Sign in to use this feature.

Years

Between: -

Subjects

remove_circle_outline
remove_circle_outline
remove_circle_outline
remove_circle_outline
remove_circle_outline
remove_circle_outline
remove_circle_outline
remove_circle_outline
remove_circle_outline

Journals

remove_circle_outline
remove_circle_outline
remove_circle_outline
remove_circle_outline
remove_circle_outline

Article Types

Countries / Regions

Search Results (180)

Search Parameters:
Keywords = double graph

Order results
Result details
Results per page
Select all
Export citation of selected articles as:
28 pages, 1123 KB  
Article
Trust as a Stochastic Phase on Hierarchical Networks: Social Learning, Degenerate Diffusion, and Noise-Induced Bistability
by Dimitri Volchenkov, Nuwanthika Karunathilaka, Vichithra Amunugama Walawwe and Fahad Mostafa
Dynamics 2026, 6(1), 4; https://doi.org/10.3390/dynamics6010004 - 7 Jan 2026
Viewed by 196
Abstract
Empirical debates about a “crisis of trust” highlight long-lived pockets of high trust and deep distrust in institutions, as well as abrupt, shock-induced shifts between the two. We propose a probabilistic model in which such phenomena emerge endogenously from social learning on hierarchical [...] Read more.
Empirical debates about a “crisis of trust” highlight long-lived pockets of high trust and deep distrust in institutions, as well as abrupt, shock-induced shifts between the two. We propose a probabilistic model in which such phenomena emerge endogenously from social learning on hierarchical networks. Starting from a discrete model on a directed acyclic graph, where each agent makes a binary adoption decision about a single assertion, we derive an effective influence kernel that maps individual priors to stationary adoption probabilities. A continuum limit along hierarchical depth yields a degenerate, non-conservative logistic–diffusion equation for the adoption probability u(x,t), in which diffusion is modulated by (1u) and increases the integral of u rather than preserving it. To account for micro-level uncertainty, we perturb these dynamics by multiplicative Stratonovich noise with amplitude proportional to u(1u), strongest in internally polarised layers and vanishing at consensus. At the level of a single depth layer, Stratonovich–Itô conversion and Fokker–Planck analysis show that the noise induces an effective double-well potential with two robust stochastic phases, u0 and u1, corresponding to persistent distrust and trust. Coupled along depth, this local bistability and degenerate diffusion generate extended domains of trust and distrust separated by fronts, as well as rare, Kramers-type transitions between them. We also formulate the associated stochastic partial differential equation in Martin–Siggia–Rose–Janssen–De Dominicis form, providing a field-theoretic basis for future large-deviation and data-informed analyses of trust landscapes in hierarchical societies. Full article
Show Figures

Graphical abstract

28 pages, 531 KB  
Article
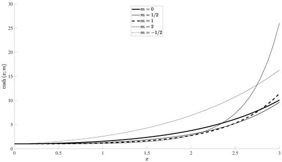
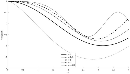
On Asymptotic Series for Generalized Airy, Circular, and Hyperbolic Functions
by Luiz M. B. C. Campos and Manuel J. S. Silva
Mathematics 2026, 14(1), 52; https://doi.org/10.3390/math14010052 - 23 Dec 2025
Viewed by 235
Abstract
The paper concerns the solution of the ordinary differential equation y±xmy=0, which may be designated the generalized Airy equation, since the original Airy equation corresponds to the particular case m=1 with the + [...] Read more.
The paper concerns the solution of the ordinary differential equation y±xmy=0, which may be designated the generalized Airy equation, since the original Airy equation corresponds to the particular case m=1 with the + sign. The solutions may be designated generalized circular (hyperbolic) sines and cosines for the + (−) sign, since the particular case m=0 corresponds to the elementary circular (hyperbolic) sines and cosines. There are 3 cases of solution of the generalized Airy equation, depending on the parameter m: (I) for m a non-negative integer, the coefficient xm is an analytic function, and the solutions are also analytic series; (II) for m complex other than an integer, the coefficient xm has a branch point at the origin, and the solutions also have a branch point multiplied by an analytic series; (III) for m a negative integer, the coefficient xm has a pole of order m, and the generalized Airy equation is singular. Case III has four subcases: (III-A) for m=1, the coefficient x1 is a simple pole, and the solutions are Frobenius–Fuchs series of two kinds; (III-B) for m=2, the coefficient is a double pole, and the solutions are a combination of elementary functions, namely exponential, logarithmic, and circular (hyperbolic) sine and cosine for the + (−) sign; (III-C,D) for m=3,4,, the coefficient is a pole of multiplicity m, and the generalized Airy differential equation has an irregular singularity of degree m2 at the origin. In the sub-cases (III-C,D), the solutions can be obtained by inversion as asymptotic series of descending powers specified by (III-C) Frobenius–Fuchs series of two kinds for a triple pole m=3; (III-D) for higher-order poles m=4,5, by generalized circular (hyperbolic) sines and cosines of 1/x. It is shown that in all cases the ascending and descending series are absolutely and uniformly convergent with the n-th term decaying like On2. This enables the use of a few terms of the series to obtain tables and plot graphs of the solutions of the generalized Airy differential equation as generalized circular and hyperbolic sines and cosines for several values of the parameter m. As a physical application, it is shown that the generalized circular (hyperbolic) cosines and sines specify the motion of a linear oscillator with natural frequency a power of time in the oscillatory (monotonic) case when the origin is an attractor (repeller). Full article
(This article belongs to the Section C1: Difference and Differential Equations)
Show Figures

