Sign in to use this feature.

Years

Between: -

Subjects

remove_circle_outline
remove_circle_outline
remove_circle_outline
remove_circle_outline
remove_circle_outline
remove_circle_outline
remove_circle_outline
remove_circle_outline
remove_circle_outline

Journals

remove_circle_outline
remove_circle_outline
remove_circle_outline
remove_circle_outline
remove_circle_outline
remove_circle_outline
remove_circle_outline
remove_circle_outline
remove_circle_outline
remove_circle_outline
remove_circle_outline
remove_circle_outline
remove_circle_outline
remove_circle_outline
remove_circle_outline
remove_circle_outline
remove_circle_outline
remove_circle_outline
remove_circle_outline
remove_circle_outline
remove_circle_outline
remove_circle_outline
remove_circle_outline
remove_circle_outline
remove_circle_outline
remove_circle_outline

Article Types

Countries / Regions

remove_circle_outline
remove_circle_outline
remove_circle_outline
remove_circle_outline
remove_circle_outline
remove_circle_outline
remove_circle_outline
remove_circle_outline

Search Results (1,176)

Search Parameters:
Keywords = differential cross section

Order results
Result details
Results per page
Select all
Export citation of selected articles as:
14 pages, 1055 KB  
Article
Growth Differentiation Factor-15 as a Biomarker of Diabetic Complications in Patients with Type 2 Diabetes
by Diana Nikolova, Savelia Yordanova, Zdravko Kamenov, Julieta Hristova and Antoaneta Trifonova Gateva
J. Clin. Med. 2026, 15(8), 2908; https://doi.org/10.3390/jcm15082908 (registering DOI) - 11 Apr 2026
Abstract
Background: Growth differentiation factor-15 (GDF-15) is a stress-responsive cytokine associated with inflammation, metabolic dysfunction, and cardiovascular disease. Its role as a biomarker of microvascular complications in type 2 diabetes (T2D) remains incompletely defined. Objective: To evaluate circulating GDF-15 levels and their association with [...] Read more.
Background: Growth differentiation factor-15 (GDF-15) is a stress-responsive cytokine associated with inflammation, metabolic dysfunction, and cardiovascular disease. Its role as a biomarker of microvascular complications in type 2 diabetes (T2D) remains incompletely defined. Objective: To evaluate circulating GDF-15 levels and their association with microvascular complications in patients with T2D. Methods: This cross-sectional study included 160 participants divided into three groups: T2D (n = 93), obesity without carbohydrate disorders (n = 36), and healthy controls (n = 31). Microvascular complications (neuropathy, nephropathy, retinopathy) were assessed. Multivariable logistic regression and receiver operating characteristic (ROC) analysis were performed. Results: GDF-15 levels were significantly higher in T2D compared with non-diabetic individuals (267.5 ± 168.9 vs. 118.3 ± 55.5 pg/mL, p < 0.001). Higher GDF-15 was associated with neuropathy (odds ratio (OR) 1.985; 95% confidence interval (CI) 1.431–2.753) and nephropathy (OR 1.673; 95% CI 1.243–2.254) in unadjusted models. After adjustment, only nephropathy remained independently associated (OR 1.405; 95% CI 1.026–1.923). ROC analysis showed moderate discriminative ability for nephropathy (area under the curve (AUC) = 0.763). Conclusions: Circulating GDF-15 levels are significantly elevated in patients with T2D and are associated with microvascular complications, with the strongest independent association observed for diabetic nephropathy. These findings suggest that GDF-15 may represent a promising biomarker reflecting metabolic stress and risk of diabetic complications. Full article
(This article belongs to the Section Endocrinology & Metabolism)
Show Figures

