Sign in to use this feature.

Years

Between: -

Subjects

remove_circle_outline
remove_circle_outline
remove_circle_outline
remove_circle_outline
remove_circle_outline
remove_circle_outline

Journals

Article Types

Countries / Regions

Search Results (38)

Search Parameters:
Keywords = cumulative residual entropy

Order results
Result details
Results per page
Select all
Export citation of selected articles as:
28 pages, 2180 KB  
Article
Entropy-Based Uncertainty Quantification in Linear Consecutive k-out-of-n:G Systems via Cumulative Residual Tsallis Entropy
by Boshra Alarfaj, Mohamed Kayid and Mashael A. Alshehri
Entropy 2025, 27(10), 1020; https://doi.org/10.3390/e27101020 - 28 Sep 2025
Abstract
Quantifying uncertainty in complex systems is a central problem in reliability analysis and engineering applications. In this work, we develop an information-theoretic framework for analyzing linear consecutive k-out-of-n:G systems using the cumulative residual Tsallis entropy (CRTE). A general analytical expression for CRTE is [...] Read more.
Quantifying uncertainty in complex systems is a central problem in reliability analysis and engineering applications. In this work, we develop an information-theoretic framework for analyzing linear consecutive k-out-of-n:G systems using the cumulative residual Tsallis entropy (CRTE). A general analytical expression for CRTE is derived, and its behavior is investigated under various stochastic ordering relations, providing insight into the reliability of systems governed by continuous lifetime distributions. To address challenges in large-scale settings or with nonstandard lifetimes, we establish analytical bounds that serve as practical tools for uncertainty quantification and reliability assessment. Beyond theoretical contributions, we propose a nonparametric CRTE-based test for dispersive ordering, establish its asymptotic distribution, and confirm its statistical properties through extensive Monte Carlo simulations. The methodology is further illustrated with real lifetime data, highlighting the interpretability and effectiveness of CRTE as a probabilistic entropy measure for reliability modeling. The results demonstrate that CRTE provides a versatile and computationally feasible approach for bounding analysis, characterization, and inference in systems where uncertainty plays a critical role, aligning with current advances in entropy-based uncertainty quantification. Full article
(This article belongs to the Special Issue Uncertainty Quantification and Entropy Analysis)
Show Figures

Figure 1

26 pages, 2781 KB  
Article
Iterative Optimization of Structural Entropy for Enhanced Network Fragmentation Analysis
by Fatih Ozaydin, Vasily Lubashevskiy and Seval Yurtcicek Ozaydin
Information 2025, 16(10), 828; https://doi.org/10.3390/info16100828 - 24 Sep 2025
Viewed by 47
Abstract
Identifying and ranking influential nodes is central to tasks such as targeted immunization, misinformation containment, and resilient design. Structural entropy (SE) offers a principled, community-aware scoring rule, yet the one-shot (static) use of SE may become suboptimal after each intervention, as the residual [...] Read more.
Identifying and ranking influential nodes is central to tasks such as targeted immunization, misinformation containment, and resilient design. Structural entropy (SE) offers a principled, community-aware scoring rule, yet the one-shot (static) use of SE may become suboptimal after each intervention, as the residual topology and its modular structure change. We introduce iterative structural entropy (ISE), a simple yet powerful modification that recomputes SE on the residual graph before every removal, thus turning node targeting into a sequential, feedback-driven policy. We evaluate SE and ISE on seven benchmark networks using (i) cumulative structural entropy (CSE), (ii) cumulative sum of largest connected component sizes (LCCs), and (iii) dynamic panels that track average shortest-path length and diameter within the residual LCC together with a near-threshold percolation proxy (expected outbreak size). Across datasets, ISE consistently fragments earlier and more decisively than SE; on the Netscience network, ISE reduces the cumulative LCC size by 43% (RLCCs =0.567). In parallel, ISE achieves perfect discriminability (monotonicity M=1.0) among positively scored nodes on all benchmarks, while SE and degree-based baselines display method-dependent ties. These results support ISE as a practical, adaptive alternative to static SE when sequential decisions matter, delivering sharper rankings and faster structural degradation under identical measurement protocols. Full article
(This article belongs to the Special Issue Optimization Algorithms and Their Applications)
Show Figures

