Sign in to use this feature.

Years

Between: -

Subjects

remove_circle_outline
remove_circle_outline
remove_circle_outline
remove_circle_outline
remove_circle_outline
remove_circle_outline
remove_circle_outline
remove_circle_outline
remove_circle_outline

Journals

remove_circle_outline
remove_circle_outline
remove_circle_outline
remove_circle_outline
remove_circle_outline
remove_circle_outline
remove_circle_outline
remove_circle_outline
remove_circle_outline
remove_circle_outline
remove_circle_outline
remove_circle_outline
remove_circle_outline
remove_circle_outline
remove_circle_outline
remove_circle_outline
remove_circle_outline
remove_circle_outline
remove_circle_outline
remove_circle_outline
remove_circle_outline
remove_circle_outline
remove_circle_outline
remove_circle_outline
remove_circle_outline
remove_circle_outline
remove_circle_outline
remove_circle_outline
remove_circle_outline
remove_circle_outline
remove_circle_outline
remove_circle_outline
remove_circle_outline
remove_circle_outline
remove_circle_outline
remove_circle_outline
remove_circle_outline
remove_circle_outline

Article Types

Countries / Regions

remove_circle_outline
remove_circle_outline
remove_circle_outline
remove_circle_outline
remove_circle_outline
remove_circle_outline
remove_circle_outline
remove_circle_outline
remove_circle_outline
remove_circle_outline

Search Results (7,041)

Search Parameters:
Keywords = drainage

Order results
Result details
Results per page
Select all
Export citation of selected articles as:
25 pages, 714 KB  
Article
A Risk-Informed Sustainability Index for Infrastructure Drainage Projects: A Fuzzy Decision-Making Framework
by Murat Gunduz, Khalid Kamal Naji and Ahmed Eltagy
Sustainability 2026, 18(7), 3311; https://doi.org/10.3390/su18073311 (registering DOI) - 28 Mar 2026
Abstract
Infrastructure drainage projects play a critical role in urban development but are increasingly exposed to environmental, operational, and climate-related risks that challenge their long-term sustainability. Despite this, decision-makers continue to lack risk-informed, structured methods to assess sustainability performance in an uncertain environment. In [...] Read more.
Infrastructure drainage projects play a critical role in urban development but are increasingly exposed to environmental, operational, and climate-related risks that challenge their long-term sustainability. Despite this, decision-makers continue to lack risk-informed, structured methods to assess sustainability performance in an uncertain environment. In order to facilitate evidence-based decision-making and sustainable risk management, this study suggests a risk-informed sustainability index for infrastructure drainage projects. The study first points out a weakness in the methods currently used for sustainability assessments, specifically the lack of risk-sensitive, standardized frameworks designed for drainage infrastructure systems. Altogether, 28 sustainability indicators are identified, with 22 indicators retained after the application of fuzzy set theory criteria. The sustainability index is developed by normalizing, weighting, and combining these indicators using a multi-criteria decision analysis (MCDA) method. To show the usefulness and practicality of the suggested approach in assessing sustainability performance and pinpointing risk-critical improvement areas, it is used for a long-term infrastructure drainage project. In order to improve infrastructure resilience, the findings emphasize the significance of early integration of sustainability and risk considerations, stakeholder engagement, and ongoing performance monitoring. The suggested approach offers a flexible and transferable framework for risk-informed decision-making, assisting engineers, project managers, and policymakers in enhancing the resilience and sustainability of infrastructure drainage systems. Full article
18 pages, 1638 KB  
Article
Characteristics and Hazards Prevention of Bed Separation Water Inrush: A Case Study of the Cuimu Coal Mine, China
by Hewen Ma
Water 2026, 18(7), 813; https://doi.org/10.3390/w18070813 (registering DOI) - 28 Mar 2026
Abstract
This paper presents an active prevention and control technology for bed separation water inrush hazards, the effectiveness of which has been validated. Based on the hazard degree identification of such hazards and corresponding preventive measures, the Fuzzy Analytic Hierarchy Process (FAHP) and Expert [...] Read more.
This paper presents an active prevention and control technology for bed separation water inrush hazards, the effectiveness of which has been validated. Based on the hazard degree identification of such hazards and corresponding preventive measures, the Fuzzy Analytic Hierarchy Process (FAHP) and Expert Grading System (EGS) are adopted to analyze the prevention mechanisms and determine the indicator weights of different influencing factors. The results show that enhancing drainage capacity and accurately predicting bed separation water inflow are two effective measures to prevent water inrush or reduce the hazard risk coefficient. In addition, controlling the development of water-conducting fractured zones and optimizing drainage measures are also effective approaches to reducing the risk coefficient. The research results provide a theoretical basis and practical guidance for the prevention and control of bed separation water inrush hazards, and offer an effective and cost-efficient method for addressing such mining-induced hazards. Full article
(This article belongs to the Special Issue Mine Water Environment and Remediation)
22 pages, 793 KB  
Review
Extended-Solvent Steam-Assisted Gravity Drainage (ES-SAGD): A Comprehensive Review of Current Status and Future Directions
by Sayyedvahid Bamzad, Fanhua Zeng, Ali Cheperli and Farshid Torabi
Processes 2026, 14(7), 1095; https://doi.org/10.3390/pr14071095 (registering DOI) - 28 Mar 2026
Abstract
Extended-solvent steam-assisted gravity drainage (ES-SAGD) has emerged as a promising advancement over conventional SAGD for improving the efficiency and sustainability of in situ heavy oil and bitumen recovery. By co-injecting light hydrocarbon or alternative solvents with steam, ES-SAGD integrates thermal and compositional mechanisms [...] Read more.
Extended-solvent steam-assisted gravity drainage (ES-SAGD) has emerged as a promising advancement over conventional SAGD for improving the efficiency and sustainability of in situ heavy oil and bitumen recovery. By co-injecting light hydrocarbon or alternative solvents with steam, ES-SAGD integrates thermal and compositional mechanisms to reduce viscosity, accelerate chamber development, and reduce steam–oil ratios. This review synthesizes the current state of knowledge on ES-SAGD, encompassing fundamental transport mechanisms, solvent selection and phase behavior, mass transfer dynamics, laboratory and physical modeling studies, numerical simulation approaches, and field-scale operational experiences. Experimental evidence consistently demonstrates substantial mobility enhancement through solvent-induced dilution, while compositional thermal simulations highlight an improved sweep efficiency and reduced energy intensity relative to steam-only processes. Field pilots further validate accelerated early-time production and significant steam savings, though challenges related to solvent retention, asphaltene stability, and reservoir heterogeneity persist. Key research gaps are identified in solvent transport prediction, formation damage risk, long-term solvent recovery, and integrated economic–environmental optimization. Overall, ES-SAGD offers a viable pathway toward lower-emission, higher-efficiency bitumen production, provided that solvent chemistry, reservoir complexity, and operational controls are carefully managed through continued research and targeted field deployment. Full article
(This article belongs to the Special Issue Advanced Technology in Unconventional Resource Development)
Show Figures

