Sign in to use this feature.

Years

Between: -

Subjects

remove_circle_outline
remove_circle_outline
remove_circle_outline
remove_circle_outline
remove_circle_outline
remove_circle_outline
remove_circle_outline
remove_circle_outline
remove_circle_outline

Journals

remove_circle_outline
remove_circle_outline
remove_circle_outline
remove_circle_outline
remove_circle_outline
remove_circle_outline
remove_circle_outline
remove_circle_outline
remove_circle_outline
remove_circle_outline
remove_circle_outline
remove_circle_outline
remove_circle_outline
remove_circle_outline
remove_circle_outline
remove_circle_outline
remove_circle_outline

Article Types

Countries / Regions

remove_circle_outline
remove_circle_outline
remove_circle_outline
remove_circle_outline
remove_circle_outline
remove_circle_outline

Search Results (3,353)

Search Parameters:
Keywords = damping effects

Order results
Result details
Results per page
Select all
Export citation of selected articles as:
34 pages, 8694 KB  
Article
The Influence of Mechanical Impact on the Dynamic Response of Multibody Systems
by Sorin Dumitru, Cristian Copiluși, Ionuț Geonea, Adrian Marius Calangiu, Gabriel Marinescu, Nicolae Dumitru and Diana Catalu
Mathematics 2026, 14(9), 1427; https://doi.org/10.3390/math14091427 (registering DOI) - 23 Apr 2026
Abstract
Contact–impact phenomena caused by joint clearances can significantly alter the dynamic response of high-speed mechanical systems, yet fewer studies combine analytical impact-force modeling, virtual prototyping, and experimental observations for multi-cylinder internal combustion engine mechanisms within a unified framework. This problem is scientifically important [...] Read more.
Contact–impact phenomena caused by joint clearances can significantly alter the dynamic response of high-speed mechanical systems, yet fewer studies combine analytical impact-force modeling, virtual prototyping, and experimental observations for multi-cylinder internal combustion engine mechanisms within a unified framework. This problem is scientifically important because the piston–connecting rod–crankshaft chain is subjected to rapid motion reversals, high transmitted loads, and local clearances that may generate shocks, force amplification, and vibration growth. The objective of this study is to evaluate the influence of mechanical impact on the dynamic response of a three-cylinder inline engine mechanism by combining analytical modeling, MSC Adams virtual prototyping, and experimental investigation. The mechanism was analyzed in two operating conditions: under load, using an experimentally derived gas pressure input, and without load at low speed imposed on the crankshaft, using a sectioned engine test bench. The loaded virtual model was studied at a crankshaft speed of 6000 rpm, with cylinder gas pressure peaks above 90 bar and engine torque oscillating around 170 Nm. A radial clearance of 0.03 mm was introduced in the connecting rod–piston joint to evaluate clearance-induced impacts. The results showed that the damping coefficient strongly influences the amplitude and harmonic content of the impact force. For the analyzed no-load case at low speed, the simulated impact force reached a maximum value of 3000 N. Experimentally, the worn connecting rod with 0.03 mm clearance exhibited markedly higher dynamic response than the clearance-free case, with the maximum longitudinal acceleration increasing from 17.77 to 48.26 m/s2 at 1.341 Hz. The novelty of the study lies in the integrated analytical–virtual–experimental investigation of clearance-induced impact in a three-cylinder inline engine mechanism and in the comparative evaluation of its effects on joint forces and vibration signatures. In addition, compared to other models, the novelty lies in introducing and adapting the impact force damping component for mechanisms with rapid motion and high dynamic loads. Full article
(This article belongs to the Section E: Applied Mathematics)
27 pages, 4505 KB  
Article
A Variable-Order ABC Fractional Framework for Systemic Financial Stress Dynamics
by Saeed M. Ali
Fractal Fract. 2026, 10(5), 282; https://doi.org/10.3390/fractalfract10050282 (registering DOI) - 23 Apr 2026