Figure 1

17 pages, 10712 KB  
Article
An Euler Graph-Based Path Planning Method for Additive Manufacturing Thin-Walled Cellular Structures of Continuous Fiber-Reinforced Thermoplastic Composites
by Guocheng Liu, Fei Wang, Qiyong Tu, Ning Hu, Zhen Ouyang, Wenting Wei, Lei Yang and Chunze Yan
Polymers 2025, 17(23), 3236; https://doi.org/10.3390/polym17233236 - 4 Dec 2025
Viewed by 600
Abstract
Thin-walled cellular structures of continuous fiber-reinforced thermoplastic composites (CFRTPCs) have received much attention from both academics and industry due to their superior properties. Additive manufacturing provides an efficient solution for fabricating these thin-walled cellular structures of CFRTPCs. However, the process often requires cutting [...] Read more.
Thin-walled cellular structures of continuous fiber-reinforced thermoplastic composites (CFRTPCs) have received much attention from both academics and industry due to their superior properties. Additive manufacturing provides an efficient solution for fabricating these thin-walled cellular structures of CFRTPCs. However, the process often requires cutting fiber filaments at jumping points during printing. Furthermore, the filament may twist, fold, and break due to sharp turns in the printing path. These issues adversely affect the mechanical properties of the additive manufactured part. In this paper, a Euler graph-based path planning method for additive manufacturing of CFRTPCs is proposed to avoid jumping and sharp turns. Euler graphs are constructed from non-Eulerian graphs using the method of doubled edges. An optimized Hierholzer’s algorithm with pseudo-intersections is proposed to generate printing paths that satisfy the continuity, non-crossing, and avoid most of the sharp turns. The average turning angle was reduced by up to 20.88% and the number of turning angles less than or equal to 120° increased by up to 26.67% using optimized Hierholzer’s algorithm. In addition, the generated paths were verified by house-made robot-assisted additive manufacturing equipment. Full article
Show Figures

Graphical abstract

41 pages, 5751 KB  
Article
Efficient Scheduling for GPU-Based Neural Network Training via Hybrid Reinforcement Learning and Metaheuristic Optimization
by Nana Du, Chase Wu, Aiqin Hou, Weike Nie and Ruiqi Song
Big Data Cogn. Comput. 2025, 9(11), 284; https://doi.org/10.3390/bdcc9110284 - 10 Nov 2025
Viewed by 1732
Abstract
On GPU-based clusters, the training workloads of machine learning (ML) models, particularly neural networks (NNs), are often structured as Directed Acyclic Graphs (DAGs) and typically deployed for parallel execution across heterogeneous GPU resources. Efficient scheduling of these workloads is crucial for optimizing performance [...] Read more.
On GPU-based clusters, the training workloads of machine learning (ML) models, particularly neural networks (NNs), are often structured as Directed Acyclic Graphs (DAGs) and typically deployed for parallel execution across heterogeneous GPU resources. Efficient scheduling of these workloads is crucial for optimizing performance metrics such as execution time, under various constraints including GPU heterogeneity, network capacity, and data dependencies. DAG-structured ML workload scheduling could be modeled as a Nonlinear Integer Program (NIP) problem, and is shown to be NP-complete. By leveraging a positive correlation between Scheduling Plan Distance (SPD) and Finish Time Gap (FTG) identified through an empirical study, we propose to develop a Running Time Gap Strategy for scheduling based on Whale Optimization Algorithm (WOA) and Reinforcement Learning, referred to as WORL-RTGS. The proposed method integrates the global search capabilities of WOA with the adaptive decision-making of Double Deep Q-Networks (DDQN). Particularly, we derive a novel function to generate effective scheduling plans using DDQN, enhancing adaptability to complex DAG structures. Comprehensive evaluations on practical ML workload traces collected from Alibaba on simulated GPU-enabled platforms demonstrate that WORL-RTGS significantly improves WOA’s stability for DAG-structured ML workload scheduling and reduces completion time by up to 66.56% compared with five state-of-the-art scheduling algorithms. Full article
Show Figures