Figure 1

17 pages, 1622 KB  
Article
Blood–Brain Network-Based Polygenic Risk Scores Reveal Biomarker Signatures and the Progression of Alzheimer’s Disease
by Daniel Goldstein, Nathan Sahelijo, Dhawal Priyadarshi, Rebecca Panitch, Kwangsik Nho, Lindsay A. Farrer, Thor D. Stein and Gyungah R. Jun
J. Clin. Med. 2026, 15(8), 2885; https://doi.org/10.3390/jcm15082885 - 10 Apr 2026
Abstract
Background: Polygenic risk scores for Alzheimer’s disease (AD), organized by gene networks shared between the blood and brain, may provide insights into underlying disease mechanisms common to both tissues. Methods: We derived a blood–brain network-based polygenic risk score (nbPRS) from AD-associated genetic variants [...] Read more.
Background: Polygenic risk scores for Alzheimer’s disease (AD), organized by gene networks shared between the blood and brain, may provide insights into underlying disease mechanisms common to both tissues. Methods: We derived a blood–brain network-based polygenic risk score (nbPRS) from AD-associated genetic variants for three blood-brain networks, selected by the preservation of blood and brain gene co-expression networks, and AD association. Participants from the Alzheimer’s Disease Neuroimaging Initiative (ADNI, n = 1109), Framingham Heart Study (FHS, n = 8310), the Religious Orders Study Memory Aging Project (ROSMAP, n = 1215), and Mount Sinai Brain Bank (MSBB, n = 323) were stratified into low- and high-nbPRS subgroups, then profiled using longitudinal and cross-sectional data. We compared the conversion from normal cognition to AD between nbPRS subgroups. Genes differentially expressed among low- and high-nbPRS individuals were profiled with classical neuropathological markers and we investigated potential biologically relevant pathways for the genes significantly expressed in high-risk individuals. Results: Individuals with high nbPRS in three AD-associated networks (M2, M6, M14) demonstrated significant impairment in executive function and memory performance, whereas high-risk individuals in networks M2 and M14 had significantly reduced hippocampal volume. We observed high-risk individuals in M2 and M14 developed AD at twice the rate of low-risk individuals in these networks. HLA genes were differentially expressed with transcriptome-wide significance among low- and high-nbPRS individuals in M14 and associated with neuroinflammatory and tau pathology. Conclusions: Polygenic risk scores derived from blood and brain networks can differentiate individuals with a high risk of AD conversion. Full article
(This article belongs to the Section Clinical Neurology)
Show Figures

Figure 1

18 pages, 9125 KB  
Article
Differential Expression of microRNAs in Obese Mexican Children: Links to Insulin Resistance and Dyslipidemia
by Alejandra Contreras-Ramos, Guadalupe Díaz-Rosas, Miguel Cruz, Ana Nava-Cabrera, Miguel Vazquez-Moreno, Omar Gómez-Acuña, Ana María Guerrero-Ortiz, Carmen Domínguez-Hernández, Aleyda Pérez-Herrera, Rosalinda Jiménez-Aguilar, Jaime Goméz-Zamudio, Francisco Javier Gaytán-Cervantes, Miguel Ángel Cid-Soto, Carolina González-Torres and Clara Ortega-Camarillo
Int. J. Mol. Sci. 2026, 27(8), 3396; https://doi.org/10.3390/ijms27083396 - 10 Apr 2026
Abstract
To analyze, in an analytical cross-sectional observational study, the relationship between the plasma microRNA (miRNA) expression profile in children living with obesity and their metabolic health status. Based on body mass index percentiles (BMIp), the children were grouped into a control group (C) [...] Read more.
To analyze, in an analytical cross-sectional observational study, the relationship between the plasma microRNA (miRNA) expression profile in children living with obesity and their metabolic health status. Based on body mass index percentiles (BMIp), the children were grouped into a control group (C) or an obesity group (Ob). Glucose, insulin, and low- and high-density lipoproteins (LDLs and HDLs, respectively), triacylglycerols (TG), and total cholesterol (TC) were measured. RNA from plasma was used for miRNA sequencing analysis (NextSeq 2000 platform). Differential miRNA expression was determined using counts obtained from the reference genome. Fifty controls (BMIp: 50.4 ± 23) and fifty children with obesity (BMIp: 97.54 ± 1.46) were included. The obese group presented hyperinsulinemia and insulin resistance. Sequencing revealed nine underexpressed and six overexpressed miRNAs in the obese group. In silico analysis suggested that these miRNAs may participate in regulating insulin secretion, protein synthesis, apoptosis, and the glycolytic pathway in pancreatic β-cells. Childhood obesity was associated with altered circulating levels of microRNAs linked to glucose metabolism, insulin resistance (IR) and β-cell survival. Reduced plasma levels of miR-126-3p, let-7a-5p, and miR-16-5p showed a high predictive value for hypertriglyceridemia and insulin resistance, indicating their potential relevance as early biomarkers or therapeutic targets in pediatric metabolic dysfunction. Full article
Show Figures

