Sign in to use this feature.

Years

Between: -

Subjects

remove_circle_outline
remove_circle_outline
remove_circle_outline
remove_circle_outline
remove_circle_outline
remove_circle_outline
remove_circle_outline
remove_circle_outline
remove_circle_outline

Journals

Article Types

Countries / Regions

Search Results (48)

Search Parameters:
Keywords = delos

Order results
Result details
Results per page
Select all
Export citation of selected articles as:
23 pages, 906 KB  
Systematic Review
Part 1: A Systematic Review to Describe Existing Cultural Adaptations in Lifestyle, Nutrition, and Physical Activity Programs for Native Hawaiian, CHamoru, and Filipino Populations
by Monica K. Esquivel, Kristi Hammond, Bernice C. Delos Reyes, Dareon C. Rios, Niza Mian, Elaine C. de Leon, Samantha M. Torres and Tanisha Franquez Aflague
Int. J. Environ. Res. Public Health 2025, 22(11), 1673; https://doi.org/10.3390/ijerph22111673 - 4 Nov 2025
Viewed by 294
Abstract
This research aims to describe existing evidence on the availability of culturally adapted lifestyle, nutrition, and physical activity programs among Native Hawaiian, CHamoru, and Filipino populations who are affected by obesity at rates higher than the general US population, contributing to poorer health [...] Read more.
This research aims to describe existing evidence on the availability of culturally adapted lifestyle, nutrition, and physical activity programs among Native Hawaiian, CHamoru, and Filipino populations who are affected by obesity at rates higher than the general US population, contributing to poorer health outcomes. Addressing this disparity requires programs that are culturally adapted and grounded for these specific populations. A comprehensive description of the availability of lifestyle interventions for Native Hawaiians, Pacific Islanders, and Filipinos is missing in the literature. A systematic literature review was performed in July 2025 to gather articles that included lifestyle (nutrition and/or physical activity) interventions addressing obesity and/or related chronic diseases and that utilized one or more cultural adaptations for Native Hawaiian, CHamoru, and/or Filipino populations. Data were extracted, and methodological quality, social ecological model (SEM) level, and risk for bias was assessed. Twenty-nine articles met inclusion criteria. Interventions addressed pre-diabetes (n = 7), hypertension (n = 7), and/or obesity (n = 5) and included combined nutrition and physical activity (n = 16). Sixteen articles included interventions culturally adapted for Filipino populations only, 7 for Native Hawaiians only, 6 for both Native Hawaiians and Filipinos, and 2 included CHamorus. The most common combination of approaches were interventions that incorporated individual, interpersonal, and community SEM levels (n = 17). Intervention components were reflective of culturally relevant physical activities (n = 16) and nutrition (n = 11). Based on this research, there is a need for additional research to include CHamoru communities and interventions to be tested in geographic locations where these populations have migrated. Full article
(This article belongs to the Section Behavioral and Mental Health)
Show Figures

Figure 1

20 pages, 12298 KB  
Article
Impact of Metastatic Microenvironment on Physiology and Metabolism of Small Cell Neuroendocrine Prostate Cancer Patient-Derived Xenografts
by Shubhangi Agarwal, Deepti Upadhyay, Jinny Sun, Emilie Decavel-Bueff, Robert A. Bok, Romelyn Delos Santos, Said Al Muzhahimi, Rosalie Nolley, Jason Crane, John Kurhanewicz, Donna M. Peehl and Renuka Sriram
Cancers 2025, 17(14), 2385; https://doi.org/10.3390/cancers17142385 - 18 Jul 2025
Viewed by 967
Abstract
Background: Potent androgen receptor pathway inhibitors induce small cell neuroendocrine prostate cancer (SCNC), a highly aggressive subtype of metastatic androgen deprivation-resistant prostate cancer (ARPC) with limited treatment options and poor survival rates. Patients with metastases in the liver have a poor prognosis relative [...] Read more.
Background: Potent androgen receptor pathway inhibitors induce small cell neuroendocrine prostate cancer (SCNC), a highly aggressive subtype of metastatic androgen deprivation-resistant prostate cancer (ARPC) with limited treatment options and poor survival rates. Patients with metastases in the liver have a poor prognosis relative to those with bone metastases alone. The mechanisms that underlie the different behavior of ARPC in bone vs. liver may involve factors intrinsic to the tumor cell, tumor microenvironment, and/or systemic factors, and identifying these factors is critical to improved diagnosis and treatment of SCNC. Metabolic reprogramming is a fundamental strategy of tumor cells to colonize and proliferate in microenvironments distinct from the primary site. Understanding the metabolic plasticity of cancer cells may reveal novel approaches to imaging and treating metastases more effectively. Methods: Using magnetic resonance (MR) imaging and spectroscopy, we interrogated the physiological and metabolic characteristics of SCNC patient-derived xenografts (PDXs) propagated in the bone and liver, and used correlative biochemical, immunohistochemical, and transcriptomic measures to understand the biological underpinnings of the observed imaging metrics. Results: We found that the influence of the microenvironment on physiologic measures using MRI was variable among PDXs. However, the MR measure of glycolytic capacity in the liver using hyperpolarized 13C pyruvic acid recapitulated the enzyme activity (lactate dehydrogenase), cofactor (nicotinamide adenine dinucleotide), and stable isotope measures of fractional enrichment of lactate. While in the bone, the congruence of the glycolytic components was lost and potentially weighted by the interaction of cancer cells with osteoclasts/osteoblasts. Conclusion: While there was little impact of microenvironmental factors on metabolism, the physiological measures (cellularity and perfusion) are highly variable and necessitate the use of combined hyperpolarized 13C MRI and multiparametric (anatomic, diffusion-, and perfusion- weighted) 1H MRI to better characterize pre-treatment tumor characteristics, which will be crucial to evaluate treatment response. Full article
(This article belongs to the Special Issue Magnetic Resonance in Cancer Research)
Show Figures

