Sign in to use this feature.

Years

Between: -

Subjects

remove_circle_outline
remove_circle_outline
remove_circle_outline
remove_circle_outline
remove_circle_outline
remove_circle_outline
remove_circle_outline
remove_circle_outline

Journals

Article Types

Countries / Regions

remove_circle_outline
remove_circle_outline
remove_circle_outline
remove_circle_outline

Search Results (558)

Search Parameters:
Keywords = disease/relapse free survival

Order results
Result details
Results per page
Select all
Export citation of selected articles as:
12 pages, 884 KB  
Article
Oral Vancomycin in the Treatment of Clostridioides difficile Infection: A Single-Center Observational Study in Southern Poland (2016–2022), Involving 528,887 Hospitalized Patients
by Anna Pałka, Mateusz Gajda, Norbert Kapczyński, Estera Jachowicz-Matczak, Marcin Krzanowski, Jakub Kasprzyk, Barbara Żółtowska, Jacek Czepiel and Jadwiga Wójkowska-Mach
Antibiotics 2026, 15(2), 161; https://doi.org/10.3390/antibiotics15020161 - 3 Feb 2026
Abstract
Objectives: Clostridioides difficile infection (CDI) remains a major healthcare challenge, particularly in resource-limited settings. Methods: This retrospective, single-center study analyzed CDI epidemiology and treatment outcomes among 528,887 hospitalized patients at the University Hospital in Kraków, Poland, between 2016 and 2022. Results: A [...] Read more.
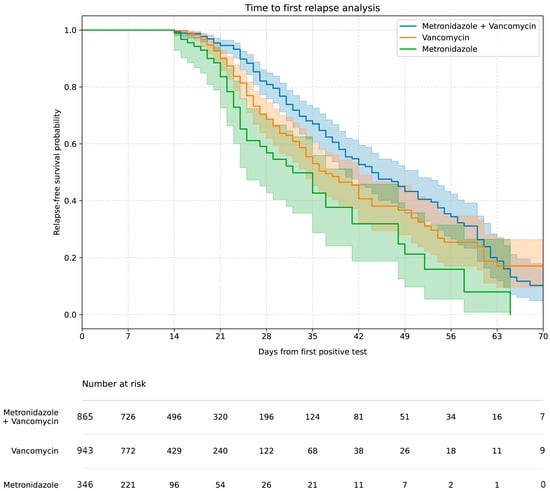
Objectives: Clostridioides difficile infection (CDI) remains a major healthcare challenge, particularly in resource-limited settings. Methods: This retrospective, single-center study analyzed CDI epidemiology and treatment outcomes among 528,887 hospitalized patients at the University Hospital in Kraków, Poland, between 2016 and 2022. Results: A total of 2341 CDI cases were confirmed, with an overall incidence of 4.32 per 1000 admissions. The highest rates were observed in geriatric and infectious diseases units. During the COVID-19 pandemic, healthcare-associated CDI cases surged, accounting for up to 89.2% of infections in 2020 with an incidence rate of 3.8 per 1000 admissions, compared with 2.5 per 1000 admissions in 2016. Vancomycin-based therapy was associated with significantly lower mortality (OR 0.73, 95% CI 0.56–0.95) compared to metronidazole, while combination therapy (vancomycin, metronidazole) showed the highest recurrence rate (17%). Fidaxomicin use was minimal (0.4%) due to limited availability. Recurrent CDI occurred in 14.2% of cases, with a relapse-free survival advantage observed in vancomycin-treated patients. The overall in-hospital case fatality rate associated with CDI was 22.5%. Conclusions: Despite stable overall CDI incidence, the study highlights the impact of increased antibiotic consumption during the pandemic on HA-CDI dynamics. The findings underscore the need for improved antimicrobial stewardship, broader access to advanced therapies such as fidaxomicin and bezlotoxumab, and enhanced diagnostic protocols. In settings with restricted therapeutic options, vancomycin remains a valuable treatment, particularly for reducing mortality. Full article
Show Figures

