Sign in to use this feature.

Years

Between: -

Subjects

remove_circle_outline
remove_circle_outline
remove_circle_outline
remove_circle_outline
remove_circle_outline
remove_circle_outline
remove_circle_outline
remove_circle_outline
remove_circle_outline

Journals

remove_circle_outline
remove_circle_outline
remove_circle_outline
remove_circle_outline
remove_circle_outline
remove_circle_outline
remove_circle_outline

Article Types

Countries / Regions

remove_circle_outline
remove_circle_outline
remove_circle_outline
remove_circle_outline
remove_circle_outline

Search Results (769)

Search Parameters:
Keywords = domain decomposition methods

Order results
Result details
Results per page
Select all
Export citation of selected articles as:
26 pages, 2613 KB  
Article
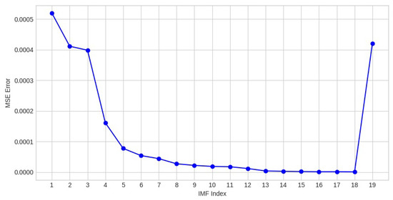
C-EMDNet: A Nonlinear Morphological Deep Framework for Robust Speech Enhancement
by Kais Khaldi, Sahar Almenwer, Afrah Alanazi, Inam Alanazi and Anis Mohamed
Sensors 2026, 26(6), 1917; https://doi.org/10.3390/s26061917 - 18 Mar 2026
Abstract
This study introduces C-EMDNet, a nonlinear speech denoising approach that combines the adaptive decomposition capabilities of Complete Ensemble Empirical Mode Decomposition with Adaptive Noise (CEEMDAN) and a deep convolutional architecture operating directly in the time-intrinsic mode function (IMF) domain. Unlike conventional enhancement methods [...] Read more.
This study introduces C-EMDNet, a nonlinear speech denoising approach that combines the adaptive decomposition capabilities of Complete Ensemble Empirical Mode Decomposition with Adaptive Noise (CEEMDAN) and a deep convolutional architecture operating directly in the time-intrinsic mode function (IMF) domain. Unlike conventional enhancement methods that rely on fixed time–frequency representations, such as the short-time Fourier transform (STFT), the proposed approach interprets CEEMDAN IMFs as a morphological latent space that captures the multi-scale structure of speech. A U-Net-like network was trained to estimate mode-wise masks, enabling selective noise suppression while preserving the harmonic and formant structures. Experiments on standard noisy speech datasets show that C-EMDNet outperforms classical denoising algorithms and competitive deep learning baselines. These results highlight the promise of nonlinear morphological representations for an alternative framework speech enhancement. Full article
(This article belongs to the Section Intelligent Sensors)
Show Figures

Figure 1

23 pages, 4280 KB  
Article
Data-Driven Reduced-Order Modeling for Aeroelastic Load Prediction of Rotor Blades
by Nan Luo, Zhihao Yu and Weidong Yang
Aerospace 2026, 13(3), 281; https://doi.org/10.3390/aerospace13030281 - 17 Mar 2026
Abstract
This paper proposes a data-driven model for predicting rotor fluid-structure interaction (FSI) load with efficient aeroelastic analysis. Unsteady flow-field snapshots obtained from computational fluid dynamics (CFD) simulations are first processed using Proper Orthogonal Decomposition (POD) to reduce the dimensionality of the flow data [...] Read more.
This paper proposes a data-driven model for predicting rotor fluid-structure interaction (FSI) load with efficient aeroelastic analysis. Unsteady flow-field snapshots obtained from computational fluid dynamics (CFD) simulations are first processed using Proper Orthogonal Decomposition (POD) to reduce the dimensionality of the flow data and extract the dominant modal time coefficients. Based on these reduced-order representations, the Dynamic Mode Decomposition with control (DMDc) method is used to identify a time-domain state-space model of the aerodynamic system. The identified data-driven aerodynamic model is coupled with the structural dynamic equations, which allows time-domain reconstruction and prediction of unsteady aerodynamic forces and structural loads under aeroelastic interactions. Hence, an efficient reduced-order model for aerodynamic load is established. The proposed approach is first validated using a two-dimensional airfoil subjected to different motion inputs, where the reduced-order aerodynamic predictions are compared with high-fidelity CFD results. Then, a three-dimensional sectional reduced-order model for a rotor is developed based on blade element theory, and aeroelastic coupled simulations are conducted for the SA349 rotor. The results demonstrate that the proposed method can accurately capture unsteady aerodynamic loads and aeroelastic responses, while significantly improving computational efficiency compared to high-fidelity simulations. Full article
(This article belongs to the Section Aeronautics)
Show Figures

