Sign in to use this feature.

Years

Between: -

Subjects

remove_circle_outline
remove_circle_outline
remove_circle_outline
remove_circle_outline
remove_circle_outline

Journals

Article Types

Countries / Regions

Search Results (30)

Search Parameters:
Keywords = defect-induced ferromagnetism

Order results
Result details
Results per page
Select all
Export citation of selected articles as:
14 pages, 1962 KB  
Article
Impact of High Fe Doping on Structure, Optical, and Magnetic Properties of Zinc Oxide Nanostructures Synthesized by Hydrothermal Route
by Essam M. Abdel-Fattah and Salman M. Alshehri
Crystals 2026, 16(1), 55; https://doi.org/10.3390/cryst16010055 - 13 Jan 2026
Viewed by 244
Abstract
Zn1−xFexO nanocomposites (NCs) with varying Fe concentrations (x = 0, 0.1, 0.2, 0.3, and 0.4) were effectively prepared using the hydrothermal approach, and their morphology, structural, optical, and magnetic properties were systematically analyzed. XRD analysis confirmed Fe doping reduced [...] Read more.
Zn1−xFexO nanocomposites (NCs) with varying Fe concentrations (x = 0, 0.1, 0.2, 0.3, and 0.4) were effectively prepared using the hydrothermal approach, and their morphology, structural, optical, and magnetic properties were systematically analyzed. XRD analysis confirmed Fe doping reduced crystallinity and crystallite size. TEM images of Zn1−xFexO NCs exhibited smaller and more agglomerated nanostructures compared to the pure ZnO NPs. Raman and XPS analyses indicated increased lattice disorder, oxygen vacancies, and the coexistence of Fe2+/Fe3+ species. UV–Vis spectra showed enhanced visible light absorption and a tunable band gap, while PL results reflected defect-induced emission shifts and quenching, associated with zinc vacancies, interstitials, and oxygen-related defects. Magnetic measurements revealed a transition from diamagnetism to ferromagnetic-like behavior at room temperature for Fe content x ≥ 0.2, with magnetization strongly dependent on doping level. These results highlight Zn1−xFexO for advanced optoelectronic and spintronic applications. Full article
(This article belongs to the Section Inorganic Crystalline Materials)
Show Figures

Figure 1

15 pages, 4391 KB  
Article
Magnetically Saturated Pulsed Eddy Current for Inner-Liner Collapse in Bimetal Composite Pipelines: Physics, Identifiability, and Field Validation
by Shuyi Xie, Peng Xu, Liya Ma, Tao Liang, Xiaoxiao Ma, Jinheng Luo and Lifeng Li
Processes 2025, 13(11), 3409; https://doi.org/10.3390/pr13113409 - 24 Oct 2025
Viewed by 477
Abstract
Underground gas storage (UGS) is critical to national reserves and seasonal peak-shaving, and its safe operation is integral to energy security. In UGS surface process pipelines, heterogeneous bimetal composite pipes—carbon-steel substrates lined with stainless steel—are widely used but susceptible under coupled thermal–pressure–flow loading [...] Read more.
Underground gas storage (UGS) is critical to national reserves and seasonal peak-shaving, and its safe operation is integral to energy security. In UGS surface process pipelines, heterogeneous bimetal composite pipes—carbon-steel substrates lined with stainless steel—are widely used but susceptible under coupled thermal–pressure–flow loading to geometry-induced instabilities (local buckling, adhesion, and collapse), which can restrict flow, concentrate stress, and precipitate rupture and unplanned shutdowns. Conventional ultrasonic testing and magnetic flux leakage have limited sensitivity to such instabilities, while standard eddy-current testing is impeded by the ferromagnetic substrate’s high permeability and electromagnetic shielding. This study introduces magnetically saturated pulsed eddy-current testing (MS-PECT). A quasi-static bias field drives the substrate toward magnetic saturation, reducing differential permeability and increasing effective penetration; combined with pulsed excitation and differential reception, the approach improves defect responsiveness and the signal-to-noise ratio. A prototype was developed and evaluated through mechanistic modeling, numerical simulation, laboratory pipe trials, and in-service demonstrations. Field deployment on composite pipelines at the Hutubi UGS (Xinjiang, China) enabled rapid identification and spatial localization of liner collapse under non-shutdown or minimally invasive conditions. MS-PECT provides a practical tool for composite-pipeline integrity management, reducing the risk of unplanned outages, enhancing peak-shaving reliability, and supporting resilient UGS operations. Full article
(This article belongs to the Special Issue Modeling, Simulation and Control in Energy Systems—2nd Edition)
Show Figures