Figure 1

19 pages, 4218 KB  
Article
Salvage Re-Gastrectomy for Isolated Locoregional Recurrence After Curative Gastrectomy: A Propensity-Matched Comparative Analysis
by Fahim Kanani, Adi Litmanovich, Yonatan Lessing, Nir Messer, Boaz Sagie, Guy Lahat and Lior Orbach
Surg. Tech. Dev. 2026, 15(1), 6; https://doi.org/10.3390/std15010006 - 2 Feb 2026
Viewed by 90
Abstract
Background/Objectives: Recurrence after curative gastrectomy for gastric cancer remains common, and treatment options are limited. In selected patients with isolated locoregional relapse, salvage re-gastrectomy may provide durable disease control. This study compared outcomes of salvage re-gastrectomy and chemotherapy for isolated locoregional recurrence. Methods: [...] Read more.
Background/Objectives: Recurrence after curative gastrectomy for gastric cancer remains common, and treatment options are limited. In selected patients with isolated locoregional relapse, salvage re-gastrectomy may provide durable disease control. This study compared outcomes of salvage re-gastrectomy and chemotherapy for isolated locoregional recurrence. Methods: We reviewed 500 consecutive gastrectomies performed between 2010 and 2024. In total, 66 patients (12.8%) developed isolated locoregional recurrence after previous R0 resection: 25 underwent salvage re-gastrectomy, and 41 received chemotherapy. Propensity-score matching (intended 1:2) was used to balance clinical and pathologic variables, yielding 42 patients (17 surgery, 25 chemotherapy). The primary endpoint was overall survival (OS) from recurrence diagnosis; secondary endpoints included perioperative outcomes and patterns of treatment failure. Results: There were no 30-, 60-, or 90-day deaths after salvage re-gastrectomy. Overall mortality was lower in the surgical group (41.2%) compared with chemotherapy (80.0%; p = 0.010). Salvage re-gastrectomy was independently associated with better OS (HR 0.15, 95% CI 0.02–0.87, and p = 0.035). A longer disease-free interval correlated strongly with survival (ρ = 0.80 and p < 0.001). Surgical patients experienced fewer local (0% vs. 52%) and peritoneal (0% vs. 20%) recurrences. Conclusions: For carefully selected patients with late, isolated locoregional recurrence, salvage re-gastrectomy is feasible and associated with longer survival and improved local control compared with chemotherapy alone. Larger prospective studies are warranted. Full article
Show Figures

Graphical abstract

10 pages, 1516 KB  
Data Descriptor
Multiplex Immunofluorescence and Histopathology Dataset of Cell Cycle–Related Proteins in Renal Cell Carcinoma
by Hazem Abdullah, In Hwa Um, Grant D. Stewart, Alexander Laird, Kathryn Kirkwood, Chang Wook Jeong, Cheol Kwak, Kyung Chul Moon, TranSORCE Team, Tim Eisen, Elena Frangou, Anne Warren, Angela Meade and David J. Harrison
Data 2026, 11(2), 27; https://doi.org/10.3390/data11020027 - 1 Feb 2026
Viewed by 103
Abstract
Clear-cell renal cell carcinoma (ccRCC) accounts for the majority of kidney cancer diagnoses and exhibits widely variable clinical behaviour. The dataset described here was generated to support the discovery of robust biomarkers of tumour cell-cycle arrest and to inform the risk-stratified management of [...] Read more.
Clear-cell renal cell carcinoma (ccRCC) accounts for the majority of kidney cancer diagnoses and exhibits widely variable clinical behaviour. The dataset described here was generated to support the discovery of robust biomarkers of tumour cell-cycle arrest and to inform the risk-stratified management of ccRCC. We assembled four independent cohorts including 480 patients from the UK arm of the SORCE adjuvant trial, 300 patients from a surgically treated series in Korea, 120 patients from a retrospective Scottish cohort, and a paired primary–metastatic cohort comprising 62 patients. Formalin-fixed paraffin-embedded nephrectomy specimens were processed for routine hematoxylin and eosin (H&E) histology, and for multiplex immunofluorescence (mIF). The mIF panels detect the cyclin-dependent kinase inhibitor p21CDKN1a, the DNA replication licencing factor MCM2, endoglin/CD105, Lamin B1 and nuclear DNA (Hoechst). Whole-slide images (WSIs) were acquired at high resolution, and artificial-intelligence pipelines were used to segment nuclei, classify individual cells into arrested phenotypes, and calculate the fraction of cells. Accompanying metadata include demographics, tumour stage, grade, Leibovich score, treatment arm (sorafenib/placebo), relapse events, and disease-free survival. All images and derived tables are released under a CC0 licence via the BioImage Archive, ensuring unrestricted reuse. This multi-cohort dataset provides a rich resource for studying cell-cycle arrest and proliferation markers, training image-analysis algorithms, and developing prognostic signatures in RCC. Full article
Show Figures

