Sign in to use this feature.

Years

Between: -

Subjects

remove_circle_outline
remove_circle_outline
remove_circle_outline
remove_circle_outline
remove_circle_outline
remove_circle_outline
remove_circle_outline
remove_circle_outline
remove_circle_outline

Journals

remove_circle_outline
remove_circle_outline
remove_circle_outline
remove_circle_outline

Article Types

Countries / Regions

remove_circle_outline
remove_circle_outline
remove_circle_outline
remove_circle_outline
remove_circle_outline
remove_circle_outline

Search Results (936)

Search Parameters:
Keywords = diverse vegetation types

Order results
Result details
Results per page
Select all
Export citation of selected articles as:
17 pages, 1732 KB  
Article
Adaptation Mechanisms of Understory Vegetation in Subtropical Plantations: Synergistic Drivers of Stand Spatial Structure and Soil Fertility
by Fenglin Zheng, Dehao Lu, Wenyi Ou, Sha Tan, Xiongjian Xu, Shucai Zeng and Lihua Xian
Plants 2025, 14(22), 3452; https://doi.org/10.3390/plants14223452 - 11 Nov 2025
Abstract
Understory vegetation plays a pivotal role in enhancing forest biodiversity, and its restoration is crucial for sustainable forest development, energy flow, and nutrient cycling. However, the dynamics of the biomass, diversity, and species composition of understory vegetation in plantations in south China, along [...] Read more.
Understory vegetation plays a pivotal role in enhancing forest biodiversity, and its restoration is crucial for sustainable forest development, energy flow, and nutrient cycling. However, the dynamics of the biomass, diversity, and species composition of understory vegetation in plantations in south China, along with their key drivers, remain poorly understood. This study investigated four mature plantation types (Pinus massoniana, Pinus caribaea, Cunninghamia lanceolata, and mixed Chinese fir–broadleaf forests) in south China through plot surveys, environmental factor measurements, and structural equation modeling (SEM) to explore the diversity, biomass allocation patterns, and driving mechanisms of understory vegetation. The results demonstrated the following. (1) The introduced Caribbean pine forests exhibited higher shrub biomass than native Masson pine forests, which was driven by their high canopy openness favoring light-demanding species (e.g., Melicope pteleifolia, IV = 33.93%), but their low mingling degree limited herb diversity. (2) Masson pine forests showed superior shrub diversity due to their random spatial distribution and higher soil total potassium (TK) content. (3) Mixed Chinese fir–broadleaf forests achieved 24.50–66.06% higher herb biomass compared to coniferous monocultures, supported by high mingling degree, random spatial configuration, and phosphorus-potassium-enriched soil, with concurrently improved herb diversity. SEM revealed that stand structure (DBH, density, mingling degree) directly drove shrub diversity by regulating light availability, while herb biomass was primarily governed by soil total phosphorus (TP) and pH. Canopy-induced light suppression negatively affected herb diversity. We recommend optimizing stand density and canopy structure through thinning and pruning to enhance light heterogeneity alongside supplementing slow-release P fertilizers in P-deficient stands. This study provides theoretical support for the multi-objective management of south China plantations, emphasizing the synergistic necessity of stand structure optimization and soil amendment. Full article
(This article belongs to the Collection Forest Environment and Ecology)
Show Figures

Figure 1

13 pages, 445 KB  
Review
Lifestyle Interventions for the Treatment of Obesity in Workers: An Integrative Review
by Marcia Cristina Almeida Magalhães Oliveira, Julia Passo Machado Neto Viana, Sergio de Queiroz Braga and Magno Merces Weyll Pimentel
Obesities 2025, 5(4), 79; https://doi.org/10.3390/obesities5040079 - 11 Nov 2025
Abstract
Background: Obesity is a multifactorial disease with significant physical, psychological, and economic impacts on individuals and society. Workers are particularly vulnerable, as obesity is associated with reduced productivity, absenteeism, and premature mortality. Lifestyle interventions combining dietary, physical activity, and behavioural strategies have been [...] Read more.
Background: Obesity is a multifactorial disease with significant physical, psychological, and economic impacts on individuals and society. Workers are particularly vulnerable, as obesity is associated with reduced productivity, absenteeism, and premature mortality. Lifestyle interventions combining dietary, physical activity, and behavioural strategies have been investigated as therapeutic approaches in this population. Objective: We aimed to conduct an integrative review assessing the effectiveness of workplace-based obesity treatment models involving dietary interventions, physical activity, and behavioural change. Methods: A search was conducted in PubMed for studies published between 2006 and 2024, with no language restrictions. Eligible studies included experimental or quasi-experimental longitudinal designs involving adult workers. After screening 95 articles, 18 were evaluated in full, and 8 met all inclusion criteria. Data extraction covered study design, intervention type, comparators, outcomes, and methodological quality, assessed using the Newcastle–Ottawa Scale. Results: Half of the included studies reported no significant reduction in body mass index after 6 or 12 months, while the others showed only modest decreases. Nevertheless, all interventions demonstrated improvements in dietary habits (reduced sugar-sweetened beverage intake, increased fruit, vegetable, and fibre consumption), physical activity (increased walking, reduced sedentary behaviour), and behavioural domains (adherence to healthy routines, self-monitoring, and family or employer support). Conclusions: Lifestyle-based workplace interventions for obesity show limited long-term effectiveness in weight reduction but promote healthier lifestyle habits, cardiometabolic health, and more supportive work environments. Future research should include diverse socioeconomic settings, particularly in developing countries, and apply robust designs, longer follow-ups, and innovative strategies to enhance adherence and outcomes. Full article
(This article belongs to the Special Issue Obesity and Its Comorbidities: Prevention and Therapy)
Show Figures