Figure 1

11 pages, 2034 KB  
Article
Te Vacancy Defect Engineering on Fe3GeTe2 (001) Basal Planes for Enhanced Oxygen Evolution Reaction: A First-Principles Study
by Yunjie Gao, Wei Su, Yuan Qiu, Dan Shan and Jing Pan
Nanomaterials 2025, 15(16), 1272; https://doi.org/10.3390/nano15161272 - 18 Aug 2025
Cited by 1 | Viewed by 926
Abstract
Photocatalytic water splitting for hydrogen production is an attractive renewable energy technology, but the oxygen evolution reaction (OER) at the anode is severely constrained by a high overpotential. The two-dimensional vdW ferromagnetic material Fe3GeTe2, with its good stability and [...] Read more.
Photocatalytic water splitting for hydrogen production is an attractive renewable energy technology, but the oxygen evolution reaction (OER) at the anode is severely constrained by a high overpotential. The two-dimensional vdW ferromagnetic material Fe3GeTe2, with its good stability and excellent metallic conductivity, has potential as an electrocatalyst, but its sluggish surface catalytic reactivity limits its large-scale application. In this work, we adapted DFT calculations to introduce surface Te vacancies to boost OER performance of the Fe3GeTe2 (001) surface. Te vacancies induce the charge redistribution of active sites, optimizing the adsorption and desorption of oxygen-containing intermediates. Consequently, the overpotential of the rate-determining step in the OER process of Fe3GeTe2 is reduced to 0.34 V, bringing the performance close to that of the benchmark IrO2 catalyst (0.56 V). Notably, the vacancies’ concentration and configuration significantly modify the electronic structure and thus influence OER activity. This study provides important theoretical evidence for defect engineering in OER catalysis and offers new design strategies for developing efficient and stable electrocatalysts for sustainable energy conversion. Full article
(This article belongs to the Topic Electrocatalytic Advances for Sustainable Energy)
Show Figures

Graphical abstract

16 pages, 3507 KB  
Article
Structural and Magnetic Properties of Carbon-Based Nanocomposites Containing Iron Oxides: Effect of Thermal Treatment Atmosphere
by Daniel Hidalgo-Montoya, Mario A. Millán-Franco, John Betancourt, Lorena Marín, Luis A. Rodríguez, Jesús A. Tabares, Milton Manotas-Albor, César Magén, Manuel N. Chaur, Edgar Mosquera-Vargas, Renso Visbal and Malka Mora
Nanomaterials 2025, 15(16), 1241; https://doi.org/10.3390/nano15161241 - 13 Aug 2025
Viewed by 1165
Abstract
Carbon-based nanocomposites coated with iron oxides were synthesized using a wet impregnation method with thermally annealed coal and an iron nitrate precursor. The influence of the thermal treatment atmosphere (air, vacuum, or nitrogen) on the morphology, structure, and magnetic properties of the nanocomposites [...] Read more.
Carbon-based nanocomposites coated with iron oxides were synthesized using a wet impregnation method with thermally annealed coal and an iron nitrate precursor. The influence of the thermal treatment atmosphere (air, vacuum, or nitrogen) on the morphology, structure, and magnetic properties of the nanocomposites was examined by X-ray diffraction, Raman spectroscopy, and transmission electron microscopy. It was found that the vacuum thermal treatment produced carbon-based nanocomposite containing iron oxide with the highest crystallinity, according to XRD analysis, while also inducing the greatest degree of structural defects in the carbon matrix, as evidenced by Raman analysis. Mössbauer spectroscopy confirmed that all thermal treatment methods promote the formation of the hematite phase, which was found to be the only phase formed in the air-treated nanocomposites, whereas traces of magnetite and the formation of Fe(OH)3 were detected in the vacuum- and nitrogen-treated nanocomposites, respectively. Magnetic characterization revealed that all nanocomposites exhibit ferromagnetic-like behavior, attributed to the weak ferromagnetic nature of hematite. The best magnetic response (highest saturation magnetization with the widest hysteresis loop) was observed in the vacuum-treated nanocomposites. These findings collectively demonstrate that the synthesis atmosphere plays a crucial role in tailoring the structural and magnetic characteristics of carbon-based iron oxide nanocomposites, offering pathways for their optimization in applications such as catalysis, environmental remediation, or sensing technologies. Full article
(This article belongs to the Special Issue Recent Advances in Surface and Interface Nanosystems)
Show Figures