Figure 1

11 pages, 915 KB  
Article
Primary Adrenal Gland Lymphoma: Report of 13 Cases—A Retrospective Multicenter Polish Lymphoma Research Group Analysis
by Magdalena Witkowska, Kacper Kościelny, Agnieszka Giza, Ryszard Swoboda, Joanna Drozd-Sokołowska and Dariusz Wołowiec
Life 2026, 16(2), 230; https://doi.org/10.3390/life16020230 - 1 Feb 2026
Viewed by 123
Abstract
Introduction: The existence of primary adrenal gland lymphoma (PAGL) has been debated due to lack of lymphoid tissue in the adrenal glands. PAGL is extremely rare, accounting for less than 1% of all types of lymphomas. The aim of this study was to [...] Read more.
Introduction: The existence of primary adrenal gland lymphoma (PAGL) has been debated due to lack of lymphoid tissue in the adrenal glands. PAGL is extremely rare, accounting for less than 1% of all types of lymphomas. The aim of this study was to analyze patients with PAGL in Polish population. Material and Methods: We retrospectively reviewed 13 adult patients with PAGL diagnosed in Polish Hematological Centers. Results: A total of 13 patients (5 women and 8 men) with PAGL were included into the study. The median age at the diagnosis was 69.1 years (range: 31–85). The most common histological type was diffuse large B-cell lymphoma (DLBCL)-12 patients, the remaining one was diagnosed with Hodgkin lymphoma (HL). In 7 patients (54%), the left adrenal gland was involved; in 3 patients (23.5%), the right adrenal gland was involved; and 3 patients (23.5%) had bilateral lymphoma. Systemic symptoms (B symptoms) were observed in 11 out of 13 patients (85%). Two patients (15%) were treated with chemotherapy alone and the remaining eleven patients (85%) with immune and chemotherapy together (85%). During the follow-up period, 11 patients died, 8 had relapsed or refractory disease (62%), and 3 patients (23%) had relapse in central nervous system (CNS). The median progression-free survival (PFS) was 14.63 months, while the median overall survival (OS) was 20.30 months. Adrenalectomy of the involved adrenal gland was associated with shorter PFS (p = 0.0165), with trend of shorter OS. Achieving complete remission (CR) after front line treatment was associated with significantly longer OS (p = 0.0239) and PFS (p = 0.0152). Conclusions: Adrenal glands are extremely rare as primary locations of extranodal lymphoma. The prognosis of PAGL is generally poor. In this study, we described demographic, clinical, and pathological characteristics as well as factors that may affect survival among these groups. So far, it is the largest polish multicenter experience describing patients with PAGL. Full article
(This article belongs to the Special Issue Recent Advances in Lymphomas)
Show Figures

Figure 1

18 pages, 1486 KB  
Article
Real-World Outcomes of Axicabtagene Ciloleucel for Treatment of Relapsed or Refractory Large B-Cell Lymphoma in Canada
by Christopher Lemieux, John Kuruvilla, Mona Shafey, Kelly Davison, Kristjan Paulson, Sue Z. L. Li, Lieven Billen, Francis Nissen, Hai-Lin Wang, Jenny J. Kim, Grace Lee, Zhen-Huan Hu, Brent Logan, Zhongyu Feng, Marcelo C. Pasquini and Kevin Hay
Curr. Oncol. 2026, 33(2), 85; https://doi.org/10.3390/curroncol33020085 - 31 Jan 2026
Viewed by 105
Abstract
CD19 CAR T-cell therapy has significantly improved the survival of patients with relapsed or refractory large B cell lymphoma (R/R LBCL) and is considered standard of care for eligible patients in Canada. Axicabtagene ciloleucel (axi-cel) is an autologous CAR T-cell therapy, initially approved [...] Read more.
CD19 CAR T-cell therapy has significantly improved the survival of patients with relapsed or refractory large B cell lymphoma (R/R LBCL) and is considered standard of care for eligible patients in Canada. Axicabtagene ciloleucel (axi-cel) is an autologous CAR T-cell therapy, initially approved by Health Canada for adults with R/R LBCL after 2 or more lines of therapy. This multi-centre analysis, with registry data collected from CIBMTR, aims to present a Canadian perspective on the real-world experience of axi-cel in patients with R/R LBCL. With a median follow-up of 12.4 months, the best objective response rate (ORR) and complete response (CR) rate among all patients were 77% and 59%, respectively. At 12 months, estimated progression-free survival (PFS) and overall survival (OS) were 49% and 59%, respectively. Notably, the incidence and severity of adverse events were lower in this cohort compared to ZUMA-1 and other real-world reports, with CRS occurring in 77% (grade ≥ 3, 3%) and ICANS occurring in 38% (grade ≥ 3, 10%) of patients. Outcomes remained largely consistent across patient and disease characteristics. These findings demonstrate effectiveness and safety profiles comparable to international real-world studies and the ZUMA-1 trial, supporting the use of axi-cel as an effective treatment across broad Canadian populations. Full article
(This article belongs to the Section Cell Therapy)
Show Figures

Figure 1

23 pages, 1011 KB  
Article
PD-L1/CD274 and miR-155/MIR155HG Genetic Variants as Prognostic and Risk Biomarkers in Diffuse Large B-Cell Lymphoma
by Marija Elez, Debora Misic, Gordana Velikic, Jelena Karajovic, Lavinika Atanaskovic and Gordana Supic
Cancers 2026, 18(3), 469; https://doi.org/10.3390/cancers18030469 - 30 Jan 2026
Viewed by 103
Abstract
Background/Objectives: Diffuse large B-cell lymphoma (DLBCL) is an aggressive and heterogeneous malignancy, for which predicting clinical outcomes remains challenging. Although immune-checkpoint pathways are known to influence tumor biology, the impact of their germline variants on DLBCL susceptibility and prognosis has not been [...] Read more.
Background/Objectives: Diffuse large B-cell lymphoma (DLBCL) is an aggressive and heterogeneous malignancy, for which predicting clinical outcomes remains challenging. Although immune-checkpoint pathways are known to influence tumor biology, the impact of their germline variants on DLBCL susceptibility and prognosis has not been fully elucidated. Methods: Variants in PD-L1 gene CD274 (rs4143815, rs822336), and miR-155 gene MIR155HG (rs767649, rs1893650), assessed by TaqMan assays in 99 DLBCL patients and 113 age- and sex-matched healthy controls, were associated with clinicopathological features, treatment response, overall survival (OS), relapse-free survival (RFS), and disease susceptibility. Results: The PD-L1 variant rs822336 was significantly associated with relapse status (p = 0.005) and RFS (p = 0.008), with the wild-type GG genotype showing the poorest RFS that remained independent in the multivariate Cox analysis (HR = 2.387, p = 0.003). Conversely, rs4143815 showed a nominal association with treatment resistance (p = 0.026), while patients carrying the GG genotype had worse OS (p = 0.006). In susceptibility analyses, miR-155 variant rs767649 showed a nominal association with DLBCL risk, with the rare AA genotype showing an increased risk of DLBCL (OR = 5.234, p = 0.045), which did not remain significant after Bonferroni correction. Conclusions: In a hypothesis-generating manner, these findings suggest that PD-L1 genetic variants may predominantly influence disease progression and outcomes, while miR-155 variation may contribute to DLBCL susceptibility. These findings highlight germline immunogenetic variants as stable, treatment-independent markers that may inform future studies on risk stratification and prognosis in DLBCL. Full article
(This article belongs to the Special Issue Advances in B-Cell Lymphoma: From Diagnostics to Cure)
Show Figures