Figure 1

15 pages, 3095 KB  
Article
A Deep Learning Method for the Automated Mapping of Archaeological Structures from Geospatial Data: A Case Study of Delos Island
by Pavlos Fylaktos, George P. Petropoulos and Ioannis Lemesios
ISPRS Int. J. Geo-Inf. 2025, 14(6), 220; https://doi.org/10.3390/ijgi14060220 - 2 Jun 2025
Cited by 2 | Viewed by 1442
Abstract
The integration of artificial intelligence (AI), specifically through convolutional neural networks (CNNs), is paving the way for significant advancements in archaeological research. This study explores the innovative application of the so-called Mask Region-based convolutional neural network (Mask R-CNN) algorithm in a GIS environment, [...] Read more.
The integration of artificial intelligence (AI), specifically through convolutional neural networks (CNNs), is paving the way for significant advancements in archaeological research. This study explores the innovative application of the so-called Mask Region-based convolutional neural network (Mask R-CNN) algorithm in a GIS environment, utilizing high-resolution satellite imagery from the WorldView-3 system. By combining these state-of-the-art technologies, this study demonstrates the algorithm’s effectiveness at recognizing and segmenting the ancient structures within the archaeological site of Delos, Greece. Despite the computational constraints, the outcomes are promising, with around 25.91% of the initial vector data (434 out of 1675 polygons) successfully identified. The algorithm achieved an impressive F1 Score of 0.93% at a threshold of 0.9, indicating its high precision in differentiating specific features from their environments. This research highlights AI’s crucial role in archaeology, enabling the remote analysis of vast areas through automated or semi-automated techniques. Although these technologies cannot supplant essential on-site investigations, they can significantly enhance traditional methodologies by minimizing costs and fieldwork duration. This study also points out obstacles, such as the complexity of and variability in archaeological remains, which complicate the creation of standardized data libraries. Nevertheless, as AI technologies progress, their applications in archaeology are anticipated to broaden, fostering further innovation within the discipline. Full article
Show Figures

