Sign in to use this feature.

Years

Between: -

Subjects

remove_circle_outline
remove_circle_outline
remove_circle_outline
remove_circle_outline
remove_circle_outline
remove_circle_outline
remove_circle_outline

Journals

Article Types

Countries / Regions

Search Results (58)

Search Parameters:
Keywords = discrete vector representation

Order results
Result details
Results per page
Select all
Export citation of selected articles as:
25 pages, 7474 KB  
Article
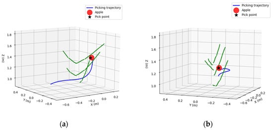
Push-or-Avoid: Deep Reinforcement Learning of Obstacle-Aware Harvesting for Orchard Robots
by Heng Fu, Tao Li, Qingchun Feng and Liping Chen
Agriculture 2026, 16(6), 670; https://doi.org/10.3390/agriculture16060670 - 16 Mar 2026
Abstract
In structured orchard environments, harvesting robots operate where rigid bodies (e.g., trunks, poles, and wires) coexist with flexible foliage. Strict avoidance of all obstacles significantly compromises operational efficiency. To address this, this study proposes an end-to-end autonomous harvesting framework characterized by an “avoid-rigid, [...] Read more.
In structured orchard environments, harvesting robots operate where rigid bodies (e.g., trunks, poles, and wires) coexist with flexible foliage. Strict avoidance of all obstacles significantly compromises operational efficiency. To address this, this study proposes an end-to-end autonomous harvesting framework characterized by an “avoid-rigid, push-through-soft” strategy. This framework explicitly propagates uncertainties from sensor data and reconstruction processes into the planning and policy phases. First, a multi-task perception network acquires 2D semantic masks of fruits and branches. Class probabilities and instance IDs are back-projected onto a 3D Gaussian Splatting (3DGS) representation to construct a decision-oriented, semantically enhanced 3D scene model. The policy network accepts multi-channel 3DGS rendered observations and proprioceptive states as inputs, outputting a continuous preference vector over eight predefined motion primitives. This approach unifies path planning and action decision-making within a single closed loop. Additionally, a dynamic action shielding module was designed to perform look-ahead collision risk assessments on candidate discrete actions. By employing an action mask to block actions potentially colliding with rigid obstacles, high-risk behaviors are effectively suppressed during both training and execution, thereby enhancing the robustness and reliability of robotic manipulation. The proposed method was validated in both simulation and real-world scenarios. In complex orchard scenarios, the proposed AE-TD3 algorithm achieves a harvesting success rate of 77.1%, outperforming existing RRT (53.3%), DQN (60.9%), and TD3 (63.8%) methods. Furthermore, the method demonstrates superior safety and real-time performance, with a collision rate reduced to 16.2% and an average operation time of only 12.4 s. Results indicate that the framework effectively supports efficient harvesting operations while ensuring safety. Full article
(This article belongs to the Section Agricultural Technology)
Show Figures

Figure 1

30 pages, 1838 KB  
Article
IF-EMD-SPA: An Information Flow-Based Neighborhood Rough Set Approach for Attribute Reduction
by Chunying Zhang, Chen Chen, Guanghui Yang, Siwu Lan and Qingda Zhang
Appl. Sci. 2026, 16(6), 2789; https://doi.org/10.3390/app16062789 - 13 Mar 2026
Viewed by 100
Abstract
High-dimensional mixed data often lack a unified semantic representation for continuous and discrete attributes, which hinders mixed-attribute similarity modeling and can result in unstable reducts and overfitting in existing neighborhood rough set (NRS) methods. To address this issue, we propose IF-EMD-SPA, an attribute [...] Read more.
High-dimensional mixed data often lack a unified semantic representation for continuous and discrete attributes, which hinders mixed-attribute similarity modeling and can result in unstable reducts and overfitting in existing neighborhood rough set (NRS) methods. To address this issue, we propose IF-EMD-SPA, an attribute reduction method for NRS grounded in Information Flow theory. Unlike conventional NRS methods that rely on discretization or a single reduction criterion, IF-EMD-SPA first establishes a unified representation framework for heterogeneous attributes based on classifications and an Information Channel Core. It then integrates Earth Mover’s Distance (EMD) and Set Pair Analysis (SPA) to define a similarity metric for mixed attributes. In addition, a three-stage greedy reduction strategy is designed under the dual constraints of dependency preservation and structural error, consisting of dependency-driven forward selection, similarity-driven structure completion, and backward redundancy removal. Experiments on five UCI benchmark datasets and two high-dimensional gene expression datasets show that IF-EMD-SPA achieves average accuracies of 93.5% (k-Nearest Neighbors, KNN), 93.9% (Support Vector Machine, SVM), and 90.8% (Classification and Regression Trees, CART), with SVM achieving the best results on all seven datasets. Under CART, it reaches 100% accuracy on Wine and WPBC, improving performance by up to 37.5 percentage points over comparison methods. Full article
(This article belongs to the Special Issue Machine Learning-Based Feature Extraction and Selection: 2nd Edition)
Show Figures

