Sign in to use this feature.

Years

Between: -

Subjects

remove_circle_outline
remove_circle_outline
remove_circle_outline
remove_circle_outline
remove_circle_outline
remove_circle_outline
remove_circle_outline
remove_circle_outline
remove_circle_outline

Journals

remove_circle_outline
remove_circle_outline
remove_circle_outline
remove_circle_outline

Article Types

Countries / Regions

remove_circle_outline
remove_circle_outline
remove_circle_outline
remove_circle_outline

Search Results (423)

Search Parameters:
Keywords = curing kinetics

Order results
Result details
Results per page
Select all
Export citation of selected articles as:
22 pages, 3121 KB  
Article
Design and Implementation of a Low-Cost Embedded Sensing Platform for Relative Monitoring of Temperature and Humidity During Concrete Hydration
by Arturo Molina-Almaraz, José A. Rodríguez-Rodríguez, Manuel de Jesús López-Martínez, José I. de la Rosa-Vargas, Carlos E. Olvera-Mayorga, Celina L. Castañeda-Miranda, Mario Molina-Almaraz, José Vidal González-Aviña and Carlos A. Olvera-Olvera
Eng 2026, 7(3), 107; https://doi.org/10.3390/eng7030107 - 1 Mar 2026
Viewed by 114
Abstract
Standard maturity methods for concrete monitoring rely primarily on temperature history, often neglecting the influence of internal relative humidity (RH) on hydration kinetics and self-desiccation risks. Continuous in situ monitoring of internal RH remains a challenge due to the high cost, proprietary nature, [...] Read more.
Standard maturity methods for concrete monitoring rely primarily on temperature history, often neglecting the influence of internal relative humidity (RH) on hydration kinetics and self-desiccation risks. Continuous in situ monitoring of internal RH remains a challenge due to the high cost, proprietary nature, and lack of reproducibility of existing solutions. This study evaluates a low-cost, open-source embedded sensor array designed to characterize early-age curing behavior through trend-based monitoring—defined here as the evaluation of ensemble consistency and repeatability rather than absolute metrological traceability. The prototype system, based on SHT31 sensors controlled by an ESP32 microcontroller, was embedded in high-performance concrete cylinders (f′c = 45 MPa) to capture the exothermic hydration peak and the equilibration of internal humidity. Results demonstrate that while the sensor encapsulation introduced a geometric disturbance that reduced compressive strength by approximately 25%—a limitation requiring mitigation in structural applications—the system successfully captured reproducible curing transitions. The proposed framework provides an accessible tool for experimental research into internal curing conditions, offering a digital complement to traditional surface-based quality control. Full article
Show Figures

Figure 1

20 pages, 9428 KB  
Article
Octa(3,3,3-Trifluoropropyl) Polyhedral Oligomeric Silsesquioxane (8F-POSS) as a Multifunctional Modifier for Natural Rubber: Hydrogen-Bond Pattern and Network Reinforcement
by Fan Yi, Wenjing Guo, Rentong Yu and Jianhe Liao
Int. J. Mol. Sci. 2026, 27(5), 2261; https://doi.org/10.3390/ijms27052261 - 27 Feb 2026
Viewed by 135
Abstract
Octa(3,3,3-trifluoropropyl) polyhedral oligomeric silsesquioxane (8F-POSS) was synthesized via a vertex-capping method and incorporated into natural rubber (NR) and deproteinized natural rubber (DPNR) to fabricate inorganic–organic vulcanizates. Curing characteristics, crosslink density, and the filler–rubber interaction parameter (α) were evaluated. We found that 8F-POSS retarded [...] Read more.
Octa(3,3,3-trifluoropropyl) polyhedral oligomeric silsesquioxane (8F-POSS) was synthesized via a vertex-capping method and incorporated into natural rubber (NR) and deproteinized natural rubber (DPNR) to fabricate inorganic–organic vulcanizates. Curing characteristics, crosslink density, and the filler–rubber interaction parameter (α) were evaluated. We found that 8F-POSS retarded vulcanization kinetics but eventually enhanced network integrity. Two-dimensional infrared (2D-IR) spectroscopy indicated a hydrogen-bond shielding effect between siloxane cages and protein hydroxyl groups in NR. This interaction governed morphology development: proteins in NR acted as compatibilizers to improve initial POSS dispersion, though at high loadings they compromised reinforcement efficiency (α fell from 18.12 to 9.04). In contrast, DPNR vulcanizates showed stronger direct filler–rubber interactions, with higher α values (25.66–35.58) and a more constrained physical network. Despite a denser physical network, the 8F-POSS cages increased fractional free volume and promoted interfacial frictional slippage, leading to a synergistic “reinforcement–dissipation” effect. As a consequence, 8F-POSS/DPNR vulcanizates exhibited an enhanced damping performance (e.g., a loss factor of 1.26) alongside a depressed Tg, reduced equilibrium swelling in oil from 324% to 147%, high hydrophobicity (water contact angle above 120°), and distinctive multi-stage thermal stability. These findings demonstrate a strategy to manipulate the protein network in NR using nanoscale hybrid fillers for the design of high-performance vulcanizates. Full article
Show Figures