Figure 1

18 pages, 1223 KB  
Article
Entropy in the Assessment of the Labour Market Situation in the Context of the Survival Analysis Methods
by Beata Bieszk-Stolorz
Entropy 2025, 27(7), 665; https://doi.org/10.3390/e27070665 - 21 Jun 2025
Viewed by 417
Abstract
Since Shannon’s pioneering work, the concept of entropy has been used in many major scientific fields. It is therefore a universal concept but also defined in different ways. Entropy is used in studies of system complexity and to investigate the information content of [...] Read more.
Since Shannon’s pioneering work, the concept of entropy has been used in many major scientific fields. It is therefore a universal concept but also defined in different ways. Entropy is used in studies of system complexity and to investigate the information content of probability distributions. One of the areas of its applications is human lifespan, i.e., the link between entropy and the methods of survival analysis. These methods are also used in assessing the duration of any socio-economic phenomenon. The aim of this article is to assess the market situation on the basis of the entropy of duration in unemployment. This study determines the Shannon entropy, residual entropy, past entropy, and cumulative residual entropy under the assumption of an exponential distribution of duration. Ward’s hierarchical clustering and the Dynamic Time Warping measure were used to analyse entropy and its relationship with the unemployment rate. It was shown that not all of the analysed models determine the entropy of duration in unemployment well for an exponential distribution. It was substantiated that there is a similarity between the formation of the entropy of duration in unemployment and the registered unemployment rate. It is shown that high unemployment rates in the labour market are a destabilising element of the labour market, more so than crises. Full article
Show Figures

Figure 1

26 pages, 575 KB  
Article
Generalizing Uncertainty Through Dynamic Development and Analysis of Residual Cumulative Generalized Fractional Extropy with Applications in Human Health
by Mohamed Said Mohamed and Hanan H. Sakr
Fractal Fract. 2025, 9(6), 388; https://doi.org/10.3390/fractalfract9060388 - 17 Jun 2025
Cited by 1 | Viewed by 402
Abstract
The complementary dual of entropy has received significant attention in the literature. Due to the emergence of many generalizations and extensions of entropy, the need to generalize the complementary dual of uncertainty arose. This article develops the residual cumulative generalized fractional extropy as [...] Read more.
The complementary dual of entropy has received significant attention in the literature. Due to the emergence of many generalizations and extensions of entropy, the need to generalize the complementary dual of uncertainty arose. This article develops the residual cumulative generalized fractional extropy as a generalization of the residual cumulative complementary dual of entropy. Many properties, including convergence, transformation, bounds, recurrence relations, and connections with other measures, are discussed. Moreover, the proposed measure’s order statistics and stochastic order are examined. Furthermore, the dynamic design of the measure, its properties, and its characterization are considered. Finally, nonparametric estimation via empirical residual cumulative generalized fractional extropy with an application to blood transfusion is performed. Full article
Show Figures