Figure 1

12 pages, 416 KB  
Article
Ionization in C6++He Collisions: Singly Differential Cross-Sections
by Sh. U. Alladustov, K. H. Spicer, N. W. Antonio, A. M. Kotian and A. S. Kadyrov
Atoms 2026, 14(4), 31; https://doi.org/10.3390/atoms14040031 - 9 Apr 2026
Abstract
Differential ionization in C6++He collisions is investigated using the single- and two-center wave-packet convergent close-coupling (WP-CCC) method for projectile energies of 1–6 MeV/u. We present three types of singly differential cross-sections (SDCSs) as functions of the ejection angle, ejection [...] Read more.
Differential ionization in C6++He collisions is investigated using the single- and two-center wave-packet convergent close-coupling (WP-CCC) method for projectile energies of 1–6 MeV/u. We present three types of singly differential cross-sections (SDCSs) as functions of the ejection angle, ejection energy, and projectile scattering angle. The two-center framework incorporates couplings across all channels as well as electron correlations. Overall, both the single- and two-center WP-CCC results agree well with existing experimental and theoretical data (apart from the first Born ones) for the SDCS as a function of electron energy and the SDCS as a function of ejection angle, laying a foundation for investigation of doubly and fully differential ionization cross-sections. The cross-sections differential in the projectile scattering angle are presented for the first time. Full article
(This article belongs to the Special Issue Electronic Dynamics in Atomic and Molecular Collisions)
14 pages, 864 KB  
Article
Current Difficulties for General Practitioners in the Diagnosis and Management of Long COVID Patients: A Cross-Sectional Study Assessing an Online Questionnaire
by Cléa Le Breton, Timothée Klopfenstein and Souheil Zayet
J. Clin. Med. 2026, 15(8), 2855; https://doi.org/10.3390/jcm15082855 - 9 Apr 2026
Abstract
Background: Long COVID presents a novel and emerging public health challenge. As the first point of contact, general practitioners (GPs) play a key role in diagnosing and coordinating the care of patients presenting with post-acute sequelae of COVID-19 (PASC), despite a lack of [...] Read more.
Background: Long COVID presents a novel and emerging public health challenge. As the first point of contact, general practitioners (GPs) play a key role in diagnosing and coordinating the care of patients presenting with post-acute sequelae of COVID-19 (PASC), despite a lack of experience. This study aimed to identify the main difficulties encountered by GPs in Franche-Comté, France, in managing adult outpatients with long COVID. Methods: We conducted a cross-sectional survey using an anonymous online questionnaire, which contained 21 questions and was distributed to GPs in Franche-Comté, France. The survey assessed definition, diagnostic and therapeutic challenges in managing long COVID. Results: Among the 410 questionnaires distributed, 90 general practitioners (GPs) responded (response rate: 21.9%). The mean age of participants was 34 ± 10 years, and 64.4% were women (n = 58). Regarding knowledge of long COVID, three participants (3.3%) did not recognize it as a distinct clinical entity, while more than half (58.9%, n = 53) reported insufficient knowledge. The main challenges identified were therapeutic management (76.7%, n = 69) and diagnosis (75.6%, n = 68). Only 4.5% of respondents (n = 4) reported no difficulty in defining post-acute sequelae of SARS-CoV-2 infection (PASC). The most frequently reported diagnostic difficulty was distinguishing long COVID from differential diagnoses (93.3%, n = 83/89), particularly fibromyalgia (94.3%, n = 83/88). Only 37.1% of participants (n = 33/89) reported actively following up patients with PASC. During initial management, the main challenge was the difficulty in objectively assessing patients’ complaints using available diagnostic tools (80.7%, n = 67/83). Additionally, a large majority of GPs reported difficulties in addressing patients’ questions (86.7%, n = 72/83) and managing associated anxiety disorders (75.9%, n = 63/83). Conclusions: These findings highlight the immediate need to enhance GP training in Franche-Comté, France, in dealing with long COVID. Improvements such as harmonizing long COVID definitions, testing diagnoses, and strengthening interdisciplinary coordination are essential to provide coherent and patient-centered care for this disease. Full article
(This article belongs to the Section Infectious Diseases)
Show Figures

Figure 1

20 pages, 1830 KB  
Article
Sexual Dimorphism in the Association Between Vitamin D and Depressive Symptoms in Diabetic Patients and the Mediating Role of BMI: A Cross-Sectional Study
by Miriam Hernández-López, Rafael Ramírez-Carracedo, Mónica Grande-Alonso, Alba Sebastián-Martín and Rafael Moreno-Gómez-Toledano
Diabetology 2026, 7(4), 77; https://doi.org/10.3390/diabetology7040077 - 9 Apr 2026
Abstract
Background: The interplay between vitamin D deficiency, obesity, and depressive symptoms in type 2 diabetes remains poorly understood. Potential sex-specific differences in these associations have not been fully explored. Methods: We conducted a cross-sectional analysis of patients with type 2 diabetes [...] Read more.
Background: The interplay between vitamin D deficiency, obesity, and depressive symptoms in type 2 diabetes remains poorly understood. Potential sex-specific differences in these associations have not been fully explored. Methods: We conducted a cross-sectional analysis of patients with type 2 diabetes (N = 917) from the NHANES 2017–2018 cycle. Restricted cubic spline models were used to assess potential non-linear associations between serum 25-hydroxyvitamin D3 and PHQ-9 depression scores. Regression-based mediation analysis was performed to estimate total, direct, and indirect associations, with body mass index (BMI) considered as a potential mediator. Models were adjusted for relevant demographic and cardiometabolic covariates. Results: In the overall diabetic cohort, higher vitamin D levels were modestly associated with lower depressive symptom scores. Mediation analysis suggested that this association was statistically accounted for by BMI. In sex-stratified analyses, significant total and indirect associations were observed among men, with a remaining direct association after adjustment for BMI, whereas no statistically significant associations were detected among women. Formal interaction testing supported differential association patterns by sex. Conclusions: Among adults with type 2 diabetes, serum vitamin D levels were inversely associated with depressive symptoms, with evidence suggesting sex-specific association patterns. These findings warrant further investigation in prospective studies to clarify potential underlying mechanisms and clinical implications. Full article
Show Figures