Figure 1

12 pages, 1239 KB  
Article
Study on the Effect of CTBN and h-BN Synergistic Toughening on the Damping Properties of Carbon-Fiber-Reinforced Epoxy Composites
by Wei Wang, Xueping Gao, Zhimin Li, Yishi Wang and Bo Zhu
Polymers 2026, 18(5), 578; https://doi.org/10.3390/polym18050578 - 27 Feb 2026
Viewed by 147
Abstract
Carbon-fiber-reinforced polymer (CFRP) composites possess outstanding specific stiffness and strength but typically exhibit low intrinsic damping, which limits vibration attenuation in lightweight dynamic structures. Herein, a hybrid toughening strategy combining carboxyl-terminated butadiene nitrile rubber (CTBN) and hexagonal boron nitride (h-BN) is developed to [...] Read more.
Carbon-fiber-reinforced polymer (CFRP) composites possess outstanding specific stiffness and strength but typically exhibit low intrinsic damping, which limits vibration attenuation in lightweight dynamic structures. Herein, a hybrid toughening strategy combining carboxyl-terminated butadiene nitrile rubber (CTBN) and hexagonal boron nitride (h-BN) is developed to enhance the damping of CFRP laminates while preserving cure feasibility and thermomechanical stability. An E51/DICY/accelerator epoxy system (100:6.5:1.2, mass ratio) is used as the baseline matrix. Differential scanning calorimetry shows that both CTBN and h-BN shift the cure peak temperature upward (Tp: 160.6 → 170.3 °C) and reduce the reaction enthalpy (ΔH: 386.5 → 255.1 J/g), indicating dilution/transport effects and altered cure kinetics. Dynamic mechanical analysis (DMA) reveals that CTBN exhibits an optimum damping enhancement at 25 phr (tan δ_max = 0.300), whereas h-BN provides a stronger monotonic increase up to 25 phr (tan δ_max = 0.437). Notably, the CTBN/h-BN hybrid (25/25 phr) delivers a high tan δ_max of 0.468 together with the broadest effective damping window (ΔT_half = 28.6 °C), exceeding 85% of the linear additivity criterion proposed herein. When the materials are transferred into CFRP laminates, free-vibration tests (using the logarithmic decrement method) demonstrate a clear structural damping improvement (ζ: 0.021 → 0.035; δ: 0.132 → 0.221; t1/2: 0.48 → 0.27 s). Overall, the results suggest that the damping enhancement arises from a combination of EPBN-mediated ductile energy dissipation and h-BN-related interfacial/interlayer frictional losses, which can be jointly tuned to balance processability, thermal response, and damping performance in CFRPs. Full article
(This article belongs to the Section Polymer Analysis and Characterization)
Show Figures