Graphical abstract

20 pages, 1405 KB  
Article
When Standards Meet Reality: An Inverted PORTEC-3 Protocol for High-Risk Endometrial Cancer in Resource-Limited Settings
by Raouia Ben Amor, Ines Mlayeh, Amal Riahi, Zeineb Naimi, Myriam Saadi, Rihab Haddad, Ghada Bouguerra, Awatef Hamdoun, Lilia Ghorbel, Nesrine Mejri Turki and Lotfi Kochbati
Cancers 2026, 18(3), 415; https://doi.org/10.3390/cancers18030415 - 28 Jan 2026
Viewed by 195
Abstract
Background/Objectives: The combination of chemotherapy and radiotherapy represents a standard adjuvant treatment for patients with high-risk endometrial cancer. However, limited access to radiotherapy in many healthcare systems frequently results in treatment delays, potentially compromising outcomes. The aim of this study was to evaluate [...] Read more.
Background/Objectives: The combination of chemotherapy and radiotherapy represents a standard adjuvant treatment for patients with high-risk endometrial cancer. However, limited access to radiotherapy in many healthcare systems frequently results in treatment delays, potentially compromising outcomes. The aim of this study was to evaluate the oncologic outcomes and toxicity profile of an inverted treatment sequence consisting of upfront chemotherapy followed by concurrent chemoradiotherapy. Methods: We conducted a retrospective single-center study including patients with non-metastatic high-risk endometrial cancer. Eligible patients had FIGO stage I grade 3 disease with lymphovascular space invasion, stage II–III disease, or non-endometrioid histology. All patients received four cycles of paclitaxel–carboplatin followed by pelvic radiotherapy with concurrent cisplatin. Survival outcomes, including local recurrence-free survival, disease-free survival, metastasis-free survival, and overall survival, were analyzed using the Kaplan–Meier method and Cox proportional hazards models. Acute hematologic toxicity was graded according to CTCAE v5.0. Bone marrow dose–volume parameters were evaluated, and receiver operating characteristic curve analysis was performed to identify thresholds associated with grade ≥ 2 hematologic toxicity. Results: Fifty-two patients were included, with a median follow-up of 31.4 months. Five-year overall survival and disease-free survival rates were 86.1% and 77.5%, respectively. Ten patients relapsed, with distant metastases observed in all cases and synchronous local recurrence in one. Delays between surgery and radiotherapy of 20 weeks or more, as well as delays exceeding 10 weeks before initiation of chemotherapy, were associated with significantly reduced disease-free survival. Grade ≥ 2 hematologic toxicity was frequent, and neutropenia was associated with inferior overall survival. Bone marrow dose–volume thresholds predictive of hematologic toxicity included V40 Gy < 20–25% and V30 Gy < 40%. Conclusions: A chemotherapy-first adjuvant strategy provides favorable oncologic outcomes and excellent locoregional control in high-risk endometrial cancer when radiotherapy is delayed. However, increased hematologic toxicity highlights the importance of optimized bone marrow sparing. Full article
Show Figures