Abstract
This paper studies a novel nonlinear fractional-order financial stress model involving Atangana–Baleanu–Caputo (ABC) operators. It focuses on memory effects that are both constant and variable. The novelty of the proposed framework lies in combining multiple interconnected channels of systemic stress into one fractional [...] Read more.
This paper studies a novel nonlinear fractional-order financial stress model involving Atangana–Baleanu–Caputo (ABC) operators. It focuses on memory effects that are both constant and variable. The novelty of the proposed framework lies in combining multiple interconnected channels of systemic stress into one fractional dynamical model and looks at how they change over time and how they respond to sustained external perturbations. Theoretically, we prove well-posedness results and study the equilibrium structure and stability of the given model. On the computational side, we use numerical simulations of the individual stress components and an aggregate systemic stress index to look into short-term dynamics under different memory regimes. We also include a shock-response analysis to show how memory effects change the way stress builds up, relaxes, and spreads when forced. The sensitivity analysis shows that systemic stress is amplified by the forcing and interaction parameters and reduced by the damping parameters. These findings demonstrate that the model provides a new and effective tool for studying systemic financial instability in a fractional setting. Full article
(This article belongs to the Special Issue Advances in Dynamics and Control of Fractional-Order Systems)
26 pages, 17087 KB  
Article
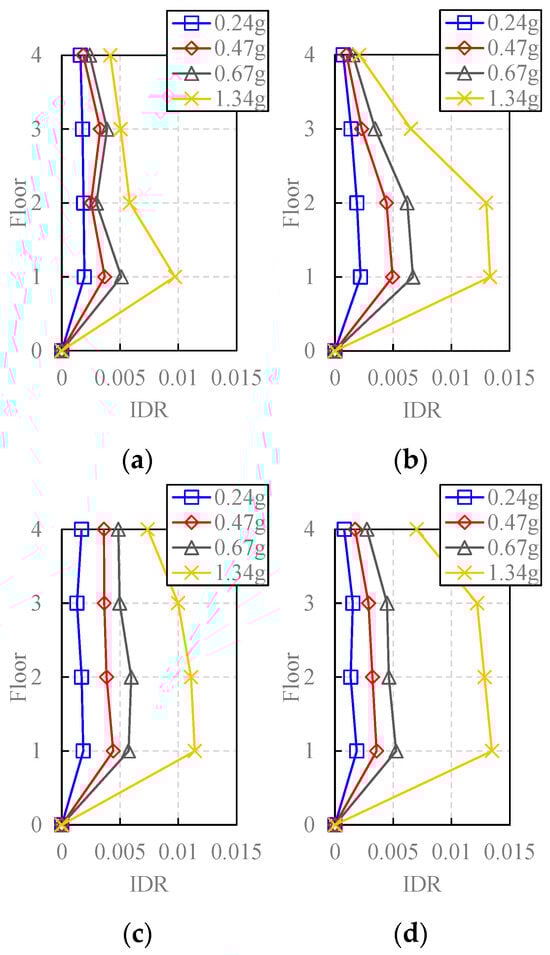
Experimental Study on the Performance of an Earthquake-Damaged Frame Upgraded with Viscous Dampers
by Xiaoting Wang, Guocheng Qing, Yujiang Zhou, Hao Wu and Yuande Lei
Buildings 2026, 16(9), 1666; https://doi.org/10.3390/buildings16091666 (registering DOI) - 23 Apr 2026
Abstract
This study presents an experimental investigation into the repair and seismic performance enhancement of earthquake-damaged reinforced concrete (RC) frame structures using high-strength cement mortar and viscous dampers. A 1/4-scale, four-story RC frame model—designed according to a seismic fortification intensity of 8 degrees (corresponding [...] Read more.
This study presents an experimental investigation into the repair and seismic performance enhancement of earthquake-damaged reinforced concrete (RC) frame structures using high-strength cement mortar and viscous dampers. A 1/4-scale, four-story RC frame model—designed according to a seismic fortification intensity of 8 degrees (corresponding to 0.2 g PGA in China’s seismic code)—was subjected to shaking table tests under increasing levels of artificial seismic excitation. Following the first round of loading, the damaged structure was repaired using high-strength mortar infill, and 12 viscous dampers were installed for seismic upgrade. The second round of identical seismic loading was applied to evaluate the effectiveness of the repair strategy. Comparative analysis of structural responses before and after repair reveals that the combination of high-strength mortar and viscous dampers improved damping capacity. The initial natural frequencies of the repaired structure increased by 6% (X) and 24% (Y), and damping ratios rose—reaching 12.75% and 10.78% under rare ground motions (1.34 g). Peak acceleration and inter-story drift ratio (IDR) were effectively reduced under moderate seismic levels, although some increase in IDR was observed at higher intensities, all drift values remained within the seismic code limits. The viscous dampers significantly altered the inter-story deformation mechanism, reducing the deformation concentration factor (DCF) of the frame structure and resulting in a more uniform distribution of story drifts. In addition, the energy dissipation capacity of the dampers increased progressively with the intensity of seismic excitation. The results validate the feasibility and efficiency of integrating viscous dampers with high-strength mortar for seismic repair and retrofitting of RC frame structure. Full article
Show Figures