Figure 1

20 pages, 1893 KB  
Review
Schizothoracinae in Plateau River Networks: Drainage History, Polyploid Genome Evolution, Multi-Omics Evidence Chains, and Conservation Units
by Yongqing Cao, Ning Wang, Qiaomu Hu and Xiangyun Zhu
Animals 2026, 16(7), 1036; https://doi.org/10.3390/ani16071036 (registering DOI) - 28 Mar 2026
Abstract
The Qinghai–Tibet Plateau and surrounding mountain regions form one of the world’s most distinctive freshwater environmental gradients. Schizothoracinae are among the most representative endemic fish lineages in these systems and provide a useful model for studying how drainage history, genome evolution, adaptation, and [...] Read more.
The Qinghai–Tibet Plateau and surrounding mountain regions form one of the world’s most distinctive freshwater environmental gradients. Schizothoracinae are among the most representative endemic fish lineages in these systems and provide a useful model for studying how drainage history, genome evolution, adaptation, and conservation interact. In this review, we synthesize schizothoracine research within an environment–evolution–conservation framework. We examine how drainage history and connectivity shape divergence and gene exchange, how polyploidy and genome remodeling provide the genomic background for adaptive inference, and how phenotypic and population-genomic evidence can be translated into conservation units and management priorities. Across current studies, cold-associated metabolic remodeling and UV-related DNA damage response and repair emerge as the most recurrent molecular themes, whereas hypoxia-related signals are more context-dependent. We further show that morphology, otolith chemistry, age–growth traits, and population structure can strengthen MU/ESU interpretation when integrated with genomic evidence. Future progress will depend on broader chromosome-level genome coverage, more systematic comparison of structural genomic variation, standardized stressor-linked designs, and denser sampling in geomorphic transition zones and putative hybrid regions. Full article
(This article belongs to the Section Aquatic Animals)
Show Figures