Figure 1

34 pages, 7227 KB  
Article
Real-Time Sand Transport Detection in an Offshore Hydrocarbon Well Using Distributed Acoustic Sensing-Based VSP Technology: Field Data Analysis and Operational Insights
by Dejen Teklu Asfha, Abdul Halim Abdul Latiff, Hassan Soleimani, Abdul Rahim Md Arshad, Alidu Rashid, Ida Bagus Suananda Yogi, Daniel Asante Otchere, Ahmed Mousa and Rifqi Roid Dhiaulhaq
Technologies 2026, 14(3), 175; https://doi.org/10.3390/technologies14030175 - 13 Mar 2026
Viewed by 130
Abstract
Sand production in an offshore hydrocarbon wells poses significant operational and integrity challenges, particularly in deviated wells, where complex flow geometries intensify particle transport and erosion risks. The traditional sand-monitoring method utilizes stationary acoustic sensors attached to the production flowline at the surface. [...] Read more.
Sand production in an offshore hydrocarbon wells poses significant operational and integrity challenges, particularly in deviated wells, where complex flow geometries intensify particle transport and erosion risks. The traditional sand-monitoring method utilizes stationary acoustic sensors attached to the production flowline at the surface. However, these sensors provide limited spatial coverage and intermittent measurements, restricting their ability to detect early sanding onset or precisely localize sanding intervals. By combining with vertical seismic profiling (VSP), Distributed Acoustic Sensing (DAS) delivers continuous, high-density data along the entire length of the wellbore and is increasingly recognized as a powerful diagnostic tool for real-time downhole monitoring. This study presents a field application of DAS-VSP for detecting and characterizing sand transport in a deviated offshore production well equipped with 350 distributed fiber-optic channels spanning 0–1983 m true vertical depth (TVD) at 8 m spacing. A multistage workflow was developed, including SEGY ingestion and shot merging, channel and time window selection, trace normalization, and low-pass filtering below 20 Hz. Multi-domain signal analysis, such as RMS energy, spike-based time-domain attributes, FFT, PSD spectral characterization, and time–frequency decomposition, were used to isolate the characteristic im-pulsive low-frequency (<20 Hz) signatures associated with sand impact. An adaptive thresholding and event-clustering scheme was then applied to discriminate sanding bursts from background noise and integrate their acoustic energy over depth. The processed DAS section revealed distinct, depth-localized sand ingress zones within the production interval (1136–1909 m TVD). The derived sand log provided a quantitative measure of sand intensity variations along the deviated wellbore, with normalized RMS amplitudes ranging from 0.039 to 1.000 a.u., a mean value of 0.235 a.u., and 137 analyzed channels within the production interval. These results indicate that sand production is highly clustered within discrete depth intervals, offering new insights into sand–fluid interactions during steady-state flow. Overall, the findings confirm that DAS-VSP enables continuous real-time monitoring of the sanding behavior with a far greater depth resolution than conventional tools. This approach supports proactive sand management strategies, enhances well-integrity decision-making, and underscores the potential of DAS to evolve into a standard surveillance technology for hydrocarbon production wells. Full article
Show Figures