Figure 1

30 pages, 1867 KB  
Article
A New Hybrid Class of Distributions: Model Characteristics and Stress–Strength Reliability Studies
by Mustapha Muhammad, Jinsen Xiao, Badamasi Abba, Isyaku Muhammad and Refka Ghodhbani
Axioms 2025, 14(3), 219; https://doi.org/10.3390/axioms14030219 - 16 Mar 2025
Viewed by 589
Abstract
This study proposes a generalized family of distributions to enhance flexibility in modeling complex engineering and biomedical data. The framework unifies existing models and improves reliability analysis in both engineering and biomedical applications by capturing diverse system behaviors. We introduce a novel hybrid [...] Read more.
This study proposes a generalized family of distributions to enhance flexibility in modeling complex engineering and biomedical data. The framework unifies existing models and improves reliability analysis in both engineering and biomedical applications by capturing diverse system behaviors. We introduce a novel hybrid family of distributions that incorporates a flexible set of hybrid functions, enabling the extension of various existing distributions. Specifically, we present a three-parameter special member called the hybrid-Weibull–exponential (HWE) distribution. We derive several fundamental mathematical properties of this new family, including moments, random data generation processes, mean residual life (MRL) and its relationship with the failure rate function, and its related asymptotic behavior. Furthermore, we compute advanced information measures, such as extropy and cumulative residual entropy, and derive order statistics along with their asymptotic behaviors. Model identifiability is demonstrated numerically using the Kullback–Leibler divergence. Additionally, we perform a stress–strength (SS) reliability analysis of the HWE under two common scale parameters, supported by illustrative numerical evaluations. For parameter estimation, we adopt the maximum likelihood estimation (MLE) method in both density estimation and SS-parameter studies. The simulation results indicated that the MLE demonstrates consistency in both density and SS-parameter estimations, with the mean squared error of the MLEs decreasing as the sample size increases. Moreover, the average length of the confidence interval for the percentile and Student’s t-bootstrap for the SS-parameter becomes smaller with larger sample sizes, and the coverage probability progressively aligns with the nominal confidence level of 95%. To demonstrate the practical effectiveness of the hybrid family, we provide three real-world data applications in which the HWE distribution outperforms many existing Weibull-based models, as measured by AIC, BIC, CAIC, KS, Anderson–Darling, and Cramer–von Mises criteria. Furthermore, the HLW exhibits strong performance in SS-parameter analysis. Consequently, this hybrid family holds immense potential for modeling lifetime data and advancing reliability and survival analysis. Full article
Show Figures

Figure 1

19 pages, 25401 KB  
Article
Rotational Motion Compensation for ISAR Imaging Based on Minimizing the Residual Norm
by Xiaoyu Yang, Weixing Sheng, Annan Xie and Renli Zhang
Remote Sens. 2024, 16(19), 3629; https://doi.org/10.3390/rs16193629 - 28 Sep 2024
Cited by 2 | Viewed by 1625
Abstract
In inverse synthetic aperture radar (ISAR) systems, image quality often suffers from the non-uniform rotation of non-cooperative targets. Rotational motion compensation (RMC) is necessary to perform refocused ISAR imaging via estimated rotational motion parameters. However, estimation errors tend to accumulate with the estimated [...] Read more.
In inverse synthetic aperture radar (ISAR) systems, image quality often suffers from the non-uniform rotation of non-cooperative targets. Rotational motion compensation (RMC) is necessary to perform refocused ISAR imaging via estimated rotational motion parameters. However, estimation errors tend to accumulate with the estimated processes, deteriorating the image quality. A novel RMC algorithm is proposed in this study to mitigate the impact of cumulative errors. The proposed method uses an iterative approach based on a novel criterion, i.e., the minimum residual norm of the signal phases, to estimate different rotational parameters independently to avoid the issue caused by cumulative errors. First, a refined inverse function combined with interpolation is proposed to perform the RMC procedure. Then, the rotation parameters are estimated using an iterative procedure designed to minimize the residual norm of the compensated signal phases. Finally, with the estimated parameters, RMC is performed on signals in all range bins, and focused images are obtained using the Fourier transform. Furthermore, this study utilizes simulated and real data to validate and evaluate the performance of the proposed algorithm. The experimental results demonstrate that the proposed algorithm shows dominance in the aspects of estimation accuracy, entropy values, and focusing characteristics. Full article
Show Figures