Graphical abstract

11 pages, 2615 KB  
Article
Electronic Excitation-Induced Modification in Electronic Structure and Magnetism for Pulsed Laser Deposited Barium Strontium Titanate Thin Films with Changing Fe Impurity
by Arkaprava Das and Carla Bittencourt
Materials 2025, 18(11), 2534; https://doi.org/10.3390/ma18112534 - 28 May 2025
Viewed by 695
Abstract
This study presents a comprehensive analysis of the modifications in electronic structure and magnetism resulting from electronic excitation in pulsed laser-deposited Ba0.7Sr0.3FexTi(1−x)O3 thin films, specifically for compositions with x = 0, 0.1, and 0.2. [...] Read more.
This study presents a comprehensive analysis of the modifications in electronic structure and magnetism resulting from electronic excitation in pulsed laser-deposited Ba0.7Sr0.3FexTi(1−x)O3 thin films, specifically for compositions with x = 0, 0.1, and 0.2. To investigate the effects of electronic energy loss (Se) within the lattice, we performed 120 MeV Ag ion irradiation at varying fluences (1 × 1012 ions/cm2 and 5 × 1012 ions/cm2) and compared the results with those of the pristine sample. The Se induces lattice damage by generating ion tracks along its trajectory, which subsequently leads to a reduction in peak intensity observed in X-ray diffraction patterns. Atomic force microscopy micrographs indicate that irradiation resulted in a decrease in average grain height, accompanied by a more homogeneous grain distribution. X-ray photoelectron spectroscopy reveals a significant increase in oxygen vacancy (VO) concentration as ion fluence increases. Ferromagnetism exhibits progressive deterioration with rising irradiation fluence. Due to the high Se and multiple ion impact processes, cation interstitial defects are highly likely, which may overshadow the influence of VO in inducing ferromagnetism, thereby contributing to an overall decline in magnetic properties. Furthermore, the elevated Se potentially disrupts bound magnetic polarons, leading to a degradation of long-range ferromagnetism. Collectively, this investigation elucidates the electronic excitation-induced modulation of ferromagnetism, employing Fe impurity incorporation and irradiation techniques for precise defect engineering. Full article
(This article belongs to the Special Issue Advanced Nanomaterials and Nanocomposites for Energy Conversion)
Show Figures