Figure 1

15 pages, 857 KB  
Article
Prognostic Significance of the Systemic Inflammation Response Index (SIRI) in Patients with Hodgkin Lymphoma
by Kadir Ilkkilic and Bayram Sen
Medicina 2026, 62(2), 264; https://doi.org/10.3390/medicina62020264 - 27 Jan 2026
Viewed by 143
Abstract
Background and Objectives: Interest in biomarkers reflecting the inflammatory nature of Hodgkin lymphoma (HL) is increasing. This study aimed to evaluate the prognostic significance of the Systemic Inflammation Response Index (SIRI) in patients with HL. Materials and Methods: In this study, 105 patients [...] Read more.
Background and Objectives: Interest in biomarkers reflecting the inflammatory nature of Hodgkin lymphoma (HL) is increasing. This study aimed to evaluate the prognostic significance of the Systemic Inflammation Response Index (SIRI) in patients with HL. Materials and Methods: In this study, 105 patients diagnosed with classical HL at the Hematology Clinic of Recep Tayyip Erdoğan University Faculty of Medicine between January 2015 and April 2025 were retrospectively evaluated. Patients were divided into 2 groups according to the SIRI cut-off value. Results: A high SIRI (≥3.78) was significantly associated with advanced disease stage, poor performance status, higher IPS-7 and IPS-3 scores, non-response or partial response to treatment, relapse, and increased mortality. A positive correlation was found between SIRI and IPS 7 scores (p < 0.001, rho = 0.355). In the univariate analysis for progression-free survival (PFS), hemoglobin, IPS 7 score, and SIRI were identified as prognostic factors; in the multivariate analysis, high SIRI was identified as an independent prognostic factor (p = 0.033). In the univariate analysis for overall survival (OS), age, hemoglobin, albumin, lymphocyte count, IPS 7 score, and SIRI were identified as prognostic factors; and, in the multivariate analysis, age over 45 and high SIRI were identified as independent prognostic factors (p = 0.016, p = 0.012). In the survival analysis, high SIRI levels were associated with shorter PFS and OS (p = 0.001, p < 0.001). Additionally, PFS and OS durations were shorter in patients with high IPS 7 scores (p < 0.001, p < 0.001). Conclusions: A high SIRI prior to treatment was identified as an independent prognostic factor in HL patients and was associated with shorter PFS and OS. This index may help identify high-risk patients and assist clinicians in their decision-making processes by enabling individualized risk assessment. Full article
Show Figures

Figure 1

15 pages, 270 KB  
Article
Experience of a Referral Center with Desmoid Tumors, Part 2: A Retrospective Analysis of 109 Cases
by Alvarez Alvarez Rosa, Agra Pujol Carolina, Arregui Valles Marta, Alijo Francisco, Fernández Gonzalo Adriana, Gutiérrez Natalia, Lozano Lominchar Pablo, Mata Fernández Cristina, Mediavilla Santos Lydia, Novo Ulrike, Santos Marina, Hernández Torrado Guillermo, Carpintero García Henar and Gutiérrez-Ortiz de la Tabla Ana
Cancers 2026, 18(2), 305; https://doi.org/10.3390/cancers18020305 - 19 Jan 2026
Viewed by 168
Abstract
Background: Desmoid tumors (DTs) are rare, locally aggressive fibroblastic neoplasms with highly heterogeneous clinical behavior. The present work constitutes the second part of a two-part project, following our previously published multidisciplinary review of the diagnostic and therapeutic landscape of DTs. It provides a [...] Read more.
Background: Desmoid tumors (DTs) are rare, locally aggressive fibroblastic neoplasms with highly heterogeneous clinical behavior. The present work constitutes the second part of a two-part project, following our previously published multidisciplinary review of the diagnostic and therapeutic landscape of DTs. It provides a comprehensive analysis of our institutional experience as a national reference center for sarcoma. We aim to describe real-world diagnostic pathways, management strategies, and clinical outcomes in a high-volume cohort. Methods: We conducted a retrospective cohort study that included patients diagnosed with DT at our center between 2014 and 2024. Demographic, clinical, molecular, treatment, and outcome data were collected. Management strategies were analyzed according to tumor location, symptoms, progression patterns, and multidisciplinary decision-making. Outcomes included response rates, event-free survival (EFS), need for active treatment, response to systemic therapy, and recurrence after local treatments. Results: A total of 109 patients were included (median age 36.8 years; 56.9% women). Somatic CTNNB1 mutations were identified in 23 of 29 tested patients, predominantly T41A, while germline alterations were found in 18 patients, mainly in APC. Initial management was conservative in 40.4% of patients and active in 59.6%, primarily through surgery. After a median follow-up of 41.5 months, 44.9% of patients experienced disease progression. Among patients managed with active surveillance, spontaneous regression occurred in 22.2%, and 58% remained treatment-free. Surgical relapse occurred in 35.8% of patients undergoing upfront resection, with major postoperative complications limited to externally operated cases. Cryoablation achieved radiological responses in most evaluable patients, while systemic therapies showed clinical activity but relevant toxicity, particularly with tyrosine kinase inhibitors. The median EFS for the whole cohort was 57 months. Conservative initial management and R1/2 surgical margins were independently associated with worse EFS. Conclusions: Our results support a personalized, multidisciplinary management strategy for DTs, prioritizing conservative approaches when appropriate and reserving active treatments for progressive or symptomatic disease. Outcomes achieved in a specialized referral center are comparable to those reported in large international retrospective series, underscoring the value of expert multidisciplinary care in optimizing DT management. Full article
(This article belongs to the Special Issue News and How Much to Improve in Management of Soft Tissue Sarcomas)
23 pages, 1210 KB  
Review
BTK Inhibition in Hematology: From CLL/SLL to Emerging Applications Across B-Cell and Immune Disorders
by Andrea Duminuco, Paola De Luca, Gaia Stanzione, Laura Anastasia Caruso, Giulio Lavenia, Salvatore Scarso, Bruno Garibaldi, Fanny Erika Palumbo, Calogero Vetro and Giuseppe Alberto Palumbo
Biomolecules 2026, 16(1), 123; https://doi.org/10.3390/biom16010123 - 12 Jan 2026
Viewed by 452
Abstract
BTK (Bruton’s tyrosine kinase) has become a key therapeutic target across several hematologic diseases, beginning with its original use in CLL/SLL. As a central mediator of B-cell receptor signaling and microenvironment interactions, BTK supports survival, proliferation, and trafficking in multiple mature B-cell malignancies [...] Read more.
BTK (Bruton’s tyrosine kinase) has become a key therapeutic target across several hematologic diseases, beginning with its original use in CLL/SLL. As a central mediator of B-cell receptor signaling and microenvironment interactions, BTK supports survival, proliferation, and trafficking in multiple mature B-cell malignancies (mantle cell lymphoma, marginal zone lymphoma, Waldenström macroglobulinemia, and other indolent/aggressive lymphomas) and in selected immune-mediated conditions such as chronic graft-versus-host disease. Covalent BTK inhibitors (ibrutinib, acalabrutinib, and zanubrutinib) irreversibly bind the C481 residue and have produced high response rates and durable disease control, often replacing chemoimmunotherapy in the relapsed setting and, for some entities, even in the first line. Differences in kinase selectivity lead to different safety profiles: second-generation covalent agents generally maintain efficacy while reducing significant off-target toxicities, especially atrial fibrillation and hypertension. Resistance to covalent BTK inhibitors most commonly develops through BTK C481 substitutions and activating PLCG2 mutations, with other kinase-domain variants increasingly recognized. Non-covalent BTK inhibitors (e.g., pirtobrutinib) bind BTK independently of C481, can overcome classic C481-mediated resistance, and extend BTK pathway targeting into later lines of therapy. Overall, BTK inhibition has evolved into a versatile platform enabling long-term, often chemo-free management strategies. Full article
(This article belongs to the Section Molecular Medicine)
Show Figures