Figure 1

17 pages, 356 KB  
Article
Information Properties of Consecutive Systems Using Fractional Generalized Cumulative Residual Entropy
by Mohamed Kayid and Mansour Shrahili
Fractal Fract. 2024, 8(10), 568; https://doi.org/10.3390/fractalfract8100568 - 28 Sep 2024
Cited by 2 | Viewed by 810
Abstract
We investigate some information properties of consecutive k-out-of-n:G systems in light of fractional generalized cumulative residual entropy. We firstly derive a formula to compute fractional generalized cumulative residual entropy related to the system’s lifetime and explore its preservation properties in [...] Read more.
We investigate some information properties of consecutive k-out-of-n:G systems in light of fractional generalized cumulative residual entropy. We firstly derive a formula to compute fractional generalized cumulative residual entropy related to the system’s lifetime and explore its preservation properties in terms of established stochastic orders. Additionally, we obtain useful bounds. To aid practical applications, we propose two nonparametric estimators for the fractional generalized cumulative residual entropy in these systems. The efficiency and performance of these estimators are illustrated using simulated and real datasets. Full article
Show Figures

Figure 1

20 pages, 24596 KB  
Article
UAV Time-Domain Electromagnetic System and a Workflow for Subsurface Targets Detection
by Kang Xing, Shiyan Li, Zhijie Qu, Miaomiao Gao, Yuan Gao and Xiaojuan Zhang
Remote Sens. 2024, 16(2), 330; https://doi.org/10.3390/rs16020330 - 13 Jan 2024
Cited by 3 | Viewed by 3287
Abstract
The time-domain electromagnetic (TDEM) method is acknowledged for its simplicity in setup and non-intrusive detection capabilities, particularly within shallow subsurface detection methodologies. However, extant TDEM systems encounter constraints when detecting intricate topographies and hazardous zones. The rapid evolution in unmanned aerial vehicle (UAV) [...] Read more.
The time-domain electromagnetic (TDEM) method is acknowledged for its simplicity in setup and non-intrusive detection capabilities, particularly within shallow subsurface detection methodologies. However, extant TDEM systems encounter constraints when detecting intricate topographies and hazardous zones. The rapid evolution in unmanned aerial vehicle (UAV) technology has engendered the inception of UAV-based time-domain electromagnetic systems, thereby augmenting detection efficiency while mitigating potential risks associated with human casualties. This study introduces the UAV-TDEM system designed explicitly for discerning shallow subsurface targets. The system comprises a UAV platform, a host system, and sensors that capture the electromagnetic response of the area while concurrently recording real-time positional data. This study also proposes a processing technique rooted in robust local mean decomposition (RLMD) and approximate entropy (ApEn) methodology to address noise within the original data. Initially, the RLMD decomposes the original data to extract residuals alongside multiple product functions (PFs). Subsequently, the residual is combined with various PFs to yield several cumulative sums, wherein the approximate entropy of these cumulative sums is computed, and the resulting output signals are filtered using a predetermined threshold. Ultimately, the YOLOv8 (You Only Look Once version 8) network is employed to extract anomalous regions. The proposed denoising method can process data within one second, and the trained YOLOv8 network achieves an accuracy rate of 99.0% in the test set. Empirical validation through multiple flight tests substantiates the efficiency of UAV-TDEM in detecting targets situated up to 1 m below the surface. Both simulated and measured data corroborate the proposed workflow’s effectiveness in mitigating noise and identifying targets. Full article
(This article belongs to the Special Issue Recent Advances in Underwater and Terrestrial Remote Sensing)
Show Figures

Figure 1

20 pages, 3572 KB  
Article
Multiscale Cumulative Residual Dispersion Entropy with Applications to Cardiovascular Signals
by Youngjun Kim and Young-Seok Choi
Entropy 2023, 25(11), 1562; https://doi.org/10.3390/e25111562 - 20 Nov 2023
Cited by 3 | Viewed by 2046
Abstract
Heart rate variability (HRV) is used as an index reflecting the adaptability of the autonomic nervous system to external stimuli and can be used to detect various heart diseases. Since HRVs are the time series signal with nonlinear property, entropy has been an [...] Read more.
Heart rate variability (HRV) is used as an index reflecting the adaptability of the autonomic nervous system to external stimuli and can be used to detect various heart diseases. Since HRVs are the time series signal with nonlinear property, entropy has been an attractive analysis method. Among the various entropy methods, dispersion entropy (DE) has been preferred due to its ability to quantify the time series’ underlying complexity with low computational cost. However, the order between patterns is not considered in the probability distribution of dispersion patterns for computing the DE value. Here, a multiscale cumulative residual dispersion entropy (MCRDE), which employs a cumulative residual entropy and DE estimation in multiple temporal scales, is presented. Thus, a generalized and fast estimation of complexity in temporal structures is inherited in the proposed MCRDE. To verify the performance of the proposed MCRDE, the complexity of inter-beat interval obtained from ECG signals of congestive heart failure (CHF), atrial fibrillation (AF), and the healthy group was compared. The experimental results show that MCRDE is more capable of quantifying physiological conditions than preceding multiscale entropy methods in that MCRDE achieves more statistically significant cases in terms of p-value from the Mann–Whitney test. Full article
(This article belongs to the Special Issue Entropy in Biomedical Engineering, 2nd Edition)
Show Figures