Figure 1

26 pages, 2747 KB  
Article
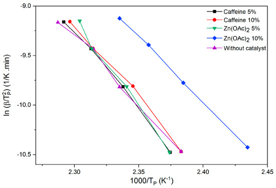
Eugenol-Based Epoxy Vitrimers: Caffeine and Zinc Acetate as Potential Alternative Catalysts in Curing Kinetics and Dynamic Network Properties
by Angela Y. Becerra-Lovera, Javier Mauricio Anaya-Mancipe, Rubén D. Díaz-Martin, Marcos Lopes Dias and Diego de Holanda Saboya Souza
Molecules 2026, 31(5), 783; https://doi.org/10.3390/molecules31050783 - 26 Feb 2026
Viewed by 249
Abstract
The development of sustainable vitrimers from bio-based sources addresses the need for high-performance recyclable materials. This research describes eugenol-derived epoxy vitrimers cross-linked with adipic acid as a curing agent, focusing on comparative effects of caffeine and zinc acetate as transesterification catalysts at 5 [...] Read more.
The development of sustainable vitrimers from bio-based sources addresses the need for high-performance recyclable materials. This research describes eugenol-derived epoxy vitrimers cross-linked with adipic acid as a curing agent, focusing on comparative effects of caffeine and zinc acetate as transesterification catalysts at 5 and 10% concentrations versus a non-catalyzed control. Both catalysts acted as curing accelerators, confirmed by FTIR and DSC analyses, revealing polyhydroxyester network formation through associative ester exchange enabling topological reorganization. Zinc acetate at 10% proved most efficient, achieving the lowest apparent activation energy (116.0 kJ/mol), highest crosslinking density (νe = 3.42 × 10−3 mol/cm3), improved thermal stability with unimodal degradation profile, and substantially reduced topology freezing transition temperature (Tv = 132 °C), confirming enhanced dynamic properties. Caffeine demonstrated catalytic activity, reducing apparent activation energy to 124.4 kJ/mol at 10% and promoting rapid epoxide conversion during initial curing at moderate temperatures. Although its catalytic efficiency is moderate compared to zinc acetate, its bio-based origin and non-toxic nature make it a promising green alternative for sustainable vitrimer applications. Results demonstrate that catalyst selection is crucial for tailoring curing kinetics, network structure, and final vitrimeric properties, providing key guidelines for designing advanced circular materials from bio-based precursors. Full article
(This article belongs to the Special Issue Synthesis, Characterization and Applications of Vitrimers)
Show Figures

Graphical abstract

30 pages, 463 KB  
Review
Selection Criteria for De-Escalated Chemoradiotherapy for HPV-Related Oropharyngeal Cancer Based on Prognostic Biomarkers or Early Tumor Response to Therapy: A Narrative Review
by Avraham Eisbruch, M. P. Sreeram, Karthik Rao, Abbas Agaimy, Luiz P. Kowalski, Andrés Coca Pelaz, Anna Luíza Damaceno Araújo, Orlando Guntinas-Lichius, Juan P. Rodrigo, Fernando Lopez, Sandra Nuyts, Nabil F. Saba, Arlene Forastiere, Carol R. Bradford and Alfio Ferlito
Diagnostics 2026, 16(5), 674; https://doi.org/10.3390/diagnostics16050674 - 26 Feb 2026
Viewed by 306
Abstract
Backgrounds: Single-arm studies evaluating reduced intensity (de-escalated) therapy for low-risk Human Papillomavirus-related oropharyngeal cancer (HPV+OPC) patients demonstrated high cure rates and reduced toxicity compared with historical results of standard of care (SOC). However, randomized studies demonstrated that the outcomes of de-escalated therapies [...] Read more.
Backgrounds: Single-arm studies evaluating reduced intensity (de-escalated) therapy for low-risk Human Papillomavirus-related oropharyngeal cancer (HPV+OPC) patients demonstrated high cure rates and reduced toxicity compared with historical results of standard of care (SOC). However, randomized studies demonstrated that the outcomes of de-escalated therapies were inferior to standard therapy, suggesting that a minority of patients may not benefit from de-escalation. Objectives: to review strategies and prognostic biomarkers before or early during therapy to identify low-risk HPV+OPC patients who may require SOC and who should be excluded from de-escalation trials to avoid compromising outcomes. Methods: A comprehensive narrative literature review between January 2000 and August 2025 was performed to identify prognostic biomarkers in HPV+OPC, as well as studies reporting early-response indicators with prognostic potential in clinically defined good-prognosis HPV+OPC treated with chemo-irradiation. Preclinical studies were excluded unless their findings had implications for clinical outcomes. Data were synthesized qualitatively in this narrative report due to the substantial heterogeneity of the clinical and methodological aspects of the reviewed studies. The risk of bias in non-randomized studies was assessed using the Newcastle–Ottawa Scale (NOS) for cohort studies. Results: Multiple candidate prognostic biomarkers were identified, including molecular, histopathological, imaging, and clinical factors. Almost all studies were retrospective, included small cohorts and lacked internal or external validation, and had poor NOS scores, mostly due to lack of sufficient follow-up and lack of information about loss to follow-up, thereby precluding most biomarkers from current clinical utilization. Response-based selection based on induction chemotherapy is effective but limited by its added toxicity. Early tumor responses assessed by hypoxia, metabolic imaging, and circulating HPV DNA kinetics show encouraging preliminary results that need to be validated. Conclusions: Current evidence indicates major methodological limitations in most studies of prognostic biomarkers in clinically defined good-prognosis HPV+OPC. Early tumor response-based selection strategies are promising and warrant comparison with SOC in multi-center randomized trials. Full article
(This article belongs to the Special Issue Clinical Diagnosis of Otorhinolaryngology)
19 pages, 3697 KB  
Article
Study on Macroscopic Mechanical Properties and Microscopic Mechanism of Drilling Cuttings Solidified by Alkali-Activated Furnace Ash
by Achen Qi, Pei Wang, Yuanjie Zhu, Wei Liu, Jianghua Jia, Zixuan Wang, Wenjun Hu and Yumei Liu
Coatings 2026, 16(2), 266; https://doi.org/10.3390/coatings16020266 - 23 Feb 2026
Viewed by 183
Abstract
To promote the resource utilization of oilfield solid waste and facilitate the green and low-carbon transformation of transportation infrastructure, this study employed drilling cuttings from the Maye area of the Xinjiang oilfield and coal-fired furnace ash as primary raw materials. NaOH, Na2 [...] Read more.
To promote the resource utilization of oilfield solid waste and facilitate the green and low-carbon transformation of transportation infrastructure, this study employed drilling cuttings from the Maye area of the Xinjiang oilfield and coal-fired furnace ash as primary raw materials. NaOH, Na2O·nSiO2, and Ca(OH)2 were used as alkali activators to prepare alkali-activated solidification materials for oilfield road base applications. The optimal curing system identified in this study (4 wt.% NaOH + 20 wt.% furnace ash) falls within the commonly reported dosage ranges for alkali-activated solid-waste materials, where NaOH contents are typically 3%–8% and furnace ash contents 15%–30%. Considering the distinct chemical characteristics of the Xinjiang oilfield solid wastes, a targeted optimization strategy was adopted to achieve a balance between mechanical performance and economic feasibility. Based on mix-proportion experiments, macroscopic mechanical properties were evaluated. In combination with X-ray diffraction (XRD), laser particle size analysis, simultaneous thermal analysis (TG–DSC), and scanning electron microscopy coupled with energy-dispersive spectroscopy (SEM–EDS), the influence of activator type on both mechanical performance and microstructural evolution was systematically investigated. The results indicate that the system containing 4 wt.% NaOH + 20 wt.% furnace ash exhibits the best overall performance, achieving a 28-day compressive strength of 4.81 MPa and a splitting tensile strength of 0.41 MPa, which are significantly higher than those of the Na2O·nSiO2 system (3 wt.% Na2O·nSiO2 + 20 wt.% furnace ash) and the Ca(OH)2 system (4 wt.% Ca(OH)2 + 15 wt.% furnace ash). The primary hydration products were identified as C-(N)-A-S-H and C-S-H gels. The type of alkali activator plays a decisive role in regulating hydration reaction kinetics and the spatial distribution of Ca and Si elements, thereby governing the hierarchical differences in macroscopic mechanical properties. In particular, NaOH generates a highly alkaline environment that promotes the dissolution of active Si/Al components in both drilling cuttings and furnace ash, enhances gel polymerization, and results in a denser microstructure. This study provides theoretical and technical support for the high-value utilization of oilfield solid wastes in highway base engineering. Full article
(This article belongs to the Special Issue Protective Coatings and Surface Engineering for Asphalt and Concrete)
Show Figures