Figure 1

21 pages, 709 KB  
Article
SBT-Rec: A Structured Behavioral Tokenization Framework for LLM-Based Sequential Recommendation
by Langgao Cheng, Yanying Mao, Guowang Li and Honghui Chen
Big Data Cogn. Comput. 2026, 10(3), 86; https://doi.org/10.3390/bdcc10030086 - 10 Mar 2026
Viewed by 133
Abstract
Generative recommendation systems based on Large Language Models leverage their reasoning capabilities to capture users’ latent interests. However, aligning continuous user behavioral embeddings with the discrete semantic space of LLMs remains a challenge. Direct alignment often leads to semantic mismatch and hallucination issues. [...] Read more.
Generative recommendation systems based on Large Language Models leverage their reasoning capabilities to capture users’ latent interests. However, aligning continuous user behavioral embeddings with the discrete semantic space of LLMs remains a challenge. Direct alignment often leads to semantic mismatch and hallucination issues. Furthermore, existing methods typically rely on multi-stage training strategies to adapt to variations in feature distributions, thereby limiting training efficiency. To address the aforementioned issues, we propose SBT-Rec, a structured behavioral tokenization framework. Specifically, we first design a hierarchical discrete structure discovery module, utilizing a recursive residual quantization mechanism to decompose continuous behavioral vectors into discrete behavioral atoms to resolve modality discrepancies. Second, the multi-scale behavioral semantic reconstruction module reconstructs behavioral representations via residual superposition, thereby reducing data noise. Third, a residual-aware modality distribution aligner is introduced to transform behavioral features into input tokens compatible with the LLM via non-linear mapping. Finally, based on structured discrete representations, we propose a single-stage behavioral-semantic adaptive optimization strategy, achieving end-to-end parameter-efficient fine-tuning. Experiments on the MovieLens, LastFM, and Steam datasets demonstrate that SBT-Rec outperforms existing baseline models in terms of recommendation accuracy, training efficiency, and noise robustness. Full article
(This article belongs to the Special Issue Multimodal Deep Learning and Its Applications)
Show Figures

Figure 1

22 pages, 3598 KB  
Article
Fractional Tchebichef-ResNet-SE: A Hybrid Deep Learning Framework Integrating Fractional Tchebichef Moments with Attention Mechanisms for Enhanced IoT Intrusion Detection
by Islam S. Fathi, Ahmed R. El-Saeed, Mohammed Tawfik and Gaber Hassan
Fractal Fract. 2026, 10(3), 172; https://doi.org/10.3390/fractalfract10030172 - 5 Mar 2026
Viewed by 182
Abstract
The Internet of Things (IoT) faces critical security challenges stemming from resource-constrained devices and inadequate intrusion detection capabilities. Traditional machine learning approaches struggle with high-dimensional network traffic data due to the curse of dimensionality, severe class imbalance between benign and malicious traffic, and [...] Read more.
The Internet of Things (IoT) faces critical security challenges stemming from resource-constrained devices and inadequate intrusion detection capabilities. Traditional machine learning approaches struggle with high-dimensional network traffic data due to the curse of dimensionality, severe class imbalance between benign and malicious traffic, and dependence on manual feature engineering that fails to capture complex non-linear attack patterns. Although deep neural networks offer automatic feature extraction, they suffer from two fundamental limitations: the degradation problem, where increasing network depth paradoxically raises training error rather than improving performance, and uniform channel weighting, which prevents the network from adaptively emphasizing attack-relevant features while suppressing irrelevant noise. This research proposes a novel hybrid framework integrating Fractional Tchebichef moment-based feature preprocessing with deep Residual Networks enhanced by Squeeze-and-Excitation (ResNet-SE) attention mechanisms. Fractional Tchebichef moments provide compact, noise-resistant representations by operating directly in the discrete domain, eliminating discretization errors inherent in continuous moment approaches. Network traffic features are transformed into 232 × 232 moment-based matrices capturing discriminative patterns across multiple scales. Comprehensive evaluation on Bot-IoT and Leopard Mobile IoT datasets demonstrates superior performance, achieving 99.78% accuracy and a 99.37% F1-score, substantially outperforming K-Nearest Neighbors (84.7%), Support Vector Machines (87.5%), and baseline CNNs (99.3%). Ablation studies confirm synergistic contributions, with residual connections contributing 0.18% and SE attention adding 0.14% improvements. Cross-dataset evaluation achieves 96.34% and 97.12% accuracy on UNSW-NB15 and IoT-Bot datasets without retraining, while the framework processes 127.9 samples per second across diverse attack taxonomies. Full article
(This article belongs to the Section Optimization, Big Data, and AI/ML)
Show Figures