Figure 1

21 pages, 2534 KB  
Systematic Review
Computational Stemness and Cancer Stem Cell Markers in Oral Squamous Cell Carcinoma: A Systematic Review, Dual Meta-Analysis, and Functional Meta-Synthesis
by Carlos M. Ardila, Eliana Pineda-Vélez and Anny M. Vivares-Builes
Med. Sci. 2026, 14(1), 21; https://doi.org/10.3390/medsci14010021 - 31 Dec 2025
Viewed by 378
Abstract
Background/Objectives: Stemness has been proposed as a unifying driver of invasion, treatment resistance, and relapse in oral squamous cell carcinoma (OSCC). We synthesized two complementary evidence streams to determine whether higher stemness predicts poorer survival in OSCC: (i) computational stemness signatures derived from [...] Read more.
Background/Objectives: Stemness has been proposed as a unifying driver of invasion, treatment resistance, and relapse in oral squamous cell carcinoma (OSCC). We synthesized two complementary evidence streams to determine whether higher stemness predicts poorer survival in OSCC: (i) computational stemness signatures derived from transcriptomic/epigenetic data and (ii) tissue cancer stem cell (CSC) immunophenotypes by immunohistochemistry (IHC). Methods: Following PRISMA 2020, we searched PubMed/MEDLINE, Embase, Scopus, and SciELO. Adults with histologically confirmed OSCC were eligible. Primary outcome was overall survival (OS); disease-specific survival (DSS) and recurrence-free survival (RFS) were secondary. Two parallel meta-analyses pooled effects within domains; random-effects restricted maximum likelihood (REML) models were applied. Results: Of 785 records, 11 studies met criteria. For computational signatures (k = 6), higher stemness was associated with poorer OS (pooled HR 2.24, 95% CI 1.61–3.12; I2 ≈ 49%). Sensitivity excluding the single unadjusted Kaplan–Meier (KM)-derived estimate yielded a similar effect (HR 2.13, 95% CI 1.56–2.89). For CSC-IHC (main analysis, k = 2), CSC-positive profiles predicted worse OS (pooled HR 2.01, 95% CI 1.42–2.84; I2 ≈ 0%); results were robust to excluding an internally inconsistent study (single-study HR 2.078). An exploratory sensitivity analysis, including a 1-year HR (different time horizon), increased heterogeneity and was not considered definitive. A functional meta-synthesis converged on epithelial–mesenchymal transition/extracellular matrix remodeling, hypoxia/glycolysis, redox/ferroptosis resistance, and ribosome/rRNA biogenesis, supporting biological plausibility across modalities. Conclusions: Across computational and IHC evidence, stemness consistently portends inferior OS in OSCC, offering a biologically anchored framework for risk stratification and testable therapeutic hypotheses. Full article
(This article belongs to the Section Translational Medicine)
Show Figures