Graphical abstract

24 pages, 50347 KB  
Article
Analysis Model of Load Transfer Method Based on Domain Decomposition Physics-Informed Neural Networks
by Xiaoru Jia, Keshen Zhang, Junwei Liu, Wenchang Shang, Yahui Zhang, Yuxing Ding and Guangyu Qi
Buildings 2026, 16(6), 1114; https://doi.org/10.3390/buildings16061114 - 11 Mar 2026
Viewed by 109
Abstract
The load transfer method is important for the settlement prediction of axially loaded piles, but in multi-layered complex soils, it lacks analytical solutions. Traditional numerical methods such as the finite element method suffer from strong dependence on mesh generation, time-consuming iterative calculations, and [...] Read more.
The load transfer method is important for the settlement prediction of axially loaded piles, but in multi-layered complex soils, it lacks analytical solutions. Traditional numerical methods such as the finite element method suffer from strong dependence on mesh generation, time-consuming iterative calculations, and high computational costs for back-analysis. This paper proposes a load transfer analysis model based on a Domain Decomposition Physics-Informed Neural Network. A multi-subnet parallel architecture is adopted to simulate multi-layered soils, solving the problem of inter-layer stress–strain discontinuity through interface coupling and gradient continuity constraints; a non-dimensionalization system and a hard constraint mechanism are introduced to enhance training efficiency and physical consistency; and a two-stage analysis framework comprising surrogate model forward analysis and field data inversion is established. Numerical experimental results indicate that the forward analysis of this model is in high agreement with FEM simulation results, and computational efficiency is improved by six orders of magnitude; based on a small amount of field static load test data, multi-layer soil parameters are accurately inverted, achieving more precise pile settlement prediction than FEM. Comparative analysis validates the effectiveness of the domain decomposition multi-subnet over a single network, demonstrating extensibility to hyperbolic and exponential multi-soil constitutive models. Full article
Show Figures

Figure 1

16 pages, 1537 KB  
Article
QR-FOLDA: A Fast Orthogonal Linear Discriminant Analysis Based on QR Decomposition
by Yuchuan Liu, Qiuxu Yi, Yulin Deng, Yu Rao, Bocheng Wang and Mi Zhang
Mathematics 2026, 14(6), 933; https://doi.org/10.3390/math14060933 - 10 Mar 2026
Viewed by 109
Abstract
Orthogonal Linear Discriminant Analysis (OLDA) has been widely studied for dimensionality reduction, as the orthogonality constraints on its projection matrix enable more effective elimination of redundant features compared to conventional Linear Discriminant Analysis (LDA). However, most existing methods for solving OLDA rely on [...] Read more.
Orthogonal Linear Discriminant Analysis (OLDA) has been widely studied for dimensionality reduction, as the orthogonality constraints on its projection matrix enable more effective elimination of redundant features compared to conventional Linear Discriminant Analysis (LDA). However, most existing methods for solving OLDA rely on iterative optimization to sequentially construct orthogonal components, incurring massive repeated high-cost matrix operations and thus leading to substantial computational inefficiency. To address this limitation, we propose QR decomposition-based Fast OLDA (QR-FOLDA), a method built upon a theoretical result (Theorem 1) established in this work: the optimal solutions of LDA remain valid under any full-rank linear transformation. By leveraging this property, QR-FOLDA applies QR decomposition directly to the optimal LDA solution, thereby enforcing orthogonality while avoiding the repeated high-cost matrix operations typically involved in iterative optimization procedures. Experimental evaluations conducted on nine real-world datasets across various domains show that QR-FOLDA not only achieves substantial improvements in computational efficiency compared to existing OLDA methods but also delivers superior classification performance. These findings position QR-FOLDA as a theoretically sound and practically efficient solution for orthogonal discriminant analysis. Full article
(This article belongs to the Section E1: Mathematics and Computer Science)
Show Figures

Figure 1

15 pages, 2136 KB  
Article
Efficient Time-Domain Dimension Reduction Methods for Simulating Stationary Stochastic Processes
by Guoyu Liu, Shiwei Yin, Xiaojiao Fu and Zixin Liu
Mathematics 2026, 14(5), 875; https://doi.org/10.3390/math14050875 - 5 Mar 2026
Viewed by 159
Abstract
The high-dimensional stochastic space caused by a large number of random variables remains a significant challenge hindering the practical application of stochastic process simulation in engineering. Although various dimension reduction techniques have been developed, their direct integration into time-domain simulation frameworks remains limited. [...] Read more.
The high-dimensional stochastic space caused by a large number of random variables remains a significant challenge hindering the practical application of stochastic process simulation in engineering. Although various dimension reduction techniques have been developed, their direct integration into time-domain simulation frameworks remains limited. To address this issue, this paper proposes two efficient time-domain dimension reduction methods for simulating stationary stochastic processes. The methods reduce the number of input random variables required for simulation to a single variable, while the randomness of the output stochastic process remains unchanged. The proposed methods are theoretically motivated by spectral decomposition of processes using two distinct strategies and explicitly incorporate the decay characteristics of the impulse response function associated with the stochastic process. Based on this, the random orthogonal functions can be naturally introduced to simulate the stationary stochastic process, which effectively resolves the high-dimensional random variables encountered in conventional time-domain simulations. Furthermore, the incorporation of a number-theoretic method enables uncertainty quantification of stochastic process samples. Numerical simulations demonstrate that the proposed methods reduce the random variable dimension from 2400 to 1 (99.95% reduction). Relative error of the simulated power spectral density remains below 2%, while computational time is reduced by approximately 4% compared with the conventional time-domain methods. These results demonstrate the effectiveness and practical applicability of the proposed approach in engineering stochastic process simulation. Full article
Show Figures