Figure 1

21 pages, 1285 KB  
Article
Nonlinear Feature-Based MI Detection Supported by DWT and EMD on ECG: A High-Performance Decision Support Approach
by Ali Narin and Merve Keser
Biosensors 2026, 16(3), 150; https://doi.org/10.3390/bios16030150 - 4 Mar 2026
Viewed by 309
Abstract
Myocardial infarction (MI) is a life-threatening cardiovascular disorder caused by a partial or complete interruption of oxygenated blood flow to the myocardium, leading to high mortality rates if not diagnosed promptly. Although electrocardiogram (ECG) signals are widely used due to their non-invasive and [...] Read more.
Myocardial infarction (MI) is a life-threatening cardiovascular disorder caused by a partial or complete interruption of oxygenated blood flow to the myocardium, leading to high mortality rates if not diagnosed promptly. Although electrocardiogram (ECG) signals are widely used due to their non-invasive and low-cost nature, MI-specific abnormalities may be subtle and subject to inter-observer variability. Therefore, reliable artificial intelligence-based decision support systems are essential to enhance diagnostic classification accuracy. In this study, only the Lead II derivation from 12-lead ECG recordings of 52 healthy individuals and 148 MI patients was analyzed. To effectively characterize the non-stationary nature of ECG signals, a hybrid time–frequency feature extraction framework was employed. Five-level intrinsic mode functions and wavelet detail and approximation coefficients were obtained using Empirical Mode Decomposition and Discrete Wavelet Transform with a Daubechies-6 wavelet. From these components, 390 times, nonlinear and complexity-based features were extracted using 23 entropy-driven measures. Particle Swarm Optimization was applied to select the most discriminative feature subset, significantly enhancing classification performance. The optimized features were evaluated using Support Vector Machines, Artificial Neural Networks, k-Nearest Neighbors, and Bagged Tree classifiers. The Bagged Trees classifier achieved the best classification performance with an overall correct classification rate of 97.6%. The results demonstrate that the proposed hybrid feature representation combined with PSO-based selection provides a robust and reliable framework for MI detection, offering strong potential for clinical decision support applications. Full article
Show Figures

