peripheries. Expansion of arable and construction land emerges as the primary driver of degradation. These results underscore the need to prioritize ecological-protection strategies especially improving habitat quality in oasis regions and strengthening landscape connectivity to support spatial planning and ecological security in dryland inland river basins. Full article
Show Figures

Figure 1

16 pages, 2951 KB  
Article
Antioxidant and Anti-Inflammatory Constituents from the Roots of Anodendron affine: Inhibition of the fMLP-Induced Superoxide Anion Generation and Molecular Docking Studies
by Shih-Jung Cheng, Yuen-Sing Lee, Lin-Yang Cheng, Sin-Min Li and Jih-Jung Chen
Antioxidants 2026, 15(1), 97; https://doi.org/10.3390/antiox15010097 - 12 Jan 2026
Viewed by 243
Abstract
Oxidative stress is a key driver of chronic inflammatory diseases. Anodendron affine is a native Formosan plant species in Taiwan that remains largely underexplored phytochemically and bioactivity. To reveal the bioactive constituents and assess its potential as a source of anti-inflammatory antioxidants, we [...] Read more.
Oxidative stress is a key driver of chronic inflammatory diseases. Anodendron affine is a native Formosan plant species in Taiwan that remains largely underexplored phytochemically and bioactivity. To reveal the bioactive constituents and assess its potential as a source of anti-inflammatory antioxidants, we performed bioactivity-guided fractionation and evaluated the inhibition of superoxide anion (O2•−) generation in formyl-L-methionyl-L-leucyl-L-phenylalanine-stimulated human neutrophils. Molecular docking simulations were employed to model interactions with Formyl peptide receptor 1 (FPR1) and the Nicotinamide adenine dinucleotide phosphate (NADPH) oxidase complex, including neutrophil cytosol factor 1 (p47phox) and NADPH oxidase 2 (NOX2), to propose a theoretical mechanism of action. Phytochemical investigation led to the isolation of two new compounds, methyl 4,5-O-diferuloyl-3-methoxyquinate (1) and 16-pregnen-3,12,20-trione (2), together with four known compounds. Notably, 4-hydroxy-3-prenylbenzoic acid (5) exhibited potent inhibitory activity (IC50 = 17.65 ± 0.97 μM), surpassing the activity of the positive control, ibuprofen (IC50 = 27.85 ± 3.56 μM). Docking studies suggested that anodendrosin H (4) and 4-hydroxy-3-prenylbenzoic acid (5) exhibit high predicted binding affinity to p47phox and NOX2. Based on these results, compounds 1, 4, and 5 from A. affine were identified as potential lead candidates for the development of novel anti-inflammatory therapeutics. Full article
(This article belongs to the Special Issue Plant Materials and Their Antioxidant Potential, 3rd Edition)
Show Figures

Figure 1

Back to TopTop