Graphical abstract

79 pages, 5376 KB  
Conference Report
Abstracts of the Cell Therapy Transplant Canada 2024 Annual Conference
by Stephanie A. Maier, Frédéric Barabé, Tobias Berg, Jonathan Bramson, Gwynivere A. Davies, Mahmoud Elsawy, Alejandro Garcia-Horton, Alix Lapworth, Christopher Lemieux, Kylie Lepic, Kristjan Paulson, Michael Radford, Mégane Tanguay, Ram Vasudevan Nampoothiri, Darrell White, Charles Yin and Jonas Mattsson
Curr. Oncol. 2026, 33(1), 9; https://doi.org/10.3390/curroncol33010009 - 23 Dec 2025
Viewed by 492
Abstract
On behalf of Cell Therapy Transplant Canada (CTTC), we are pleased to present the Abstracts of the CTTC 2024 Annual Conference. The conference was held on 1–3 May 2024 in beautiful Victoria, British Columbia, at the Victoria Conference Centre, and attracted 293 in-person [...] Read more.
On behalf of Cell Therapy Transplant Canada (CTTC), we are pleased to present the Abstracts of the CTTC 2024 Annual Conference. The conference was held on 1–3 May 2024 in beautiful Victoria, British Columbia, at the Victoria Conference Centre, and attracted 293 in-person delegates and five virtual attendees. Several plenary sessions were held on topics such as gene therapy for hemoglobin disorders, optimizing donor selection, graft-versus-host disease (GvHD) strategies, collaborative care, survivorship, graft failure, and CAR-T therapy. Poster authors presented their work during a lively and engaging networking reception on Thursday, 2 May, and oral abstract authors were featured during the oral abstract session in the afternoon of Friday, 3 May 2024. Forty-nine (49) abstracts were selected for presentation as posters and six (6) as oral presentations. Abstracts were submitted within four categories: (1) Basic/Translational Sciences, (2) Clinical Trials/Observations, (3) Laboratory/Quality, and (4) Pharmacy/Nursing/Other Transplant Support. The top six (6) abstract authors were invited to give an oral presentation, and the top four (4) poster abstracts were selected to receive an award. All of these were marked as “Award Recipient” within the relevant category. Three abstracts were determined by the peer review panel to be inappropriate for this conference and were not invited to present at the conference, and two authors withdrew their abstract; therefore, five abstract numbers are missing from the list. We congratulate all the 2024 abstract presenters on their research and contributions to the field. Full article
(This article belongs to the Section Cell Therapy)
Show Figures

Graphical abstract

15 pages, 996 KB  
Article
Pleuro-Pulmonary Extramedullary Plasmacytomas in Multiple Myeloma: A 15-Year Experience from a Tertiary Center
by Sorina Badelita, Sinziana Barbu, Camelia Dobrea, Cerasela Jardan, Monica Popescu, Codruta Delia Popa, Claudia Toma, Larisa Zidaru, Mihai Emanuel Himcinschi, Horia Mihail Sandu, Didona Vasilache, Adelina Vlad and Daniel Coriu
Cancers 2026, 18(1), 19; https://doi.org/10.3390/cancers18010019 - 20 Dec 2025
Viewed by 352
Abstract
Background/Objectives: Extramedullary involvement in multiple myeloma represents an aggressive disease phenotype, associated with reduced survival and an unfavorable prognosis. Thoracic manifestations are rare and remain poorly characterized in the literature. Methods: We conducted a retrospective, single-center study at the Fundeni Clinical [...] Read more.
Background/Objectives: Extramedullary involvement in multiple myeloma represents an aggressive disease phenotype, associated with reduced survival and an unfavorable prognosis. Thoracic manifestations are rare and remain poorly characterized in the literature. Methods: We conducted a retrospective, single-center study at the Fundeni Clinical Institute, including patients diagnosed with multiple myeloma between February 2010 and February 2025. The study cohort consisted of 34 patients with infiltration of the pulmonary parenchyma, pleura, or the presence of myelomatous pleural effusion. Diagnosis was confirmed using a combination of imaging modalities (computed tomography or magnetic resonance imaging), cytological examination, immunophenotyping, and histopathological confirmation whenever feasible. Results: Out of a total of 2012 patients with multiple myeloma, the incidence of pleuro-pulmonary extramedullary involvement was 1.6%. The median age at diagnosis was 58 years. Pleuro-pulmonary disease was present at initial diagnosis in 26.5% of cases, while 73.5% developed it at relapse. The most common presentation involved combined pleural involvement and myelomatous effusion (70.6%). Adverse prognostic markers included elevated β2-microglobulin levels (in over 80% of cases) and increased lactate dehydrogenase (LDH) in approximately 50%. Cytogenetic abnormalities such as del(17p), t(4;14), t(14;16), t(11;14), and 1q gain were identified. The median overall survival (OS) from the diagnosis of pleuro-pulmonary extramedullary disease was 16 months, with a 2-year survival rate of 25%. No patient survived beyond 5 years. The median progression-free survival (PFS) was 9 months. Conclusions: Our findings confirm the aggressive clinical course and poor prognosis of these disease manifestations, mainly when they occur at relapse. In the absence of standardized treatment guidelines, individualizing therapy and accessing novel strategies may be essential for improving patient survival. Full article
(This article belongs to the Special Issue Diagnosis of Hematologic Malignancies: 2nd Edition)
Show Figures