Figure 1

21 pages, 1379 KB  
Article
A Transformer-Based Semantic Encoding Framework for Quantitative Analysis of Large-Scale Textual Reviews
by Darjan Karabašević, Aleksandra Vujko, Vuk Mirčetić, Gabrijela Popović and Dragiša Stanujkić
Axioms 2026, 15(3), 175; https://doi.org/10.3390/axioms15030175 - 28 Feb 2026
Viewed by 280
Abstract
Increasing turbulence in contemporary business environments has made the quantitative analysis of unstructured textual data a central methodological challenge for researchers and decision-makers. The increasing availability of large-scale textual data has heightened the need for quantitative frameworks that can transform unstructured language into [...] Read more.
Increasing turbulence in contemporary business environments has made the quantitative analysis of unstructured textual data a central methodological challenge for researchers and decision-makers. The increasing availability of large-scale textual data has heightened the need for quantitative frameworks that can transform unstructured language into analyzable numerical representations. Transformer-based language models address this need by encoding text into high-dimensional semantic embeddings. Yet, these representations are commonly treated as black-box inputs for downstream tasks, with limited examination of their intrinsic numerical and geometric properties. The research in this manuscript addresses this gap by proposing a quantitative framework for analyzing transformer-based semantic embeddings as high-dimensional metric spaces prior to task-specific modeling. We employ an innovative methodological approach, considering vector norms regarding examining the dispersion of vector norms to detect concentration of measure, cosine similarity in the context of evaluating the distribution of pairwise cosines between vectors, and principal component analysis. For the purpose of the research, 3034 visitor-generated reviews related to national park experiences were used. Textual inputs are deterministically mapped into a normalized 384-dimensional embedding space using a transformer-based encoder. The analysis examines numerical stability through vector norm dispersion, semantic organization via cosine similarity distributions, variance structure using principal component analysis, and internal organization through unsupervised clustering validity metrics. Clustering is successful when high separation between clusters and high cohesion within clusters are achieved, which is why a single measure combining separation and cohesion metrics was proposed in the research. The results show almost perfect norm stability, backing up the choice of angular similarity as the right semantic metric. Variance decomposition and clustering results share a continuous high-dimensional semantic structure with no dominant latent components or clearly separable clusters. These results suggest that semantic meaning is best thought of as a continuous metric space rather than discrete categories, highlighting the need for representational diagnostics before predictive modeling. Full article
Show Figures

Figure 1

38 pages, 3458 KB  
Article
MERGE: Mammogram-Enhanced Representation via Wavelet-Guided CNNs for Computer-Aided Diagnosis of Breast Cancer
by Omneya Attallah
Mach. Learn. Knowl. Extr. 2026, 8(2), 40; https://doi.org/10.3390/make8020040 - 9 Feb 2026
Viewed by 417
Abstract
The early and accurate identification of breast cancer is a significant healthcare issue, largely because the traditional machine learning approaches rely on handcrafted features that are unable to fully capture the spatial and textural complexity found in mammograms. Even with the advancements made [...] Read more.
The early and accurate identification of breast cancer is a significant healthcare issue, largely because the traditional machine learning approaches rely on handcrafted features that are unable to fully capture the spatial and textural complexity found in mammograms. Even with the advancements made possible through deep learning and improvements in diagnostic performance, most computational-aided diagnosis (CAD) systems based on Convolutional Neural Networks (CNNs) still only rely on single-domain features, normally spatial features, while neglecting some important spectral and spatial–spectral features, leading to limitations in generalisability, redundancy, and loss of performative interpretability. Inspired by these limitations, this research proposes MERGE, a novel CAD framework that combines spatial, spectral, and spatial–spectral information—all part of a single multistage architecture taking advantage of three fine-tuned CNN models (ResNet-50, Xception, and Inception). This system utilises Discrete Stationary Wavelet Transform (DSWT) to enhance spectral–spatial features; Discrete Cosine Transform (DCT) to fuse the features optimally, resulting in enhanced spatial and spatial–spectral representations; and, finally, Non-Negative Matrix Factorisation (NNMF) for reduced-dimensional features. Finally, the Linear Discriminant Analysis (LDA), support vector machine (SVM), and k-nearest neighbours (KNN) classifiers provide a robust diagnosis. Using the INBreast and MIAS datasets in evaluations of the experimental research design, evaluation metrics of accuracy, sensitivity, specificity, and AUC were around 99%, with performance surpassing state-of-the-art paradigms. The findings of the suggested MERGE indicate significant promise as a dependable and effective diagnostic tool, enhancing the consistency and interpretability of breast cancer screening results. Full article
(This article belongs to the Section Learning)
Show Figures