Figure 1

33 pages, 9800 KB  
Article
Experimental Study of Low-Cycle Fatigue and Recovery of Polymer Blends for Viscous Damping Walls
by Songhang He, Feifei Sun, Defeng Xu and Xiangjun Wu
Polymers 2026, 18(9), 1022; https://doi.org/10.3390/polym18091022 (registering DOI) - 23 Apr 2026
Abstract
The viscoelastic materials used in traditional viscous damping walls (VDWs) typically exhibit high storage moduli, which tend to exacerbate the structural response of adjacent components during earthquakes. Furthermore, existing studies are mostly limited to small-strain characterization and lack investigation into the macroscopic mechanical [...] Read more.
The viscoelastic materials used in traditional viscous damping walls (VDWs) typically exhibit high storage moduli, which tend to exacerbate the structural response of adjacent components during earthquakes. Furthermore, existing studies are mostly limited to small-strain characterization and lack investigation into the macroscopic mechanical recovery characteristics of materials under mainshock-aftershock sequences. To overcome these limitations, this study introduces silicone oil (SO) as a softener to prepare a novel viscoelastic polymer blend (PIB-B12-SO). Utilizing a customized self-stabilization dynamic sandwich-type shear (S-DSTS) device, the macroscopic dynamic mechanical behavior of the blend was systematically evaluated, focusing on its low-cycle fatigue and rest-recovery characteristics. The results indicate that the addition of SO effectively reduces the storage modulus and significantly enhances the loss factor of the blend. Notably, at a mixing ratio of 1:4 (SO: PIB-B12), the loss factor increased by 65.6% compared to pure PIB-B12. Furthermore, the introduction of SO effectively suppresses the degradation of the loss modulus under cyclic loading and promotes viscous recovery during the rest periods. The silicone oil blend modification successfully optimizes the macroscopic viscoelastic properties of PIB-B12, significantly enhancing the energy dissipation stability of the material under low-cycle fatigue and interval loading. Full article
(This article belongs to the Section Polymer Applications)
Show Figures

Graphical abstract

21 pages, 3896 KB  
Article
Investigating the Participation of Embedded VSC-HVDC Systems in Frequency Regulation During Post-Splitting Events via a Coordinated Supplementary Control Layer
by Mohammad Qawaqneh, Gaetano Zizzo, Antony Vasile, Liliana Mineo, Angelo L’Abbate and Lorenzo Carmine Vitulano
Energies 2026, 19(9), 2034; https://doi.org/10.3390/en19092034 - 23 Apr 2026
Abstract
Synchronous Alternating Current (AC) power systems are increasingly supported by embedded High-Voltage Direct Current (HVDC) links to enhance operational flexibility and ensure security of supply. However, the loss of High-Voltage Alternating Current (HVAC) interconnections in these synchronous areas may lead to transmission network [...] Read more.
Synchronous Alternating Current (AC) power systems are increasingly supported by embedded High-Voltage Direct Current (HVDC) links to enhance operational flexibility and ensure security of supply. However, the loss of High-Voltage Alternating Current (HVAC) interconnections in these synchronous areas may lead to transmission network splitting, posing serious challenges to frequency stability due to the reduction in overall system inertia and stiffness. In this paper, a supplementary control layer is proposed to enable embedded HVDC systems, particularly those based on modern Voltage Source Converters (VSCs), to support frequency stability under post-splitting conditions. The proposed control strategy combines Angle-Difference Control (ADC), Frequency-Difference Control (FDC), and feedforward action, enabling fast and coordinated active-power modulation. A single-bus, dynamic multi-area Load Frequency Control (LFC) model is developed, combining the regulation of thermal units, Renewable Energy Sources’ (RESs’) Fast Frequency Response (FFR) with Synthetic Inertia (SI), and VSC-HVDC modulation. The effectiveness of the proposed control layer is demonstrated by applying it to the East Tyrrhenian Link (ETL), an embedded VSC-HVDC interconnection connecting Sicily with the mainland of Italy, under a post-splitting low-inertia condition in which Sicily operates as an islanded synchronous system, i.e., after losing synchronism with the mainland of Italy, in a 2030 scenario condition. The simulation results demonstrate that the proposed controller enables embedded VSC-HVDC systems to actively participate in post-splitting frequency containment and damping, as well as coordinated active power reallocation, thereby enhancing overall system stability and resilience. Full article
Show Figures