Figure 1

9 pages, 907 KB  
Proceeding Paper
Adsorbents Derived from Plant Sources for Caffeine Removal: Current Research and Future Outlook
by Rich Jhon Paul Latiza, Adam Mustafa, Keno Delos Reyes, Kharl Laurence Nebres and Rugi Vicente C. Rubi
Eng. Proc. 2024, 67(1), 15; https://doi.org/10.3390/engproc2024067015 - 20 Aug 2024
Cited by 5 | Viewed by 2130
Abstract
Pharmaceutical wastes, due to their recalcitrant nature, are emerging contaminants in wastewater that have been the focus of researchers and scientists. One pollutant of interest is caffeine, which is one of the most detected contaminants in a global context. Although commonly present in [...] Read more.
Pharmaceutical wastes, due to their recalcitrant nature, are emerging contaminants in wastewater that have been the focus of researchers and scientists. One pollutant of interest is caffeine, which is one of the most detected contaminants in a global context. Although commonly present in beverages such as coffee, caffeine can be harmful to both humans and animals when disposed of in water bodies. Current wastewater treatment approaches not only display ineffective results in removing the mentioned pollutant but also entail high financial costs in applying the treatment technology. Recent studies have revealed the potential of adsorbents derived from plant sources such as husks, fruit peels, and other plant fibers from biomass to effectively reduce caffeine concentrations in wastewater, with a removal efficiency in the range of 8.04 to 171.23 mg/g. Moreover, the adsorption phenomena exhibited a Langmuir isotherm model and pseudo-second-order kinetics. This review paper aims to systematically present and analyze the current literature and prospects of utilizing plant-based adsorbents in addressing the impact of caffeine on the environment. Specifically, the review will focus on the efficiency of said adsorbents in removing caffeine, considering the specific surface area, adsorbent dosage, pH level, maximum adsorption capacity, adsorption isotherms and kinetics, and the predicted optimum conditions for adsorption. The objective is to identify the most suitable adsorbents to be used in wastewater treatment plants. This study will serve as a valuable reference for future research. Full article
(This article belongs to the Proceedings of The 3rd International Electronic Conference on Processes)
Show Figures

Figure 1

13 pages, 2390 KB  
Article
Continuous Recognition of Teachers’ Hand Signals for Students with Attention Deficits
by Ivane Delos Santos Chen, Chieh-Ming Yang, Shang-Shu Wu, Chih-Kang Yang, Mei-Juan Chen, Chia-Hung Yeh and Yuan-Hong Lin
Algorithms 2024, 17(7), 300; https://doi.org/10.3390/a17070300 - 7 Jul 2024
Cited by 5 | Viewed by 2163
Abstract
In the era of inclusive education, students with attention deficits are integrated into the general classroom. To ensure a seamless transition of students’ focus towards the teacher’s instruction throughout the course and to align with the teaching pace, this paper proposes a continuous [...] Read more.
In the era of inclusive education, students with attention deficits are integrated into the general classroom. To ensure a seamless transition of students’ focus towards the teacher’s instruction throughout the course and to align with the teaching pace, this paper proposes a continuous recognition algorithm for capturing teachers’ dynamic gesture signals. This algorithm aims to offer instructional attention cues for students with attention deficits. According to the body landmarks of the teacher’s skeleton by using vision and machine learning-based MediaPipe BlazePose, the proposed method uses simple rules to detect the teacher’s hand signals dynamically and provides three kinds of attention cues (Pointing to left, Pointing to right, and Non-pointing) during the class. Experimental results show the average accuracy, sensitivity, specificity, precision, and F1 score achieved 88.31%, 91.03%, 93.99%, 86.32%, and 88.03%, respectively. By analyzing non-verbal behavior, our method of competent performance can replace verbal reminders from the teacher and be helpful for students with attention deficits in inclusive education. Full article
(This article belongs to the Special Issue Algorithms for Image Processing and Machine Vision)
Show Figures

Figure 1

18 pages, 2637 KB  
Article
Identification of Resistance QTLs to Black Leaf Streak Disease (Due to Pseudocercospora fijiensis) in Diploid Bananas (Musa acuminata)
by Françoise Carreel, Guillaume Martin, Sébastien Ravel, Véronique Roussel, Christine Pages, Rémy Habas, Théo Cantagrel, Chantal Guiougou, Jean-Marie Delos, Catherine Hervouet, Pierre Mournet, Angélique D’Hont, Nabila Yahiaoui and Frédéric Salmon
Horticulturae 2024, 10(6), 608; https://doi.org/10.3390/horticulturae10060608 - 7 Jun 2024
Cited by 2 | Viewed by 2223
Abstract
Black Leaf Streak Disease (BLSD), caused by the fungus Pseudocercospora fijiensis, is a recent pandemic and the most economically and environmentally important leaf disease of banana. To assist breeding of varieties with durable resistance to the rapidly evolving P. fijiensis, we [...] Read more.
Black Leaf Streak Disease (BLSD), caused by the fungus Pseudocercospora fijiensis, is a recent pandemic and the most economically and environmentally important leaf disease of banana. To assist breeding of varieties with durable resistance to the rapidly evolving P. fijiensis, we used a diploid genitor ‘IDN 110’ with partial resistance to BLSD to search for QTLs. We assessed diploid progeny of 73 hybrids between ‘IDN 110’ and the diploid cultivar ‘Khai Nai On’, which is susceptible to BLSD. Hybrids were phenotyped with artificial inoculation under controlled conditions. This method allowed us to focus on resistance in the early stages of the interaction already identified as strongly influencing BLSD epidemiology. Progeny were genotyped by sequencing. As both parents are heterozygous for large reciprocal translocations, the distribution of recombination was assessed and revealed regions with low recombination rates. Fourteen non-overlapping QTLs of resistance to BLSD were identified of which four main QTLs from the ‘IDN110‘ parent, located on chromosomes 06, 07, 08, and 09, were shown to be of interest for marker-assisted selection. Genes that underline those four QTLs are discussed in the light of previous literature. Full article
(This article belongs to the Special Issue Developments in the Genetics and Breeding of Banana Species)
Show Figures