Figure 1

20 pages, 3963 KB  
Article
3D Localization of Hydrating Sources in Concrete Based on AE and Tomography
by Eleni Korda, Fuzhen Chen, Hwa Kian Chai, Geert De Schutter and Dimitrios G. Aggelis
Sensors 2026, 26(4), 1345; https://doi.org/10.3390/s26041345 - 20 Feb 2026
Viewed by 205
Abstract
Plastic shrinkage and self-desiccation, along with the associated early-age cracking, are still among the most important factors that influence long-term performance of concrete structures, including durability. Superabsorbent polymers (SAPs) have been widely researched for application in concrete to mitigate shrinkage through facilitating effective [...] Read more.
Plastic shrinkage and self-desiccation, along with the associated early-age cracking, are still among the most important factors that influence long-term performance of concrete structures, including durability. Superabsorbent polymers (SAPs) have been widely researched for application in concrete to mitigate shrinkage through facilitating effective internal curing by releasing water into the mixture to promote continuous hydration of cement. The acoustic emission (AE) monitoring technique, due to its high sensitivity, has proven very effective in tracking the process of water release by SAPs in concrete during early-stage curing. Typically, AE parameters such as cumulative activity, amplitude and energy are utilized to characterize the kinetics of curing processes. While these parameters indicate well the internal activity of SAPs in time, they do not offer information on the precise location of the active sources within the material’s volume, leaving a crucial gap in the understanding of the ongoing microstructural changes caused by internal water distribution and cement hydration. In this sense, AE event source localization can offer information about the active zones of water hydration activity in the material 3D domain, allowing detection of their evolution during concrete curing. Meanwhile, Acoustic Emission Tomography (AET) computes ultrasonic velocity distributions in different periods of monitoring, which are governed by acoustic characteristics of the concrete mixtures, to visualize material stiffness development spatially and temporally. This level of insight is particularly important for SAP concrete, where uniformity of internal water curing is essential for ensuring long-term durability and material soundness. By visualizing how the hydration sources evolve in real time, these methods offer an effective, non-destructive, and cost-effective solution for early-age concrete quality control, which would be challenging to achieve through other techniques. Full article
(This article belongs to the Section Physical Sensors)
Show Figures