Figure 1

32 pages, 4167 KB  
Article
Dynamic Time-Window Nash Equilibrium Strategies for Spacecraft Pursuit–Evasion Games Under Incomplete Strategies
by Lei Sun, Zengliang Han, Yuhui Wang, Binpeng Tian and Panxing Huang
Machines 2026, 14(3), 280; https://doi.org/10.3390/machines14030280 - 2 Mar 2026
Viewed by 190
Abstract
Spacecraft pursuit–evasion in contested environments is complicated by strategic incompleteness: the evader can switch maneuvering modes and deploy multi-domain countermeasures that degrade the pursuer’s perception, leading to non-stationary information and distributionally ambiguous interference statistics. A dynamic time-window Nash equilibrium framework is developed for [...] Read more.
Spacecraft pursuit–evasion in contested environments is complicated by strategic incompleteness: the evader can switch maneuvering modes and deploy multi-domain countermeasures that degrade the pursuer’s perception, leading to non-stationary information and distributionally ambiguous interference statistics. A dynamic time-window Nash equilibrium framework is developed for linearized Local Vertical Local Horizontal (LVLH) relative motion under interference-induced uncertainty. Perceptual degradation is modeled via an evidence–theoretic belief representation, and the Jensen–Shannon (JS) divergence is introduced to quantify discrepancies between nominal and interference-corrupted beliefs. The divergence metric drives an adaptive time-window partitioning policy and an uncertainty-aware running cost that balances nominal performance objectives with robustness regularization during high-degradation intervals. In each time window, sufficient conditions are provided for the existence of a local Nash equilibrium, and equilibrium strategies are characterized by the Hamilton–Jacobi–Bellman–Isaacs (HJBI) equation. A global consistency result is established: assuming state continuity, additive cost decomposition, and dynamic-programming compatibility at window boundaries, concatenating the window-wise equilibria yields a Nash equilibrium over the entire horizon. Unlike conventional receding-horizon differential games with a fixed replanning grid, the proposed policy partitions the horizon online in response to perceptual-degradation events and stitches adjacent windows through a continuation value. This boundary stitching enables the global consistency guarantee under additive costs and state continuity. To hedge against ambiguity in interference intensity, a variational distributionally robust optimization (DRO) problem with moment-constrained ambiguity sets is formulated, and the dual worst-case distribution is derived. The resulting Karush–Kuhn–Tucker (KKT) system is reformulated as a finite-dimensional variational inequality, for which an accelerated Alternating Direction Method of Multipliers (ADMM) operator-splitting solver is proposed for efficient real-time computation. Numerical simulations validate the framework and demonstrate improved robustness and computational scalability under time-varying interference compared with fixed-window baselines. Full article
Show Figures