Figure 1

27 pages, 20174 KB  
Article
Experimental and Numerical Investigations of a Steel-Tube-Reinforced Concrete Column with a Reinforced Concrete Hidden Ring Beam Joint
by Yuhong Ling, Jinghang Xu and Jing Zhou
Buildings 2026, 16(9), 1655; https://doi.org/10.3390/buildings16091655 - 23 Apr 2026
Abstract
In this paper, a hidden ring beam (HRB) joint suitable for steel-tube-reinforced concrete (ST-RC) composite columns is proposed. The seismic performance was evaluated experimentally by hysteresis loading tests on reinforcement anchorage construction and reinforced concrete (RC) slabs, which was evaluated by several indices [...] Read more.
In this paper, a hidden ring beam (HRB) joint suitable for steel-tube-reinforced concrete (ST-RC) composite columns is proposed. The seismic performance was evaluated experimentally by hysteresis loading tests on reinforcement anchorage construction and reinforced concrete (RC) slabs, which was evaluated by several indices to assess the strength, ductility, stiffness degradation and energy dissipation capacity. The results showed that the HRB joints have reliable seismic safety performance. The ultimate failure of all the specimens occurred in the plastic hinge regions of the RC beams. The specimens with different reinforcement anchorage construction methods exhibited excellent anchorage performance, maintaining effective anchorage between beam longitudinal bars and ring bars under cyclic loading. The RC slab increased the joint strength and the initial stiffness, with only a reduction in the ductility coefficient, and the average equivalent viscous damping coefficient reached 0.155. In addition, a joint numerical model was established, and the accuracy was validated against the test results, with the predicted strength differing from the test results by no more than 6%. A parametric analysis using numerical simulations revealed that the ring–longitudinal ratio, bearing stirrup diameter, RC slab constraints and axial load ratio were critical factors influencing the seismic performance of the joints. On the basis of the results of the parametric analysis, a moment capacity calculation method is proposed for HRB joints, providing a practical reference for seismic design in engineering applications. Full article
(This article belongs to the Section Building Structures)
Show Figures

Figure 1

48 pages, 6191 KB  
Article
A Weak-Grid Supportive Scheme via Community-Scale BESS Controlled as a Virtual Synchronous Generator (VSG)
by Kewen Xu and Mohsen Eskandari
Electronics 2026, 15(9), 1793; https://doi.org/10.3390/electronics15091793 - 23 Apr 2026
Abstract
Weak-grid operation, with a low short-circuit ratio (SCR), degrades voltage and frequency regulation and impacts the power control performance of inverter-based resources, triggering oscillations. This paper proposes a community-scale battery energy storage system (BESS)-supported grid-forming control scheme, where the grid-forming inverter acts a [...] Read more.
Weak-grid operation, with a low short-circuit ratio (SCR), degrades voltage and frequency regulation and impacts the power control performance of inverter-based resources, triggering oscillations. This paper proposes a community-scale battery energy storage system (BESS)-supported grid-forming control scheme, where the grid-forming inverter acts a virtual synchronous generator (VSG). A grid-connected BESS-powered VSG model with cascaded voltage-current dual-loop control is developed to assess the impacts of line impedance and P-Q coupling on weak-grid connection and stability. In addition to the conventional VSG, dq-axis decoupling, virtual impedance, and adaptive inertia-damping (J-D) are incorporated and evaluated through multi-scenario MATLAB/Simulink simulations. The results indicate that virtual impedance effectively suppresses coupled oscillations, and the coordinated J-D adaptation yields the most pronounced peak mitigation during edge disturbances (e.g., fault clearance and load shedding). In particular, under a 50% three-phase voltage sag, the coordinated strategy reduces the post-clearance peaks of vpcc,rms      and ipcc,rms    by approximately 79.9% and 93.5%, respectively, and decreases the intensity of frequency fluctuations by approximately 97.6%. Overall, the proposed community-scale BESS-VSG scheme enhances the dynamic stability of voltage and frequency under weak-grid conditions and provides a practical control framework for engineeringoriented weak-grid support studies. Full article
26 pages, 4037 KB  
Article
Characterization of Squeeze Film Damping in Force Rebalance Accelerometers
by Hasan Baran Özmen, Melin Şahin and Gökhan Osman Özgen
Sensors 2026, 26(9), 2589; https://doi.org/10.3390/s26092589 - 22 Apr 2026
Abstract
Force rebalance-type accelerometers are mainly used in inertial navigation systems of aircraft, and the characterization of the resulting squeeze film damping (SFD) is essential for estimating dynamic response characteristics of these accelerometers. In this study, a methodology for modeling SFD and experimentally verifying [...] Read more.
Force rebalance-type accelerometers are mainly used in inertial navigation systems of aircraft, and the characterization of the resulting squeeze film damping (SFD) is essential for estimating dynamic response characteristics of these accelerometers. In this study, a methodology for modeling SFD and experimentally verifying this model for force rebalance-type accelerometers is presented. Modeling of the SFD effect involves determining an effective damping coefficient as a function of pendulum displacement. Damping force and pressure distribution due to SFD are obtained for a range of pendulum displacements via finite element analysis (FEA). The accelerometer is modeled as both an open- and closed-loop system, where an identified damping model for SFD is also used. The open-loop model is verified by comparing the step response of the system, and the closed-loop model is verified by comparing the frequency and shock responses of the system via simulations and experiments. Simulation and test results of both open- and closed-loop systems show close agreement. The presented results indicate that in systems with similar dimensions and material properties, damping due to SFD in a force rebalance accelerometer can be accurately modeled as a function of pendulum displacement using the method described in this research study. Full article
(This article belongs to the Section Physical Sensors)
Show Figures