Figure 1

27 pages, 4235 KB  
Article
Effects of Catalyst on the Properties of Bio-Based Epoxy Resin
by Neda Bozorgi, Janitha Jeewantha, Allan Manalo, Omar AlAjarmeh, Hannah Seligmann, Sean Steed and Stephen Clarke
Polymers 2026, 18(4), 508; https://doi.org/10.3390/polym18040508 - 18 Feb 2026
Viewed by 337
Abstract
The increasing demand for high-performance composites has driven the need for sustainable alternatives to conventional petroleum-based resins. This research introduces a novel glycerol-derived bio-epoxy resin and investigates the effect of catalyst concentration on its curing behaviour, network structure, and thermomechanical performance. Four catalyst [...] Read more.
The increasing demand for high-performance composites has driven the need for sustainable alternatives to conventional petroleum-based resins. This research introduces a novel glycerol-derived bio-epoxy resin and investigates the effect of catalyst concentration on its curing behaviour, network structure, and thermomechanical performance. Four catalyst concentrations were evaluated using differential scanning calorimetry (DSC), Fourier transform infrared spectroscopy (FTIR), and dynamic mechanical analysis (DMA) combined with tensile, flexural, and compression testing. DSC results revealed that increasing the catalyst concentration significantly lowered the curing activation energy, shifting the exothermic peak temperature from 194.8 °C to 145.2 °C. DMA revealed that the glass transition temperature (Tg), crosslinking density, and stiffness consistently increased up to an optimal catalyst concentration, reaching a maximum Tg of 109.0 °C. Further increases in catalyst content led to slight reductions in Tg and crosslink density due to the formation of a heterogeneous network. The optimal concentration enhanced tensile and compressive strength by 32.8% and 9.3%, respectively. At excessive catalyst concentration, strength properties deteriorated despite increased material rigidity. These findings confirm the critical role of catalyst in governing polymerisation kinetics and network structure, demonstrating that an optimal catalyst percentage is essential for maximising strength and durability, making the bio-epoxy a viable, high-performance alternative for advanced composite manufacturing. Full article
(This article belongs to the Section Polymer Applications)
Show Figures

Graphical abstract

14 pages, 1567 KB  
Article
Modeling of Cure Kinetics and Rheological Behavior of an Epoxy Resin Using DSC and Rheometry
by Xueqin Yang, Haijun Chen, Yamei Wang, Wenjian Zheng, Jie Sun, Yaodong Liu and Jintang Zhou
Molecules 2026, 31(4), 640; https://doi.org/10.3390/molecules31040640 - 12 Feb 2026
Viewed by 307
Abstract
Epoxy resins with excellent overall performance, are widely used in aerospace, automotive, and related fields, frequently in combination with reinforcing fibers to fabricate composites. To enable controllable epoxy processing for prepreg fabrication and composite forming, a rheological model and a curing kinetics model [...] Read more.
Epoxy resins with excellent overall performance, are widely used in aerospace, automotive, and related fields, frequently in combination with reinforcing fibers to fabricate composites. To enable controllable epoxy processing for prepreg fabrication and composite forming, a rheological model and a curing kinetics model were developed and experimentally validated for an epoxy resin. Rotational rheometry was conducted to quantify the viscosity evolution with temperature and time, enabling construction of a corresponding rheological model. Comparison between model predictions and experimental measurements exhibited a high level of consistency across a wide temperature range. Furthermore, differential scanning calorimetry (DSC) was employed to measure heat-flow curves at different heating rates. The degree of curing was calculated from the heat-flow data, and an autocatalytic curing kinetics model was established based on a reaction kinetics formulation. And the accuracy of the model was verified by isothermal experiments. The developed rheological model provides a theoretical basis and practical guidance for resin processing and prepreg fabrication, whereas the curing kinetics model supports the design and control of curing and forming schedules for epoxy-matrix composites. Full article
(This article belongs to the Section Macromolecular Chemistry)
Show Figures