Figure 1

10 pages, 1069 KB  
Article
Proprioception and Balance Control in Ankle Osteoarthritis and after Total Ankle Replacement: A Prospective Assessment
by Silvio Caravelli, Laura Bragonzoni, Emanuele Vocale, Giuseppe Barone, Giulio Vara, Stefano Di Paolo, Raffaele Zinno, Erika Pinelli, Ciro Ivan De Girolamo, Paolo De Blasiis, Maria Grazia Benedetti and Massimiliano Mosca
Appl. Sci. 2024, 14(11), 4781; https://doi.org/10.3390/app14114781 - 31 May 2024
Cited by 5 | Viewed by 2292
Abstract
Total Ankle Replacement (TAR) could, in theory, partially restore joint sensation and motion, enhancing motor coordination, functional stability, and proprioception in a joint affected by osteoarthritis. The aim of this study is to evaluate ankle proprioception before and after a Total Ankle Replacement [...] Read more.
Total Ankle Replacement (TAR) could, in theory, partially restore joint sensation and motion, enhancing motor coordination, functional stability, and proprioception in a joint affected by osteoarthritis. The aim of this study is to evaluate ankle proprioception before and after a Total Ankle Replacement via an instrumental objective assessment. The evaluation of proprioceptive stability was carried out using the dedicated Delos Postural Proprioceptive System (DPPS). The clinical evaluation was performed by administering validated questionnaires, namely the American Orthopaedic Foot and Ankle Society (AOFAS) score and Short Form-36 (SF-36). Twenty patients were selected, undergoing a complete procedure with clinical and instrumental pre-operative and post-operative evaluation at the end of the follow-up. AOFAS ankle–hindfoot and SF-36 both showed a statistically significant improvement between the pre-operative and post-operative state. The postural tests performed using the DPPS showed that the affected limb showed results slightly lower than in pre-operative. In conclusion, according to the current data, the TAR does not show an improvement in proprioceptive joint stability, and although the registered mean values do not present a statistical significance, the stabilometry shows data lower than the healthy limb. In this perspective, further studies are recommended to highlight any rehabilitation scheme or protocols, using wider case series. Full article
(This article belongs to the Special Issue Advances in Orthopedic Diseases Treatment)
Show Figures

Figure 1

19 pages, 32869 KB  
Article
Past and Future Impacts of the Relative Sea Level Rise on the Seafront of Ancient Delos (Cyclades, Greece) and Flooding Scenarios by 2150
by Nikos Mourtzas and Eleni Kolaiti
J. Mar. Sci. Eng. 2024, 12(6), 870; https://doi.org/10.3390/jmse12060870 - 24 May 2024
Cited by 2 | Viewed by 4922
Abstract
Sea level rise due to global warming is a continuing and, disappointingly, accelerating process which has already affected and will further impact coastal lowlands and the social and economic activities in these areas. Delos Island, situated in the middle of the Cyclades in [...] Read more.
Sea level rise due to global warming is a continuing and, disappointingly, accelerating process which has already affected and will further impact coastal lowlands and the social and economic activities in these areas. Delos Island, situated in the middle of the Cyclades in the Aegean Sea, was considered the most sacred of all islands in ancient Greek culture and was a trading hub for the entire eastern Mediterranean. Uninhabited since the 7th century AD, and consistently the focus of research and touristic attention, the island is designated as an archaeological site and inscribed on the UNESCO World Heritage List. Previous studies on the relative sea level (rsl) changes suggest a steadily rising rsl during the last 6300 years, starting from a sea level of −4.80 ± 0.20 m in the Late Neolithic. The seafront of the ancient city of Delos is subject to the effects of rsl rise, which have caused significant coastline retreat and exposure to the northerly winds and waves, whereas parts of the coastal lowland, where the remains of the ancient city lie, are inundated, forming extended wetlands. The future impacts of rsl rise on the seafront of ancient Delos are illustrated on very-high-resolution digital surface models, evaluating both the flooding risk under different climatic projections, as provided by the IPCC AR6 report, and the ongoing land subsidence, as recorded by GNSS data. An rsl rise ranging from 87 cm (SSP1-2.6 scenario) to 148 cm (SSP5-8.5 scenario) is anticipated by 2150, requiring both resilience strategies and adaptation solutions as well as mitigation policies to cope with the effects of climate change. Full article
(This article belongs to the Special Issue Sea Level Rise and Related Hazards Assessment)
Show Figures