Figure 1

28 pages, 12685 KB  
Article
Robust Finite-Time Neural State Observer-Driven Fault-Tolerant Control of USVs Under Actuator Faults
by Wenxue Su, Wei Liu, Yuan Hu, Jingtao Pei and Xingwang Huang
J. Mar. Sci. Eng. 2026, 14(9), 766; https://doi.org/10.3390/jmse14090766 - 22 Apr 2026
Abstract
To address the actuator fault problem faced by underactuated surface vessels (USVs), this study develops an active fault-tolerant control scheme based on finite-time output feedback. First, a finite-time neural terminal homogeneous state observer with a portional-integral structure is established. High-precision pose reconstruction enables [...] Read more.
To address the actuator fault problem faced by underactuated surface vessels (USVs), this study develops an active fault-tolerant control scheme based on finite-time output feedback. First, a finite-time neural terminal homogeneous state observer with a portional-integral structure is established. High-precision pose reconstruction enables finite-time synchronous reconstruction of unmeasured states. This allows unknown nonlinearities to be explicitly expressed online and incorporated into the compensation channel, significantly reducing the sensitivity of modeling errors to control performance. A neural damping mechanism is used to structurally reconstruct uncertain dynamics and loss-of-effectiveness (LOE) fault factors within the system, thereby constructing an online approximator to achieve real-time identification and compensation of composite uncertainties. This integrates the unknown nonlinearities and fault effects of the original system into an online-updatable estimation channel. Adopting a backstepping-based design methodology, a finite-time hybrid event-triggered control (ETC) architecture is further constructed. By introducing an event-triggered update mechanism at the control layer, the real-time continuous control signal is transformed into a discrete update. Based on Lyapunov stability theory, a comprehensive analysis is carried out to verify the stability of the proposed control scheme. Numerical simulations are finally carried out to validate the effectiveness of the scheme. Simulation results show that the tracking error is reduced by about 93% and 60% compared to the comparison scheme. Full article
(This article belongs to the Special Issue New Technologies in Autonomous Ship Navigation)
38 pages, 21489 KB  
Article
Pareto Optimal Weight Learning and Gradient Anisotropic Supervoxel Segmentation for Thermo-Geometric Point Clouds
by Tan Xutong, Chun Yin, Xuegang Huang, Xiao Peng and Junyang Liu
Sensors 2026, 26(9), 2582; https://doi.org/10.3390/s26092582 - 22 Apr 2026
Abstract
The simultaneous analysis of geometric morphology and thermodynamic states from heterogeneous sensing modalities is essential for high-temperature industrial inspection. While supervoxel segmentation is effective for extracting fine structures, conventional fixed-weighting schemes often struggle with the inherent heterogeneity between spatial sensors and thermal sensors. [...] Read more.
The simultaneous analysis of geometric morphology and thermodynamic states from heterogeneous sensing modalities is essential for high-temperature industrial inspection. While supervoxel segmentation is effective for extracting fine structures, conventional fixed-weighting schemes often struggle with the inherent heterogeneity between spatial sensors and thermal sensors. This paper proposes a segmentation framework for thermo-geometric point clouds based on Pareto-optimal weight learning and gradient anisotropy. A multi-objective evolutionary optimization algorithm is employed for multi-modal Pareto weight learning to adaptively balance geometric and thermal constraints. The developed gradient-anisotropic supervoxel generation algorithm introduces a local saliency factor to achieve fine-grained thermodynamic segmentation. Furthermore, a gradient damping mechanism is implemented to ensure high thermal-boundary adherence even in geometrically planar regions by imposing anisotropic penalty forces. Finally, a region-growing method based on the optimized multi-sensor fusion weights is utilized to merge similar supervoxels. Experimental results demonstrate that our approach outperforms traditional baselines by achieving high-fidelity thermal segmentation and multi-modal boundary preservation, while accepting a modest and necessary compromise in geometric compactness to accommodate spatial–thermal inconsistencies. Full article