Graphical abstract

31 pages, 7543 KB  
Article
Mechanical Properties and Reproducibility of One-Part Ambient-Cured Slag and Fly Ash-Based Geopolymer Concrete
by Daro Sun, Jessey Lee, Alireza Mohyeddin and Janitha Migunthanna
Buildings 2026, 16(4), 707; https://doi.org/10.3390/buildings16040707 - 9 Feb 2026
Viewed by 576
Abstract
The cement industry is a major source of anthropogenic CO2 emissions due to its energy-intensive production process and calcination of limestone. Producing one ton of cement emits approximately one ton of CO2, and cement accounts for about 5% to 8% [...] Read more.
The cement industry is a major source of anthropogenic CO2 emissions due to its energy-intensive production process and calcination of limestone. Producing one ton of cement emits approximately one ton of CO2, and cement accounts for about 5% to 8% of global CO2 emissions. In this context, cement-less one-part (“just-add-water”) ambient-cured geopolymer concrete (GPC) has gained attention due to its environmental friendliness and practicality for large-scale cast-in-situ construction. However, field adoption remains limited, mainly due to the scarcity of data on mechanical properties and durability, as well as the lack of widely accepted standards and specifications. This paper is part of the larger research on tensile performance of anchors embedded in GPC. It is well understood that the tensile performance of anchors installed in concrete substrate is largely influenced by their effective embedment depth and the substrate’s mechanical properties, particularly the fracture energy and modulus of elasticity. Therefore, prior to the investigation of the tensile performance of anchors in GPC, it is crucial to understand the mechanical behaviour of the GPC substrate itself. This study examined key parameters that influence the compressive strength of one-part ambient-cured slag/fly ash-based GPC. The alkali content, slag content, water-to-solid (W/S) ratio, and aggregate content were investigated. Additionally, various mechanical properties such as uniaxial tensile strength, splitting tensile strength, elastic modulus, and fracture energy of the hardened GPC are presented. The test results revealed that higher slag and activator content enhanced compressive strength, whereas a higher aggregate content reduced the strength. The strength gain was also attributed to higher alkali content, lower W/S ratio, and increased binder content; however, excessive alkali and an overly low W/S ratio caused rapid setting due to accelerated reaction kinetics. The 7-day compressive strength ranged from 62% to 78% of the 28-day strength, while there was no notable strength gain after 28 days of curing. The developed GPC attained compressive strengths of over 40 MPa at 28 days and 50 MPa at 56 days. The uniaxial tensile strength test demonstrated a ratio of 0.87 relative to splitting tensile strength. The findings also indicated that the aggregate conditions and curing regimes (whether using as-is aggregates with moisture curing or oven-dried aggregates with sealed curing) had no meaningful effect on the mean compressive strength of GPC and its reproducibility. Full article
(This article belongs to the Special Issue Analysis of Performance in Green Concrete Structures)
Show Figures

Figure 1

19 pages, 2714 KB  
Article
Fabrication and Curing Kinetics of Thermal Insulation Material Suitable for Deep-Earth Extreme Environments
by Jianping Yang, Haishu Bai, Zhiqiang He, Bo Yu, Zijie Wei, Ling Chen and Shaoshuai Shi
Appl. Sci. 2026, 16(3), 1661; https://doi.org/10.3390/app16031661 - 6 Feb 2026
Viewed by 187
Abstract
In the extreme high-temperature (up to 150 °C) and high-pressure (up to 140 MPa) conditions of deep in situ condition-preserved coring devices, high-strength epoxy resin was selected as the insulation layer. The non-isothermal DSC method was employed at heating rates of 2.5, 5, [...] Read more.
In the extreme high-temperature (up to 150 °C) and high-pressure (up to 140 MPa) conditions of deep in situ condition-preserved coring devices, high-strength epoxy resin was selected as the insulation layer. The non-isothermal DSC method was employed at heating rates of 2.5, 5, 10, 15, and 20 °C/min, revealing that increasing the heating rate elevates curing temperatures, expands the curing range, and enhances curing rate and heat release. The curing kinetics were modeled using n-order and autocatalytic approaches, with the latter accurately describing the behavior. Optimized integration process conditions (80 °C/4 h + 150 °C/2 h + 180 °C/3 h) yielded epoxy with compressive strength of 204.47 MPa, initial thermal decomposition temperature of 345.9 °C, thermal conductivity of 0.246 W/m·K, and Tg of 193.04 °C (storage modulus 2.41 GPa at 150 °C). As insulation, it reduces rock core heat loss by 32.38% (8.78 × 104 J) and active heating demand by 44 W, enhancing system stability for in situ temperature preservation. Full article
Show Figures