Figure 1

18 pages, 5082 KB  
Article
Research on 3D Magnetic Memory Signals Induced by Circular Hole Defects
by Bin Yang, Zhifeng Liu and Yang Gao
Magnetochemistry 2025, 11(6), 46; https://doi.org/10.3390/magnetochemistry11060046 - 25 May 2025
Viewed by 1267
Abstract
Metal magnetic memory testing technology can not only detect macroscopic defects in ferromagnetic materials but also rapidly and conveniently detect early damage and stress concentration areas of components. Therefore, it is widely used in the nondestructive testing of ferromagnetic materials. However, the mechanism [...] Read more.
Metal magnetic memory testing technology can not only detect macroscopic defects in ferromagnetic materials but also rapidly and conveniently detect early damage and stress concentration areas of components. Therefore, it is widely used in the nondestructive testing of ferromagnetic materials. However, the mechanism of magnetic memory detection is not yet clarified, and experimental research is unsystematic. Previous studies mainly focus on the normal and tangential components of magnetic memory signals (MMSs), and the third directional component is rarely considered, resulting in problems such as missed detection and misjudgement in practical applications. In this research, specimens without and with a circular hole defect were designed, and the correlation between the 3D MMS and the defect size, as well as the applied load, were investigated using tensile tests. Magnetic parameters were defined to characterize the stress and defect-induced abnormal magnetic change. The effects of applied load and defect size on magnetic parameters were discussed. The experimental results showed that the peak–valley difference in the 3D MMS increases with increasing load and defect size, and the peak–valley spacing in the 3D MMS is not influenced by applied load but increases with increasing defect size. The 3D MMS gradient exhibits a good correlation with the equivalent stress along the loading direction. Additionally, the applied load and defect size were quantitatively evaluated by utilizing the Lissajous figure area generated from the X and Z components of the 3D MMS. Finally, a nonlinear fitting equation for defect size evaluation was presented. This study can provide a theoretical basis for the quantitative detection and evaluation of defect size and stress in engineering applications. Full article
(This article belongs to the Special Issue Latest Updates in Soft Magnetic Materials)
Show Figures

Figure 1

6 pages, 1677 KB  
Proceeding Paper
Magneto-Optical Investigation of Surface Magnetization in Comparison with Bulk Magnetization
by Hermann Tetzlaff, Martin Wortmann and Andrea Ehrmann
Phys. Sci. Forum 2024, 10(1), 9; https://doi.org/10.3390/psf2024010009 - 4 Mar 2025
Viewed by 993
Abstract
Exchange-biased specimens were produced by molecular beam epitaxy (MBE) of ferromagnetic (FM) Co-on-CoO substrates after the substrates had been irradiated by heavy ions to induce defects in the antiferromagnet (AFM). Measurements were obtained at different temperatures for different sample orientations with respect to [...] Read more.
Exchange-biased specimens were produced by molecular beam epitaxy (MBE) of ferromagnetic (FM) Co-on-CoO substrates after the substrates had been irradiated by heavy ions to induce defects in the antiferromagnet (AFM). Measurements were obtained at different temperatures for different sample orientations with respect to the external magnetic field. While the EB was relatively small, measurements of the bulk magnetization at low temperatures revealed unusually shaped hysteresis loops. The surface magnetization, however, showed simple, nearly rectangular hysteresis loops. This study focuses on the advantage of complementary information on surface and bulk magnetization from optical and non-optical measurement methods. Full article
(This article belongs to the Proceedings of The 1st International Online Conference on Photonics)
Show Figures

Figure 1

17 pages, 6933 KB  
Article
Evidence for a Giant Magneto-Electric Coupling in Bulk Composites with Coaxial Fibers of Nickel–Zinc Ferrite and PZT
by Bingfeng Ge, Jitao Zhang, Sujoy Saha, Sabita Acharya, Chaitrali Kshirsagar, Sidharth Menon, Menka Jain, Michael R. Page and Gopalan Srinivasan
J. Compos. Sci. 2024, 8(8), 309; https://doi.org/10.3390/jcs8080309 - 8 Aug 2024
Cited by 4 | Viewed by 2392
Abstract
This report is on magneto-electric (ME) interactions in bulk composites with coaxial fibers of nickel–zinc ferrite and PZT. The core–shell fibers of PZT and Ni1−xZnxFe2O4 (NZFO) with x = 0–0.5 were made by electrospinning. Both kinds [...] Read more.
This report is on magneto-electric (ME) interactions in bulk composites with coaxial fibers of nickel–zinc ferrite and PZT. The core–shell fibers of PZT and Ni1−xZnxFe2O4 (NZFO) with x = 0–0.5 were made by electrospinning. Both kinds of fibers, either with ferrite or PZT core and with diameters in the range of 1–3 μm were made. Electron and scanning probe microscopy images indicated well-formed fibers with uniform core and shell structures and defect-free interface. X-ray diffraction data for the fibers annealed at 700–900 °C did not show any impurity phases. Magnetization, magnetostriction, ferromagnetic resonance, and polarization P versus electric field E measurements confirmed the ferroic nature of the fibers. For ME measurements, the fibers were pressed into disks and rectangular platelets and then annealed at 900–1000 °C for densification. The strengths of strain-mediated ME coupling were measured by the H-induced changes in remnant polarization Pr and by low-frequency ME voltage coefficient (MEVC). The fractional change in Pr under H increased in magnitude, from +3% for disks of NFO–PZT to −82% for NZFO (x = 0.3)-PZT, and a further increase in x resulted in a decrease to a value of −3% for x = 0.5. The low-frequency MEVC measured in disks of the core–shell fibers ranged from 6 mV/cm Oe to 37 mV/cm Oe. The fractional changes in Pr and the MEVC values were an order of magnitude higher than for bulk samples containing mixed fibers with a random distribution of NZFO and PZT. The bulk composites with coaxial fibers have the potential for use as magnetic field sensors and in energy-harvesting applications. Full article
(This article belongs to the Special Issue Discontinuous Fiber Composites, Volume III)
Show Figures