Figure 1

27 pages, 541 KB  
Article
Covariance Representations and Coherent Measures for Some Entropies
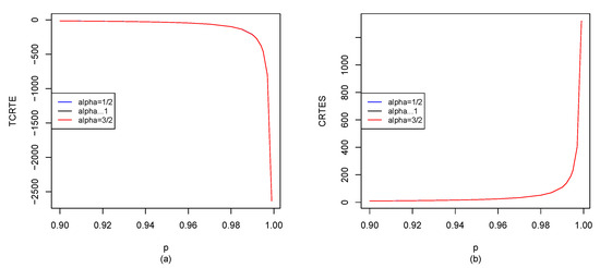
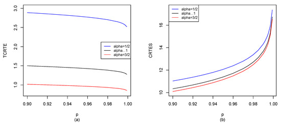
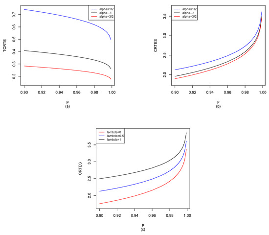
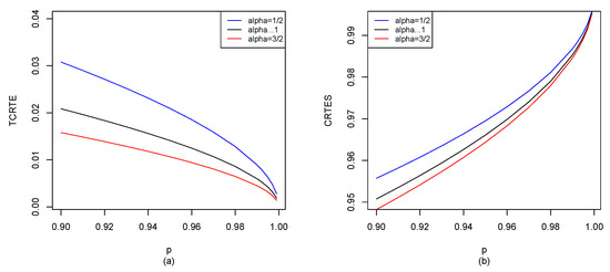
by Baishuai Zuo and Chuancun Yin
Entropy 2023, 25(11), 1525; https://doi.org/10.3390/e25111525 - 7 Nov 2023
Cited by 3 | Viewed by 1270
Abstract
We obtain covariance and Choquet integral representations for some entropies and give upper bounds of those entropies. The coherent properties of those entropies are discussed. Furthermore, we propose tail-based cumulative residual Tsallis entropy of order α (TCRTE) and tail-based right-tail deviation (TRTD); then, [...] Read more.
We obtain covariance and Choquet integral representations for some entropies and give upper bounds of those entropies. The coherent properties of those entropies are discussed. Furthermore, we propose tail-based cumulative residual Tsallis entropy of order α (TCRTE) and tail-based right-tail deviation (TRTD); then, we define a shortfall of cumulative residual Tsallis (CRTES) and shortfall of right-tail deviation entropy (RTDS) and provide some equivalent results. As illustrated examples, the CRTESs of elliptical, inverse Gaussian, gamma and beta distributions are simulated. Full article
(This article belongs to the Section Information Theory, Probability and Statistics)
Show Figures