(This article belongs to the Collection 3D Imaging and Sensing System)
32 pages, 3738 KB  
Article
Study on Transverse Vibration Suppression of Deep-Sea Mining Rigid Pipes Using Triple-Spring Nonlinear Energy Sink
by Xiaomin Li, Yunlong Du, Fuheng Li and Honglu Gu
J. Mar. Sci. Eng. 2026, 14(9), 767; https://doi.org/10.3390/jmse14090767 - 22 Apr 2026
Abstract
Deep-sea mining systems are a critical pathway for acquiring key strategic resources such as nickel and cobalt. The core conveying component, the mining rigid pipe, is susceptible to transverse vibrations under complex wave excitation, which threaten system safety, necessitating the development of efficient [...] Read more.
Deep-sea mining systems are a critical pathway for acquiring key strategic resources such as nickel and cobalt. The core conveying component, the mining rigid pipe, is susceptible to transverse vibrations under complex wave excitation, which threaten system safety, necessitating the development of efficient and reliable vibration control solutions. This paper proposes an improved Triple-spring nonlinear energy sink (TS-NES). An integrated dynamic model coupling the mining rigid pipe and the TS-NES is established using the vector form intrinsic finite element method and solved via the central difference method. The effectiveness and superiority of the TS-NES are verified through displacement, time–frequency, energy, and phase analyses. Subsequently, a systematic parameter sensitivity study is conducted. The results indicate that under both single-frequency and multi-frequency wave excitations, the TS-NES exhibits broadband, high-efficiency vibration suppression performance superior to that of the conventional tuned mass damper (TMD). It can substantially and uniformly dissipate vibration energy and maintain an approximately 90° phase lag with the primary structure. Parameter studies reveal that installing the TS-NES in the upper section of the pipe yields significant vibration reduction. The device is insensitive to stiffness variations, and appropriately increasing its mass, damping, and inclination angle can further enhance the vibration suppression effect. Full article
(This article belongs to the Section Ocean Engineering)
23 pages, 1391 KB  
Article
Modeling and Application of a Variable-Speed Synchronous Condenser Under New-Type Power Systems
by Wei Luo, Qiantao Huo and Fuxia Wu
Energies 2026, 19(9), 2020; https://doi.org/10.3390/en19092020 - 22 Apr 2026
Abstract
With the increasing penetration of wind and solar renewable energy into modern power systems, grids exhibit ‘dual-high’ (i.e., a high proportion of both renewable energy and power electronic devices) and ‘dual-low’ (i.e., low equivalent rotational inertia and low short-circuit capacity) structural characteristics. This [...] Read more.
With the increasing penetration of wind and solar renewable energy into modern power systems, grids exhibit ‘dual-high’ (i.e., a high proportion of both renewable energy and power electronic devices) and ‘dual-low’ (i.e., low equivalent rotational inertia and low short-circuit capacity) structural characteristics. This leads to critical challenges, notably insufficient short-circuit capacity, declining voltage and frequency stability, and weakened system damping. To address the stability requirements of new power systems, this study proposes and systematically investigates a variable-speed synchronous condenser based on AC excitation technology. The research encompasses the operational principles, starting mechanisms, and control strategies of the device, with a particular focus on analyzing its stator-flux-oriented vector control method and active–reactive power decoupling regulation mechanism. By independently