Sign in to use this feature.

Years

Between: -

Subjects

remove_circle_outline
remove_circle_outline
remove_circle_outline
remove_circle_outline
remove_circle_outline
remove_circle_outline
remove_circle_outline
remove_circle_outline
remove_circle_outline

Journals

Article Types

Countries / Regions

Search Results (16)

Search Parameters:
Keywords = disk F-shaped

Order results
Result details
Results per page
Select all
Export citation of selected articles as:
25 pages, 58457 KB  
Article
Design, Modeling, and Experimental Validation of a Bio-Inspired Rigid–Flexible Continuum Robot Driven by Flexible Shaft Tension–Torsion Synergy
by Jiaxiang Dong, Quanquan Liu, Peng Li, Chunbao Wang, Xuezhi Zhao and Xiping Hu
Biomimetics 2025, 10(5), 301; https://doi.org/10.3390/biomimetics10050301 - 8 May 2025
Cited by 2 | Viewed by 2078
Abstract
This paper presents a bio-inspired rigid–flexible continuum robot driven by flexible shaft tension–torsion synergy, tackling the trade-off between actuation complexity and flexibility in continuum robots. Inspired by the muscular arrangement of octopus arms, enabling versatile multi-degree-of-freedom (DoF) movements, the robot achieves 6-DoF motion [...] Read more.
This paper presents a bio-inspired rigid–flexible continuum robot driven by flexible shaft tension–torsion synergy, tackling the trade-off between actuation complexity and flexibility in continuum robots. Inspired by the muscular arrangement of octopus arms, enabling versatile multi-degree-of-freedom (DoF) movements, the robot achieves 6-DoF motion and 1-DoF gripper opening and closing movement with only six flexible shafts, simplifying actuation while boosting dexterity. A comprehensive kinetostatic model, grounded in Cosserat rod theory, is developed; this model explicitly incorporates the coupling between the spinal rods and flexible shafts, the distributed gravitational effects of spacer disks, and friction within the guide tubes. Experimental validation using a physical prototype reveals that accounting for spacer disk gravity diminishes the maximum shape prediction error from 20.56% to 0.60% relative to the robot’s total length. Furthermore, shape perception experiments under no-load and 200 g load conditions show average errors of less than 2.01% and 2.61%, respectively. Performance assessments of the distal rigid joint showcased significant dexterity, including a 53° grasping range, 360° continuous rotation, and a pitching range from −40° to +45°. Successful obstacle avoidance and long-distance target reaching experiments further demonstrate the robot’s effectiveness, highlighting its potential for applications in medical and industrial fields. Full article
(This article belongs to the Special Issue Biologically Inspired Design and Control of Robots: Second Edition)
Show Figures

Figure 1

18 pages, 27554 KB  
Article
Comparative Evaluation of Shear Bond Strength of Aesthetic Orthodontic Brackets Bonded to Aged Composite Restorative Resin Materials
by Mohammed E. Sayed
Polymers 2025, 17(5), 621; https://doi.org/10.3390/polym17050621 - 26 Feb 2025
Cited by 3 | Viewed by 2311
Abstract
Patient demands for aesthetic orthodontic brackets (OBs) has increased since orthodontic treatments are of long duration. Clinicians encounter old composite restorations frequently, against which OBs need to be bonded. This study aims to determine the shear bond strength (SBS) of two aesthetic OBs [...] Read more.
Patient demands for aesthetic orthodontic brackets (OBs) has increased since orthodontic treatments are of long duration. Clinicians encounter old composite restorations frequently, against which OBs need to be bonded. This study aims to determine the shear bond strength (SBS) of two aesthetic OBs (ceramic and resin) against aged composite resins (flowable and packable) after standard surface treatment. A total of 96 disk-shaped specimens of two aged (A) composite resins [flowable (F) and packable (P)] were divided into eight groups, using ceramic (C) and plastic (P) brackets, out of which four subgroups served as the control [non-aged (N)FC, NPC, NFR, NPR] and four as experimental [AFC, APC, AFR, APR]. Surface treatment included mechanical [air abrasion] and chemical [Assure Plus and Transbond XT]. After 24 h of storage, the specimens were tested for SBS and observed for failure mode using adhesive remnant index scores. Mean values of SBS in each subgroup were analyzed statistically using a one-way analysis of variance test and Tukey post hoc test. All probability ‘p’ differences were significant at a value of 0.05 and less. All aged composite resin subgroups had decreased bond strength than controls, with all subgroups bonded with plastic brackets having the least bond strengths that were clinically nonacceptable [≤7 to 10 MPa]. Flowable composites when bonded with either ceramic or plastic brackets had higher strength than packable composites. Ceramic brackets had higher SBS than plastic brackets for both flowable and packable composites. Significant differences in bond strength were observed among subgroups of plastic brackets. Ceramic brackets were associated with a higher residue of adhesives on the composite surface. Aged composite resins exhibit significantly lower SBS than fresh composites, with ceramic brackets and flowable composites producing better bond strength values than plastic brackets and packable composites. Full article
Show Figures