Figure 1

22 pages, 1373 KB  
Article
Global Self-Attention-Driven Graph Clustering Ensemble
by Lingbin Zeng, Shixin Yao, You Huang, Liquan Xiao, Yong Cheng and Yue Qian
Remote Sens. 2025, 17(22), 3680; https://doi.org/10.3390/rs17223680 - 10 Nov 2025
Viewed by 643
Abstract
A clustering ensemble, which leverages multiple base clusterings to obtain a reliable consensus result, is a critical challenging task for Earth observation in remote sensing applications. With the development of multi-source remote sensing data, exploring the underlying graph-structured patterns has become increasingly important. [...] Read more.
A clustering ensemble, which leverages multiple base clusterings to obtain a reliable consensus result, is a critical challenging task for Earth observation in remote sensing applications. With the development of multi-source remote sensing data, exploring the underlying graph-structured patterns has become increasingly important. However, existing clustering ensemble methods mostly employ shallow clustering in the base clustering generation stage, which fails to utilize the structural information. Moreover, the high dimensionality inherent in data further increases the difficulty of clustering. To address these problems, we propose a novel method termed Global Self-Attention-driven Graph Clustering Ensemble (GSAGCE). Specifically, GSAGCE firstly adopts basic autoencoders and global self-attention graph autoencoders (GSAGAEs) to extract node attribute information and structural information, respectively. GSAGAEs not only enhance structural information in the embedding but also have the capability to capture long-range vertex dependencies. Next, we employ a fusion strategy to adaptively fuse this dual information by considering the importance of nodes through an attention mechanism. Furthermore, we design a self-supervised strategy to adjust the clustering distribution, which integrates the attribute and structural embeddings as more reliable guidance to produce base clusterings. In the ensemble strategy, we devise a double-weighted graph partitioning consensus function that simultaneously considers both global and local diversity within the base clusterings to enhance the consensus performance. Extensive experiments on benchmark datasets demonstrate the superiority of GSAGCE compared to other state-of-the-art methods. Full article
Show Figures

Figure 1

19 pages, 2278 KB  
Article
Edge k-Product Cordial Labeling of Trees
by Jenisha Jeganathan, Maged Z. Youssef, Jeya Daisy Kruz, Jeyanthi Pon, Wai-Chee Shiu and Ibrahim Al-Dayel
Mathematics 2025, 13(21), 3521; https://doi.org/10.3390/math13213521 - 3 Nov 2025
Viewed by 420
Abstract
The concepts of k-product cordial labeling and edge product cordial labeling were introduced in 2012 and further explored by various researchers. Building on these ideas, we define a new concept called ‘edge k-product cordial labeling’ as follows: For a graph [...] Read more.
The concepts of k-product cordial labeling and edge product cordial labeling were introduced in 2012 and further explored by various researchers. Building on these ideas, we define a new concept called ‘edge k-product cordial labeling’ as follows: For a graph G=(V(G),E(G)), which does not have isolated vertices, an edge labeling f:E(G)0,1,,k1, where k2 is an integer, is said to be an edge k-product cordial labeling of G if it induces a vertex labeling f*:V(G)0,1,,k1 defined by f*(v)=uvE(G)f(uv)(modk), which satisfies ef(i)ef(j)1 and vf*(i)vf*(j)1 for i,j0,1,,k1, where ef(i) and vf*(i) denote the number of edges and vertices, respectively, having label i for i=0,1,,k1. In this paper, we study the edge k-product cordial behavior of trees, a comet, and a double comet. Full article
Show Figures