Figure 1

23 pages, 3738 KB  
Article
Enhancing Concrete Strength Prediction from Non-Destructive Testing Under Variable Curing Temperatures Using Artificial Neural Networks
by Ghazal Gholami Hossein Abadi, Kehinde Adewale, Muhammad Usama Salim and Carlos Moro
Infrastructures 2026, 11(2), 46; https://doi.org/10.3390/infrastructures11020046 - 29 Jan 2026
Viewed by 565
Abstract
Non-destructive testing (NDT) methods are widely used to evaluate the performance of concrete, but their accuracy can be influenced by external factors such as curing temperature. Temperature not only modifies hydration kinetics and strength development but may also change the correlation between NDT [...] Read more.
Non-destructive testing (NDT) methods are widely used to evaluate the performance of concrete, but their accuracy can be influenced by external factors such as curing temperature. Temperature not only modifies hydration kinetics and strength development but may also change the correlation between NDT measurements and compressive strength. However, no prior research has systematically examined how different curing temperatures influence the reliability of various NDT techniques. This study evaluates three curing temperatures and their effect on the correlation between NDTs and compressive strength at various ages (1, 3, 7, 28, and 90 days). Both simple regression analysis and artificial neural networks (ANNs) were employed to predict strength from NDT measurements. Results show that NDT sensitivity to curing temperature is most pronounced at early ages, and that linear regression models cannot adequately capture the complexity of these relationships. In contrast, ANNs demonstrated superior predictive capability, though initial training with limited data led to overfitting and instability. By applying Gaussian Noise Augmentation (GNA), model accuracy and generalization improved substantially, achieving R2 values above 0.95 across training, validation, and test sets. These findings highlight the potential of non-linear models, supported by data augmentation, to improve prediction reliability, lower experimental costs, and more accurately capture the role of curing temperature in NDT–strength correlations for concrete. Full article
Show Figures

Figure 1

32 pages, 2701 KB  
Review
A Comprehensive Review of Application Techniques for Thermal-Protective Elastomeric Ablative Coatings in Solid Rocket Motor Combustion Chambers
by Mohammed Meiirbekov, Marat Nurguzhin, Marat Ismailov, Marat Janikeyev, Zhannat Kadyrov, Myrzakhan Omarbayev, Assem Kuandyk, Nurmakhan Yesbolov, Meiir Nurzhanov, Sunkar Orazbek and Mukhammed Sadykov
Technologies 2026, 14(2), 77; https://doi.org/10.3390/technologies14020077 - 23 Jan 2026
Viewed by 878
Abstract
Elastomeric ablative coatings are essential for protecting solid rocket motor (SRM) combustion chambers from extreme thermal and erosive environments, and their performance is governed by both material composition and processing strategy. This review examines the main elastomer systems used for SRM insulation, including [...] Read more.
Elastomeric ablative coatings are essential for protecting solid rocket motor (SRM) combustion chambers from extreme thermal and erosive environments, and their performance is governed by both material composition and processing strategy. This review examines the main elastomer systems used for SRM insulation, including ethylene propylene diene monomer (EPDM), nitrile butadiene rubber (NBR), hydroxyl-terminated polybutadiene (HTPB), polyurethane (PU), silicone-based compounds, and related hybrids, and discusses how their rheological behavior, cure kinetics, thermal stability, and ablation mechanisms affect manufacturability and in-service performance. A comprehensive assessment of coating technologies is presented, covering casting, molding, centrifugal forming, spraying, automated deposition, and emerging additive-manufacturing approaches for complex geometries. Emphasis is placed on processing parameters that control adhesion to metallic substrates, layer uniformity, defect formation, and thermomechanical integrity under high-heat-flux exposure. The review integrates current knowledge on how material choice, surface preparation, and application sequence collectively determine insulation efficiency under operational SRM conditions. Practical aspects such as scalability, compatibility with complex chamber architectures, and integration with quality-control tools are highlighted. By comparing the capabilities and limitations of different materials and technologies, the study identifies key development trends and outlines remaining challenges for improving the durability, structural robustness, and ablation resistance of next-generation elastomeric coatings for SRMs. Full article
(This article belongs to the Section Innovations in Materials Science and Materials Processing)
Show Figures