Figure 1

21 pages, 3952 KB  
Article
Sub-Sharvin Conductance and Incoherent Shot-Noise in Graphene Disks at Magnetic Field
by Adam Rycerz, Katarzyna Rycerz and Piotr Witkowski
Materials 2024, 17(13), 3067; https://doi.org/10.3390/ma17133067 - 21 Jun 2024
Cited by 1 | Viewed by 1364
Abstract
Highly doped graphene samples show reduced conductance and enhanced shot-noise power compared with standard ballistic systems in two-dimensional electron gas. These features can be understood within a model that assumes incoherent scattering of Dirac electrons between two interfaces separating the sample and the [...] Read more.
Highly doped graphene samples show reduced conductance and enhanced shot-noise power compared with standard ballistic systems in two-dimensional electron gas. These features can be understood within a model that assumes incoherent scattering of Dirac electrons between two interfaces separating the sample and the leads. Here we find, by adopting the above model for the edge-free (Corbino) geometry and by computer simulation of quantum transport, that another graphene-specific feature should be observable when the current flow through a doped disk is blocked by a strong magnetic field. When the conductance drops to zero, the Fano factor approaches the value of F0.56, with a very weak dependence on the ratio of the disk radii. The role of finite source-drain voltages and the system behavior when the electrostatic potential barrier is tuned from a rectangular to a parabolic shape are also discussed. Full article
(This article belongs to the Special Issue Nanodevices in 2D Materials: Theory and Simulations)
Show Figures

Figure 1

11 pages, 721 KB  
Article
Rotational Curves of the Milky Way Galaxy and Andromeda Galaxy in Light of Vacuum Polarization around Eicheon
by Sergey L. Cherkas and Vladimir L. Kalashnikov
Universe 2023, 9(9), 424; https://doi.org/10.3390/universe9090424 - 21 Sep 2023
Viewed by 1917
Abstract
Eicheon properties are discussed. It is shown that the eicheon surface allows setting a boundary condition for the vacuum polarization and obtaining a solution describing the dark matter tail in the Milky Way Galaxy. That is, the dark matter in the Milky Way [...] Read more.
Eicheon properties are discussed. It is shown that the eicheon surface allows setting a boundary condition for the vacuum polarization and obtaining a solution describing the dark matter tail in the Milky Way Galaxy. That is, the dark matter in the Milky Way Galaxy is explained as the F-type of vacuum polarization, which could be treated as dark radiation. The model presented is spherically symmetric, but a surface density of a baryonic galaxy disk is taken into account approximately by smearing the disk over a sphere. This allows the reproduction of the large distance shape of the Milky Way Galaxy rotational curve. Andromeda Galaxy’s rotational curve is also discussed. Full article
Show Figures