Figure 1

24 pages, 3495 KB  
Article
Hollow Auxetic Polymer Structures with Manufacturing-Constrained Design and Mechanical Validation
by Finlay Bridge, Rakan Albarakati, Hany Hassanin and Khamis Essa
Polymers 2026, 18(7), 828; https://doi.org/10.3390/polym18070828 (registering DOI) - 28 Mar 2026
Abstract
Hollow auxetic structures enable lightweight mechanical design by reducing mass while preserving architected deformation. However, hollow auxetic studies focus on LPBF metals. This study presents a manufacturing-constrained design and validation framework for a hollow hybrid re-entrant chiral lattice produced by stereolithography. The unit [...] Read more.
Hollow auxetic structures enable lightweight mechanical design by reducing mass while preserving architected deformation. However, hollow auxetic studies focus on LPBF metals. This study presents a manufacturing-constrained design and validation framework for a hollow hybrid re-entrant chiral lattice produced by stereolithography. The unit cell was parameterised by chiral angle, re-entrant strut length, and hollow internal diameter, with drainage features integrated into the CAD model to preserve hollow channels during printing and post-processing. A minimum internal diameter study defined the printable design window. Within these limits, a central composite design coupled with finite element analysis mapped the response surface and identified an optimised geometry of θ = 15°, L = 3.5 mm, and d = 1.68 mm, with a predicted unit-cell negative Poisson’s ratio of about −1.17. Compression testing confirmed that the printed unit cell and 3 × 3 × 3 lattice retained the intended rotation-dominated auxetic deformation mode. At the selected comparison strain, the unit cell showed a negative Poisson’s ratio of −0.68 and the 3 × 3 × 3 lattice showed −0.29. Relative to the solid lattice, the hollow lattice reduced density by 42.4% with only a 3.0% reduction in stiffness, increasing specific stiffness by 68.9% and specific peak strength by 5.2%, but reducing specific energy absorption by 25.6% due to earlier localisation and junction driven fracture. These results provide practical design guidance for manufacturable hollow SLA auxetic lattices, especially for lightweight and stiffness-limited applications where low mass and high specific stiffness are more important than energy absorption. Full article
(This article belongs to the Section Polymer Processing and Engineering)
Show Figures

Graphical abstract

18 pages, 3353 KB  
Article
Extrusion-Free Survival Following Glaucoma Drainage Device Surgery Using EverPatch Plus®: A Propensity Score-Weighted Survival Analysis
by Etsuo Chihara, Tomoyuki Chihara and Leon W. Herndon
J. Clin. Med. 2026, 15(7), 2570; https://doi.org/10.3390/jcm15072570 - 27 Mar 2026
Abstract
Objectives: To evaluate extrusion-free survival following glaucoma drainage device (GDD) surgery using EverPatch Plus® (EPP) and to compare outcomes with conventional scleral patch grafts using propensity score-based survival analysis. Methods: This retrospective case series included 19 eyes that underwent GDD [...] Read more.
Objectives: To evaluate extrusion-free survival following glaucoma drainage device (GDD) surgery using EverPatch Plus® (EPP) and to compare outcomes with conventional scleral patch grafts using propensity score-based survival analysis. Methods: This retrospective case series included 19 eyes that underwent GDD implantation with EPP and 105 control eyes that received conventional scleral patch grafts. To adjust for baseline differences between groups, a propensity score for EPP use was estimated using multivariable logistic regression incorporating age, neovascular glaucoma, prior glaucoma surgery, preoperative intraocular pressure, number of glaucoma medications, quadrant of patch placement, and insertion site. Stabilized inverse probability of treatment weighting was applied. Because follow-up in the EPP group did not exceed 12 months, all survival analyses were performed with administrative censoring at 12 months. Extrusion-free survival was evaluated using Kaplan–Meier analysis and Cox proportional hazards modeling. Results: Within 12 months, patch extrusion occurred in 3 of 19 eyes in the EPP group and in 12 of 105 eyes in the scleral patch graft group. After inverse probability weighting, estimated 12-month extrusion-free survival was 83.5% in the EPP group and 88.4% in the scleral patch graft group, indicating no statistically significant difference between groups (log-rank test, p = 0.498). In an inverse probability-weighted Cox model, EPP use was not significantly associated with extrusion risk (hazard ratio ≈ 1.3; 95% confidence interval ≈ 0.4–4.0). Conclusions: After adjustment for baseline covariates and restriction of follow-up to 12 months, extrusion-free survival following glaucoma drainage device surgery using EPP was comparable to that achieved with conventional scleral patch grafts. Full article
(This article belongs to the Section Ophthalmology)
Show Figures