Figure 1

23 pages, 11993 KB  
Article
HL-Mamba: A High–Low Frequency Interaction Mamba Network for Hyperspectral Image Classification
by Yehong Teng, Shu Gan and Xiping Yuan
Sensors 2026, 26(5), 1556; https://doi.org/10.3390/s26051556 - 2 Mar 2026
Viewed by 205
Abstract
Deep-learning-based methods have achieved remarkable success in hyperspectral image (HSI) classification tasks due to their promising ability. However, the high dimensionality and spectral–spatial correlations of HSIs usually lead to information redundancy and feature entanglement, limiting the classification performance. To address these issues, we [...] Read more.
Deep-learning-based methods have achieved remarkable success in hyperspectral image (HSI) classification tasks due to their promising ability. However, the high dimensionality and spectral–spatial correlations of HSIs usually lead to information redundancy and feature entanglement, limiting the classification performance. To address these issues, we propose a novel high–low frequency interaction Mamba network, called HL-Mamba, which achieves effective decoupling and interaction between global structures and edge details of HSIs in the frequency domain, thereby improving spectral–spatial representation for HSI classification. Specifically, a high–low frequency decomposition Mamba module is designed to decompose the HSI into low-frequency structural and high-frequency edge detail components, which allows the model to learn global structures and fine-grained details, enhancing classification performance. By employing two parallel Mamba branches to model long-range dependencies across different frequency components, the network achieves efficient global modeling while mitigating information redundancy. Furthermore, a cross-frequency interaction module is designed to establish complementary information flow between high- and low-frequency features through a dynamic attention mechanism. In this way, low-frequency structural features guide the aggregation of high-frequency details, whereas high-frequency textures refine global structural representations, yielding more discriminative spectral–spatial features for HSI classification. In addition, a frequency alignment loss is designed to enhance the consistency and complementarity between high- and low-frequency features, further improving classification performance. Extensive experiments on four public benchmark datasets (i.e., Indian Pines, Pavia University, WHU-Hi-HanChuan, and Houston datasets) demonstrate that the proposed HL-Mamba significantly outperforms eight comparison methods, achieving an overall accuracy of 94.07%, 93.82%, 95.28%, and 87.32%, respectively. Ablation studies further verify the effectiveness of core component within the network. Full article
Show Figures

Figure 1

24 pages, 3563 KB  
Article
Fault Diagnosis of Outer Race of Rolling Bearings Based on Optimized VMD-CYCBD Method Under Variable Speed Conditions
by Xudong Zhang, Mengmeng Shi, Dongchen Song, Hongyu Li, Yanbin Li and Dahai Zhang
Aerospace 2026, 13(3), 219; https://doi.org/10.3390/aerospace13030219 - 27 Feb 2026
Viewed by 169
Abstract
This paper addresses the challenge of extracting weak early fault signals from rolling bearings under variable speed conditions, where strong background noise often obscures diagnostic features. We propose a novel fault diagnosis method that integrates variational mode decomposition (VMD) and maximum second-order cyclo-stationarity [...] Read more.
This paper addresses the challenge of extracting weak early fault signals from rolling bearings under variable speed conditions, where strong background noise often obscures diagnostic features. We propose a novel fault diagnosis method that integrates variational mode decomposition (VMD) and maximum second-order cyclo-stationarity blind deconvolution (CYCBD). The proposed approach begins by converting non-stationary vibration signals into angular-domain stationary signals using computed order tracking (COT). Subsequently, the parameters of the VMD algorithm are optimized via the sine–cosine and Cauchy mutation sparrow search algorithm (SCSSA) to select the optimal modal components. A key contribution is the introduction of a composite index (CI), combining harmonic significance and the envelope spectrum crest factor, which serves as the fitness function for the SCSSA to optimize the critical parameters of CYCBD for enhanced feature enhancement. Finally, fault characteristics are extracted by analyzing the deconvolved signal with an order envelope spectrum. Both simulation and experimental results demonstrate the superior capability of the proposed VMD-CYCBD method in effectively identifying weak fault features submerged in strong noise under variable speed conditions. Full article
(This article belongs to the Section Aeronautics)
Show Figures