Figure 1

24 pages, 9429 KB  
Article
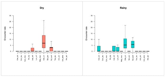
Spatial–Temporal Patterns of Mammal Diversity and Abundance in Three Vegetation Types in a Semi-Arid Landscape in Southeastern Coahuila, Mexico
by Erika J. Cruz-Bazan, Jorge E. Ramírez-Albores, Juan A. Encina-Domínguez, José A. Hernández-Herrera and Eber G. Chavez-Lugo
Diversity 2025, 17(11), 788; https://doi.org/10.3390/d17110788 - 10 Nov 2025
Abstract
The grasslands and shrublands of northern and central Mexico cover nearly 25% of the country and harbor high biodiversity. However, they are increasingly degraded by agriculture, urbanization, infrastructure development, and water overexploitation. To assess the status of medium- and large-sized mammals in these [...] Read more.
The grasslands and shrublands of northern and central Mexico cover nearly 25% of the country and harbor high biodiversity. However, they are increasingly degraded by agriculture, urbanization, infrastructure development, and water overexploitation. To assess the status of medium- and large-sized mammals in these threatened ecosystems, we quantified species richness, relative abundance, and naïve occupancy across vegetation types and seasons. From April 2023 to February 2024, monthly track surveys and camera trapping were performed, and the data were analyzed in R. We documented 16 species representing four orders and nine families, with Carnivora being the most diverse (eight species). The species richness varied by habitat, ranging from 11 in montane forest to 13 in semi-desert grassland, the latter habitat having the highest Shannon and Simpson indices, particularly in the dry season. Odocoileus virginianus and Sylvilagus audubonii were consistently the most abundant species in montane forest and desert scrub, whereas Cynomys mexicanus predominated in semi-desert grasslands, accounting for >90% of detections during the rainy season. Rare species included Lynx rufus, Taxidea taxus, and Ursus americanus, each with isolated detections. Rarefaction and sample coverage curves approached asymptotes (>99%), indicating sufficient sampling effort. Naïve occupancy and encounter rates were highest for O. virginianus (0.82) and S. audubonii (0.68), with a strong positive correlation between the two metrics (r2 = 0.92). These findings provide robust baseline information on mammalian diversity, abundance, and habitat associations in semi-arid anthropogenic landscapes, supporting future monitoring and conservation strategies. Full article
(This article belongs to the Special Issue Wildlife in Natural and Altered Environments)
Show Figures