Figure 1

30 pages, 30418 KB  
Article
Differentially Private Generative Modeling via Discrete Latent Projection
by Yinchi Ge, Hui Zhang and Haijun Yang
Mathematics 2026, 14(2), 388; https://doi.org/10.3390/math14020388 - 22 Jan 2026
Viewed by 307
Abstract
Deep generative models trained on sensitive data pose significant privacy risks, yet enforcing differential privacy (DP) in high-dimensional generators often leads to severe utility degradation. We propose Differentially Private Vector-Quantized Generation (DP-VQG), a three-stage generative framework that introduces a discrete latent bottleneck as [...] Read more.
Deep generative models trained on sensitive data pose significant privacy risks, yet enforcing differential privacy (DP) in high-dimensional generators often leads to severe utility degradation. We propose Differentially Private Vector-Quantized Generation (DP-VQG), a three-stage generative framework that introduces a discrete latent bottleneck as the interface for privacy preservation. DP-VQG separates geometric structure learning, differentially private discrete latent projection, and non-private prior modeling, ensuring that privacy-induced randomness operates on a finite codebook aligned with the decoder’s effective support. This design avoids off-support degradation while providing formal end-to-end DP guarantees through composition and post-processing. We provide a theoretical analysis of privacy and utility, including explicit bounds on privacy-induced distortion. Empirically, under the privacy budget of ε=10, DP-VQG attains Fréchet Inception Distance (FID) scores of 18.21 on MNIST and 77.09 on Fashion-MNIST, surpassing state-of-the-art differentially private generative models of comparable scale. Moreover, DP-VQG produces visually coherent samples on high-resolution datasets such as Flowers102, Food101, CelebA-HQ, and Cars, demonstrating scalability beyond prior end-to-end DP generative approaches. Full article
(This article belongs to the Section E1: Mathematics and Computer Science)
Show Figures

Figure 1

20 pages, 36648 KB  
Article
Global Lunar FeO Mapping via Wavelet–Autoencoder Feature Learning from M3 Hyperspectral Data
by Julia Fernández–Díaz, Fernando Sánchez Lasheras, Javier Gracia Rodríguez, Santiago Iglesias Álvarez, Antonio Luis Marqués Sierra and Francisco Javier de Cos Juez
Mathematics 2026, 14(2), 254; https://doi.org/10.3390/math14020254 - 9 Jan 2026
Viewed by 398
Abstract
Accurate global mapping of lunar iron oxide (FeO) abundance is essential for understanding the Moon’s geological evolution and for supporting future in situ resource utilization (ISRU). While hyperspectral data from the Moon Mineralogy Mapper (M3) provide a unique combination of high spectral dimensionality, [...] Read more.
Accurate global mapping of lunar iron oxide (FeO) abundance is essential for understanding the Moon’s geological evolution and for supporting future in situ resource utilization (ISRU). While hyperspectral data from the Moon Mineralogy Mapper (M3) provide a unique combination of high spectral dimensionality, hectometre-scale spatial resolution, and near-global coverage, existing FeO retrieval approaches struggle to fully exploit the high dimensionality, nonlinear spectral variability, and planetary-scale volume of the Global Mode dataset. To address these limitations, we present an integrated machine learning pipeline for estimating lunar FeO abundance from M3 hyperspectral observations. Unlike traditional methods based on raw reflectance or empirical spectral indices, the proposed framework combines Discrete Wavelet Transform (DWT), deep autoencoder-based feature compression, and ensemble regression to achieve robust and scalable FeO prediction. M3 spectra (83 bands, 475–3000 nm) are transformed using a Daubechies-4 (db4) DWT to extract 42 representative coefficients per pixel, capturing the dominant spectral information while filtering high-frequency noise. These features are further compressed into a six-dimensional latent space via a deep autoencoder and used as input to a Random Forest regressor, which outperforms kernel-based and linear Support Vector Regression (SVR) as well as Lasso regression in predictive accuracy and stability. The proposed model achieves an average prediction error of 1.204 wt.% FeO and demonstrates consistent performance across diverse lunar geological units. Applied to 806 orbital tracks (approximately 3.5×109 pixels), covering more than 95% of the lunar surface, the pipeline produces a global FeO abundance map at 150 m per pixel resolution. These results demonstrate the potential of integrating multiscale wavelet representations with nonlinear feature learning to enable large-scale, geochemically constrained planetary mineral mapping. Full article
Show Figures