Figure 1

15 pages, 364 KB  
Article
Graph-Theoretic Perspectives on Fixed Points in Double-Composed Metric Spaces
by Nizar Souayah
Axioms 2025, 14(9), 698; https://doi.org/10.3390/axioms14090698 - 16 Sep 2025
Viewed by 609
Abstract
This study explores the development of fixed-point results in the setting of the recently proposed double-composed metric spaces. We establish conditions ensuring both existence and uniqueness of fixed points for several types of contractive mappings defined on such spaces. To enrich the analysis, [...] Read more.
This study explores the development of fixed-point results in the setting of the recently proposed double-composed metric spaces. We establish conditions ensuring both existence and uniqueness of fixed points for several types of contractive mappings defined on such spaces. To enrich the analysis, the space is further equipped with a graph structure through the use of concepts from graph theory, leading to the formulation of two novel fixed-point theorems. An illustrative example is also provided to highlight the applicability and relevance of the obtained results. Full article
(This article belongs to the Special Issue Research in Fixed Point Theory and Its Applications)
Show Figures

Figure 1

23 pages, 1764 KB  
Article
Parallelization of the Koopman Operator Based on CUDA and Its Application in Multidimensional Flight Trajectory Prediction
by Jing Lu, Lulu Wang and Zeyi Shang
Electronics 2025, 14(18), 3609; https://doi.org/10.3390/electronics14183609 - 11 Sep 2025
Cited by 1 | Viewed by 999
Abstract
This paper introduces a parallelized approach to reconstruct Koopman computational graphs from the perspective of parallel computing to address the computational efficiency bottleneck in approximating Koopman operators within high-dimensional spaces. We propose the KPA (Koopman Parallel Accelerator), a parallelized algorithm that restructures the [...] Read more.
This paper introduces a parallelized approach to reconstruct Koopman computational graphs from the perspective of parallel computing to address the computational efficiency bottleneck in approximating Koopman operators within high-dimensional spaces. We propose the KPA (Koopman Parallel Accelerator), a parallelized algorithm that restructures the Koopman computational workflow to transform sequential time-step computations into parallel tasks. KPA leverages GPU parallelism to improve execution efficiency without compromising model accuracy. To validate the algorithm’s effectiveness, we apply KPA to a flight trajectory prediction scenario based on the Koopman operator. Within the CUDA kernel implementation of KPA, several optimization techniques—such as shared memory, tiling, double buffering, and data prefetching—are employed. We compare our implementation against two baselines: the original Koopman neural operator for trajectory prediction implemented in TensorFlow (TF-baseline) and its XLA-compiled variant (TF-XLA). The experimental results demonstrate that KPA achieves a 2.47× speed up over TF-baseline and a 1.09× improvement over TF-XLA when predicting a 1422-dimensional flight trajectory. Additionally, an ablation study on block size and the number of streaming multiprocessors (SMs) reveals that the best performance is obtained with the block size of 16 × 16 and SM = 8. The results demonstrate that KPA can significantly accelerate Koopman operator computations, making it suitable for high-dimensional, large-scale, or real-time applications. Full article
Show Figures