Graphical abstract

26 pages, 1883 KB  
Article
Scale-Dependent Drivers of Plant Community Turnover in a Disturbed Grassland: Insights from Generalized Dissimilarity Modeling
by Zhengjun Wang, Zhenhai Guan, Liuhui Xu and Sishu Zhao
Diversity 2025, 17(11), 786; https://doi.org/10.3390/d17110786 - 8 Nov 2025
Viewed by 105
Abstract
Identifying the key drivers of plant community turnover under disturbance is essential for understanding ecological processes and informing conservation efforts. We investigated the Kangxi Grassland in the Yeyahu Wetland Nature Reserve, Beijing, using Generalized Dissimilarity Modeling (GDM) across two spatial scales and three [...] Read more.
Identifying the key drivers of plant community turnover under disturbance is essential for understanding ecological processes and informing conservation efforts. We investigated the Kangxi Grassland in the Yeyahu Wetland Nature Reserve, Beijing, using Generalized Dissimilarity Modeling (GDM) across two spatial scales and three areas, integrating soil properties, remote sensing data, and geographic distance. The models explained 25–49% of the deviance with low cross-validation error, showing a clear nonlinear turnover pattern. Pronounced species replacement occurred at short ecological distances, followed by slower change at greater distances. Although the overall patterns were similar, driver importance varied among areas: available nitrogen (AN) dominated in the Southeast Area, while soil water content (SWC) was the primary driver in the Northwest Area and across the entire Study Area; in all cases, geographic distance consistently ranked second. Texture indices, although weaker than geographic distance, still outperformed most vegetation indices and spectral bands. These results indicate that soil properties, geographic distance, and texture indices jointly shape spatial patterns of species turnover, with their relative importance varying by scale or area. Disturbances, such as drought, grazing, tourism, and fluctuations in inundated areas caused by variations in water levels in a nearby reservoir, influenced species turnover by directly or indirectly altering key drivers. In combination with a comparative analysis of species importance values (IVs) and ecological types, this study further demonstrates that the factors driving species turnover are influenced not only by scale but also by the complex and diverse ecological processes operating at their respective scales. It also shows the applicability of GDM in analyzing fine-scale turnover patterns and the factors driving them in disturbed grasslands. Full article
(This article belongs to the Section Plant Diversity)
Show Figures

Figure 1

14 pages, 2749 KB  
Article
Forest Strata and Abiotic Factors Primarily Regulate Understory Species Richness Rather than Forest Type in a Temperate Forest of South Korea
by Jun-Hyuk Woo, Min-Ki Lee, Jung-Hwa Chun and Chang-Bae Lee
Biology 2025, 14(11), 1565; https://doi.org/10.3390/biology14111565 - 7 Nov 2025
Viewed by 185
Abstract
The understory vegetation forms an important ecosystem by providing habitat, cycling nutrients, and contributing to community diversity. However, previous studies have focused on identifying mechanisms between understory herbaceous diversity and abiotic factors. This study conducted a comprehensive analysis of the effects of abiotic [...] Read more.
The understory vegetation forms an important ecosystem by providing habitat, cycling nutrients, and contributing to community diversity. However, previous studies have focused on identifying mechanisms between understory herbaceous diversity and abiotic factors. This study conducted a comprehensive analysis of the effects of abiotic factors (topography, climate, and soil) and biotic factors (species richness and individuals by forest strata), as well as stand age, on understory species richness. Also, we analyzed the effects of seven different forest types in the sampled plots. The most important factors were selected through a multimodel inference test and then applied to piecewise structural equation models on total, woody and herbaceous understory plants. In the total model, elevation-associated temperature had positive effects, respectively. In the woody model, overstory species richness has an indirect positive effect on woody understory plants through the midstory species richness. In the herbaceous model, total phosphorus and elevation-associated temperature had a positive effect on herbaceous understory plants. Therefore, this study indicates that woody species richness controlled by biotic factors and herbaceous species richness controlled by abiotic factors. Our study suggests that woody and herbaceous species richness are regulated by different mechanisms, highlighting the need for distinct management methodologies to enhance plant diversity in forest ecosystems. Full article
(This article belongs to the Section Ecology)
Show Figures

Figure 1

15 pages, 1362 KB  
Article
Comprehensive Analysis of Full-Length Transcriptome Profiling, Genetic and Phenotypic Variation in Multiplier Onion (Allium cepa var. aggregatum) Accessions in China
by Huixia Jia, Jiangping Song, Yuru Huang, Tingting Zhang, Mengzhen Wang, Yumin Tan, Jiyan Zang, Xiaohui Zhang, Wenlong Yang, Yanhui Pang, Yanfei Yang and Haiping Wang
Agriculture 2025, 15(21), 2311; https://doi.org/10.3390/agriculture15212311 - 6 Nov 2025
Viewed by 172
Abstract
Multiplier onion (Allium cepa L. var. aggregatum) is an important bulbous vegetable widely utilized for culinary, condimental, and medicinal purposes. However, limited research on its genetic diversity and phenotypic variation has hindered the development and utilization of superior cultivars. In this [...] Read more.
Multiplier onion (Allium cepa L. var. aggregatum) is an important bulbous vegetable widely utilized for culinary, condimental, and medicinal purposes. However, limited research on its genetic diversity and phenotypic variation has hindered the development and utilization of superior cultivars. In this study, we conducted full-length transcriptome profiling to obtain unique transcripts and develop large-scale simple sequence repeat (SSR) markers. Subsequently, we employed integrative analysis to characterize the genetic and phenotypic variation of 263 multiplier onion accessions in China. Full-length transcriptome sequencing utilizing PacBio technology generated 61,108 high-quality non-redundant transcripts with an average length of 1816 bp, from which we developed 4124 SSR markers encompassing 100 motif types. Population structure, principal component analysis, and neighbor-joining phylogenetic analysis classified the 263 multiplier onion accessions into two distinct subpopulations: Pop1, consisting of 236 accessions primarily from Heilongjiang Province, and Pop2, comprising 27 accessions mostly from Shaanxi Province. Phenotypic evaluation demonstrated significant variation in bulb traits, with single bulb weight (SBW) exhibiting the highest variability (0.75–29.94 g; CV = 70.10%), followed by total bulb weight per plant (BW) (5.00–168.83 g; CV = 58.34%), indicating considerable potential for breeding high-yield varieties. Correlation analysis indicated that the SBW and BW had significantly positive correlations with multiple traits, including bulb height, bulb transverse diameter, diameter of basal plate of bulb, diameter of bulb neck, and number of cloves per bulb. Our findings provide a valuable genetic and phenotypic resource for the conservation and utilization of multiplier onion germplasms. Full article
(This article belongs to the Section Crop Genetics, Genomics and Breeding)
Show Figures