Figure 1

25 pages, 10798 KB  
Article
BERTSC: A Multi-Modal Fusion Framework for Stablecoin Phishing Detection Based on Graph Convolutional Networks and Soft Prompt Encoding
by Weixin Xie, Qihao Chen, Kexin Zhu, Chen Feng and Zhide Chen
Electronics 2026, 15(1), 179; https://doi.org/10.3390/electronics15010179 - 30 Dec 2025
Viewed by 407
Abstract
As stablecoins become increasingly prevalent in financial crimes, their usage for illicit activities has reached a scale of USD 51.3 billion. Detecting phishing activities within stablecoin transactions has emerged as a critical challenge in blockchain security. Currently, existing detection methods predominantly target mainstream [...] Read more.
As stablecoins become increasingly prevalent in financial crimes, their usage for illicit activities has reached a scale of USD 51.3 billion. Detecting phishing activities within stablecoin transactions has emerged as a critical challenge in blockchain security. Currently, existing detection methods predominantly target mainstream cryptocurrencies like Ethereum and lack specialized models tailored to the unique transaction patterns of stablecoin networks. This paper introduces a deep learning framework, BERTSC, based on multi-modal fusion. The model integrates three core modules graph convolutional networks (GCNs), BERT semantic encoders, and soft prompt encoders to identify malicious accounts. The GCN constructs directed multi-graph representations of account interactions, incorporating multi-dimensional edge features; the BERT encoder transforms discrete transaction attributes into semantically rich continuous vector representations; the soft prompt encoder maps account interaction features into learnable prompt vectors. An innovative three-way gated dynamic fusion mechanism optimally combines the information from these sources. The fused features are then classified to predict phishing account labels, facilitating the detection of phishing scams in stablecoin transaction datasets. Experimental results on large-scale stablecoin datasets demonstrate that BERTSC outperforms baseline models, achieving improvements of 4.96%, 3.60%, and 4.23% in Precision, Recall, and F1-score, respectively. Ablation studies validate the effectiveness of each module and confirm the necessity and superiority of the three-way gating fusion mechanism. This research offers a novel technical approach for phishing detection within blockchain stablecoin ecosystems. Full article
Show Figures

Figure 1

16 pages, 2030 KB  
Article
Chinese Text Readability Assessment Based on the Integration of Visualized Part-of-Speech Information with Linguistic Features
by Chi-Yi Hsieh, Jing-Yan Lin, Chi-Wen Hsieh, Bo-Yuan Huang, Yi-Chi Huang and Yu-Xiang Chen
Algorithms 2025, 18(12), 777; https://doi.org/10.3390/a18120777 - 9 Dec 2025
Viewed by 777
Abstract
The assessment of Chinese text readability plays a significant role in Chinese language education. Due to the intrinsic differences between alphabetic languages and Chinese character representations, the readability assessment becomes more challenging in terms of the language’s inherent complexity in vocabulary, syntax, and [...] Read more.
The assessment of Chinese text readability plays a significant role in Chinese language education. Due to the intrinsic differences between alphabetic languages and Chinese character representations, the readability assessment becomes more challenging in terms of the language’s inherent complexity in vocabulary, syntax, and semantics. The article proposed the conceptual analogy between Chinese readability assessment and music’s rhythm and tempo patterns, in which the syntactic structures of the Chinese sentences could be transformed into an image. The Chinese Knowledge and Information Processing Tagger (CkipTagger) tool developed by Sinica-Taiwan is utilized to decompose the Chinese text into a set of tokens. These tokens are then refined through a user-defined token pool to retain meaningful units. An image with part-of-speech (POS) information will be generated by using the token versus syntax alignment. A discrete cosine transform (DCT) is then applied to extract the temporal characteristics of the text. Moreover, the study integrated four categories: linguistic features–type–token ratio, average sentence length, total word, and difficulty level of vocabulary for the readability assessment. Finally, these features were fed into the Support Vector Machine (SVM) network for the classifications. Furthermore, a bidirectional long short-term memory (Bi-LSTM) network is adopted for quantitative comparisons. In simulation, a total of 774 Chinese texts fitted with Taiwan Benchmarks for the Chinese Language were selected and graded by Chinese language experts, consisting of equal amounts of basic, intermediate, and advanced levels. The finding indicated the proposed POS with the linguistic features work well in the SVM network, and the performance matches with the more complex architectures like the Bi-LSTM network in Chinese readability assessments. Full article
(This article belongs to the Topic Applications of NLP, AI, and ML in Software Engineering)
Show Figures