Figure 1

9 pages, 199 KB  
Communication
Innovations in the Revised FAO56 Guidelines for Computing Crop Water Requirements: Data, Calculation Methods, Irrigation, and Climate Change Challenges
by Luis S. Pereira, Maher Salman, Paula Paredes, Ramón López-Urrea and Richard G. Allen
Water 2026, 18(7), 793; https://doi.org/10.3390/w18070793 - 27 Mar 2026
Abstract
The FAO Irrigation and Drainage Paper 56, which was first published in 1998, has been widely recognized as a comprehensive guidebook for estimating crop evapotranspiration and calculating crop water requirements under various conditions, supporting the efficient management of water resources in agriculture. Over [...] Read more.
The FAO Irrigation and Drainage Paper 56, which was first published in 1998, has been widely recognized as a comprehensive guidebook for estimating crop evapotranspiration and calculating crop water requirements under various conditions, supporting the efficient management of water resources in agriculture. Over the past twenty-eight years, science and technology have significantly evolved in agricultural productivity and water resource mobilization, use, and management, as well as in research advances, data availability and management, and modeling capabilities and uses. However, these improvements have come against a backdrop of increasingly pressing challenges, especially those posed by climate change and water scarcity. Thus, considering all recent advances in knowledge, an updated version (FAO56 Rev.1) of that guidebook was recently released. The current article summarizes and highlights the main features and innovations that the revision has incorporated. Full article
(This article belongs to the Special Issue Crop Evapotranspiration, Crop Irrigation and Water Savings)
18 pages, 1622 KB  
Article
Posterior Teflon-Felt-Reinforced Coronary Button Anastomosis in a Modified Bentall Procedure: Early Outcomes in a Single-Center Retrospective Study
by Özgür Akkaya, Izatullah Jalalzai and Ümit Arslan
J. Clin. Med. 2026, 15(7), 2546; https://doi.org/10.3390/jcm15072546 - 26 Mar 2026
Abstract
Background: Coronary button reimplantation is a key determinant of operative safety in the modified Bentall procedure (MBP), and technical modifications aimed at improving anastomotic stability and hemostasis continue to evolve. This study investigated the early outcomes of a posterior Teflon-felt-reinforced coronary button [...] Read more.
Background: Coronary button reimplantation is a key determinant of operative safety in the modified Bentall procedure (MBP), and technical modifications aimed at improving anastomotic stability and hemostasis continue to evolve. This study investigated the early outcomes of a posterior Teflon-felt-reinforced coronary button technique in comparison with the conventional approach. Methods: Between January 2021 and May 2025, a total of 57 patients who underwent an elective modified Bentall procedure were included and divided into two groups: the conventional coronary button group (CCB, n = 30) and the posterior Teflon-felt-reinforced coronary button group (RCB, n = 27). Operative variables and early postoperative outcomes (including bleeding, re-exploration, and 30-day mortality) were compared between the two groups. Results: The CCB group included 9 women and 21 men with a mean age of 59.5 ± 9.6 years, whereas the RCB group consisted of 5 women and 22 men with a mean age of 57.3 ± 8.9 years. The mean maximum aortic root diameter was 49.6 ± 5.3 mm, and the mean ascending aortic diameter was 50.8 ± 4.9 mm. Aortic cross-clamp (ACC) and cardiopulmonary bypass (CPB) times were similar between the groups (p = 0.330 and p = 0.214, respectively). After excluding patients who underwent planned coronary artery bypass grafting (CABG; n = 8), the incidence of unplanned CABG was higher in the CCB group than in the RCB group [6 (24.0%) vs. 2 (8.3%); p = 0.136]. Postoperative 24-h chest tube drainage tended to be lower (p = 0.060), and re-exploration for bleeding occurred less frequently (11.1% vs. 30.0%, p = 0.076), with no coronary button-related bleeding after reinforcement. The RCB group required significantly fewer transfused blood products, including red blood cells, fresh frozen plasma, and platelets (all p < 0.01). Intensive care unit stay was shorter in the reinforced group (p < 0.01), with a trend toward reduced hospital stay (p = 0.085). Early mortality was comparable (p = 0.356). Conclusions: Posterior Teflon-felt-reinforced coronary button anastomosis may improve early hemostatic stability and provide additional mechanical support during coronary reimplantation in the modified Bentall procedure; confirmation in larger cohorts is required. Full article
Show Figures