Figure 1

17 pages, 10296 KB  
Article
Low Magnetic Field Induced Extrinsic Strains in Multifunctional Particulate Composites: An Interrupted Mechanical Strengthening in 3D-Printed Nanocomposites
by Andiol Mucolli, Alden Midmer, Marinos Manolesos, Salem Aldosari, Cristian Lira and Hamed Yazdani Nezhad
J. Compos. Sci. 2024, 8(6), 231; https://doi.org/10.3390/jcs8060231 - 20 Jun 2024
Cited by 3 | Viewed by 2880
Abstract
The current paper reports on the quantification of the effect of magnetic fields on the mechanical performance of ferromagnetic nanocomposites in situ during basic standard tensile testing. The research investigates altering the basic mechanical properties (modulus and strength) via the application of a [...] Read more.
The current paper reports on the quantification of the effect of magnetic fields on the mechanical performance of ferromagnetic nanocomposites in situ during basic standard tensile testing. The research investigates altering the basic mechanical properties (modulus and strength) via the application of a contact-less magnetic field as a primary attempt for a future composites strengthening mechanism. The nanocomposite specimens were fabricated using filament-based 3D printing and were comprised of ferromagnetic nanoparticle-embedded thermoplastic polymers. The nanoparticles were iron particles dispersed at 21 wt.% (10.2 Vol.%) inside a polylactic acid (PLA) polymer, characterised utilising optical microscopy and 3D X-ray computed tomography. The magnetic field was stationary and produced using permanent neodymium round-shaped magnets available at two field strengths below 1 Tesla. The 3D printing was a MakerBot Replicator machine operating based upon a fused deposition method, which utilised 1.75 mm-diameter filaments made of iron particle-based PLA composites. The magnetic field-equipped tensile tests were accompanied by a real-time digital image correlation technique for localized strain measurements across the specimens at a 10-micron pixel resolution. It was observed that the lateral magnetic field induces a slight Poisson effect on the development of extrinsic strain across the length of the tensile specimens. However, the effect reasonably interferes with the evolution of strain fields via the introduction of localised compressive strains attributed to accumulated magnetic polarisation at the magnetic particles on an extrinsic scale. The theory overestimated the moduli by a factor of approximately 3.1. To enhance the accuracy of its solutions for 3D-printed specimens, it is necessary to incorporate pore considerations into the theoretical derivations. Additionally, a modest 10% increase in ultimate tensile strength was observed during tensile loading. This finding suggests that field-assisted strengthening can be effective for as-received 3D-printed magnetic composites in their solidified state, provided that the material and field are optimally designed and implemented. This approach could propose a viable method for remote field tailoring to strengthen the material by mitigating defects induced during the 3D printing process. Full article
(This article belongs to the Special Issue 3D Printing Composites)
Show Figures