Graphical abstract

17 pages, 2669 KB  
Article
The Efficacy of a Multimodal Bedroom-Based ‘Smart’ Alarm System on Mitigating the Effects of Sleep Inertia
by Carolina Campanella, Kunjoon Byun, Araliya Senerat, Linhao Li, Rongpeng Zhang, Sara Aristizabal, Paige Porter and Brent Bauer
Clocks & Sleep 2024, 6(1), 183-199; https://doi.org/10.3390/clockssleep6010013 - 18 Mar 2024
Cited by 1 | Viewed by 6821
Abstract
Previous work has demonstrated the modest impact of environmental interventions that manipulate lighting, sound, or temperature on sleep inertia symptoms. The current study sought to expand on previous work and measure the impact of a multimodal intervention that collectively manipulated light, sound, and [...] Read more.
Previous work has demonstrated the modest impact of environmental interventions that manipulate lighting, sound, or temperature on sleep inertia symptoms. The current study sought to expand on previous work and measure the impact of a multimodal intervention that collectively manipulated light, sound, and ambient temperature on sleep inertia. Participants slept in the lab for four nights and were awoken each morning by either a traditional alarm clock or the multimodal intervention. Feelings of sleep inertia were measured each morning through Psychomotor Vigilance Test (PVT) assessments and ratings of sleepiness and mood at five time-points. While there was little overall impact of the intervention, the participant’s chronotype and the length of the lighting exposure on intervention mornings both influenced sleep inertia symptoms. Moderate evening types who received a shorter lighting exposure (≤15 min) demonstrated more lapses relative to the control condition, whereas intermediate types exhibited a better response speed and fewer lapses. Conversely, moderate evening types who experienced a longer light exposure (>15 min) during the intervention exhibited fewer false alarms over time. The results suggest that the length of the environmental intervention may play a role in mitigating feelings of sleep inertia, particularly for groups who might exhibit stronger feelings of sleep inertia, including evening types. Full article
(This article belongs to the Section Impact of Light & other Zeitgebers)
Show Figures

Figure 1

33 pages, 32092 KB  
Article
Seeps and Tectonic Structure of the Hydrothermal System of the Panarea Volcanic Complex (Aeolian Islands, Tyrrhenian Sea)
by Federico Spagnoli, Teresa Romeo, Franco Andaloro, Simonepietro Canese, Valentina Esposito, Marco Grassi, Erik Delos Biscotti, Patrizia Giordano and Giovanni Bortoluzzi
Geosciences 2024, 14(3), 60; https://doi.org/10.3390/geosciences14030060 - 23 Feb 2024
Viewed by 3474
Abstract
High-definition bathymetry mapping, combined with the measurement of dissolved benthic fluxes and water column biogeochemical properties, allows for a description of new biogeochemical processes around the Panarea Volcanic island. Investigations focused on the CO2 releases from the bottom sea on the east [...] Read more.
High-definition bathymetry mapping, combined with the measurement of dissolved benthic fluxes and water column biogeochemical properties, allows for a description of new biogeochemical processes around the Panarea Volcanic island. Investigations focused on the CO2 releases from the bottom sea on the east of the Panarea volcanic complex provided insights into the geological setup of the marine area east and south of the Panarea Island. Between the Panarea Island and the Basiluzzo Islet lies a SW-NE-stretching graben structure where a central depression, the Smoking Land Valley, is bounded by extensional faults. Abundant acidic fluids rich in dissolved inorganic Carbon are released on the edges of the graben, along the extensional faults, either diffusely from the seafloor, from hydrothermal chimneys, or at the center of craters of different sizes. The precipitation of iron dissolved in the acidic fluids forms Fe-oxyhydroxides bottom sea crusts that act as a plug, thus preventing the release of the underlying gases until their mounting pressure generates a bursting release. This process is cyclic and results in intermittent gas release from the bottom, leaving extinct craters and quiescent chimneys. The measurement of dissolved benthic fluxes allowed us to estimate the volcanic DIC venting at 15 Mt of CO2 over the past 10,000 years. The fluxes are not distributed homogeneously but rather concentrate along fractures and fault planes, which facilitate their rise to the seafloor. The acidic fluids released affect the chemical properties and structure of the water column through the formation of layers with a lower pH under the pycnocline, which can limit volcanic CO2 release to the atmosphere. Further and continuous monitoring and investigation of the area are needed in order to complete a thorough picture of the variations in fluid releases through time and space. The importance of such monitoring lies in the development of a new method for detecting and quantifying the diffusive dissolved benthic fluxes on a volcanic sea bottom affected by hydrothermal seeps. Full article
(This article belongs to the Section Natural Hazards)
Show Figures