Figure 1

17 pages, 1234 KB  
Article
Co-Designing a DSM-5-Based AI-Powered Smart Assistant for Monitoring Dementia and Ongoing Neurocognitive Decline: Development Study
by Fareed Ud Din, Nabaraj Giri, Namrata Shetty, Tom Hilton, Niusha Shafiabady and Phillip J. Tully
BioMedInformatics 2025, 5(3), 49; https://doi.org/10.3390/biomedinformatics5030049 - 2 Sep 2025
Viewed by 2019
Abstract
Background/Objectives: Dementia is a leading cause of cognitive decline, with significant challenges for early detection and timely intervention. The lack of effective, user-centred technologies further limits clinical response, particularly in underserved areas. This study aimed to develop and describe a co-design process for [...] Read more.
Background/Objectives: Dementia is a leading cause of cognitive decline, with significant challenges for early detection and timely intervention. The lack of effective, user-centred technologies further limits clinical response, particularly in underserved areas. This study aimed to develop and describe a co-design process for creating a Diagnostic and Statistical Manual of Mental Disorders (DSM-5)-compliant, AI-powered Smart Assistant (SmartApp) to monitor neurocognitive decline, while ensuring accessibility, clinical relevance, and responsible AI integration. Methods: A co-design framework was applied using a novel combination of Agile principles and the Double Diamond Model (DDM). More than twenty iterative Scrum sprints were conducted, involving key stakeholders such as clinicians (psychiatrist, psychologist, physician), designers, students, and academic researchers. Prototype testing and design workshops were organised to gather structured feedback. Feedback was systematically incorporated into subsequent iterations to refine functionality, usability, and clinical applicability. Results: The iterative process resulted in a SmartApp that integrates a DSM-5-based screening tool with 24 items across key cognitive domains. Key features include longitudinal tracking of cognitive performance, comparative visual graphs, predictive analytics using a regression-based machine learning module, and adaptive user interfaces. Workshop participants reported high satisfaction with features such as simplified navigation, notification reminders, and clinician-focused reporting modules. Conclusions: The findings suggest that combining co-design methods with Agile/DDM frameworks provides an effective pathway for developing AI-powered clinical tools as per responsible AI standards. The SmartApp offers a clinically relevant, user-friendly platform for dementia screening and monitoring, with potential to support vulnerable populations through scalable, responsible digital health solutions. Full article
Show Figures

Figure 1

40 pages, 3396 KB  
Article
Using KeyGraph and ChatGPT to Detect and Track Topics Related to AI Ethics in Media Outlets
by Wei-Hsuan Li and Hsin-Chun Yu
Mathematics 2025, 13(17), 2698; https://doi.org/10.3390/math13172698 - 22 Aug 2025
Viewed by 1620
Abstract
This study examines the semantic dynamics and thematic shifts in artificial intelligence (AI) ethics over time, addressing a notable gap in longitudinal research within the field. In light of the rapid evolution of AI technologies and their associated ethical risks and societal impacts, [...] Read more.
This study examines the semantic dynamics and thematic shifts in artificial intelligence (AI) ethics over time, addressing a notable gap in longitudinal research within the field. In light of the rapid evolution of AI technologies and their associated ethical risks and societal impacts, the research integrates the theory of chance discovery with the KeyGraph algorithm to conduct topic detection through a keyword network built through iterative semantic exploration. ChatGPT is employed for semantic interpretation, enhancing both the accuracy and comprehensiveness of the detected topics. Guided by the double helix model of human–AI interaction, the framework incorporates a dual-layer validation process that combines cross-model semantic similarity analysis with expert-informed quality checks. An analysis of 24 authoritative AI ethics reports published between 2022 and 2024 reveals a consistent trend toward semantic stability, with high cross-model similarity across years (2022: 0.808 ± 0.023; 2023: 0.812 ± 0.013; 2024: 0.828 ± 0.015). Statistical tests confirm significant differences between single-cluster and multi-cluster topic structures (p < 0.05). The thematic findings indicate a shift in AI ethics discourse from a primary emphasis on technical risks to broader concerns involving institutional governance, societal trust, and the regulation of generative AI. Core keywords, such as bias, privacy, and ethics, recur across all years, reflecting the consolidation of an integrated governance framework that encompasses technological robustness, institutional adaptability, and social consensus. This dynamic semantic analysis framework contributes empirically to AI ethics governance and offers actionable insights for researchers and interdisciplinary stakeholders. Full article
(This article belongs to the Special Issue Artificial Intelligence and Algorithms)
Show Figures