Figure 1

28 pages, 2083 KB  
Article
Agrarian Structure in a Small Island Region: A Typological and Spatial Analysis of Agricultural Systems in Madeira Island
by Matheus Koengkan, José Alberto Fuinhas and Iyabo Olanrele
Sustainability 2026, 18(7), 3545; https://doi.org/10.3390/su18073545 - 3 Apr 2026
Viewed by 401
Abstract
Madeira’s agricultural sector is characterised by pronounced structural heterogeneity, land fragmentation, and increasing socio-economic and environmental pressures. However, comprehensive typological and spatial analyses remain limited, particularly in small island contexts. This study addresses this gap by providing a typological and spatial analysis of [...] Read more.
Madeira’s agricultural sector is characterised by pronounced structural heterogeneity, land fragmentation, and increasing socio-economic and environmental pressures. However, comprehensive typological and spatial analyses remain limited, particularly in small island contexts. This study addresses this gap by providing a typological and spatial analysis of the agrarian structure in the Autonomous Region of Madeira, Portugal, using 2019 Agricultural Census data. An integrated framework combining Principal Component Analysis (PCA), Partitioning Around Medoids (PAM) clustering, and Random Forest validation—representing a novel approach in agrarian typology studies—is employed to identify three agricultural models: Intensive Subtropical Agriculture (24.1% of parishes), characterised by small holdings and high labour intensity; Extensive Traditional Agriculture (64.8%), featuring moderate farm size and diversified cropping; and Pasture-based Agriculture (11.1%), dominated by larger farms and low labour input. The results confirm significant structural trade-offs, including a strong inverse relationship between farm size and labour intensity (r = −0.653) and a negative correlation between specialisation and crop diversity (r = −0.673). Spatially, the models exhibit clear territorial differentiation, with subtropical systems concentrated in southern coastal areas and traditional systems prevailing in northern and interior regions. These findings support the hypothesis of a hybrid agrarian transition. Despite relying on cross-sectional data, the results provide a robust basis for targeted and place-based policy design within the Common Agricultural Policy (CAP) framework. Full article
Show Figures

Figure 1

18 pages, 1153 KB  
Systematic Review
Quantitative Ultrasound SWE of Carotid Plaque in Symptomatic and Asymptomatic Patients: A Systematic Review and Meta-Analysis
by Salahaden R. Sultan, Faisal Albin Hajji, Muyaser Fatani, Ahmad Albngali, Abrar Alfatni, Amal Alsalamah, Reem T. Alturki, Abdullah M. Abdullah, Reda Jamjoom, Mohammad Khalil, Mohammed Alkharaiji and Adel Alzahrani
Diagnostics 2026, 16(7), 1085; https://doi.org/10.3390/diagnostics16071085 - 3 Apr 2026
Viewed by 291
Abstract
Background/Objectives: Ultrasound shear-wave elastography (SWE) enables quantitative assessment of tissue stiffness and may provide a non-invasive biomarker of carotid plaque vulnerability. This study aimed to evaluate the ability of SWE to differentiate symptomatic from asymptomatic carotid plaques and to assess its reproducibility. Methods: [...] Read more.
Background/Objectives: Ultrasound shear-wave elastography (SWE) enables quantitative assessment of tissue stiffness and may provide a non-invasive biomarker of carotid plaque vulnerability. This study aimed to evaluate the ability of SWE to differentiate symptomatic from asymptomatic carotid plaques and to assess its reproducibility. Methods: A systematic search of PubMed, Web of Science, EMBASE, and the Cochrane Library was conducted in the last ten years until January 2026 for publications evaluating carotid plaques using ultrasound SWE. Inclusion criteria required original publications that used quantitative ultrasound SWE parameters for the evaluation of carotid plaque in symptomatic and asymptomatic patients and/or investigated the reproducibility of SWE parameters for carotid plaques; non-carotid studies, non-original articles, and studies not comparing symptomatic versus asymptomatic plaques or not reporting reproducibility were excluded. Fourteen studies comprising 1781 carotid plaques were included. Quantitative SWE measurements were meta-analyzed using random effects. Differences between symptomatic and asymptomatic plaques were assessed using standardized mean differences (SMDs). The reproducibility of SWE measurements was evaluated using pooled correlation coefficients. Publication bias was evaluated using funnel plots and Egger’s regression test. Results: Ten studies including 1246 plaques compared SWE stiffness between symptomatic (n = 472) and asymptomatic plaques (n = 774). The meta-analysis demonstrated significantly lower stiffness values in symptomatic plaques compared with asymptomatic plaques (SMD −1.10, p < 0.001). Reproducibility analysis of correlation coefficients extracted from seven studies demonstrated excellent agreement for SWE measurements (r = 0.92, n = 602). Heterogeneity was observed across the included studies. No statistically significant evidence of publication bias was detected. Conclusions: Ultrasound SWE is a promising approach for assessing carotid plaque vulnerability, with lower SWE stiffness observed in symptomatic plaques compared to asymptomatic plaques. This finding should be interpreted with consideration of methodological heterogeneity and the cross-sectional nature of the available assessed evidence. Further prospective studies with standardized imaging protocols and longitudinal follow-up are needed to determine clinically applicable stiffness thresholds and evaluate the prognostic value of ultrasound SWE in cerebrovascular risk stratification. Full article
(This article belongs to the Special Issue Advanced Ultrasound Techniques in Diagnosis)
Show Figures