Figure 1

20 pages, 3949 KB  
Article
Endogenous Curing Mechanism and Self-Healing Properties of an Epoxy Resin (E-51) in Alkaline Environments of Cement-Based Materials
by Qianjin Mao, Yuanlong Wang, Runfeng Li, Yuhuan Zhou, Shuqing Shi and Suping Cui
Polymers 2026, 18(2), 262; https://doi.org/10.3390/polym18020262 - 18 Jan 2026
Viewed by 340
Abstract
Regarding the issues arising from the addition of external curing agents in the application of epoxy resin in cement-based materials, this paper explores the feasibility of endogenous curing of epoxy resin in the alkaline environment of cement-based systems. It further analyzes and investigates [...] Read more.
Regarding the issues arising from the addition of external curing agents in the application of epoxy resin in cement-based materials, this paper explores the feasibility of endogenous curing of epoxy resin in the alkaline environment of cement-based systems. It further analyzes and investigates the curing characteristics of epoxy resin without external curing agents and their impact on the performance of cement-based materials. Differential scanning calorimetry, mechanical property testing, microstructural observation, and electrochemical impedance spectroscopy were used to study the mechanism of sodium hydroxide (NaOH) catalyzing the process of bisphenol-A epoxy resin (E-51)-based curing, the influence of moisture and temperature on curing kinetics, and the performance of epoxy resins in mortar and self-healing concrete. The results showed that E-51 achieved self-curing under alkaline conditions in the absence of an external hardener. However, moisture significantly inhibited the reaction process. Elevating the temperature and reducing environmental humidity effectively promoted the curing reaction. In cement-based materials, E-51 exhibited endogenous curing by the inherent alkalinity of the system, remarkably enhancing the compressive strength of mortar. At 60 °C, mortar containing 10% E-51 (by cement mass) exhibited a 1.5-fold higher compressive strength than that of the control group without E-51 at 14 days of curing. It demonstrated higher healing efficiency in a microencapsulated self-healing concrete system than the traditional curing agent systems. Concrete specimens with damage induced by loading at 60% of their compressive strength exhibited 100% recovery of ultrasonic pulse velocity after storing indoors for 28 d. The findings of this study can provide theoretical basis and technical support for the application of epoxy resins in cement-based materials without the need for curing agents. Full article
Show Figures

Figure 1

21 pages, 11335 KB  
Article
Enhanced Mechanical and Thermal Properties of Epoxy Resins Through Hard–Soft Biphasic Synergistic Toughening with Modified POSS/Polysulfide Rubber
by Xi Yuan, Zhineng Tan, Shengwen Liu, Hang Luo, Zhuo Chen and Dou Zhang
Polymers 2026, 18(2), 184; https://doi.org/10.3390/polym18020184 - 9 Jan 2026
Viewed by 568
Abstract
Toughening modification of epoxy resin (EP) matrices is important for advancing high-performance fiber-reinforced composites. A promising strategy involves the use of multi-component additive systems. However, synergistic effects in such additive systems are difficult to achieve for multidimensional performance optimization due to insufficient interfacial [...] Read more.
Toughening modification of epoxy resin (EP) matrices is important for advancing high-performance fiber-reinforced composites. A promising strategy involves the use of multi-component additive systems. However, synergistic effects in such additive systems are difficult to achieve for multidimensional performance optimization due to insufficient interfacial interactions and competing toughening mechanisms. Herein, a “hard–soft” biphasic synergistic toughening system was engineered for epoxy resin, composed of furan-ring-grafted polyhedral oligomeric silsesquioxane (FPOSS) and liquid polysulfide rubber. The hybrid toughening agent significantly enhanced the integrated performance of the epoxy system: Young’s modulus, tensile strength, and elongation at break increased by 13%, 56%, and 101%, respectively. These improvements are attributed to the formation of enriched molecular chain entanglement sites and optimized dispersion, facilitated by nucleophilic addition reactions between flexible rubber segments and rigid FPOSS units with the epoxy matrix. The marked enhancement in toughness primarily stems from the synergistic toughening mechanism involving “crazing pinning” and “crazing-shear band”. Concurrently, FPOSS incorporation effectively modulated the curing reaction kinetics, rendering the process more gradual while substantially elevating the glass transition temperature (Tg) of the cured system by 16.82 °C and endowing it with superior thermal degradation stability. This work provides a simple and unique strategy to leverage multi-scale mechanisms for the construction of epoxy-based composites with good toughness and strength, and enhanced heat resistance. Full article
(This article belongs to the Special Issue Advances in Polymer-Based Electronic Materials)
Show Figures

Graphical abstract

Back to TopTop