Figure 1

17 pages, 1607 KB  
Article
Divergent Understory Vegetation and Indicator Species in Four Close-to-Nature Transformed Plantations of South China
by Xunan Xiong, Xiaorong Jia, Zejia Luo and Rong Huang
Forests 2025, 16(11), 1683; https://doi.org/10.3390/f16111683 - 5 Nov 2025
Viewed by 151
Abstract
Understory vegetation diversity is the key indicator of ecological outcomes in the close-to-nature transformation of plantations, with its composition revealing successional dynamics and ecosystem functionality. In response to China’s “Green and Beautiful Guangdong” Initiative, enhancing the ecological quality of plantations has been established [...] Read more.
Understory vegetation diversity is the key indicator of ecological outcomes in the close-to-nature transformation of plantations, with its composition revealing successional dynamics and ecosystem functionality. In response to China’s “Green and Beautiful Guangdong” Initiative, enhancing the ecological quality of plantations has been established as a critical objective for sustainable forest management. This study assessed the understory vegetation in four representative transformed plantations in Guangdong Province, China, using Multi-Response Permutation Procedure (MRPP), Indicator Species Analysis (ISA), Detrended Correspondence Analysis (DCA), and Redundancy Analysis (RDA). The results showed that: (1) Species richness was highest in the Eucalyptus L’Hér plantation (102 species), followed by Pinus massoniana Lamb (94), Acacia mangium Willd (92), and Litchi chinensis Soon plantations (85). (2) MRPP analysis revealed significant differences in species composition among plantation types (A = 0.149, p < 0.001). ISA identified 5, 7, 3, and 5 indicator species for each type, respectively, predominantly light-demanding pioneers such as Dicranopteris dichotoma (Thunb.) Bernh and Microstegium vagans (Nees ex Steud.) A. Camus. (3) DCA ordination showed clear compositional segregation among the understory communities of Eucalyptus, Pinus massoniana, and Acacia mangium plantations, whereas the Litchi chinensis plantation exhibited substantial overlap with others. RDA further demonstrated a significant negative correlation between mean diameter at breast height (DBH) and understory diversity (p < 0.01) across all plantations except Litchi chinensis. These findings offer a quantitative basis for tailored management strategies. We recommend structural adjustments through target-tree thinning to optimize light availability by regulating DBH, combined with interplanting native understory species. This integrated approach can enhance structural heterogeneity and promote more effective and sustainable plantation restoration. Full article
Show Figures

Figure 1

26 pages, 15048 KB  
Article
Development of an Intelligent Inspection System Based on YOLOv7 for Real-Time Detection of Foreign Materials in Fresh-Cut Vegetables
by Hary Kurniawan, Muhammad Akbar Andi Arief, Braja Manggala, Hangi Kim, Sangjun Lee, Moon S. Kim, Insuck Baek and Byoung-Kwan Cho
Agriculture 2025, 15(21), 2297; https://doi.org/10.3390/agriculture15212297 - 4 Nov 2025
Viewed by 435
Abstract
Ensuring food safety in fresh-cut vegetables is essential due to the frequent presence of foreign material (FM) that threatens consumer health and product quality. This study presents a real-time FM detection system developed using the YOLO object detection framework to accurately identify diverse [...] Read more.
Ensuring food safety in fresh-cut vegetables is essential due to the frequent presence of foreign material (FM) that threatens consumer health and product quality. This study presents a real-time FM detection system developed using the YOLO object detection framework to accurately identify diverse FM types in cabbage and green onions. A custom dataset of 14 FM categories—covering various shapes, sizes, and colors—was used to train six YOLO variants. Among them, YOLOv7x demonstrated the highest overall accuracy, effectively detecting challenging objects such as transparent plastic, small stones, and insects. The system, integrated with a conveyor-based inspection setup and a Python graphical interface, maintained stable and high detection accuracy confirming its robustness for real-time inspection. These results validate the developed system as an alternative intelligent quality-control layer for continuous, automated inspection in fresh-cut vegetable processing lines, and establish a solid foundation for future robotic-based removal systems aimed at fully automated food safety assurance. Full article
(This article belongs to the Section Artificial Intelligence and Digital Agriculture)
Show Figures