Figure 1

16 pages, 654 KB  
Article
Sentinel Lymph Node Biopsy for Early-Stage Oral Cavity Cancer: Analysis of Diagnostic Accuracy and False-Negative Cases
by Rodrigo Lozano-Rosado, Alvaro De-Bonilla-Damia, Guiomar Martin-Lozano, Alberto Garcia-Perla-Garcia, Jose-Luis Gutierrez-Perez and Pedro Infante-Cossio
J. Clin. Med. 2026, 15(7), 2545; https://doi.org/10.3390/jcm15072545 - 26 Mar 2026
Abstract
Background/Objectives: Identifying the causes of sentinel lymph node biopsy (SLNB) failure in early-stage oral cavity squamous cell carcinoma (OCSCC) is essential for refining surgical protocols and optimizing patient selection. This study aimed to evaluate the diagnostic performance, predictors of false-negative (FN) results, [...] Read more.
Background/Objectives: Identifying the causes of sentinel lymph node biopsy (SLNB) failure in early-stage oral cavity squamous cell carcinoma (OCSCC) is essential for refining surgical protocols and optimizing patient selection. This study aimed to evaluate the diagnostic performance, predictors of false-negative (FN) results, and long-term oncological outcomes of SLNB in patients with early-stage OCSCC. Methods: A retrospective, single-centre cohort study was conducted on 220 patients with cT1–cT2 N0 M0 OCSCC who were surgically treated between 2017 and 2024. Preoperative lymphatic mapping was performed using 99mTc-nanocolloid and SPECT/CT. All sentinel lymph nodes (SLNs) underwent an ultrastaging protocol involving serial sectioning and immunohistochemistry. Diagnostic accuracy, survival outcomes, and clinicopathological predictors of FNs were analysed. Results: The SLN identification rate was 99.1%. Metastatic involvement was detected in 49 patients (22.3%), preventing 77.7% of the cohort from undergoing unnecessary neck dissection. Bilateral lymphatic drainage was observed in 55.9% of floor of the mouth tumours. During a median follow-up of 36 months, the diagnostic performance showed a sensitivity of 81.7%, a negative predictive value of 93.6%, and an overall accuracy of 95.0%. Analysis of the 11 FN cases showed that both depth of invasion (DOI) (6.0 mm vs. 3.0 mm; p = 0.010) and maximal tumour dimension (25 mm vs. 15 mm; p = 0.0008) were significant predictors of diagnostic failure. The five-year overall survival rate was significantly superior in patients with negative SLNs compared to the SLN-positive group (82% vs. 61%; p < 0.001). Conclusions: SLNB is an accurate and reliable staging tool for early-stage OCSCC, providing personalised lymphatic mapping that harmonizes oncological efficacy with the avoidance of overtreatment. However, an increased DOI and a larger tumour size significantly raise the risk of FN events, indicating the need for close postoperative surveillance in these high-risk subgroups. Full article
(This article belongs to the Section Oncology)
Show Figures