Figure 1

10 pages, 1173 KB  
Brief Report
Skin Microbiome Patterns Associated with Basal Cell Carcinoma: A Case Series
by Mavra Masood, David Ozog, Tengfei Ma, Marissa Ceresnie, Aunna Pourang, Christine C. Johnson, Xinyue Qiu, Albert Levin and Jesse Veenstra
Microorganisms 2026, 14(4), 822; https://doi.org/10.3390/microorganisms14040822 - 3 Apr 2026
Viewed by 241
Abstract
Basal cell carcinoma (BCC) is the most common malignancy worldwide, yet the role of the skin microbiome in BCC remains poorly defined. In this cross-sectional observational case series, we compared the cutaneous microbiome of BCC lesions with matched perilesional and control skin using [...] Read more.
Basal cell carcinoma (BCC) is the most common malignancy worldwide, yet the role of the skin microbiome in BCC remains poorly defined. In this cross-sectional observational case series, we compared the cutaneous microbiome of BCC lesions with matched perilesional and control skin using whole-genome shotgun sequencing in an intra-patient, multi-site sampling design. BCC samples demonstrated reduced microbial richness and significant shifts in community composition compared with matched control skin. Specifically, BCC lesions exhibited significantly lower Chao1 diversity (β = −484.6, 95% CI: −772.1 to −197.2, p = 0.003). Differences in overall microbial composition were confirmed by PERMANOVA analysis based on Bray–Curtis and Jaccard distance metrics (R2 = 12.6% and 9.7%, respectively; both p = 0.01). At the species level, Cutibacterium acnes was significantly reduced in BCC samples compared with controls (β = −0.31, 95% CI: −0.45 to −0.16, p = 0.0004), corresponding to an approximately 27% lower geometric mean relative abundance. Functional profiling suggested shifts in microbial metabolic potential, with pathways related to redox balance and lipid-associated processes differentially represented in BCC samples relative to controls. Together, these findings demonstrate that BCC lesions are associated with localized alterations in microbial diversity, community composition, and inferred functional potential. These results support the presence of a tumor-associated microbiome signature in BCC; however, further studies in larger and more diverse cohorts are needed to determine whether these changes contribute to tumor development or reflect adaptation to the tumor microenvironment. Full article
(This article belongs to the Special Issue Skin Microbiome)
Show Figures