Figure 1

12 pages, 1197 KB  
Article
Improved Accuracy and Sensitivity in Diagnosis and Staging of Lung Cancer with Systematic and Combined Endobronchial and Endoscopic Ultrasound (EBUS-EUS): Experience from a Tertiary Center
by Abdenor Badaoui, Marion De Wergifosse, Benoit Rondelet, Pierre H. Deprez, Claudia Stanciu-Pop, Laurent Bairy, Philippe Eucher, Monique Delos, Sebahat Ocak, Cédric Gillain, Fabrice Duplaquet and Lionel Pirard
Cancers 2024, 16(4), 728; https://doi.org/10.3390/cancers16040728 - 9 Feb 2024
Cited by 4 | Viewed by 4363
Abstract
Background: Combined endobronchial ultrasound-guided transbronchial needle aspiration (EBUS-TBNA) and endoscopic ultrasound-guided tissue acquisition (EUS-TA) are accurate procedures for the diagnosis and staging of mediastinal lymph nodes (MLNs) in lung cancer. However, the respective contribution of separate and combined procedures in diagnosis and staging [...] Read more.
Background: Combined endobronchial ultrasound-guided transbronchial needle aspiration (EBUS-TBNA) and endoscopic ultrasound-guided tissue acquisition (EUS-TA) are accurate procedures for the diagnosis and staging of mediastinal lymph nodes (MLNs) in lung cancer. However, the respective contribution of separate and combined procedures in diagnosis and staging has not been fully studied. The aim of this study was to assess their respective performances. Methods: Patients with suspected malignant MLNs in lung cancer or recurrence identified by PET-CT who underwent combined EBUS-TBNA and EUS-TA were retrospectively reviewed. Results: A total of 141 patients underwent both procedures. Correct diagnosis was obtained in 82% with EBUS-TBNA, 91% with EUS-TA, and 94% with the combined procedure. The overall sensitivity, specificity, and positive and negative predictive values (PPV and NPV) of EBUS-TBNA, EUS-TA, and the combined procedure for diagnosing malignancy were [75%, 100%, 100%, 58%], [87%, 100%, 100%, 75%], and [93%, 100%, 100%, 80%], respectively, with a significantly better sensitivity of the combined procedure (p < 0.0001). Staging (82/141 patients) was correctly assessed in 74% with EBUS-TBNA, 68% with EUS-TA, and 85% with the combined procedure. The overall sensitivity, specificity, PPV, and NPV of EBUS-TBNA, EUS-TA, and the combined procedure for lung cancer staging were [62%, 100%, 100%, 55%], [54%, 100%, 100%, 50%], and [79%, 100%, 100%, 68%], respectively, significantly better in terms of sensitivity for the combined procedure (p < 0.001). Conclusion: The combined EBUS-EUS approach in lung cancer patients showed better accuracy and sensitivity in diagnosis and staging when compared with EBUS-TBNA and EUS-TA alone. Full article
(This article belongs to the Special Issue Pulmonary Oncology Research)
Show Figures