Figure 1

24 pages, 12042 KB  
Article
Spatial Assessment of Water Balance and Soil Erosion Under Land-Use Change in Chieng Hac, Northern Vietnam
by Adhera Sukmawijaya, Md. Ali Akber, Ziyue Wang, Fathin Ayuni Azizan, Michael Bell and Ammar Abdul Aziz
Remote Sens. 2026, 18(7), 998; https://doi.org/10.3390/rs18070998 - 26 Mar 2026
Abstract
Chieng Hac in northern Vietnam is expanding maize cultivation, intensifying water competition and soil erosion. This study mapped regional water balance and erosion using remote sensing and GISs by coupling the Thornthwaite–Mather (TM) water balance model with the Revised Universal Soil Loss Equation [...] Read more.
Chieng Hac in northern Vietnam is expanding maize cultivation, intensifying water competition and soil erosion. This study mapped regional water balance and erosion using remote sensing and GISs by coupling the Thornthwaite–Mather (TM) water balance model with the Revised Universal Soil Loss Equation (RUSLE) at 12.5 m resolution. Land cover was classified into maize, tree crops, paddy, forest, and other types using Random Forest. The TM model used 2021 precipitation and temperature measurements to estimate evapotranspiration, surplus, and deficit, while the RUSLE quantified soil loss. Two scenarios were evaluated: a baseline reflecting existing land use and an adjusted case applying strip cropping on 10–20° maize slopes and converting maize to tree crops on slopes > 20°. Tree crop conversion increased evapotranspiration and prolonged seasonal deficits relative to maize, increasing water deficit from 1013.6 to 1022.2 mm/year. In contrast, the interventions reduced mean soil loss from 15.52 to 11.51 t/ha/year, with the largest decline in the 5–25 t/ha/year class. Residual hotspots persisted on steep slopes and near drainage lines. The integrated framework highlights trade-offs between erosion control and seasonal water availability, supporting slope-based land-use planning in upland agricultural systems. These findings offer guidance for slope-based land-use planning by indicating that intervention priorities should vary depending on slope conditions and local water availability. Full article
8 pages, 741 KB  
Case Report
Immediate Quantitative Sensory Testing of the Fascial Counterstrain Method: A Case Study
by Brian Tuckey, Jay Shah and John Srbely
Lymphatics 2026, 4(2), 17; https://doi.org/10.3390/lymphatics4020017 - 26 Mar 2026
Abstract
Quantitative sensory testing (QST), including temporal summation of pain (TSP) and pressure pain threshold (PPT) assessments, was conducted to evaluate the diagnostic validity and immediate therapeutic efficacy of the manual therapy technique Fascial Counterstrain (FCS). A single patient with persistent lower back and [...] Read more.
Quantitative sensory testing (QST), including temporal summation of pain (TSP) and pressure pain threshold (PPT) assessments, was conducted to evaluate the diagnostic validity and immediate therapeutic efficacy of the manual therapy technique Fascial Counterstrain (FCS). A single patient with persistent lower back and referred leg pain was evaluated and treated by a certified FCS practitioner. A clinical diagnosis of left S1–S2 radiculitis (FCS criteria) was established and corroborated by elevated pre-treatment TSP and reduced PPT measures in the affected dermatomes, indicating nerve root irritation and central sensitization. Immediate post-treatment TSP and PPT assessments demonstrated near-complete normalization of wind-up in the involved S1 and S2 dermatomes, along with a substantial improvement in three-trial-average PPT measurements of the S1–S2 musculature from 2.4 kg/cm2 to 6.1 kg/cm2. This case report provides preliminary evidence supporting the diagnostic process and immediate post-treatment efficacy of FCS in patients with lower back pain and central sensitization. Full article
Show Figures