Figure 1

19 pages, 17042 KB  
Article
On the Processability and Microstructural Evolution of CuCrZr in Multilayer Laser-Directed Energy Deposition Additive Manufacturing via Statistical and Experimental Methods
by Ali Zardoshtian, Reza Esmaeilizadeh, Mazyar Ansari, Mohsen K. Keshavarz, Hamid Jahed and Ehsan Toyserkani
J. Manuf. Mater. Process. 2023, 7(4), 151; https://doi.org/10.3390/jmmp7040151 - 18 Aug 2023
Cited by 9 | Viewed by 4592
Abstract
Laser-directed energy deposition (LDED) is a promising technology for coating, repairing, and building near-net-shape 3D structures. However, the processing of copper alloys, specifically, has presented a significant challenge due to their low laser absorptivity at the 1060 nm laser wavelength and high thermal [...] Read more.
Laser-directed energy deposition (LDED) is a promising technology for coating, repairing, and building near-net-shape 3D structures. However, the processing of copper alloys, specifically, has presented a significant challenge due to their low laser absorptivity at the 1060 nm laser wavelength and high thermal conductivity. This study undertook a methodical examination by employing a 2 kW disk laser, operating at a wavelength of 1064 nm, and a coaxial nozzle head to comprehensively examine the processability of the highly conductive CuCrZr alloy for expanding the range of materials that can be successfully processed using LDED. The investigation focuses not only on optimizing the input process parameters that are the laser power, scanning speed, powder feed rate, and overlap ratio, but also on planning the toolpath trajectory, as these factors were found to exert a substantial influence on processability, geometrical accuracy, and the occurrence of defects such as lack of fusion. The optimal toolpath trajectory discovered involved implementing a zigzag strategy combined with a 90° rotation of the scanning direction. Additionally, a start point rotation was considered between each layer to even out the deposition of the layers. Moreover, a contour with a radial path at the corners was introduced to enhance the overall trajectory. Based on the hierarchal experimental study, the appropriate ranges for the key process parameters that leads to 99.99% relative density have been identified. They were found to be from 1100 up to 2000 W for the laser power (P), and from 0.003 up to 0.016 g/mm for the amount of powder that is fed to the melt pool distance (F/V). Regarding the influence of process parameters on the microstructure of the samples with equal deposition height, it was observed that varying combinations of process parameters within the optimal processing window resulted in variations in grain size ranging from 105 to 215 µm. Full article
(This article belongs to the Special Issue Advances in Metal Additive Manufacturing/3D Printing)
Show Figures

Figure 1

10 pages, 3389 KB  
Communication
Self−Mode−Locked 2−μm GaSb−Based Optically Pumped Semiconductor Disk Laser
by Jian Feng, Bo Meng, Jinming Shang, Xin Zhang, Cunzhu Tong, Yu Zhang, Zhichuan Niu and Lijun Wang
Appl. Sci. 2023, 13(12), 6873; https://doi.org/10.3390/app13126873 - 6 Jun 2023
Cited by 3 | Viewed by 2308
Abstract
We present a mode−locked GaSb−based optically pumped semiconductor disk laser operating at 2 µm based on the self−mode−locked mechanism. Using the delay differential equation model, we discuss the influence of cavity length on the stability of self−mode−locking and design a Z−shaped long cavity [...] Read more.
We present a mode−locked GaSb−based optically pumped semiconductor disk laser operating at 2 µm based on the self−mode−locked mechanism. Using the delay differential equation model, we discuss the influence of cavity length on the stability of self−mode−locking and design a Z−shaped long cavity for self−mode−locking. Employing an aperture and an F−P etalon in the cavity length of ~365 mm, we obtain stable self−mode−locking at a center wavelength of 2034.5 nm, with a pulse duration of 255.48 ps and average output power of 173 mW at a repetition rate of 404 MHz. Full article
(This article belongs to the Section Optics and Lasers)
Show Figures