Figure 1

25 pages, 1040 KB  
Review
Establishing a Sea Level Rise-Adjusted Design Flood Elevation for Buildings: A Comparative Study of Methods
by Wendy Meguro, Josephine I. Briones, Eric Teeples and Charles H. Fletcher
Water 2025, 17(16), 2376; https://doi.org/10.3390/w17162376 - 11 Aug 2025
Cited by 1 | Viewed by 4145
Abstract
Coastal high tide flooding doubled in the U.S. between 2000 and 2022 and sea level rise (SLR) due to climate change will dramatically increase exposure and vulnerability to flooding in the future. However, standards for elevating buildings in flood hazard areas, such as [...] Read more.
Coastal high tide flooding doubled in the U.S. between 2000 and 2022 and sea level rise (SLR) due to climate change will dramatically increase exposure and vulnerability to flooding in the future. However, standards for elevating buildings in flood hazard areas, such as base flood elevations set by the Federal Emergency Management Agency, are based on historical flood data and do not account for future SLR. To increase flood resilience in flood hazard areas, federal, state, regional, and municipal planning initiatives are developing guidance to increase elevation requirements for occupied spaces in buildings. However, methods to establish a flood elevation that specifically accounts for rising sea levels (or sea level rise-adjusted design flood elevation (SLR-DFE)) are not standardized. Many municipalities or designers lack clear guidance on developing or incorporating SLR-DFEs. This study compares guidance documents, policies, and methods for establishing an SLR-DFE. The authors found that the initiatives vary in author, water level measurement starting point, SLR scenario and timeframe, SLR adjustment, freeboard, design flood elevation, application (geography and building type), and whether it is required or recommended. The tables and graph compare the different initiatives, providing a useful summary for policymakers and practitioners to develop SLR-DFE standards. Full article
(This article belongs to the Special Issue Climate Risk Management, Sea Level Rise and Coastal Impacts)
Show Figures

Figure 1

17 pages, 3062 KB  
Article
Spatiotemporal Risk-Aware Patrol Planning Using Value-Based Policy Optimization and Sensor-Integrated Graph Navigation in Urban Environments
by Swarnamouli Majumdar, Anjali Awasthi and Lorant Andras Szolga
Appl. Sci. 2025, 15(15), 8565; https://doi.org/10.3390/app15158565 - 1 Aug 2025
Viewed by 1262
Abstract
This study proposes an intelligent patrol planning framework that leverages reinforcement learning, spatiotemporal crime forecasting, and simulated sensor telemetry to optimize autonomous vehicle (AV) navigation in urban environments. Crime incidents from Washington DC (2024–2025) and Seattle (2008–2024) are modeled as a dynamic spatiotemporal [...] Read more.
This study proposes an intelligent patrol planning framework that leverages reinforcement learning, spatiotemporal crime forecasting, and simulated sensor telemetry to optimize autonomous vehicle (AV) navigation in urban environments. Crime incidents from Washington DC (2024–2025) and Seattle (2008–2024) are modeled as a dynamic spatiotemporal graph, capturing the evolving intensity and distribution of criminal activity across neighborhoods and time windows. The agent’s state space incorporates synthetic AV sensor inputs—including fuel level, visual anomaly detection, and threat signals—to reflect real-world operational constraints. We evaluate and compare three learning strategies: Deep Q-Network (DQN), Double Deep Q-Network (DDQN), and Proximal Policy Optimization (PPO). Experimental results show that DDQN outperforms DQN in convergence speed and reward accumulation, while PPO demonstrates greater adaptability in sensor-rich, high-noise conditions. Real-map simulations and hourly risk heatmaps validate the effectiveness of our approach, highlighting its potential to inform scalable, data-driven patrol strategies in next-generation smart cities. Full article
(This article belongs to the Special Issue AI-Aided Intelligent Vehicle Positioning in Urban Areas)
Show Figures

Figure 1

18 pages, 396 KB  
Article
A Novel Bondage Parameter for Network Analysis
by Hande Tuncel Golpek
Symmetry 2025, 17(8), 1170; https://doi.org/10.3390/sym17081170 - 22 Jul 2025
Viewed by 639
Abstract
In this study, we explore the paired disjunctive domination number—a recently introduced parameter by Henning et al.—within the broader framework of graph and network sensitivity and vulnerability analysis. Building on this concept, we introduce and investigate the paired disjunctive bondage number (PDBN), which [...] Read more.
In this study, we explore the paired disjunctive domination number—a recently introduced parameter by Henning et al.—within the broader framework of graph and network sensitivity and vulnerability analysis. Building on this concept, we introduce and investigate the paired disjunctive bondage number (PDBN), which measures the minimum number of edge deletions required to increase the paired disjunctive domination number of a graph or its corresponding network model. We begin by computing this new bondage number for several well-known network classes. The focus then shifts to specific families of trees, where we first determine their paired disjunctive domination numbers in detail. Using these values, we calculate the corresponding bondage numbers for various structurally symmetric, hierarchical, and compound tree structures, including double star, comet, double comet, Ept, and binomial trees, all of which model different types of infrastructural networks. Finally, we present an algorithm for computing PDBN, accompanied by a complexity analysis, and illustrate the practical relevance of the parameter through a case study applying it to a real-life network problem. Our results offer foundational insights into the behavior of this new domination parameter and its bondage variant, contributing to the growing literature on graph vulnerability and suggesting potential applications in the design of resilient and failure-aware networks. Full article
(This article belongs to the Special Issue Symmetry in Security and Theoretical Computer Science)
Show Figures