Figure 1

28 pages, 18956 KB  
Article
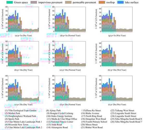
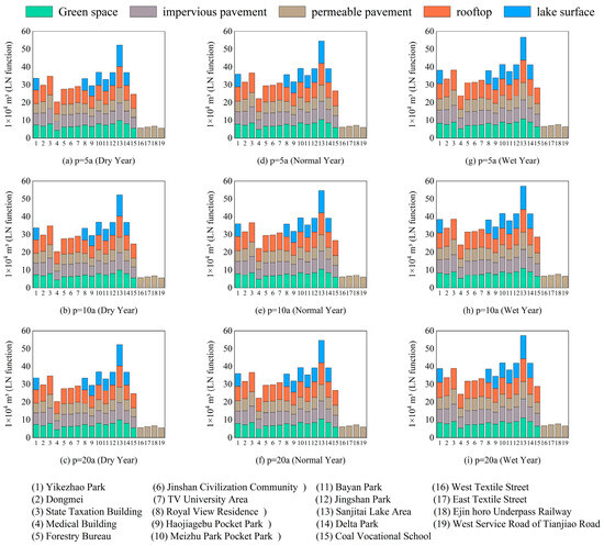
Assessment of Rainwater Utilization Potential of Sponge Facilities in the Dong–Kang–Ejin Urban Agglomeration
by Hanyang Ran, Chengshun Xu, Jinjun Zhou, Siyu Wang, Yingdong Yu, Yu Qin, Ping Miao, Hongli Ma and Shiming Bai
Water 2026, 18(7), 785; https://doi.org/10.3390/w18070785 - 26 Mar 2026
Abstract
While various methods exist for assessing urban rainwater and flood resources, there is a lack of targeted evaluation for the rainwater harvesting potential of areas equipped with sponge city facilities. This study employs the Yield Before Spillage (YBS) principle to design rainwater collection [...] Read more.
While various methods exist for assessing urban rainwater and flood resources, there is a lack of targeted evaluation for the rainwater harvesting potential of areas equipped with sponge city facilities. This study employs the Yield Before Spillage (YBS) principle to design rainwater collection tanks for sponge facilities under different design return periods, conducting a specialized assessment of the rainwater resource potential in built-up sponge facility areas within the “Dongsheng–Kangbashi–Ejin Horo Banner” urban cluster. The results indicate that the collection potential follows the patterns of “wet year > normal year > dry year” and “Ejin Horo Banner > Kangbashi District > Dongsheng District.” A rainwater collection tank designed for a 5-year return period (p = 5a) is more applicable to the study area. The sponge facilities in the study area achieve an annual runoff volume control rate exceeding 85%, effectively alleviating drainage pressure. The conclusions demonstrate that the YBS method can effectively assess the rainwater and flood resources of sponge facilities in arid regions. Tanks designed for the three different return periods all meet the rainwater retention requirements of sponge cities across various hydrological years. In arid areas, tanks designed for lower return periods are sufficient for harnessing rainwater collection potential, offering lower costs. Full article
Show Figures

Figure 1

33 pages, 4833 KB  
Article
Assessing Environmental Carrying Capacity and Disaster Risk in Spatial Utilization: A GIS-Based Study of East Java Province, Indonesia
by Dodi Slamet Riyadi, Ernan Rustiadi, Widiatmaka and Akhmad Fauzi
Land 2026, 15(4), 537; https://doi.org/10.3390/land15040537 - 26 Mar 2026
Viewed by 37
Abstract
Sustainable spatial development requires land-use allocation that aligns with reflects the environment’s biophysical capacity. However, rapid urbanization and agricultural expansion often result to spatial mismatches between land utilization and land capability, the reby increasing environmental degradation and disaster vulnerability. East Java Province, one [...] Read more.
Sustainable spatial development requires land-use allocation that aligns with reflects the environment’s biophysical capacity. However, rapid urbanization and agricultural expansion often result to spatial mismatches between land utilization and land capability, the reby increasing environmental degradation and disaster vulnerability. East Java Province, one of Indonesia’s most densely populated regions, has experienced significant land-use transformation driven by demographic pressure and economic development. This study aims to evaluate the environmental carrying capacity by assessing the spatial compatibility among land capability, existing land use, and the Provincial Spatial Plan (RTRWP) using a Geographic Information System (GIS)-based analytical approach. Land capability was determined based on key biophysical parameters, including slope gradient, soil texture, drainage conditions, erosion susceptibility, effective soil depth, and flood hazard. Spatial overlay analysis was employed to identify areas of conformity and mismatch between land capability and both current and planned land uses. The results indicate that only approximately 52% of the provincial area is utilised in accordance with its land capability. In comparison, the remaining 48% exhibits varying degrees of spatial mismatch. Erosion is identified as the dominant limiting factor, affecting more than 43% of the region, particularly in mountainous and hilly landscapes. Furthermore, over 60% of East Java falls within Land Capability Classes III–VII, indicating moderate to severe environmental constraints on limitations intensive land use. High levels of spatial mismatch are concentrated in the southern upland districts—such as Pacitan, Trenggalek, southern Malang, and Lumajang, which are highly susceptible to landslides, as well as in the northern lowland corridor, including the Surabaya–Gresik–Sidoarjo metropolitan region, which faces a significantly flood risk. These findings suggest that land-use practices exceeding environmental carrying capacity substantially amplify disaster risk. Therefore, integrating land capability assessment into spatial planning and zoning regulations is essential and for promoting ecosystem-based disaster risk reduction and achieving sustainable spatial development in East Java Province. Full article
(This article belongs to the Section Land Use, Impact Assessment and Sustainability)
Show Figures