Figure 1

10 pages, 536 KB  
Article
Cone-Shell Quantum Structures in Electric and Magnetic Fields as Switchable Traps for Photoexcited Charge Carriers
by Christian Heyn, Leonardo Ranasinghe, Ahmed Alshaikh and Carlos A. Duque
Nanomaterials 2023, 13(10), 1696; https://doi.org/10.3390/nano13101696 - 22 May 2023
Cited by 4 | Viewed by 1671
Abstract
The optical emission of cone-shell quantum structures (CSQS) under vertical electric (F) and magnetic (B) fields is studied by means of simulations. A CSQS has a unique shape, where an electric field induces the transformation of the hole probability [...] Read more.
The optical emission of cone-shell quantum structures (CSQS) under vertical electric (F) and magnetic (B) fields is studied by means of simulations. A CSQS has a unique shape, where an electric field induces the transformation of the hole probability density from a disk into a quantum-ring with a tunable radius. The present study addresses the influence of an additional magnetic field. A common description for the influence of a B-field on charge carriers confined in a quantum dot is the Fock-Darwin model, which introduces the angular momentum quantum number l to describe the splitting of the energy levels. For a CSQS with the hole in the quantum ring state, the present simulations demonstrate a B-dependence of the hole energy which substantially deviates from the prediction of the Fock-Darwin model. In particular, the energy of exited states with a hole lh> 0 can become lower than the ground state energy with lh= 0. Because for the lowest-energy state the electron le is always zero, states with lh> 0 are optically dark due to selection rules. This allows switching from a bright state (lh= 0) to a dark state (lh> 0) or vice versa by changing the strength of the F or B field. This effect can be very interesting for trapping photoexcited charge carriers for a desired time. Furthermore, the influence of the CSQS shape on the fields required for the bright to dark state transition is investigated. Full article
Show Figures

Figure 1

15 pages, 352 KB  
Article
On Sharp Estimate of Third Hankel Determinant for a Subclass of Starlike Functions
by Lei Shi, Muhammad Arif, Khalil Ullah, Nasser Alreshidi and Meshal Shutaywi
Fractal Fract. 2022, 6(8), 437; https://doi.org/10.3390/fractalfract6080437 - 11 Aug 2022
Cited by 10 | Viewed by 2236
Abstract
In our present investigation, a subclass of starlike function Sn1,L* connected with a domain bounded by an epicycloid with n1 cusps was considered. The main work is to investigate some coefficient inequalities, and second and [...] Read more.
In our present investigation, a subclass of starlike function Sn1,L* connected with a domain bounded by an epicycloid with n1 cusps was considered. The main work is to investigate some coefficient inequalities, and second and third Hankel determinants for functions belonging to this class. In particular, we calculate the sharp bounds of the third Hankel determinant for fS4L* with zf(z)f(z) bounded by a four-leaf shaped domain under the unit disk D. Full article
(This article belongs to the Special Issue Fractional Operators and Their Applications)
10 pages, 560 KB  
Article
Cytotoxicity of Acrylic Resins, Particulate Filler Composite Resin and Thermoplastic Material in Artificial Saliva with and without Melatonin
by Seda Cengiz, Neslin Velioğlu, Murat İnanç Cengiz, Fehiye Çakmak Özlü, Ahmet Ugur Akbal, Ahmet Yılmaz Çoban and Mutlu Özcan
Materials 2022, 15(4), 1457; https://doi.org/10.3390/ma15041457 - 16 Feb 2022
Cited by 9 | Viewed by 2756
Abstract
There is limited information on the effect of melatonin on the cytotoxicity of dental materials. The study evaluated the cytotoxic effects of heat- and auto-polymerized acrylic resin, particulate filler composite resin and a thermoplastic material on L-929 fibroblast cell viability at different incubation [...] Read more.
There is limited information on the effect of melatonin on the cytotoxicity of dental materials. The study evaluated the cytotoxic effects of heat- and auto-polymerized acrylic resin, particulate filler composite resin and a thermoplastic material on L-929 fibroblast cell viability at different incubation periods in artificial saliva without and with melatonin. Disk-shaped specimens were prepared according to each manufacturer’s instructions and divided into two groups to be stored either in artificial saliva (AS) and AS with melatonin (ASM). The measurements were performed using an MTT (3-(4,5)-dimethylthiazol-2-yl)-2,5-diphenyl tetrazoliumbromide) assay, in which the L-929 mouse fibroblasts cell culture was used. For the MTT test, extracts were examined at 1, 24, 72 h and 1 and 2 weeks. Data were analyzed using 3-way ANOVA and Tukey’s tests. No significant difference was found between groups AS and ASM (F = 0.796; p = 0.373). Incubation period significantly affected all materials tested (p < 0.001). Storing resin-based materials in artificial saliva with melatonin solution for 24 h may reduce cytotoxic effects on the fibroblast cells for which the highest effect was observed. Soaking resin prosthesis or orthodontic appliances in artificial saliva with melatonin at least 24 h before intraoral use or rinsing medium containing melatonin may be recommended for decreasing the cytotoxicity of dental resin materials. Full article
(This article belongs to the Special Issue Applications of Dental Biomaterials)
Show Figures