Figure 1

30 pages, 2083 KB  
Review
Nutritional, Therapeutic, and Functional Food Perspectives of Kale (Brassica oleracea var. acephala): An Integrative Review
by Aleksandra Łukaszyk, Inga Kwiecień, Anita Kanik, Eliza Blicharska, Małgorzata Tatarczak-Michalewska, Wojciech Białowąs, Katarzyna Czarnek and Agnieszka Szopa
Molecules 2025, 30(21), 4214; https://doi.org/10.3390/molecules30214214 - 28 Oct 2025
Viewed by 849
Abstract
Kale (Brassica oleracea var. acephala) is a non-heading leafy vegetable of the Brassicaceae family, widely recognized for its dense nutritional profile and diverse phytochemical composition. This review provides a comprehensive and up-to-date synthesis of kale’s botanical characteristics, cultivation practices, chemical constituents, [...] Read more.
Kale (Brassica oleracea var. acephala) is a non-heading leafy vegetable of the Brassicaceae family, widely recognized for its dense nutritional profile and diverse phytochemical composition. This review provides a comprehensive and up-to-date synthesis of kale’s botanical characteristics, cultivation practices, chemical constituents, biological activities, and applications in pharmacy, functional foods, and cosmetics. Importantly, this work highlights the novelty of kale’s multifunctional role. Kale is particularly rich in vitamins (A, C, K), minerals (Ca, Fe, K), dietary fiber, glucosinolates, polyphenols, carotenoids, flavonoids, and chlorophylls, which contribute to its classification as a “superfood.” In this article the discussion of the health-promoting effects of glucosinolates and their enzymatic degradation products, such as isothiocyanates, indoles, and nitriles, highlighting their antioxidant, anti-inflammatory, anticancer, antimicrobial, and lipid-lowering properties, was performed. Moreover, key compounds including sulforaphane, indole-3-carbinol (I3C), and diindolylmethane (DIM) are emphasized for their roles in chemoprevention, hormonal regulation, and cellular protection. The review also summarizes recent in vivo and clinical studies demonstrating kale’s potential in reducing the risk of chronic diseases such as cardiovascular disorders, type 2 diabetes, and hormone-related cancers. The effects of kale on the composition of the gut microbiome, glycemic control, and cholesterol metabolism are also discussed. Advances in plant biotechnology, including micropropagation, somatic embryogenesis, and metabolite enhancement, are also discussed. Overall, this review supports the integration of kale into health-oriented dietary strategies and highlights its relevance in preventive medicine, food innovation, and cosmeceutical development. Full article
(This article belongs to the Special Issue Bioproducts for Health, 4th Edition)
Show Figures