Figure 1

29 pages, 56350 KB  
Article
MFE-DETR: Multimodal Feature-Enhanced Detection Transformer for RGB–Infrared Object Detection in Aerial Imagery
by Zekai Yan and Mu-Jiang-Shan Wang
Symmetry 2026, 18(3), 417; https://doi.org/10.3390/sym18030417 - 27 Feb 2026
Viewed by 187
Abstract
Multimodal object detection utilizing RGB and infrared (IR) imagery has become a critical research area for unmanned aerial vehicle (UAV) surveillance applications, providing reliable perception under various lighting and environmental conditions. Nevertheless, current methods encounter three primary challenges: (1) insufficient utilization of frequency-domain [...] Read more.
Multimodal object detection utilizing RGB and infrared (IR) imagery has become a critical research area for unmanned aerial vehicle (UAV) surveillance applications, providing reliable perception under various lighting and environmental conditions. Nevertheless, current methods encounter three primary challenges: (1) insufficient utilization of frequency-domain properties in heterogeneous modalities, (2) restricted adaptability in crossmodal feature integration across different environmental scenarios, and (3) inadequate modeling of fine-grained spatial relationships for accurate object localization. To overcome these limitations, we introduce MFE-DETR, a novel Multimodal Feature-Enhanced Detection Transformer that achieves superior RGB-IR fusion through three complementary innovations. First, we present the Dual-Modality Enhancement Module (DMEM) with two specialized processing streams: the Haar wavelet decomposition stream (HWD-Stream) that conducts multi-resolution frequency-domain analysis to independently enhance low-frequency structural components and high-frequency textural information, and the Attention-guided Kolmogorov–Arnold Refinement Stream (AKR-Stream) that employs learnable spline-parameterized activation functions for adaptive nonlinear feature refinement. Second, we enhance the Cross-scale Channel Feature Fusion module by integrating an Adaptive Feature Fusion Module (AFAM) with complementary gating mechanisms that dynamically adjust modality contributions according to spatial informativeness. Third, we introduce the Bilinear Attention-Enhanced Detection Module (BADM) that models second-order feature interactions through factorized bilinear pooling, facilitating fine-grained crossmodal correlation analysis. Extensive experiments on the DroneVehicle benchmark show that MFE-DETR attains 78.6% mAP50 and 57.8% mAP50:95, outperforming state-of-the-art approaches by 5.3% and 3.7%, respectively. Additional evaluations on the VisDrone dataset further confirm the excellent generalization performance of our method, especially for small object detection with 18.6% APS, achieving a 1.5% improvement over existing techniques. Comprehensive ablation studies and visualizations offer detailed insights into the effectiveness of each proposed component. Full article
(This article belongs to the Section Computer)
Show Figures

Figure 1

18 pages, 1234 KB  
Article
STFF-CANet Diagnosis Model of Aero-Engine Surge Based on Spatio-Temporal Feature Fusion
by Chunyan Hu, Yafeng Shen, Qingwen Zeng, Gang Xu, Jiaxian Sun and Keqiang Miao
Aerospace 2026, 13(3), 212; https://doi.org/10.3390/aerospace13030212 - 27 Feb 2026
Viewed by 174
Abstract
Aero engine surge diagnosis is a key technology in engine health management, and its diagnostic accuracy is of great significance for ensuring operational safety. Traditional threshold-based diagnostic methods are significantly affected by working conditions, which makes it difficult to achieve full working condition [...] Read more.
Aero engine surge diagnosis is a key technology in engine health management, and its diagnostic accuracy is of great significance for ensuring operational safety. Traditional threshold-based diagnostic methods are significantly affected by working conditions, which makes it difficult to achieve full working condition coverage. Moreover, due to issues such as varying feature thresholds across conditions, weak signal characteristics, and low identifiability, the diagnostic accuracy remains limited. To address these challenges, this paper proposes an STFF-CANet (Spatio-Temporal Feature Fusion Cross-Attentional Network) diagnosis model of aero engine surge based on spatio-temporal feature fusion. The model first employs a Convolutional Neural Network (CNN) to extract spatial features from the frequency domain of dynamic signals via Fast Fourier Transform (FFT). Simultaneously, a Bidirectional Long Short-Term Memory (BiLSTM) network is used to capture temporal features from signals optimized by Variational Mode Decomposition (VMD). A cross-attention mechanism is further introduced to achieve deep fusion of spatiotemporal features, thereby enhancing the capability to identify weak fault characteristics. In addition, the sliding window slice method is used to expand the sample size for the small sample fault data of the engine surge of an aero engine. This ensures both informational continuity between slices and statistical stability of features, effectively mitigating the difficulty of diagnosing early and weak surge characteristics under small-sample conditions. Experimental results demonstrate that the model achieves an F1-score, Recall, Precision, and Accuracy of 97.96%, 97.52%, 98.43%, and 99.01%, respectively, in surge fault classification. These outcomes meet the practical requirements for aero engine surge diagnosis and provide an effective solution for early fault warning in complex industrial equipment. Full article
(This article belongs to the Section Aeronautics)
Show Figures