Figure 1

16 pages, 3824 KB  
Article
Style Transfer and Topological Feature Analysis of Text-Based CAPTCHA via Generative Adversarial Networks
by Tao Xue, Zixuan Guo, Zehang Yin and Yu Rong
Mathematics 2025, 13(11), 1861; https://doi.org/10.3390/math13111861 - 2 Jun 2025
Cited by 1 | Viewed by 905
Abstract
The design and cracking of text-based CAPTCHAs are important topics in computer security. This study proposes a method for the style transfer of text-based CAPTCHAs using Generative Adversarial Networks (GANs). First, a curated dataset was used, combining a text-based CAPTCHA library and image [...] Read more.
The design and cracking of text-based CAPTCHAs are important topics in computer security. This study proposes a method for the style transfer of text-based CAPTCHAs using Generative Adversarial Networks (GANs). First, a curated dataset was used, combining a text-based CAPTCHA library and image collections from four artistic styles—Van Gogh, Monet, Cézanne, and Ukiyo-e—which were used to generate style-based text CAPTCHA samples. Subsequently, a universal style transfer model, along with trained CycleGAN models for both single- and double-style transfers, were employed to generate style-enhanced text-based CAPTCHAs. Traditional methods for evaluating the anti-recognition capability of text-based CAPTCHAs primarily focus on recognition success rates. This study introduces topological feature analysis as a new method for evaluating text-based CAPTCHAs. Initially, the recognition success rates of the three methods across four styles were evaluated using Muggle-OCR. Subsequently, the graph diameter was employed to quantify the differences between text-based CAPTCHA images before and after style transfer. The experimental results demonstrate that the recognition rates of style-enhanced text-based CAPTCHAs are consistently lower than those of the original CAPTCHA, suggesting that style transfer enhances anti-recognition capability. Topological feature analysis indicates that style transfer results in a more compact topological structure, further validating the effectiveness of the GAN-based twice-transfer method in enhancing CAPTCHA complexity and anti-recognition capability. Full article
Show Figures

Figure 1

17 pages, 3234 KB  
Article
A Graph Convolutional Network-Based Fine-Grained Low-Latency Service Slicing Algorithm for 6G Networks
by Yuan Ye, Caiming Zhang, Chenlan Wu and Xiaorong Zhu
Sensors 2025, 25(10), 3139; https://doi.org/10.3390/s25103139 - 15 May 2025
Cited by 1 | Viewed by 985
Abstract
The future 6G (sixth-generation) mobile communication technology is required to support advanced network services capabilities such as holographic communication, autonomous driving, and the industrial internet, which demand higher data rates, lower latency, and greater reliability. Furthermore, future service classifications will become more fine-grained. [...] Read more.
The future 6G (sixth-generation) mobile communication technology is required to support advanced network services capabilities such as holographic communication, autonomous driving, and the industrial internet, which demand higher data rates, lower latency, and greater reliability. Furthermore, future service classifications will become more fine-grained. To meet the requirements of these low-latency services with varying granularities, this work investigates fine-grained network slicing for low-latency services in 6G networks. A fine-grained network slicing algorithm for low-latency services in 6G based on GCNs (graph convolutional networks) is proposed. The goal is to minimize the end-to-end delay of network slicing while meeting the constraints of computational resources, communication resources, and the deployment of SFCs (service function chains). This algorithm focuses on the construction and deployment of network slices. First, due to the complexity and diversity of 6G networks, DAGs (Directed Acyclic Graphs) are used to represent network service requests. Then, based on the depth-first search algorithm, three types of SFCs of latency-type network slices are constructed according to the available computing and communication resources. Finally, the GCN-based low-latency service fine-grained network slicing algorithm is used to deploy SFCs. The simulation results show that the latency performance of the proposed algorithm outperforms that of the Double DQN and DQN algorithms across various scenarios, including changes in the number of underlying network nodes and variations in service sizes. Full article
(This article belongs to the Section Sensor Networks)
Show Figures

Figure 1

Back to TopTop