Graphical abstract

22 pages, 10792 KB  
Review
How Grazing, Enclosure, and Mowing Intensities Shape Vegetation–Soil–Microbe Dynamics of Qinghai–Tibet Plateau Grasslands: Insights for Spatially Differentiated Integrated Management
by Wei Song
Land 2025, 14(11), 2122; https://doi.org/10.3390/land14112122 - 24 Oct 2025
Viewed by 351
Abstract
Grasslands provide essential forage, fuel, and ecosystem services, underpinning regional livestock husbandry and ecological integrity. However, improper utilization drives structural degradation and functional decline of the vegetation–soil–microbe system, particularly on the ecologically sensitive and fragile Qinghai–Tibet Plateau (QTP). The differential impacts of diverse [...] Read more.
Grasslands provide essential forage, fuel, and ecosystem services, underpinning regional livestock husbandry and ecological integrity. However, improper utilization drives structural degradation and functional decline of the vegetation–soil–microbe system, particularly on the ecologically sensitive and fragile Qinghai–Tibet Plateau (QTP). The differential impacts of diverse utilization practices on QTP grasslands remain inadequately understood, limiting scientific support for differentiated sustainable management. To address this, we conducted a comprehensive meta-analysis to clarify effects of grazing, enclosure, and mowing on QTP grasslands, integrating studies from Web of Science, Google Scholar, and CNKI. We constructed disturbance intensity indicators to quantify utilization pressure and used multiple ecological metrics to characterize heterogeneous responses of the vegetation–soil–microbe system. Moderate grazing enhanced vegetation coverage, biomass, diversity, soil total phosphorus, and organic matter; high-intensity grazing reduced vegetation traits, soil bulk density, moisture, nutrients, and microbial biomass/diversity, while increasing soil pH. Early enclosure mitigated anthropogenic disturbance to improve grassland functions, but long-term enclosure exacerbated nutrient/moisture competition, lowering vegetation biomass/diversity and degrading soil properties. Moderate mowing improved vegetation communities by suppressing dominant species overexpansion; excessive mowing caused vegetation homogenization, soil carbon loss, and microbial destabilization. Impacts showed environmental heterogeneity linked to climate, soil, vegetation type, and elevation. In humid and fertile alpine meadows, moderate grazing more effectively promoted vegetation diversity and soil nutrient cycling, while in arid and nutrient-poor desert grasslands, even light grazing led to visible declines in vegetation coverage and soil moisture. Low-elevation alpine grasslands exhibited stronger positive responses to moderate grazing, whereas high-elevation alpine desert grasslands showed high vulnerability even to light grazing. Based on these mechanisms, regionally tailored strategies integrating multiple practices are required to balance ecological conservation and livestock production, promoting QTP grassland sustainability. In future research, we will strengthen quantitative exploration of how specific environmental factors regulate the magnitude and direction of grassland ecosystem responses to grazing, enclosure, and mowing, thereby providing more precise scientific basis for differentiated grassland management. Full article
Show Figures

Figure 1

23 pages, 2932 KB  
Article
Middle Holocene Subsistence in Southwestern Transylvania: Bioarchaeological Data on the Multicultural Site of Șoimuș-Teleghi (Hunedoara County, Romania)
by Margareta Simina Stanc, Daniel Ioan Malaxa, Ioan Alexandru Bărbat, Antoniu Tudor Marc, Mariana Popovici, Luminița Bejenaru and Mihaela Danu
Quaternary 2025, 8(4), 60; https://doi.org/10.3390/quat8040060 - 23 Oct 2025
Viewed by 242
Abstract
This work proposes to contribute through an interdisciplinary perspective to the evaluation of paleoeconomic and paleoenvironmental changes during Middle Holocene in Southwestern Transylvania. The study integrates archaeozoological data with phytolith analysis to reconstruct subsistence and vegetation dynamics from the Early Neolithic to the [...] Read more.
This work proposes to contribute through an interdisciplinary perspective to the evaluation of paleoeconomic and paleoenvironmental changes during Middle Holocene in Southwestern Transylvania. The study integrates archaeozoological data with phytolith analysis to reconstruct subsistence and vegetation dynamics from the Early Neolithic to the Late Bronze Age at Șoimuș-Teleghi (Hunedoara County, Romania). Animal remains are described in terms of their frequency (i.e., number of identified specimens and minimum number of individuals), taphonomic changes, and livestock management (i.e., animal selection by age and sex). Archaeozoological samples are dominated by skeletal remains from domestic mammals (e.g., cattle, sheep/goat, and pig), whose importance varies depending on the cultural level; the skeletal remains of wild mammals are less frequent, mainly belonging to species with large size (e.g., red deer, wild boar, roe deer, aurochs). This study tests whether animal exploitation strategies shifted from ruminant-dominated economies in the Neolithic to greater pig reliance in the Bronze Age, using the Shannon–Weaver diversity index and correspondence analysis. Phytolith analysis of eleven sediment samples from various cultural layers reveals the dominance of Pooideae-type grasses, with both vegetative plant parts and cereal inflorescences as resources. Bioarchaeological data presented in this study reveal a diachronic shift in subsistence practices, reflecting cultural and environmental transformations. Full article
Show Figures