Figure 1

26 pages, 8135 KB  
Article
DADD-PINN: Dual Adaptive Domain Decomposition Physics-Informed Neural Networks
by Yunkang Xiong, Hongyu Wei, Zhiying Ma, Zhihong Ding and Yaxin Peng
Mathematics 2026, 14(4), 744; https://doi.org/10.3390/math14040744 - 23 Feb 2026
Viewed by 512
Abstract
When solving partial differential equations (PDEs), traditional Physics-Informed Neural Networks (PINNs) often encounter difficulties in capturing critical physical features and addressing information bias between subdomains. To overcome these limitations, this paper proposes a Dual Adaptive Domain Decomposition Physics-Informed Neural Network (DADD-PINN). The core [...] Read more.
When solving partial differential equations (PDEs), traditional Physics-Informed Neural Networks (PINNs) often encounter difficulties in capturing critical physical features and addressing information bias between subdomains. To overcome these limitations, this paper proposes a Dual Adaptive Domain Decomposition Physics-Informed Neural Network (DADD-PINN). The core of this method lies in the construction of a dual-driven architecture that facilitates intra-subdomain feature extraction and inter-subdomain feature coordination. Within each subdomain, the solver’s precision is significantly enhanced by integrating a multi-criterion adaptive sampling strategy with a dynamic weighting mechanism. Experimental results demonstrate that DADD-PINN reduces the optimal L2 error by 1–2 orders of magnitude compared to existing baselines. The model exhibits superior generalization and robustness across various physical fields, offering a new route toward accurate and efficient solutions for complex PDEs. Full article
(This article belongs to the Special Issue Computational Intelligence and Data Analysis)
Show Figures

Figure 1

16 pages, 1057 KB  
Article
Linking Cancer Pain Features and Biosignals for Automatic Pain Assessment
by Marco Cascella, Francesco Perri, Alessandro Ottaiano, Mariachiara Santorsola, Maria Luisa Marciano, Fabiana Raffaella Rampetta, Monica Pontone, Anna Crispo, Francesco Sabbatino, Gianluigi Franci, Walter Esposito, Gennaro Cisale, Maria Romano, Francesco Amato, Amalia Scuotto, Vittorio Santoriello and Alfonso Maria Ponsiglione
Cancers 2026, 18(4), 646; https://doi.org/10.3390/cancers18040646 - 16 Feb 2026
Viewed by 346
Abstract
Background: Pain remains one of the most debilitating and prevalent symptoms in cancer patients. However, assessment based solely on subjective self-report tools is limited by cognitive impairment and the heterogeneous nature of cancer pain. Since evidence on the ability of physiological biosignals to [...] Read more.
Background: Pain remains one of the most debilitating and prevalent symptoms in cancer patients. However, assessment based solely on subjective self-report tools is limited by cognitive impairment and the heterogeneous nature of cancer pain. Since evidence on the ability of physiological biosignals to discriminate cancer pain intensity and pain phenotypes in real clinical settings remains limited, this study explored the potential of biosignals to discriminate between pain intensity and pain type. Methods: Electrodermal activity (EDA) and electrocardiogram (ECG) signals were recorded in cancer patients using the BITalino (r)evolution board (sampling frequency 1000 Hz). EDA was processed to extract skin conductance responses (SCRs) using continuous decomposition analysis (CDA) and trough-to-peak (TTP) methods. Heart rate variability (HRV) features were extracted in both time and frequency domains, including low frequency (LF), high frequency (HF), and the LF/HF ratio. Non-parametric Kruskal–Wallis tests were performed to compare biosignal parameters across pain intensity (Numeric Rating Scale, NRS: low 1–3; medium 4–6; and high 7–10) and pain types (nociceptive, neuropathic, mixed, and breakthrough cancer pain—BTCP). Results: Data from 61 patients were analyzed. For EDA, the maximum skin conductance response amplitude (MaxCDA) significantly differed across intensity groups (p = 0.037). Post hoc analysis showed a significant difference between the low- and high-intensity groups (p = 0.015), with the low-intensity group exhibiting a higher mean MaxCDA (0.063 µS) than the high-intensity group (0.024 µS). Several EDA parameters were significantly associated with pain type. The number of SCRs (TTP) (p = 0.015) and maximum SCR amplitude (TTP) (p = 0.040) were significantly lower in the mixed pain group compared with the nociceptive and neuropathic groups. No HRV parameters showed significant associations with pain intensity or pain type. BTCP did not significantly affect any biosignal parameters. Subgroup analyses showed that EDA features discriminating mixed pain were preserved in patients without bone metastases, BTCP, or high opioid burden, whereas no clinical variable modified the association between biosignals and pain intensity and type. Conclusions: In this investigation, selected EDA parameters were associated with cancer pain intensity and pain type, whereas heart rate variability measures did not show significant discrimination under the present methodological conditions. These findings suggest that EDA may provide complementary information on pain-related autonomic alterations in oncology patients. However, biosignals should not be considered standalone indicators of pain, and their interpretation requires integration with clinical variables and pharmacological context. Further studies adopting multimodal and longitudinal approaches are needed to clarify their role in automatic pain assessment in cancer care. Full article
(This article belongs to the Special Issue Palliative Care and Pain Management in Cancer)
Show Figures