adjusting the frequency, amplitude, and phase of the AC excitation on the rotor side, the system achieves a millisecond-level dynamic reactive power response, rapid frequency support, and self-starting capability without the need for external starting devices. To validate the effectiveness of the theoretical analysis and engineering practicality, this study presents grid-connected operational tests using a 3600 kVar engineering prototype at a wind farm. The test results demonstrate that the variable-speed synchronous condenser performs excellently in speed regulation, dynamic reactive power response, and primary frequency modulation. It effectively provides short-circuit capacity, enhances system damping, and significantly improves the voltage and frequency stability of power grids with high penetration of renewable energy. This study offers innovative technical pathways and empirical evidence for constructing a stability support system that meets the developmental needs of new power systems. It holds significant theoretical value and engineering guidance for promoting the smooth transition of power grids from synchronous machine-dominated to power electronics-based architectures. Full article
(This article belongs to the Section F1: Electrical Power System)
29 pages, 4368 KB  
Article
Integrating Smart Materials into Building Facade Design to Achieve Thermal Sustainability: A Case Study in Karbala, Iraq
by Saba Salih Shalal, Haider I. Alyasari, Zahraa Nasser Azzam, Ali Nadhim Shakir, Zainab Mahmood Malik and Zainab Hamid Mohson
Buildings 2026, 16(8), 1634; https://doi.org/10.3390/buildings16081634 - 21 Apr 2026
Abstract
This study addresses a critical methodological gap in evaluating building envelope performance in hot, arid climates, the overreliance on annual energy indicators, which fail to capture transient thermal behavior during peak-load periods. In such environments, instantaneous heat gains, their intensity, and temporal distribution [...] Read more.
This study addresses a critical methodological gap in evaluating building envelope performance in hot, arid climates, the overreliance on annual energy indicators, which fail to capture transient thermal behavior during peak-load periods. In such environments, instantaneous heat gains, their intensity, and temporal distribution are decisive factors for cooling demand, occupant comfort, and grid stability. To overcome this limitation, a dynamic evaluation framework—the Thermal Adaptation Rating (TAC) system—is proposed. TAC integrates three interrelated indices—peak temperature reduction (ΔT_peak), relative peak cooling load reduction (ΔP_peak, %), and peak thermal delay (Δt_delay), representing thermal damping, load intensity mitigation, and temporal redistribution, respectively. A typical residential building in Karbala was modeled in DesignBuilder using the EnergyPlus engine, with inputs documented and calibration performed against real consumption data following ASHRAE standards (MBE and CV(RMSE)) to ensure reliability. The study examined advanced envelope systems, including thermochromic glass (TG), phase-change materials (PCMs), aerogel materials (AMs), and hybrid combinations. Results revealed that while AM achieved the greatest annual energy savings, its impact on instantaneous cooling load was limited. PCM, by contrast, effectively mitigated and delayed peak loads, enhancing thermal comfort (PMV/PPD). Hybrid systems, particularly TG-PCM, delivered the most balanced performance, simultaneously reducing peak cooling load and shifting its occurrence to reshape the cooling demand curve during critical periods. These findings demonstrate that annual indices alone are insufficient for evaluating envelope performance in extreme climates. Peak-condition analysis, expressed in terms of instantaneous cooling load, as operationalized through TAC, provides a more accurate representation of thermal behavior and offers a practical tool to guide envelope design decisions in hot, dry regions. Full article
(This article belongs to the Section Architectural Design, Urban Science, and Real Estate)
Show Figures