Figure 1

13 pages, 3298 KB  
Article
Deep Learning-Based Recognition of Periodontitis and Dental Caries in Dental X-ray Images
by Ivane Delos Santos Chen, Chieh-Ming Yang, Mei-Juan Chen, Ming-Chin Chen, Ro-Min Weng and Chia-Hung Yeh
Bioengineering 2023, 10(8), 911; https://doi.org/10.3390/bioengineering10080911 - 1 Aug 2023
Cited by 36 | Viewed by 10562
Abstract
Dental X-ray images are important and useful for dentists to diagnose dental diseases. Utilizing deep learning in dental X-ray images can help dentists quickly and accurately identify common dental diseases such as periodontitis and dental caries. This paper applies image processing and deep [...] Read more.
Dental X-ray images are important and useful for dentists to diagnose dental diseases. Utilizing deep learning in dental X-ray images can help dentists quickly and accurately identify common dental diseases such as periodontitis and dental caries. This paper applies image processing and deep learning technologies to dental X-ray images to propose a simultaneous recognition method for periodontitis and dental caries. The single-tooth X-ray image is detected by the YOLOv7 object detection technique and cropped from the periapical X-ray image. Then, it is processed through contrast-limited adaptive histogram equalization to enhance the local contrast, and bilateral filtering to eliminate noise while preserving the edge. The deep learning architecture for classification comprises a pre-trained EfficientNet-B0 and fully connected layers that output two labels by the sigmoid activation function for the classification task. The average precision of tooth detection using YOLOv7 is 97.1%. For the recognition of periodontitis, the area under the curve (AUC) of the receiver operating characteristic (ROC) curve is 98.67%, and the AUC of the precision-recall (PR) curve is 98.38%. For the recognition of dental caries, the AUC of the ROC curve is 98.31%, and the AUC of the PR curve is 97.55%. Different from the conventional deep learning-based methods for a single disease such as periodontitis or dental caries, the proposed approach can provide the recognition of both periodontitis and dental caries simultaneously. This recognition method presents good performance in the identification of periodontitis and dental caries, thus facilitating dental diagnosis. Full article
(This article belongs to the Special Issue Artificial Intelligence-Based Diagnostics and Biomedical Analytics)
Show Figures

Figure 1

11 pages, 1248 KB  
Article
Treatment and Prognosis of Patients with Lung Cancer and Combined Interstitial Lung Disease
by Charlotte Mauclet, Michaël V. Dupont, Kerwin Roelandt, Maxime Regnier, Monique Delos, Lionel Pirard, Thierry Vander Borght, Caroline Dahlqvist, Antoine Froidure, Benoît Rondelet, Jean Vanderick, Vincent Remouchamps, Fabrice Duplaquet and Sebahat Ocak
Cancers 2023, 15(15), 3876; https://doi.org/10.3390/cancers15153876 - 30 Jul 2023
Cited by 4 | Viewed by 1798
Abstract
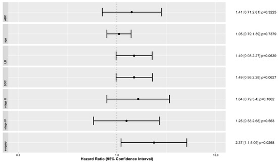
Background: Interstitial lung disease (ILD) is associated with a higher lung cancer (LC) risk and may impact cancer’s clinical characteristics, treatment strategies, and outcomes. This impact’s extent is unclear, particularly in Caucasians. Methods: In this retrospective observational study, we reviewed the files of [...] Read more.
Background: Interstitial lung disease (ILD) is associated with a higher lung cancer (LC) risk and may impact cancer’s clinical characteristics, treatment strategies, and outcomes. This impact’s extent is unclear, particularly in Caucasians. Methods: In this retrospective observational study, we reviewed the files of all LC patients diagnosed in a 38-month period. Expert radiologists reviewed the computed tomography scans performed at diagnosis. Patients with LC and ILD (n = 29, 7%) were compared to those without ILD (n = 363, 93%) for population and cancer characteristics, treatments, and clinical outcomes. Results: Patients with LC and ILD were older (73 ± 8 vs. 65 ± 11 years; p < 0.001). There was no significant difference in LC histology, localization, stage, or treatment modalities. The respiratory complication rate after cancer treatment was significantly higher in the ILD group (39% vs. 6%; p < 0.01). Overall survival rates were similar at 12 (52% vs. 59%; p = 0.48) and 24 months (41% vs. 45%; p = 0.64) but poorer in the ILD group at 36 months, although not statistically significant (9% vs. 39%; p = 0.06). The ILD group had a higher probability of death (hazard ratio (HR) = 1.49 [0.96;2.27]), but this was not statistically significant (p = 0.06). In a Cox regression model, patients with ILD treated surgically had a significantly higher mortality risk (HR = 2.37 [1.1;5.09]; p = 0.03). Conclusions: Patients with combined LC and ILD have worse clinical outcomes even when similar treatment modalities are offered. Full article
Show Figures