Figure 1

15 pages, 9085 KB  
Article
Micro-Scale Numerical Simulation of Fatigue Failure for CFRP Subjected to Multiple-Amplitude Cyclic Loadings Based on Entropy Damage Criterion
by Huachao Deng, Keitaro Toda, Mio Sato and Jun Koyanagi
Materials 2023, 16(18), 6120; https://doi.org/10.3390/ma16186120 - 7 Sep 2023
Cited by 9 | Viewed by 1776
Abstract
Fatigue failure of carbon fiber-reinforced plastics (CFRPs) under cyclic loadings has attracted the attention of researchers recently. In this study, the entropy-based failure criterion is proposed to investigate the fatigue lifetime of unidirectional CFRPs subjected to multiple-amplitude cyclic loadings. Due to the heterogeneity [...] Read more.
Fatigue failure of carbon fiber-reinforced plastics (CFRPs) under cyclic loadings has attracted the attention of researchers recently. In this study, the entropy-based failure criterion is proposed to investigate the fatigue lifetime of unidirectional CFRPs subjected to multiple-amplitude cyclic loadings. Due to the heterogeneity of CFRPs, a micro-finite element model considering matrix resin and fibers independently is developed, and the entropy-based damage criterion is implemented into a user-subroutine of Abaqus to model the progressive damage of matrix resin. The fatigue lifetime of CFRPs under typical loading sequences consisting of two stages, such as varying from low to high (L-H) or from high to low (H-L) loading sequence, is estimated with the proposed failure criterion. Numerical results show that the initial damage occurs near the area between two fibers, and a transverse crack propagates progressively under the cyclic loading. The difference in predicted lifetime to final failure in L-H and H-L stress levels is 6.3%. Thus, the effect of loading sequence on the fatigue lifetime can be revealed via the proposed entropy-based damage criterion. Comparisons with the conventional linear cumulative damage (LCD) and kinetic crack growth (KCG) theories are also conducted to demonstrate the validity of the proposed method. The entropy-based failure criterion is a promising method to predict the residual strength and fatigue lifetime of CFRP components. Full article
Show Figures

Figure 1

16 pages, 2563 KB  
Article
Quantifying Entropy in Response Times (RT) Distributions Using the Cumulative Residual Entropy (CRE) Function
by Daniel Fitousi
Entropy 2023, 25(8), 1239; https://doi.org/10.3390/e25081239 - 21 Aug 2023
Cited by 5 | Viewed by 1898
Abstract
Response times (RT) distributions are routinely used by psychologists and neuroscientists in the assessment and modeling of human behavior and cognition. The statistical properties of RT distributions are valuable in uncovering unobservable psychological mechanisms. A potentially important statistical aspect of RT distributions is [...] Read more.
Response times (RT) distributions are routinely used by psychologists and neuroscientists in the assessment and modeling of human behavior and cognition. The statistical properties of RT distributions are valuable in uncovering unobservable psychological mechanisms. A potentially important statistical aspect of RT distributions is their entropy. However, to date, no valid measure of entropy on RT distributions has been developed, mainly because available extensions of discrete entropy measures to continuous distributions were fraught with problems and inconsistencies. The present work takes advantage of the cumulative residual entropy (CRE) function—a well-known differential entropy measure that can circumvent those problems. Applications of the CRE to RT distributions are presented along with concrete examples and simulations. In addition, a novel measure of instantaneous CRE is developed that captures the rate of entropy reduction (or information gain) from a stimulus as a function of processing time. Taken together, the new measures of entropy in RT distributions proposed here allow for stronger statistical inferences, as well as motivated theoretical interpretations of psychological constructs such as mental effort and processing efficiency. Full article
(This article belongs to the Section Entropy and Biology)
Show Figures