Figure 1

19 pages, 5581 KB  
Article
Effect of Bacterial-Enzymatic Synergistic Liquid Fermented Rapeseed Meal on Growth Performance, Intestinal Health, and Muscle Development of Growing Pigs
by Jingchao Liu, Ting Zhang, Yunkai Li, Jingyi Zhang, Xiaolei Zhao, Meng Li, Guoqing Cao, Bugao Li, Xiaohong Guo and Yang Yang
Animals 2026, 16(7), 1092; https://doi.org/10.3390/ani16071092 - 2 Apr 2026
Viewed by 256
Abstract
This study investigated the synergistic effects of liquid fermentation of rapeseed meal (RSM) on feed microbiota, growth performance, and muscle development in growing pigs. RSM was fermented using four compound probiotics and eleven enzyme preparations, and microbial changes were analyzed using 16S rRNA [...] Read more.
This study investigated the synergistic effects of liquid fermentation of rapeseed meal (RSM) on feed microbiota, growth performance, and muscle development in growing pigs. RSM was fermented using four compound probiotics and eleven enzyme preparations, and microbial changes were analyzed using 16S rRNA sequencing. Seventy-two Duroc × Jingfen White pigs were randomly assigned to three groups: soybean meal (Ctrl), RSM, and fermented RSM (FRSM). FRSM showed higher trichloroacetic acid-soluble protein (TCA-sp) content and significantly lower neutral detergent fiber (NDF), acid detergent fiber (ADF), anti-nutritional factors (ANFs), and toxins (TS) (p < 0.01). Fermentation increased microbial diversity, with higher abundances of Lactobacillus and Pediococcus. Compared with Ctrl and RSM, the feed-to-gain ratio (F/G) decreased in the FRSM group (p < 0.01). FRSM also improved serum antioxidant capacity, enhanced intestinal villus height (VH)and villus height/crypt depth ratio (VH/CD), and upregulated the expression of tight junction proteins (ZO-1, occludin) and the anti-inflammatory factor IL-10 (p < 0.01). FRSM group also increased myofiber diameter and cross-sectional area in the longissimus dorsi and elevated MyoD, MyoG and Myf5 expression (p < 0.01). RNA-seq revealed 2094 differentially expressed genes enriched in metabolic pathways. Overall, FRSM improved growth performance, intestinal health, and muscle development in growing pigs, which may guide the development of protein resource utilization technologies. Full article
Show Figures

Figure 1

16 pages, 413 KB  
Article
Sex Differentials in Eating Disorder Risk—Interaction with Adherence to International Physical Activity Guidelines: A Cross-Sectional Study
by Alessandra Amato, Luca Petrigna, Federica Furnari and Giuseppe Musumeci
Sci 2026, 8(4), 79; https://doi.org/10.3390/sci8040079 - 2 Apr 2026
Viewed by 1259
Abstract
Background: This study investigated the relationship between weekly structured physical exercise (PE) volume and type and the risk of eating disorders (EDs), with particular attention to age and sex differences. Methods: A total of 417 healthy adults (mean weekly PE: 256.19 ± 133.03 [...] Read more.
Background: This study investigated the relationship between weekly structured physical exercise (PE) volume and type and the risk of eating disorders (EDs), with particular attention to age and sex differences. Methods: A total of 417 healthy adults (mean weekly PE: 256.19 ± 133.03 min) completed a self-report questionnaire covering personal information, weekly PE characteristics, and the Eating Attitudes Test-26 (EAT-26). Binary logistic regression was performed with the EAT-26 score as the dependent variable and PE volume, exercise type, age, and sex set as predictors. Results: The results of the binary logistic regression model were statistically significant (χ2 = 16.784, p = 0.003). Sex emerged as the strongest independent predictor of ED risk (p = 0.003). Cross-tabulation confirmed a significant sex disparity, with females showing a threefold higher prevalence of at-risk EAT-26 scores (17.6%) compared to males (5.2%). No significant correlation was found between EAT-26 score and PE volume, nor were significant differences in ED risk observed across different types of structured exercise. Conclusions: When controlling for age, neither exercise volume nor type serves as a direct linear predictor of ED risk. Sex remains the strongest demographic predictor. Full article
Show Figures

Figure 1

25 pages, 1475 KB  
Article
Do Environmental Taxes Stimulate Eco-Investments? Evidence from Seven EU Member States and the EU-27
by Vanya Georgieva
J. Risk Financial Manag. 2026, 19(4), 256; https://doi.org/10.3390/jrfm19040256 - 2 Apr 2026
Viewed by 321
Abstract
The European Green Deal places environmental taxation at the centre of decarbonisation policies. Nevertheless, empirical evidence of its effectiveness as a stimulus for capital eco-investments remains limited, particularly at the sectoral level. The present study analyses this relationship through a country–sector panel of [...] Read more.
The European Green Deal places environmental taxation at the centre of decarbonisation policies. Nevertheless, empirical evidence of its effectiveness as a stimulus for capital eco-investments remains limited, particularly at the sectoral level. The present study analyses this relationship through a country–sector panel of seven EU countries and four NACE Rev.2 sectors for the period 2014–2023. A six-step empirical strategy is employed, comprising: preliminary diagnostic tests (cross-sectional dependence, stationarity, cointegration), descriptive statistics, correlation analysis with relative indicators, fixed-effects panel regressions with control variables, a Granger causality test, and nine robustness checks. All monetary values are in real prices (base year 2015). The results reveal a clear scale effect—the correlation between the absolute values of environmental taxes and eco-investments is very high, but after normalisation by sectoral GVA it becomes practically zero and statistically insignificant. The panel regressions also find no statistically significant relationship, and the Granger test does not confirm causality in either direction. The addition of control variables (eco-expenditures, GVA growth) and sector interaction effects does not alter the result. Nine robustness checks confirm the stability of these findings. Within the sample under consideration, the analysis finds no robust direct relationship between environmental taxes and sectoral eco-investments. The results obtained suggest a need to rethink policy through a more targeted use of revenues, sectoral differentiation, and combining tax instruments with non-fiscal mechanisms for the more effective management of the financial risk of the transition. Full article
(This article belongs to the Special Issue Sustainable Finance and Corporate Responsibility)
Show Figures