Figure 1

15 pages, 5612 KB  
Article
Microstructure and Unusual Ferromagnetism of Epitaxial SnO2 Films Heavily Implanted with Co Ions
by Rustam I. Khaibullin, Amir I. Gumarov, Iskander R. Vakhitov, Andrey A. Sukhanov, Nikolay M. Lyadov, Airat G. Kiiamov, Dilyara M. Kuzina, Valery V. Bazarov and Almaz L. Zinnatullin
Condens. Matter 2024, 9(2), 27; https://doi.org/10.3390/condmat9020027 - 11 Jun 2024
Viewed by 2078
Abstract
In this work, we have studied the microstructure and unusual ferromagnetic behavior in epitaxial tin dioxide (SnO2) films implanted with 40 keV Co+ ions to a high fluence of 1.0 × 1017 ions/cm2 at room or elevated substrate [...] Read more.
In this work, we have studied the microstructure and unusual ferromagnetic behavior in epitaxial tin dioxide (SnO2) films implanted with 40 keV Co+ ions to a high fluence of 1.0 × 1017 ions/cm2 at room or elevated substrate temperatures. The aim was to comprehensively understand the interplay between cobalt implant distribution, crystal defects (such as oxygen vacancies), and magnetic properties of Co-implanted SnO2 films, which have potential applications in spintronics. We have utilized scanning electron microscopy (SEM), X-ray diffraction (XRD), X-ray photoelectron spectroscopy (XPS), vibrating sample magnetometry (VSM), differential thermomagnetic analysis (DTMA), and ferromagnetic resonance (FMR) to investigate Co-implanted epitaxial SnO2 films. The comprehensive experimental investigation shows that the Co ion implantation with high cobalt concentration induces significant changes in the microstructure of SnO2 films, leading to the appearance of ferromagnetism with the Curie temperature significantly above the room temperature. We also established a strong influence of implantation temperature and subsequent high-temperature annealing in air or under vacuum on the magnetic properties of Co-implanted SnO2 films. In addition, we report a strong chemical effect of ethanol on the FMR spectra. The obtained results are discussed within the model of two magnetic layers, with different concentrations and valence states of the implanted cobalt, and with a high content of oxygen vacancies. Full article
Show Figures

Figure 1

25 pages, 6943 KB  
Article
Dependence of the Structural and Magnetic Properties on the Growth Sequence in Heterostructures Designed by YbFeO3 and BaFe12O19
by Sondes Bauer, Berkin Nergis, Xiaowei Jin, Reinhard Schneider, Di Wang, Christian Kübel, Petr Machovec, Lukas Horak, Vaclav Holy, Klaus Seemann, Tilo Baumbach and Sven Ulrich
Nanomaterials 2024, 14(8), 711; https://doi.org/10.3390/nano14080711 - 18 Apr 2024
Cited by 1 | Viewed by 2166
Abstract
The structure and the chemical composition of individual layers as well as of interfaces belonging to the two heterostructures M1 (BaFe12O19/YbFeO3/YSZ) and M2 (YbFeO3/BaFe12O19/YSZ) grown by pulsed laser deposition on yttria-stabilized [...] Read more.
The structure and the chemical composition of individual layers as well as of interfaces belonging to the two heterostructures M1 (BaFe12O19/YbFeO3/YSZ) and M2 (YbFeO3/BaFe12O19/YSZ) grown by pulsed laser deposition on yttria-stabilized zirconia (YSZ) substrates are deeply characterized by using a combination of methods such as high-resolution X-ray diffraction, transmission electron microscopy (TEM), and atomic-resolution scanning TEM with energy-dispersive X-ray spectroscopy. The temperature-dependent magnetic properties demonstrate two distinct heterostructures with different coercivity, anisotropy fields, and first anisotropy constants, which are related to the defect concentrations within the individual layers and to the degree of intermixing at the interface. The heterostructure with the stacking order BaFe12O19/YbFeO3, i.e., M1, exhibits a distinctive interface without any chemical intermixture, while an Fe-rich crystalline phase is observed in M2 both in atomic-resolution EDX maps and in mass density profiles. Additionally, M1 shows high c-axis orientation, which induces a higher anisotropy constant K1 as well as a larger coercivity due to a high number of phase boundaries. Despite the existence of a canted antiferromagnetic/ferromagnetic combination (T < 140 K), both heterostructures M1 and M2 do not reveal any detectable exchange bias at T = 50 K. Additionally, compressive residual strain on the BaM layer is found to be suppressing the ferromagnetism, thus reducing the Curie temperature (Tc) in the case of M1. These findings suggest that M1 (BaFe12O19/YbFeO3/YSZ) is suitable for magnetic storage applications. Full article
Show Figures