Figure 1

14 pages, 2653 KB  
Article
Diversity and Ecology of Myxomycetes (Amoebozoa) Along a Vegetational Gradient in the Peruvian Andes
by Jorge Renato Pinheiro Velloso, Laise de Holanda Cavalcanti, Italo Treviño-Zevallos, Carlos Ernesto Gonçalves Reynaud Schaefer, Marcio Rocha Francelino and Jair Putzke
Diversity 2025, 17(11), 745; https://doi.org/10.3390/d17110745 - 23 Oct 2025
Viewed by 327
Abstract
The study investigated the diversity and ecology of Myxomycetes (Amoebozoa) along a vegetation gradient in the Cuzco department, Peru, spanning altitudes from 2500 to 4700 m. Field collections were carried out at six sites distributed across three distinct vegetation formations: non-Amazonian Forest, paramo, [...] Read more.
The study investigated the diversity and ecology of Myxomycetes (Amoebozoa) along a vegetation gradient in the Cuzco department, Peru, spanning altitudes from 2500 to 4700 m. Field collections were carried out at six sites distributed across three distinct vegetation formations: non-Amazonian Forest, paramo, and high Andean zones with and without vegetation cover. The collected material was analyzed through direct observation, cultivation in moist chambers, and morphological identification, resulting in the record of 18 species, including three new records for Peru (Diderma circumdissilens, Licea tenera, and Perichaena luteola). Species richness was higher at lower altitudes and in environments with greater substrate availability, such as dead branches and mosses, but declined under extreme environmental conditions, particularly at high elevations. Principal component analysis revealed differences in community composition among the environments, associated with environmental variables and substrate types. The results highlight that the Peruvian Andes harbor a significant biodiversity of Myxomycetes, including species adapted to high-altitude conditions, reinforcing the importance of conservation and further study of these extreme ecosystems. We conclude that high mountain environments serve as biodiversity hotspots, and that future studies, including molecular techniques, are essential to understanding the distribution and adaptation of these organisms in the Andean environments. Full article
(This article belongs to the Section Microbial Diversity and Culture Collections)
Show Figures

Figure 1

21 pages, 7755 KB  
Article
Ecotone-Driven Vegetation Transitions Reshape Soil Nitrogen Cycling Functional Genes in Black Soils of Northeast China
by Junnan Ding, Yingjian Wang and Shaopeng Yu
Biology 2025, 14(11), 1474; https://doi.org/10.3390/biology14111474 - 23 Oct 2025
Viewed by 386
Abstract
Forest–wetland ecotones are transitional ecosystems characterized by pronounced hydrological and biogeochemical heterogeneity, yet the microbial mechanisms regulating nutrient cycling in these zones remain insufficiently understood. This study investigated how vegetation transitions across a forest–wetland ecotone in the black-soil region of Northeast China shape [...] Read more.
Forest–wetland ecotones are transitional ecosystems characterized by pronounced hydrological and biogeochemical heterogeneity, yet the microbial mechanisms regulating nutrient cycling in these zones remain insufficiently understood. This study investigated how vegetation transitions across a forest–wetland ecotone in the black-soil region of Northeast China shape soil microbial communities and nitrogen–cycling functions. Soils were collected from four vegetation types: mixed forest (MF), coniferous forest (CF), wetland edge (WE), and natural wetland (NW). Quantitative PCR was used to quantify key nitrogen–cycling functional genes (nifH, amoA, amoB, norB, nosZ), and PICRUSt2 was applied to predict microbial functional potentials. Forest soils (MF and CF) exhibited higher microbial diversity, stronger network connectivity, and greater abundances of nifH and amoA, indicating enhanced nitrogen fixation and nitrification under oxic conditions. In contrast, wetland soils harbored denitrification-enriched communities with higher norB and nosZ abundances but lower diversity. The WE vegetation type acted as a functional hotspot where alternating oxic–anoxic conditions facilitated the coexistence of nitrifiers and denitrifiers, thereby enhancing carbon–nitrogen coupling and functional resilience. Redundancy and Mantel analyses identified soil organic carbon, total nitrogen, water content, and enzyme activities as major environmental drivers of microbial structural and functional variation. This study reveals that vegetation transitions reorganize microbial community assembly and nitrogen-cycling functions through hydrological and biogeochemical heterogeneity, providing mechanistic insights into nutrient turnover and ecological regulation in black-soil ecotones. Full article
(This article belongs to the Special Issue Wetland Ecosystems (2nd Edition))
Show Figures