Figure 1

11 pages, 628 KB  
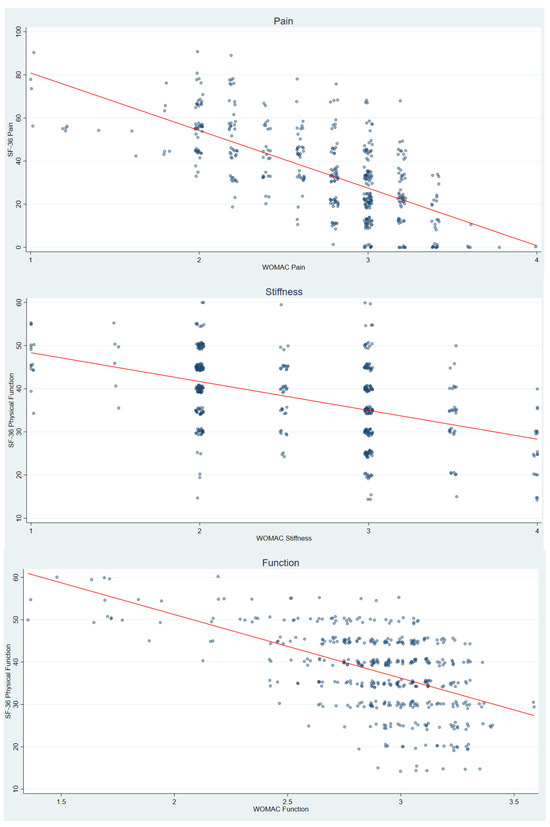
Article
Cross-Cultural Adaptation and Validation of the Kazakh Version of the WOMAC Index in Patients with Knee Osteoarthritis
by Yerden Khaumet, Almasbek Akhmetov, Ikilas Moldaliyev, Azamat Seksenbayev, Ainash Oshibayeva, Saltanat Kyrykbayeva, Gulnaz Nuskabayeva and Akylbek Ibragim
Int. J. Environ. Res. Public Health 2026, 23(4), 445; https://doi.org/10.3390/ijerph23040445 - 31 Mar 2026
Viewed by 177
Abstract
Knee osteoarthritis (KOA) is a prevalent condition associated with pain and reduced physical function worldwide, and the Western Ontario and McMaster Universities Osteoarthritis Index (WOMAC) is one of the most commonly used disease-specific patient-reported outcome measures. Its use in non-English-speaking populations requires appropriate [...] Read more.
Knee osteoarthritis (KOA) is a prevalent condition associated with pain and reduced physical function worldwide, and the Western Ontario and McMaster Universities Osteoarthritis Index (WOMAC) is one of the most commonly used disease-specific patient-reported outcome measures. Its use in non-English-speaking populations requires appropriate translation and validation, and no validated Kazakh version has previously been available. This study aimed to translate, culturally adapt, and evaluate the psychometric properties of the Kazakh version of the WOMAC in patients with KOA. A cross-sectional validation study was conducted among 452 patients with clinically diagnosed KOA and 126 healthy individuals, following established international guidelines. The study assessed internal consistency, test–retest reliability, construct validity, content validity, convergent validity, known-groups validity, and floor and ceiling effects. The Kazakh WOMAC demonstrated acceptable to high internal consistency (Cronbach’s α = 0.77–0.88) and good test–retest reliability (ICC = 0.78–0.83). Content validity was excellent (S-CVI/Ave = 0.96), and confirmatory factor analysis supported the original three-factor structure. Expected correlations with SF-36 domains confirmed convergent validity, and WOMAC scores differentiated patients with KOA from healthy individuals, with no relevant floor or ceiling effects observed. The Kazakh version of the WOMAC is a reliable and valid instrument for assessing pain, stiffness, and physical function in Kazakh-speaking patients with KOA. Full article
Show Figures