Figure 1

26 pages, 2890 KB  
Article
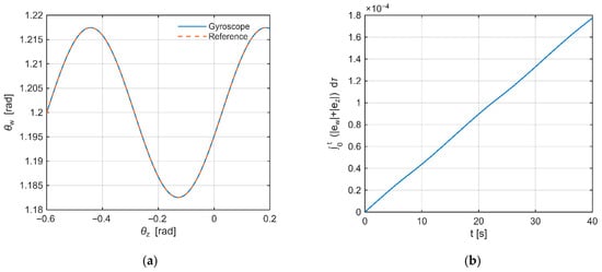
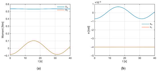
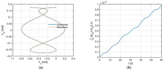
Adaptive Gyroscopic Feedback-Based Foundation Control for Sustainable and Automated Torsional Seismic Mitigation in Buildings
by Seyi Stephen, Jummai Bello, Clinton Aigbavboa, John Ogbeleakhu Aliu, Opeoluwa Akinradewo, Ayodeji Oke, Olayiwola Oladiran and Abiola Oyediran
Sustainability 2026, 18(8), 4120; https://doi.org/10.3390/su18084120 - 21 Apr 2026
Abstract
Seismic-induced torsional response remains a significant barrier to achieving resilient and sustainable building foundations, as traditional passive isolation systems often fail to regulate rotational motion effectively. This study examines an adaptive gyroscopic feedback-based foundation control system designed to provide automated torsional seismic mitigation. [...] Read more.
Seismic-induced torsional response remains a significant barrier to achieving resilient and sustainable building foundations, as traditional passive isolation systems often fail to regulate rotational motion effectively. This study examines an adaptive gyroscopic feedback-based foundation control system designed to provide automated torsional seismic mitigation. The proposed system integrates real-time angular velocity sensing using MEMS gyroscopes, Kalman filter state estimation, and an adaptive Linear Quadratic Regulator to modulate damping in response to changing ground motion. A single-degree-of-freedom torsional foundation model was developed and evaluated in GNU Octave 8.4.0/MATLAB R2024a Simulink using the recorded El Centro 1940 NS earthquake input. The adaptive controller achieved notable improvements, reducing total vibration energy by 69%, peak angular displacement by 47.6%, and RMS angular velocity by 39.5% relative to the uncontrolled case, while keeping control energy below 19% of the seismic input. These results demonstrate that gyroscopic feedback enhances damping, limits torsional resonance, and stabilises foundation behaviour under actual earthquake excitation. The system’s low energy requirement, compatibility with embedded hardware, and automated response characteristics underscore its potential for integration into sustainable and intelligent foundation designs. While results are demonstrated using the El Centro 1940 record as a benchmark, broader generalisation will be established through multi-record suites and uncertainty quantification in future work. The study highlights a feasible pathway for advancing automated seismic protection in buildings through active, sensor-driven torsional control. Full article
(This article belongs to the Special Issue Automation in Construction: Advancing Sustainable Building Practices)
Show Figures

Figure 1

23 pages, 7352 KB  
Article
Dual Biocontrol and Plant Growth-Promoting Effects of Trichoderma nordicum V1 Against Oomycete Plant Pathogens
by Songrong Li, Xian Wen, Siqiao Chen, Yishen Zhao, Jinhao Chen, Wanrong Li, Yajuan Chen, Mingyue Ding, Siqi Jiang, Wilfred Mabeche Anjago, Dongmei Zhou, Feng M. Cai, Irina S. Druzhinina, Min Jiu, Lihui Wei and Paul Daly
J. Fungi 2026, 12(4), 292; https://doi.org/10.3390/jof12040292 - 20 Apr 2026
Abstract
The potential of Trichoderma nordicum (Hypocreales, Ascomycota), a recently described species, for antagonism and use in the biocontrol of oomycete-caused plant diseases is unknown. Trichoderma is a well-known genus for containing microbial antagonists and biocontrol agents. The T. nordicum in [...] Read more.
The potential of Trichoderma nordicum (Hypocreales, Ascomycota), a recently described species, for antagonism and use in the biocontrol of oomycete-caused plant diseases is unknown. Trichoderma is a well-known genus for containing microbial antagonists and biocontrol agents. The T. nordicum in this study was isolated from decomposing wood, and rpb2 and tef1 barcode sequencing demonstrated that the isolates were a match to the reference T. nordicum and T. nigricans strains. Since T. nordicum was described before T. nigricans, the isolates were assigned to T. nordicum, although taxonomic uncertainty between these species requires future clarification. In dual-culture confrontation assays, T. nordicum overgrew five economically important oomycete plant pathogens (Phytophthora capsici, P. sojae, Pythium aphanidermatum, P. myriotylum, and Globisporangium ultimum). The inability to recover viable P. aphanidermatum and P. capsici from the parts of the plate overgrown by T. nordicum, coupled with protease and endo-cellulase activities, correlates with T. nordicum having antagonistic abilities. Inoculation with T. nordicum preventively reduced the levels of cucumber seedling damping-off caused by P. aphanidermatum by up to 70%. The T. nordicum biocontrol effects against pepper blight caused by P. capsici were greater than 80%, compared to an autoclaved T. nordicum spore control. T. nordicum could also significantly promote the growth of pepper, with plant weight increased by up to 40%, compared to an autoclaved-spore control. In contrast, T. nordicum could not be used to control Pythium soft rot of ginger caused by P. myriotylum, even though P. myriotylum was overgrown by T. nordicum, suggesting host- or pathosystem-specific factors influence biocontrol efficacy. In summary, T. nordicum is a promising biocontrol agent for use in the control of pepper blight caused by P. capsici, and also has potential for use in the control of other oomycete-caused plant diseases in vegetable production systems. Full article
(This article belongs to the Special Issue Fungal Biotechnology and Application 3.0)
Show Figures

Figure 1

Back to TopTop