Figure 1

15 pages, 4308 KB  
Article
Experimental Study on the Dynamic Response and Energy Absorption Mechanism of Honeycomb Structures in Water Environments
by Shujian Yao, Jiawei Wu, Yanjing Wang, Feipeng Chen, Hui Zhou, Kai Liu and Eryong Hou
Appl. Sci. 2026, 16(7), 3180; https://doi.org/10.3390/app16073180 - 26 Mar 2026
Viewed by 157
Abstract
Driven by the requirements of lightweight design and efficient impact protection, biomimetic hexagonal honeycomb structures have been widely used for energy absorption. However, their dynamic response and energy absorption behavior in underwater environments remain insufficiently understood. To address this gap, this study investigates [...] Read more.
Driven by the requirements of lightweight design and efficient impact protection, biomimetic hexagonal honeycomb structures have been widely used for energy absorption. However, their dynamic response and energy absorption behavior in underwater environments remain insufficiently understood. To address this gap, this study investigates the impact response and deformation mechanisms of aluminum honeycomb structures under fully submerged conditions relevant to marine engineering. We fabricated honeycomb cores from 5052-H18 aluminum alloy and developed a custom fixture for fluid–structure interaction tests under underwater drop hammer impact conditions. Using force sensors and high-speed photography, we characterized the dynamic impact behavior through load–time and velocity–time responses. Results demonstrate that drainage holes in the support plate serve a dual function: they enable the structure to maintain stable deformation and absorb energy underwater while also significantly enhancing energy absorption capacity. Specifically, the mean crushing force increases by 156.5%, and the energy absorption capacity increases by 333% compared to performance in air. This enhancement arises from the plastic deformation of cell walls and the additional energy dissipation induced by fluid–structure interaction. Overall, this study clarifies the dynamic compression behavior of aluminum honeycombs in underwater environments and demonstrates their potential for marine energy-absorption applications. Full article
(This article belongs to the Special Issue Blasting Analysis and Impact Engineering on Materials and Structures)
Show Figures

Figure 1

20 pages, 10396 KB  
Article
Trend Analysis of Selected Low-Flow Indicators in Catchments of the Vistula River Basin
by Agnieszka Cupak
Appl. Sci. 2026, 16(7), 3160; https://doi.org/10.3390/app16073160 (registering DOI) - 25 Mar 2026
Viewed by 90
Abstract
Climate change is altering the frequency, duration, and seasonality of low flows, which are critical for water availability, ecosystem functioning, and river management. Low-flow characteristics, defining the minimum, often seasonal, flow levels in rivers or streams primarily fed by groundwater, snow or glacier [...] Read more.
Climate change is altering the frequency, duration, and seasonality of low flows, which are critical for water availability, ecosystem functioning, and river management. Low-flow characteristics, defining the minimum, often seasonal, flow levels in rivers or streams primarily fed by groundwater, snow or glacier melt, or lake drainage, are essential for assessing hydrological droughts and water resource vulnerability. In the Upper Vistula River Basin, variable precipitation and rising air temperatures increase the risk of droughts, impacting both natural systems and human water use. This study analyzed long-term trends in annual low flows and associated parameters, including drought frequency, duration, and deficit volume, across 41 small- and medium-sized catchments. Two datasets were considered: 25 stations with 58-year daily discharge records (1961–2019) and 41 stations with 38-year records (1981–2019). Low flows were identified using the threshold level method (TLM) at 70% and 90% exceedance (FDC70 and FDC90). Trends were assessed with the Mann–Kendall test, and spatial drought patterns were mapped to evaluate regional variability. Deep and shallow low flows occurred at all analyzed cross-sections. For the period 1961–2019, deep low flows (FDC90) occurred almost annually in 18 of the 25 cross-sections since 2012. Statistically significant increasing trends in deep low-flow parameters were detected in five cross-sections for 1961–2019 and in seven cross-sections for 1981–2019. Shallow low flows (FDC70) occurred in all sections; four rivers exhibited annual shallow droughts during 1961–2019, whereas 12 rivers showed annual events in 1981–2019. Summer droughts predominated over winter events, reflecting enhanced evapotranspiration and higher seasonal water demand. These findings highlight the relevance of analyzing low-flow parameters for understanding hydrological droughts. Such information can support water resource management, planning, and ecosystem protection under variable climatic conditions. Full article
(This article belongs to the Special Issue Recent Advances in Hydraulic Engineering for Water Infrastructure)
Show Figures

Figure 1

Back to TopTop