Graphical abstract

16 pages, 7609 KB  
Article
Pathways toward the Use of Non-Destructive Micromagnetic Analysis for Porosity Assessment and Process Parameter Optimization in Additive Manufacturing of 42CrMo4 (AISI 4140)
by Anna Engelhardt, Thomas Wegener and Thomas Niendorf
Materials 2024, 17(5), 971; https://doi.org/10.3390/ma17050971 - 20 Feb 2024
Cited by 1 | Viewed by 1567
Abstract
Laser-based powder bed fusion of metals (PBF-LB/M) is a widely applied additive manufacturing technique. Thus, PBF-LB/M represents a potential candidate for the processing of quenched and tempered (Q&T) steels such as 42CrMo4 (AISI 4140), as these steels are often considered as the material [...] Read more.
Laser-based powder bed fusion of metals (PBF-LB/M) is a widely applied additive manufacturing technique. Thus, PBF-LB/M represents a potential candidate for the processing of quenched and tempered (Q&T) steels such as 42CrMo4 (AISI 4140), as these steels are often considered as the material of choice for complex components, e.g., in the toolmaking industry. However, due to the presence of process-induced defects, achieving a high quality of the resulting parts remains challenging in PBF-LB/M. Therefore, an extensive quality inspection, e.g., using process monitoring systems or downstream by destructive or non-destructive testing (NDT) methods, is essential. Since conventionally used downstream methods, e.g., X-ray computed tomography, are time-consuming and cost-intensive, micromagnetic NDT measurements represent an alternative for ferromagnetic materials such as 42CrMo4. In this context, 42CrMo4 samples were manufactured by PBF-LB/M with different process parameters and analyzed using a widely established micromagnetic measurement system in order to investigate potential relations between micromagnetic properties and porosity. Using multiple regression modeling, relations between the PBF-LB/M process parameters and six selected micromagnetic variables and relations between the process parameters and the porosity were assessed. The results presented reveal first insights into the use of micromagnetic NDT measurements for porosity assessment and process parameter optimization in PBF-LB/M-processed components. Full article
(This article belongs to the Special Issue Advances in Additive Manufacturing: Characteristics and Innovation)
Show Figures

Figure 1

7 pages, 1325 KB  
Communication
Strong Room-Temperature Ferromagnetism of MoS2 Compound Produced by Defect Generation
by Chang-Soo Park, Younghae Kwon, Youjoong Kim, Hak Dong Cho, Heetae Kim, Woochul Yang and Deuk Young Kim
Nanomaterials 2024, 14(4), 334; https://doi.org/10.3390/nano14040334 - 8 Feb 2024
Cited by 6 | Viewed by 2667
Abstract
Ferromagnetic materials have been attracting great interest in the last two decades due to their application in spintronics devices. One of the hot research areas in magnetism is currently the two-dimensional materials, transition metal dichalcogenides (TMDCs), which have unique physical properties. The origins [...] Read more.
Ferromagnetic materials have been attracting great interest in the last two decades due to their application in spintronics devices. One of the hot research areas in magnetism is currently the two-dimensional materials, transition metal dichalcogenides (TMDCs), which have unique physical properties. The origins and mechanisms of transition metal dichalcogenides (TMDCs), especially the correlation between magnetism and defects, have been studied recently. We investigate the changes in magnetic properties with a variation in annealing temperature for the nanoscale compound MoS2. The pristine MoS2 exhibits diamagnetic properties from low-to-room temperature. However, MoS2 compounds annealed at different temperatures showed that the controllable magnetism and the strongest ferromagnetic results were obtained for the 700 °C-annealed sample. These magnetizations are attributed to the unpaired electrons of vacancy defects that are induced by annealing, which are confirmed using Raman spectroscopy and electron paramagnetic resonance spectroscopy (EPR). Full article
(This article belongs to the Special Issue Magnetism and Magnetic Properties of Nanomaterials)
Show Figures