Figure 1

16 pages, 5096 KB  
Article
Aeroelastic Stability of Combined Plunge-Pitch Mode Shapes in a Linear Compressor Cascade
by George Hill, Julian Gambel, Sabine Schneider, Dieter Peitsch and Sina Stapelfeldt
Int. J. Turbomach. Propuls. Power 2022, 7(1), 7; https://doi.org/10.3390/ijtpp7010007 - 14 Feb 2022
Cited by 9 | Viewed by 4470
Abstract
Modern aeroengine designs strive for peak specific fuel and thermal efficiency. To achieve these goals, engines have more highly loaded compressor stages, thinner aerofoils, and blended titanium integrated disks (blisks) to reduce weight. These configurations promote the occurrence of aeroelastic phenomena such as [...] Read more.
Modern aeroengine designs strive for peak specific fuel and thermal efficiency. To achieve these goals, engines have more highly loaded compressor stages, thinner aerofoils, and blended titanium integrated disks (blisks) to reduce weight. These configurations promote the occurrence of aeroelastic phenomena such as flutter. Two important parameters known to influence flutter stability are the reduced frequency and the ratio of plunge and pitch components in a combined flap mode shape. These are used as design criteria in the engine development process. However, the limit of these criteria is not fully understood. The following research aims to bridge the gap between semi-analytical models and modern compressors by systematically investigating the flutter stability of a linear compressor cascade. This paper introduces the plunge-to-pitch incidence ratio, which is defined as a function of reduced frequency and pitch axis setback for a first flap (1F) mode shape. Using numerical simulations, in addition to experimental validation, aerodynamic damping is computed for many modes to build stability maps. The results confirm the importance of these two parameters in compressor aeroelastic stability as well as demonstrate the significance of the plunge-to-pitch incidence ratio for predicting the flutter limit. Full article
Show Figures

Figure 1

14 pages, 5805 KB  
Article
Asphalt Mixture with Scrap Tire Rubber and Nylon Fiber from Waste Tires: Laboratory Performance and Preliminary M-E Design Analysis
by Dongzhao Jin, Dongdong Ge, Xiaodong Zhou and Zhanping You
Buildings 2022, 12(2), 160; https://doi.org/10.3390/buildings12020160 - 2 Feb 2022
Cited by 37 | Viewed by 4951
Abstract
Scrap tire rubber and nylon fiber are waste materials that could potentially be recycled and used to improve the mechanical properties of asphalt pavement. The objective of this research was to investigate the properties of scrap tire rubber and nylon fiber (R-F) modified [...] Read more.
Scrap tire rubber and nylon fiber are waste materials that could potentially be recycled and used to improve the mechanical properties of asphalt pavement. The objective of this research was to investigate the properties of scrap tire rubber and nylon fiber (R-F) modified warm mix asphalt mixture (WMA). The high-temperature performance was estimated by the Hamburg wheel-tracking testing (HWTT) device. The low-temperature cracking performance was evaluated by the disk-shaped compact tension (DCT) test and the indirect tensile strength (IDT) test. The stress and strain relationship was assessed by the dynamic modulus test at various temperatures and frequencies. The extracted asphalt binder was evaluated by the dynamic shear rheometer (DSR). Pavement distresses were predicted by pavement mechanistic-empirical (M-E) analysis. The test results showed that: (1) The R-F modified WMA had better high-temperature rutting performance. The dynamic modulus of conventional hot mix asphalt mixture (HMA) was 21.8%~103% lower than R-F modified WMA at high temperatures. The wheel passes and stripping point of R-F modified WMA were 2.17 and 5.8 times higher than those of conventional HMA, respectively. Moreover, the R-F modified warm mix asphalt had a higher rutting index than the original asphalt. (2) R-F modified WMA had better cracking resistance at a low temperature. The failure energy of the R-F modified WMA was 24.3% higher than the conventional HMA, and the fracture energy of the R-F modified WMA was 7.7% higher than the conventional HMA. (3) The pavement distress prediction results showed the same trend compared with the laboratory testing performance in that the R-F modified WMA helped to improve the IRI, AC cracking, and rutting performance compared with the conventional HMA. In summary, R-F modified WMA can be applied in pavement construction. Full article
(This article belongs to the Collection Sustainable and Green Construction Materials)
Show Figures