Figure 1

17 pages, 1937 KB  
Article
Transboundary Collaborative Modeling: Consensual Identification and Ranking of Flood Adaptation Measures—A Case Study in the Mono River Basin, Benin, and Togo
by Adrian Delos Santos Almoradie, Nina Rholan Houngue, Kossi Komi, Julien Adounkpe and Mariele Evers
Sustainability 2023, 15(15), 11728; https://doi.org/10.3390/su151511728 - 29 Jul 2023
Cited by 1 | Viewed by 2418
Abstract
The field of environmental management, specifically flood risk management (FRM), emphasizes participatory decision-making to address diverse issues and conflicting interests among stakeholders. This approach recognizes the complexity of decisions and their long-term impact on sustainability. Collaborative knowledge production is crucial for understanding the [...] Read more.
The field of environmental management, specifically flood risk management (FRM), emphasizes participatory decision-making to address diverse issues and conflicting interests among stakeholders. This approach recognizes the complexity of decisions and their long-term impact on sustainability. Collaborative knowledge production is crucial for understanding the system, generating scenarios, and establishing consensus on mitigation and adaptation measures. Transboundary FRM requires an interdisciplinary and transdisciplinary approach, employing suitable tools and methods for assessment and decision-making. In the context of the CLIMAFRI project, funded by the German Federal Ministry of Education and Research (BMBF), we evaluated the practicality of a participatory Collaborative Modeling framework in the transboundary Lower Mono River (LMR) basin, shared by Togo and Benin. This framework enables holistic understanding, stakeholder engagement, and the identification of appropriate adaptation-mitigation measures based on predefined evaluation criteria and a Multi-Criteria Decision Method. Our study customized and evaluated the framework considering the impact of the COVID-19 pandemic, which restricted face-to-face interactions. The study’s results indicate that in both countries, FRM is characterized as being more proactive rather than preventive, meaning the actions taken mainly address a broader range of potential issues and opportunities rather than targeting specific risks to minimize their impact. Moreover, it is crucial to enhance preventive measures and further improve the flood assessment capacity. The information obtained from scenarios involving the Adjarala Dam, land-use, and climate change under RCP 4.5 and 8.5 scenarios for the years 2030, 2050, and 2100 is valuable for decision-making regarding the development and prioritization of adaptation measures. The ranking of the seven measures shows that capacity building is the most preferred, followed by dykes, early warning systems, regulation of land use, insurance, and retention zones. The group ranking of Togo and Benin highlights differences in their perceptions and interests, where Togo leans towards soft measures, while Benin prefers hard (physical) measures. Full article
Show Figures

Figure 1

13 pages, 495 KB  
Article
Barriers, Facilitators, and Strategies for Developing a Culturally Informed Lifestyle Intervention for Native Hawaiian, CHamoru, and Filipino Breast Cancer Survivors: Mixed-Methods Findings from Focus Group Participants
by Tanisha F. Aflague, Kristi Hammond, Bernice Delos Reyes, Dareon Rios, Elaine De Leon, Rachael T. Leon Guerrero and Monica K. Esquivel
Int. J. Environ. Res. Public Health 2023, 20(12), 6075; https://doi.org/10.3390/ijerph20126075 - 7 Jun 2023
Cited by 2 | Viewed by 4003
Abstract
Breast cancer disproportionately impacts Native Hawaiian, CHamoru, and Filipino women. Few culturally informed interventions addressing breast cancer survivors exist and none have been developed or tested specifically for Native Hawaiian, CHamoru, and Filipino women. This study aimed to conduct focus groups with Native [...] Read more.
Breast cancer disproportionately impacts Native Hawaiian, CHamoru, and Filipino women. Few culturally informed interventions addressing breast cancer survivors exist and none have been developed or tested specifically for Native Hawaiian, CHamoru, and Filipino women. This study aimed to conduct focus groups with Native Hawaiian, CHamoru, and Filipino women previously diagnosed with breast cancer to inform future research in Guam and Hawai’i. Convenience sampling and grounded theory approaches were used. Focus group sessions were conducted during summer 2023 and included questions to understand the barriers, motivators, and implementation recommendations for lifestyle interventions aimed at reducing the risk for breast cancer recurrence among the target population. Data saturation was reached after a total of seven focus groups (an average of four survivors/group per site) were conducted (three in Hawai’i and four in Guam), which represented 28 breast cancer survivors. Themes from the focus groups emerged around developing support systems with other survivors, providing physical activity and nutrition intervention activities and materials in multiple formats, and incorporating activities and foods that accommodate the side effects of breast cancer treatments and are culturally relevant. The average desired intervention length was eight weeks. These findings will inform the development and feasibility testing of a culturally informed lifestyle intervention for breast cancer survivors in Guam and Hawai’i. Full article
(This article belongs to the Special Issue Disparity of Non-Communicable Diseases Among Pacific Islanders)
Back to TopTop