Figure 1

20 pages, 1149 KB  
Article
Multivariate Frequency and Amplitude Estimation for Unevenly Sampled Data Using and Extending the Lomb–Scargle Method
by Martin Seilmayer, Thomas Wondrak and Ferran Garcia
Sensors 2025, 25(21), 6535; https://doi.org/10.3390/s25216535 - 23 Oct 2025
Cited by 1 | Viewed by 1326
Abstract
The Lomb–Scargle method (LSM) constitutes a robust method for frequency and amplitude estimation in cases where data exhibit irregular or sparse sampling. Conventional spectral analysis techniques, such as the discrete Fourier transform (FT) and wavelet transform, rely on orthogonal mode decomposition and are [...] Read more.
The Lomb–Scargle method (LSM) constitutes a robust method for frequency and amplitude estimation in cases where data exhibit irregular or sparse sampling. Conventional spectral analysis techniques, such as the discrete Fourier transform (FT) and wavelet transform, rely on orthogonal mode decomposition and are inherently constrained when applied to non-equidistant or fragmented datasets, leading to significant estimation biases. The classical LSM, originally formulated for univariate time series, provides a statistical estimator that does not assume a Fourier series representation. In this work, we extend the LSM to multivariate datasets by redefining the shifting parameter τ to preserve the orthogonality of trigonometric basis functions in Rn. This generalization enables simultaneous estimation of the frequency, phase, and amplitude vectors while maintaining the statistical advantages of the LSM, including consistency and noise robustness. We demonstrate its application to solar activity data, where sunspots serve as intrinsic markers of the solar dynamo process. These observations constitute a randomly sampled two-dimensional binary dataset, whose characteristic frequencies are identified and compared with the results of solar research. Additionally, the proposed method is applied to an ultrasound velocity profile measurement setup, yielding a three-dimensional velocity dataset with correlated missing values and significant temporal jitter. We derive confidence intervals for parameter estimation and conduct a comparative analysis with FT-based approaches. Full article
(This article belongs to the Section Intelligent Sensors)
Show Figures

Figure 1

24 pages, 6314 KB  
Article
CDFAN: Cross-Domain Fusion Attention Network for Pansharpening
by Jinting Ding, Honghui Xu and Shengjun Zhou
Entropy 2025, 27(6), 567; https://doi.org/10.3390/e27060567 - 27 May 2025
Cited by 1 | Viewed by 1491
Abstract
Pansharpening provides a computational solution to the resolution limitations of imaging hardware by enhancing the spatial quality of low-resolution hyperspectral (LRMS) images using high-resolution panchromatic (PAN) guidance. From an information-theoretic perspective, the task involves maximizing the mutual information between PAN and LRMS inputs [...] Read more.
Pansharpening provides a computational solution to the resolution limitations of imaging hardware by enhancing the spatial quality of low-resolution hyperspectral (LRMS) images using high-resolution panchromatic (PAN) guidance. From an information-theoretic perspective, the task involves maximizing the mutual information between PAN and LRMS inputs while minimizing spectral distortion and redundancy in the fused output. However, traditional spatial-domain methods often fail to preserve high-frequency texture details, leading to entropy degradation in the resulting images. On the other hand, frequency-based approaches struggle to effectively integrate spatial and spectral cues, often neglecting the underlying information content distributions across domains. To address these shortcomings, we introduce a novel architecture, termed the Cross-Domain Fusion Attention Network (CDFAN), specifically designed for the pansharpening task. CDFAN is composed of two core modules: the Multi-Domain Interactive Attention (MDIA) module and the Spatial Multi-Scale Enhancement (SMCE) module. The MDIA module utilizes discrete wavelet transform (DWT) to decompose the PAN image into frequency sub-bands, which are then employed to construct attention mechanisms across both wavelet and spatial domains. Specifically, wavelet-domain features are used to formulate query vectors, while key features are derived from the spatial domain, allowing attention weights to be computed over multi-domain representations. This design facilitates more effective fusion of spectral and spatial cues, contributing to superior reconstruction of high-resolution multispectral (HRMS) images. Complementing this, the SMCE module integrates multi-scale convolutional pathways to reinforce spatial detail extraction at varying receptive fields. Additionally, an Expert Feature Compensator is introduced to adaptively balance contributions from different scales, thereby optimizing the trade-off between local detail preservation and global contextual understanding. Comprehensive experiments conducted on standard benchmark datasets demonstrate that CDFAN achieves notable improvements over existing state-of-the-art pansharpening methods, delivering enhanced spectral–spatial fidelity and producing images with higher perceptual quality. Full article
(This article belongs to the Section Signal and Data Analysis)
Show Figures