Figure 1

10 pages, 4283 KB  
Article
Lattice-Match Stabilization and Magnetic Properties of Metastable Epitaxial Permalloy-Disilicide Nanostructures on a Vicinal Si(111) Substrate
by Anjan Bhukta, Dror Horvitz, Amit Kohn and Ilan Goldfarb
Nanomaterials 2021, 11(5), 1310; https://doi.org/10.3390/nano11051310 - 16 May 2021
Cited by 1 | Viewed by 3134
Abstract
We report the epitaxial formation of metastable γ-(FexNi1−x)Si2 nanostructure arrays resulting from the reaction of Ni80Fe20 permalloy with vicinal Si(111) surface atoms. We then explore the effect of structure and composition on the nanostructure’s magnetic [...] Read more.
We report the epitaxial formation of metastable γ-(FexNi1−x)Si2 nanostructure arrays resulting from the reaction of Ni80Fe20 permalloy with vicinal Si(111) surface atoms. We then explore the effect of structure and composition on the nanostructure’s magnetic properties. The low-temperature annealing (T < 600 °C) of a pre-deposited permalloy film led to solid-phase epitaxial nucleation of compact disk-shaped island nanostructures decorating <110> ledges of the stepped surface, with either (2 × 2) or (3×3) R30° reconstructed flat top faces. High resolution scanning transmission electron microscopy analysis demonstrated fully coherent epitaxy of the islands with respect to the substrate, consistent with a well-matched CaF2-prototype structure associated with γ-FeSi2, along perfect atomically sharp interfaces. Energy dispersive spectroscopy detected ternary composition of the islands, with Fe and Ni atoms confined to the islands, and no trace of segregation. Our magnetometry measurements revealed the superparamagnetic behavior of the silicide islands, with a blocking temperature around 30 K, reflecting the size, shape, and dilute arrangement of the islands in the assembly. Full article
(This article belongs to the Special Issue Epitaxial Self-Assembly of Magnetic Nanostructures)
Show Figures