Figure 1

12 pages, 3617 KB  
Article
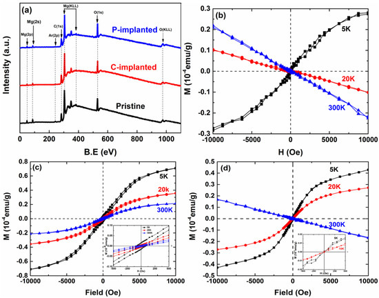
Magnetic Properties of C-Implanted and P-Implanted MgO Single Crystal: A Comparative Experimental and First-Principle Study
by Xingyu Wang, Chunlin Ma, Weiping Zhou and Weishi Tan
Crystals 2023, 13(3), 386; https://doi.org/10.3390/cryst13030386 - 23 Feb 2023
Cited by 2 | Viewed by 2210
Abstract
The magnetic properties were investigated for C- and P-implanted MgO single crystals, which were irradiated by 80 keV C and P ions with the dose of 3 × 1017 ions/cm2. The magnetic properties of pristine MgO were apparently changed by [...] Read more.
The magnetic properties were investigated for C- and P-implanted MgO single crystals, which were irradiated by 80 keV C and P ions with the dose of 3 × 1017 ions/cm2. The magnetic properties of pristine MgO were apparently changed by C and P ion implantation. Room temperature ferromagnetism was presented in the C-implanted sample, while the P-implanted sample only displayed paramagnetism at 20 K. For the purpose of clarifying the correlation between the magnetic properties and microstructure, a comparative study was carried out using experimental and theoretical methods in both C and P ion-implanted samples. The defect types were characterized by X-ray diffraction, X-ray photoelectron spectroscopy, photoluminescence, and absorption spectrum. The existence of intrinsic (Mg vacancies, O vacancies) and extrinsic (C-related and P-related) defects were verified by the experimental results. The magnetic properties induced by various single and composite defects were studied by first-principle calculations. The calculation results indicated that the configuration of VMg (Mg vacancy) + CO (C substitute O defect) was a key factor for the inducing ferromagnetic properties in C-implanted MgO. For the case of the P-implanted MgO, the configuration of P-related defects and intrinsic vacancies can only contribute to the total moment value but cannot induce ferromagnetism. Full article
Show Figures

Figure 1

14 pages, 5430 KB  
Article
Kinetics and the Effect of Thermal Treatments on the Martensitic Transformation and Magnetic Properties in Ni49Mn32Ga19 Ferromagnetic Shape Memory Ribbons
by Felicia Tolea, Bogdan Popescu, Cristina Bartha, Monica Enculescu, Mugurel Tolea and Mihaela Sofronie
Magnetochemistry 2023, 9(1), 7; https://doi.org/10.3390/magnetochemistry9010007 - 25 Dec 2022
Cited by 5 | Viewed by 2464
Abstract
In our work, the kinetics of martensitic transformations and the influence of thermal treatments on martensitic transformations, as well as the related magnetic properties of the Ni49Mn32Ga19 ferromagnetic shape memory melt-spun ribbons, have been investigated. Thermal treatments at [...] Read more.
In our work, the kinetics of martensitic transformations and the influence of thermal treatments on martensitic transformations, as well as the related magnetic properties of the Ni49Mn32Ga19 ferromagnetic shape memory melt-spun ribbons, have been investigated. Thermal treatments at 673 K for 1, 4 and 8 h can be considered an instrument for fine-tuning the performance parameters of alloys. One-hour thermal treatments promote an improvement in the crystallinity of these otherwise highly textured ribbons, reducing internal defects and stress induced by the melt-spinning technique. Longer thermal treatments induce an important magnetization rise concomitantly with a slight and continuous increase in martensitic temperatures and transformation enthalpy. The activation energy, evaluated from differential scanning calorimeter experimental data with a Friedman model, significantly increases after thermal treatments as a result of the multi-phase coexistence and stabilization of the non-modulated martensitic phase, which increases the reverse martensitic transformation hindrance. Full article
(This article belongs to the Special Issue Phase Change Material and Magnetic Research)
Show Figures

Figure 1

Back to TopTop