Figure 1

23 pages, 1669 KB  
Article
The Fast Discrete Tchebichef Transform Algorithms for Short-Length Input Sequences
by Aleksandr Cariow and Marina Polyakova
Signals 2025, 6(2), 23; https://doi.org/10.3390/signals6020023 - 9 May 2025
Cited by 1 | Viewed by 3535
Abstract
In this article, the fast algorithms for the discrete Tchebichef transform (DTT) are proposed for input sequences of lengths in the range from 3 to 8. At present, DTT is widely applied in signal processing, image compression, and video coding. The review of [...] Read more.
In this article, the fast algorithms for the discrete Tchebichef transform (DTT) are proposed for input sequences of lengths in the range from 3 to 8. At present, DTT is widely applied in signal processing, image compression, and video coding. The review of the articles related to fast DTT algorithms has shown that such algorithms are mainly developed for input signal lengths 4 and 8. However, several problems exist for which signal and image processing with different apertures is required. To avoid this shortcoming, the structural approach and a sparse matrix factorization are applied in this paper to develop fast real DTT algorithms for short-length input signals. According to the structural approach, the rows and columns of the transform matrix are rearranged, possibly by changing the signs of some rows or columns. Next, the matched submatrix templates are extracted from the matrix structure and decomposed into a matrix product to construct the factorization of an initial matrix. A sparse matrix factorization assumes that the butterfly architecture can be extracted from the transform matrix. Combining the structural approach with a sparse matrix factorization, we obtained the matrix representation with reduced computational complexity. Based on the obtained matrix representation, the fast algorithms were developed for the real DTT via the data flow graphs. The fast algorithms for integer DTT can be easily obtained using the constructed data flow graphs. To confirm the correctness of the designed algorithms, the MATLAB R2023b software was applied. The constructed factorizations of the real DTT matrices reduce the number of multiplication operations by 78% on average compared to the direct matrix-vector product at signal lengths in the range from 3 to 8. The number of additions decreased by 5% on average within the same signal length range. Full article
Show Figures

Figure 1

23 pages, 4664 KB  
Article
A Hybrid Machine Learning Framework for Early Fault Detection in Power Transformers Using PSO and DMO Algorithms
by Mohammed Alenezi, Fatih Anayi, Michael Packianather and Mokhtar Shouran
Energies 2025, 18(8), 2024; https://doi.org/10.3390/en18082024 - 15 Apr 2025
Cited by 6 | Viewed by 2261
Abstract
The early detection of faults in power transformers is crucial for ensuring operational reliability and minimizing system disruptions. This study introduces a novel machine learning framework that integrates Particle Swarm Optimization (PSO) and Dwarf Mongoose Optimization (DMO) algorithms for feature selection and hyperparameter [...] Read more.
The early detection of faults in power transformers is crucial for ensuring operational reliability and minimizing system disruptions. This study introduces a novel machine learning framework that integrates Particle Swarm Optimization (PSO) and Dwarf Mongoose Optimization (DMO) algorithms for feature selection and hyperparameter tuning, combined with advanced classifiers such as Decision Trees (DT), Random Forests (RF), and Support Vector Machines (SVM). A 5-fold cross-validation approach was employed to ensure a robust performance evaluation. Feature extraction was performed using both Discrete Wavelet Decomposition (DWD) and Matching Pursuit (MP), providing a comprehensive representation of the dataset comprising 2400 samples and 41 extracted features. Experimental validation demonstrated the efficacy of the proposed framework. The PSO-optimized RF model achieved the highest accuracy of 97.71%, with a precision of 98.02% and an F1 score of 98.63%, followed by the PSO-DT model with a 95.00% accuracy. Similarly, the DMO-optimized RF model recorded an accuracy of 98.33%, with a precision of 98.80% and an F1 score of 99.04%, outperforming other DMO-based classifiers. This novel framework demonstrates significant advancements in transformer protection by enabling accurate and early fault detection, thereby enhancing the reliability and safety of power systems. Full article
(This article belongs to the Section F: Electrical Engineering)
Show Figures

Figure 1

Back to TopTop