Figure 1

21 pages, 942 KB  
Article
A Concurrent Multiscale Framework for Concrete Damage Analysis Using Overlapping Domain Decomposition
by Baijian Wu, Xinyue Wang and Peng Zhang
Buildings 2026, 16(4), 815; https://doi.org/10.3390/buildings16040815 - 16 Feb 2026
Viewed by 276
Abstract
Failure of concrete structures is a multiscale process where macroscale at the structural level and mesoscale at the heterogeneous material level are both involved. A multiscale approach is necessitated in the simulation of concrete failure. Based on an overlapping domain decomposition method, a [...] Read more.
Failure of concrete structures is a multiscale process where macroscale at the structural level and mesoscale at the heterogeneous material level are both involved. A multiscale approach is necessitated in the simulation of concrete failure. Based on an overlapping domain decomposition method, a concurrent multiscale framework for the damage analysis of concrete structures is formulated. The applicability of the proposed framework is illustrated by the multiscale damage analysis of an L-shaped concrete structure. Considering the complexity of a mesoscale model for a global concrete structure, the concrete structure is divided into three parts that require different strategies. Special attention is paid to the part where mesoscale structure needs to be taken. The Concrete Damaged Plasticity (CDP) model is adopted at the mesoscale level. The numerical results indicate that the proposed framework is able to model the damage process in concrete structure where a critical area will be particularly considered. The computational efficiency of the concurrent nonlinear algorithm is also discussed. The proposed multiscale framework can be potentially applied to model structural damage analysis in engineering practice. Full article
Show Figures

Figure 1

17 pages, 2049 KB  
Article
Simulation of Nonstationary Fluctuating Wind Fields Using POD Decoupling and Spline Interpolation
by Junfeng Zhang, Yuhang Xia, Ningbo Liu, Zheng Liu and Jie Li
Buildings 2026, 16(4), 804; https://doi.org/10.3390/buildings16040804 - 15 Feb 2026
Viewed by 279
Abstract
Improving the simulation efficiency of the spectral representation method (SRM) for nonstationary fluctuating wind fields has attracted considerable attention. To this end, this study proposes a method based on proper orthogonal decomposition (POD) decoupling and Spline interpolation to enhance computational efficiency. This method [...] Read more.
Improving the simulation efficiency of the spectral representation method (SRM) for nonstationary fluctuating wind fields has attracted considerable attention. To this end, this study proposes a method based on proper orthogonal decomposition (POD) decoupling and Spline interpolation to enhance computational efficiency. This method selects a limited number of interpolation points in the time-frequency domain of the evolutionary power spectral density (EPSD) for Cholesky decomposition, utilizes the proper orthogonal decomposition (POD) technique to achieve time-frequency decoupling of the spectral matrix, and employs Spline interpolation but not the traditional Hermite-interpolation to reconstruct the complete time-frequency functions, thereby enabling the rapid synthesis of wind-velocity time histories via the FFT. Then, the wind field on a three-span frame lightning-rod structure is taken as an example to validate the reliability of the proposed method. The influences of the modal order and the number of time-frequency interpolation points on both simulation efficiency and error are investigated, and comparisons are given with the Hermite-interpolation-based method. The results indicate that the simulation efficiency is governed primarily by the modal order, and the method with Spline interpolation shows higher computational efficiency and accuracy because it can satisfy accuracy requirements at a lower modal order. Finally, a rational truncation criterion based on the cumulative energy ratio of at least 99.9% is suggested to determine the optimal modal order, thereby achieving a balance between accuracy and computational efficiency. Full article
(This article belongs to the Special Issue Dynamic Response Analysis of Structures Under Wind and Seismic Loads)
Show Figures

Figure 1

Back to TopTop