Figure 1

18 pages, 1155 KB  
Article
Monocyte and Lymphocyte Count, and Lymphocyte/Monocyte Ratio as Prognostic Factors at the Time of First Relapse in Canine Diffuse Large B-Cell Lymphoma Patients Receiving Chemotherapy
by Sara Cermeno, Alenka Lavra Zajc, Tim Sparks, Carlota Carvalho Molina and Adam Swallow
Animals 2026, 16(1), 9; https://doi.org/10.3390/ani16010009 - 19 Dec 2025
Viewed by 482
Abstract
Background: Canine lymphoma comprises the majority of haematopoietic malignancies in veterinary clinical practice. Several prognostic factors have been studied and, more recently, there has been an increased interest in the role of the lymphocyte-to-monocyte ratio (LMR) for its prognostic value. To date, the [...] Read more.
Background: Canine lymphoma comprises the majority of haematopoietic malignancies in veterinary clinical practice. Several prognostic factors have been studied and, more recently, there has been an increased interest in the role of the lymphocyte-to-monocyte ratio (LMR) for its prognostic value. To date, the prognostic value of absolute monocyte and lymphocyte counts as well as LMR at the time of relapse in dogs with diffuse large B-cell lymphoma has not been evaluated. The purpose of the present study was to investigate whether the absolute monocyte, lymphocyte or LMR at relapse can predict clinical outcomes for relapsed diffuse large B-cell lymphoma dogs treated with chemotherapy. Additionally, the parameters were evaluated for their prognostic value at the time of diagnosis and throughout different timepoints during the course of their first-line chemotherapy treatment. Materials and Methods: We retrospectively analysed data from 50 dogs with relapsed diffuse large B-cell lymphoma, treated with a CEOP-based first-line chemotherapy protocol. Lymphocyte and monocyte count and LMR were evaluated at different timepoints: at diagnosis, during chemotherapy and at the time of relapse. Overall survival time (OS) and disease-free interval (DFI), as well as overall survival time from relapse (OSr), were measured. Friedman nonparametric ANOVA was used to compare blood cell counts at different timepoints. Spearman rank correlation was used to test for association between blood cell count at various timepoints with the duration of remission and survival time. Results: Monocyte and lymphocyte counts and LMR at the time of first relapse were not found to be adverse prognostic factors for OSr in this population of dogs. Monocyte and lymphocyte counts differed significantly between different timepoints during the chemotherapy protocol. Conclusions: Absolute monocyte and lymphocyte counts and LMR at the time of relapse were not found to be prognostic indicators of OSr in this population of dogs with multicentric lymphoma. Additional studies evaluating absolute monocyte and lymphocyte counts during chemotherapy treatment and following completion of chemotherapy in larger population of dogs are needed to assess whether these counts have clinical utility in detecting disease progression. Full article
Show Figures

Figure 1

14 pages, 1246 KB  
Article
Adjuvant Tegafur-Uracil Improves Survival in Low-Risk, Mismatch Repair Proficient Stage IIA Colon Cancer: A Propensity Score-Matched Analysis
by Min-Chi Cheng, Hsu-Lin Lee, Shiue-Wei Lai, Jia-Hong Chen and Po-Huang Chen
Life 2025, 15(12), 1930; https://doi.org/10.3390/life15121930 - 17 Dec 2025
Viewed by 426
Abstract
Background: The benefit of adjuvant chemotherapy for low-risk, mismatch repair proficient (pMMR) stage IIA colon cancer is uncertain. Surveillance is standard, but some patients relapse. Tegafur-uracil (UFT) is a low-toxicity oral option that may offer benefit; Methods: This retrospective study included [...] Read more.
Background: The benefit of adjuvant chemotherapy for low-risk, mismatch repair proficient (pMMR) stage IIA colon cancer is uncertain. Surveillance is standard, but some patients relapse. Tegafur-uracil (UFT) is a low-toxicity oral option that may offer benefit; Methods: This retrospective study included patients with resected low-risk, pMMR stage IIA colon cancer (2013–2022). Patients receiving ≥5 postoperative UFT prescriptions were compared with those under surveillance. Propensity score matching (1:1) was applied, and disease-free survival (DFS) and overall survival (OS) were analyzed using Kaplan–Meier and Cox models with sensitivity analyses.; Results: Among 279 eligible patients, 71 matched pairs were analyzed. UFT reduced the risk of recurrence or death by 57% (DFS HR = 0.43, 95% CI 0.25–0.75, p = 0.002) and mortality by 62% (OS HR = 0.38, 95% CI 0.21–0.68, p < 0.001); Conclusions: UFT improved DFS and OS in low-risk pMMR stage IIA colon cancer, suggesting surveillance alone may undertreat some patients. Prospective trials are warranted. Full article
(This article belongs to the Special Issue Contemporary Therapeutic Strategies for Solid Tumors)
Show Figures

Figure 1

Back to TopTop