Figure 1

12 pages, 22225 KB  
Article
Soil Organic Carbon Mapping Using Multi-Frequency SAR Data and Machine Learning Algorithms
by Pavan Kumar Bellam, Murali Krishna Gumma, Narayanarao Bhogapurapu and Venkata Reddy Keesara
Land 2025, 14(11), 2105; https://doi.org/10.3390/land14112105 - 23 Oct 2025
Viewed by 373
Abstract
Soil organic carbon (SOC) is a critical component of soil health, influencing soil structure, soil water retention capacity, and nutrient cycling while playing a key role in the global carbon cycle. Accurate SOC estimation over croplands is essential for sustainable land management and [...] Read more.
Soil organic carbon (SOC) is a critical component of soil health, influencing soil structure, soil water retention capacity, and nutrient cycling while playing a key role in the global carbon cycle. Accurate SOC estimation over croplands is essential for sustainable land management and climate change mitigation. This study explores a novel approach to SOC estimation using multi-frequency synthetic aperture radar (SAR) data, specifically Sentinel-1 and ALOS-2/PALSAR-2 imagery, combined with advanced machine learning techniques for cropland SOC estimation. Diverse agricultural practices, with major crop types such as rice (Oryza sativa), finger millet (Eleusine coracana), Niger (Guizotia abyssinica), maize (Zea mays), and vegetable cultivation, characterize the study region. By integrating C-band (Sentinel-1) and L-band (ALOS-2/PALSAR-2) SAR data with key polarimetric features such as the C2 matrix, entropy, and degree of polarization, this study enhances SOC estimation. These parameters help distinguish variations in soil moisture, texture, and mineral composition, reducing their confounding effects on SOC estimation. An ensemble model incorporating Random Forest (RF) and neural networks (NNs) was developed to capture the complex relationships between SAR data and SOC. The NN component effectively models complex non-linear relationships, while the RF model helps prevent overfitting. The proposed model achieved a correlation coefficient (r) of 0.64 and a root mean square error (RMSE) of 0.18, demonstrating its predictive capability. In summary, our results offer an efficient approach for enhanced SOC mapping in diverse agricultural landscapes, with ongoing work targeting challenges in data availability to facilitate large-scale SOC mapping. Full article
Show Figures

Figure 1

24 pages, 8373 KB  
Article
Sensitivity of Airborne Methane Retrieval Algorithms (MF, ACRWL1MF, and DOAS) to Surface Albedo and Types: Hyperspectral Simulation Assessment
by Jidai Chen, Ding Wang, Lizhou Huang and Jiasong Shi
Atmosphere 2025, 16(11), 1224; https://doi.org/10.3390/atmos16111224 - 22 Oct 2025
Viewed by 268
Abstract
Methane (CH4) emissions are a major contributor to greenhouse gases and pose significant challenges to global climate mitigation efforts. The accurate determination of CH4 concentrations via remote sensing is crucial for emission monitoring but remains impeded by surface spectral heterogeneity—notably [...] Read more.
Methane (CH4) emissions are a major contributor to greenhouse gases and pose significant challenges to global climate mitigation efforts. The accurate determination of CH4 concentrations via remote sensing is crucial for emission monitoring but remains impeded by surface spectral heterogeneity—notably albedo variations and land cover diversity. This study systematically assessed the sensitivity of three mainstream algorithms, namely, matched filter (MF), albedo-corrected reweighted-L1-matched filter (ACRWL1MF), and differential optical absorption spectroscopy (DOAS), to surface type, albedo, and emission rate through high-fidelity simulation experiments, and proposed a dynamic regularized adaptive matched filter (DRAMF) algorithm. The experiments simulated airborne hyperspectral imagery from the Airborne Visible/InfraRed Imaging Spectrometer-Next Generation (AVIRIS-NG) with known CH4 concentrations over diverse surfaces (including vegetation, soil, and water) and controlled variations in albedo through the large-eddy simulation (LES) mode of the Weather Research and Forecasting (WRF) model and the MODTRAN radiative transfer model. The results show the following: (1) MF and DOAS have higher true positive rates (TP > 90%) in high-reflectivity scenarios, but the problem of false positives is prominent (TN < 52%); ACRWL1MF significantly improves the true negative rate (TN = 95.9%) through albedo correction but lacks the ability to detect low concentrations of CH4 (TP = 63.8%). (2) All algorithms perform better at high emission rates (1000 kg/h) than at low emission rates (500 kg/h), but ACRWL1MF performs more robustly in low-albedo scenarios. (3) The proposed DRAMF algorithm improves the F1 score (0.129) by about 180% compared to the MF and DOAS algorithms and improves TP value (81.4%) by about 128% compared to the ACRWL1MF algorithm through dynamic background updates and an iterative reweighting mechanism. In practical applications, the DRAMF algorithm can also effectively monitor plumes. This research indicates that algorithms should be selected considering the specific application scenario and provides a direction for technical improvements (e.g., deep learning model) for monitoring gas emission. Full article
(This article belongs to the Special Issue Satellite Remote Sensing Applied in Atmosphere (3rd Edition))
Show Figures

Figure 1

Back to TopTop