Figure 1

21 pages, 924 KB  
Article
Acceptance of Medical History-Taking Supported by Artificial Intelligence and Chatbots: A Population-Based Survey in Germany
by Sonja Haug, Edda Currle and Karsten Weber
Healthcare 2026, 14(7), 905; https://doi.org/10.3390/healthcare14070905 - 31 Mar 2026
Viewed by 354
Abstract
Background/Objectives: Digital anamnesis tools, including chatbots, are increasingly being developed and evaluated, yet their implementation in German medical practices remains limited. This study examines the acceptance of medical history-taking assisted by artificial intelligence (AI) among the German population. The objective is to [...] Read more.
Background/Objectives: Digital anamnesis tools, including chatbots, are increasingly being developed and evaluated, yet their implementation in German medical practices remains limited. This study examines the acceptance of medical history-taking assisted by artificial intelligence (AI) among the German population. The objective is to derive implications for integrating such systems into digitalization strategies of medical practices. Methods: This study is based on an online survey of the German population, aged between 18 and 74 years, conducted in two independent cross-sectional waves (trend design) in 2024 and 2025 with n = 1000 respondents in each year. Based on the Unified Theory of Acceptance and Use of Technology (UTAUT), three hypotheses regarding the use of AI in medical history-taking were developed and tested using linear regression models. Results: Both waves reveal a high acceptance level of AI-supported anamnesis systems for people aged between 18 and 74, regardless of whether a chatbot is used in medical practice (Scenario 1) or at home (Scenario 2). The latter received slightly less approval for the intention to use (mean intention scores: 3.50 and 3.45, range from 1.0 to 5.0) than Scenario 1 (3.59, 3.56). The indices of Performance Expectancy (PE), Effort Expectancy (EE), and perceived Social Influence (SI) determine the intention to use a chatbot with the strongest correlation of the PE index (Scenario 1: ß =0.466, Scenario 2: ß = 0.475). Most respondents (73% and 75%) expressed a favorable opinion for digitally storing medical history data within their electronic health record (EHR). Conclusions: The findings suggest that gender- and age-specific differentiation—aside from considering the needs of older adults—may be less relevant for designing digitalization strategies than previously assumed. Instead, the focus of medical practices should lie on the practicability of the tool used. Despite currently low EHR utilization rates in Germany, medical practices may expect broad patient approval regarding the digital storage of medical history data. Full article
Show Figures

Figure 1

20 pages, 581 KB  
Article
Psychometric Validation of the Caregiver Preparedness Scale in a Population-Based Sample
by Jiri Remr
Nurs. Rep. 2026, 16(4), 115; https://doi.org/10.3390/nursrep16040115 - 31 Mar 2026
Viewed by 292
Abstract
Background/Objectives: In the context of nursing research and interventions, caregiver preparedness emerges as a pivotal concept. Informal caregivers play a central role in providing older adults with the vital nursing and social support they require. The present study evaluated the psychometric performance [...] Read more.
Background/Objectives: In the context of nursing research and interventions, caregiver preparedness emerges as a pivotal concept. Informal caregivers play a central role in providing older adults with the vital nursing and social support they require. The present study evaluated the psychometric performance of the Caregiver Preparedness Scale (CPS) and tested the hypothesis that CPS scores differentiate between theoretically relevant known groups, including caregiving exposure and relationship-based indicators. Methods: A cross-sectional, face-to-face survey was conducted in June 2025 among the general population of Czechia. A total of 1024 interviews were included in the analysis. The sample was randomly split for exploratory factor analysis (EFA) and confirmatory factor analysis (CFA). The internal consistency of the scale was assessed using Cronbach’s α and McDonald’s ω, while inter-item associations were evaluated with Kendall’s tau-b. The known-groups validity was assessed through nonparametric group comparisons across caregiving exposure, relationship indicators within the caregiver–senior dyad, caregivers’ self-rated health, and their life satisfaction. Results: The CPS demonstrated high internal consistency (Cronbach’s α = 0.944; McDonald’s ω = 0.944), robust item–total correlations (0.730–0.863), and acceptable floor and ceiling effects. The EFA supported a dominant one-factor solution (eigenvalue = 5.749), which explained 71.9% of the variance and had strong loadings (0.750–0.894). The CFA demonstrated a good fit (RMSEA = 0.069, SRMR = 0.0155, CFI = 0.990, and TLI = 0.980) after allowing for a limited number of conceptually justified residual covariances. Known-groups analysis supported the sensitivity of the scale when the CPS scores were higher among primary (M = 25.30) and secondary (M = 22.73) caregivers in comparison to non-caregivers (M = 18.38). Moreover, statistically significant differences were observed among those who provided care during the past five years (M = 24.30) compared to those without such experience (M = 18.12). CPS scores also exhibited variation in relationship-focused indicators in the anticipated directions, and were lower among respondents reporting poorer health and lower life satisfaction. Conclusions: The study provided consistent evidence that CPS is a reliable, unidimensional measure with robust known-groups validity. The CPS can be regarded as a suitable research instrument for nursing research and for evaluating interventions aimed at supporting informal caregivers. Full article
Show Figures

Figure 1

Back to TopTop