Graphical abstract

11 pages, 871 KB  
Article
Synthesis and Stabilization of Support-Free Mesoporous Gold Nanoparticles
by Laura Juhász, Krisztián Moldován, Petra Herman, Zoltán Erdélyi, István Fábián, József Kalmár and Csaba Cserháti
Nanomaterials 2020, 10(6), 1107; https://doi.org/10.3390/nano10061107 - 3 Jun 2020
Cited by 6 | Viewed by 4599
Abstract
Porous gold nanoparticles (PGNs) are usually prepared in an immobilized form on a solid substrate, which is not practical in many applications. In this work, a simple method is reported for the preparation and stabilization of mesoporous gold particles of a few hundred [...] Read more.
Porous gold nanoparticles (PGNs) are usually prepared in an immobilized form on a solid substrate, which is not practical in many applications. In this work, a simple method is reported for the preparation and stabilization of mesoporous gold particles of a few hundred nanometers in size in aqueous suspension. Nanoparticles of Ag-Au alloy were fabricated on CaF 2 and Si/SiO 2 substrates by the solid-state dewetting method. Silver was selectively dissolved (dealloyed), and the resulting porous gold nanoparticles were chemically removed from the substrate either in a concerted step with dealloying, or in a subsequent step. Nitric acid was used for the one-step dealloying and detachment of the particles from CaF 2 substrate. The consecutive use of HNO 3 and HF resulted in the dealloying and the subsequent detachment of the particles from Si/SiO 2 substrate. The PGNs were recovered from the aqueous suspensions by centrifugation. The Au content of the suspensions was monitored by using elemental analysis (ICP-OES), and recovery was optimized. The morphology and the optical characteristics of the support-free PGNs were analyzed by scanning electron microscopy (SEM), dynamic light scattering spectroscopy (DLS), and near-infrared spectrophotometry (NIR). The obtained PGNs are spherical disk-shaped with a mean particle size of 765 ± 149 nm. The suspended, support-free PGNs display an ideally narrow dipole plasmon peak at around 1450 nm in the NIR spectral region. Thus, the new colloidal PGNs are ideal candidates for biomedical applications, for instance photothermal therapy. Full article
Show Figures

Graphical abstract

15 pages, 5032 KB  
Article
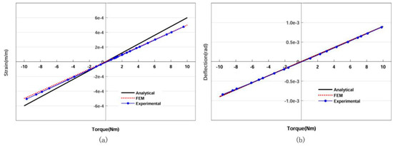
A Lever-Type Method of Strain Exposure for Disk F-Shaped Torque Sensor Design
by Ran Shu, Zhigang Chu and Hongyu Shu
Sensors 2020, 20(2), 541; https://doi.org/10.3390/s20020541 - 19 Jan 2020
Cited by 12 | Viewed by 5900
Abstract
Disk-shaped torque sensors are widely used in robotic joints and wheel driving. However, in terms of conventional spoke-type geometries, there is always a trade-off between sensitivity and stiffness, because their strain exposure depends upon a bending deformation mode which causes strain nonuniformity. This [...] Read more.
Disk-shaped torque sensors are widely used in robotic joints and wheel driving. However, in terms of conventional spoke-type geometries, there is always a trade-off between sensitivity and stiffness, because their strain exposure depends upon a bending deformation mode which causes strain nonuniformity. This paper presents a lever-type method of strain exposure that performs a uniaxial tension and compression deformation mode to optimize the strain uniformity and improve the trade-off. Moreover, on the basis of this approach, the proposed disk F-shaped torque sensor enjoys has axial thinness, easy installation of strain gauges and flexible customization. The simulation and experimental results have validated the basic design idea. Full article
(This article belongs to the Section Physical Sensors)
Show Figures

Figure 1

10 pages, 249 KB  
Article
Third-Order Hankel and Toeplitz Determinants for Starlike Functions Connected with the Sine Function
by Hai-Yan Zhang, Rekha Srivastava and Huo Tang
Mathematics 2019, 7(5), 404; https://doi.org/10.3390/math7050404 - 6 May 2019
Cited by 33 | Viewed by 3595
Abstract
Let S s * be the class of normalized functions f defined in the open unit disk D = { z : | z | < 1 } such that the quantity z f ( z ) f ( z ) lies [...] Read more.
Let S s * be the class of normalized functions f defined in the open unit disk D = { z : | z | < 1 } such that the quantity z f ( z ) f ( z ) lies in an eight-shaped region in the right-half plane and satisfying the condition z f ( z ) f ( z ) 1 + sin z ( z D ) . In this paper, we aim to investigate the third-order Hankel determinant H 3 ( 1 ) and Toeplitz determinant T 3 ( 2 ) for this function class S s * associated with sine function and obtain the upper bounds of the determinants H 3 ( 1 ) and T 3 ( 2 ) . Full article
Back to TopTop