Figure 1

19 pages, 3359 KB  
Article
Asymmetric Right-Skewed Size-Biased Bilal Distribution with Mathematical Properties, Reliability Analysis, Inference and Applications
by Amer Ibrahim Al-Omari, Rehab Alsultan and Ghadah Alomani
Symmetry 2023, 15(8), 1578; https://doi.org/10.3390/sym15081578 - 13 Aug 2023
Cited by 3 | Viewed by 1494
Abstract
Asymmetric distributions, as opposed to symmetric distributions, may be more resilient to extreme values or outliers. Furthermore, when data show substantial skewness, asymmetric distributions can shed light on the underlying processes or phenomena being investigated. In this direction, the size-biased Bilal distribution (SBBD) [...] Read more.
Asymmetric distributions, as opposed to symmetric distributions, may be more resilient to extreme values or outliers. Furthermore, when data show substantial skewness, asymmetric distributions can shed light on the underlying processes or phenomena being investigated. In this direction, the size-biased Bilal distribution (SBBD) is suggested in this study as a generalization to the Bilal distribution. The length-biased and area-biased Bilal distributions are discussed in detail as two special cases. The main statistical properties of the distribution including the rth moment, coefficients of variation, skewness, kurtosis, moment generating function, incomplete moments, moments of residual life, harmonic mean, Fisher’s information, and the Rényi entropy as a measure of uncertainty are presented. Graphical representations of the cumulative distribution, probability density, odds, survival, hazard, reversed hazard rate, and cumulative hazard functions are presented for further explanation of the distribution behavior. In addition, the methods of moments and maximum likelihood estimates are taken into account for estimating the model parameters. A simulation study is carried out to see the efficiency of the maximum likelihood in terms of standard errors and bias. Real data sets of precipitation and myeloid leukemia patients are considered to show the practical significance of the suggested distributions as an alternative to some well-known distributions such as the Rama, Rani, Bilal, and exponential distributions. It is found that the size-biased Bilal distribution is right-skewed and has a superior fitting performance compared to the other distributions in this study. Full article
(This article belongs to the Special Issue Symmetry in Probability Theory and Statistics)
Show Figures

Figure 1

33 pages, 1233 KB  
Article
Bayesian and Non-Bayesian Estimation for a New Extension of Power Topp–Leone Distribution under Ranked Set Sampling with Applications
by Naif Alotaibi, A. S. Al-Moisheer, Ibrahim Elbatal, Mansour Shrahili, Mohammed Elgarhy and Ehab M. Almetwally
Axioms 2023, 12(8), 722; https://doi.org/10.3390/axioms12080722 - 25 Jul 2023
Cited by 7 | Viewed by 1869
Abstract
In this article, we intend to introduce and study a new two-parameter distribution as a new extension of the power Topp–Leone (PTL) distribution called the Kavya–Manoharan PTL (KMPTL) distribution. Several mathematical and statistical features of the KMPTL distribution, such as the quantile function, [...] Read more.
In this article, we intend to introduce and study a new two-parameter distribution as a new extension of the power Topp–Leone (PTL) distribution called the Kavya–Manoharan PTL (KMPTL) distribution. Several mathematical and statistical features of the KMPTL distribution, such as the quantile function, moments, generating function, and incomplete moments, are calculated. Some measures of entropy are investigated. The cumulative residual Rényi entropy (CRRE) is calculated. To estimate the parameters of the KMPTL distribution, both maximum likelihood and Bayesian estimation methods are used under simple random sample (SRS) and ranked set sampling (RSS). The simulation study was performed to be able to verify the model parameters of the KMPTL distribution using SRS and RSS to demonstrate that RSS is more efficient than SRS. We demonstrated that the KMPTL distribution has more flexibility than the PTL distribution and the other nine competitive statistical distributions: PTL, unit-Gompertz, unit-Lindley, Topp–Leone, unit generalized log Burr XII, unit exponential Pareto, Kumaraswamy, beta, Marshall-Olkin Kumaraswamy distributions employing two real-world datasets. Full article
(This article belongs to the Special Issue Probability, Statistics and Estimation)
Show Figures

Figure 1

12 pages, 312 KB  
Article
Cumulative Residual Entropy of the Residual Lifetime of a Mixed System at the System Level
by Mohamed Kayid and Mashael A. Alshehri
Entropy 2023, 25(7), 1033; https://doi.org/10.3390/e25071033 - 9 Jul 2023
Cited by 1 | Viewed by 1480
Abstract
Recently, there has been growing interest in alternative measures of uncertainty, including cumulative residual entropy. In this paper, we consider a mixed system consisting of n components, assuming that all components are operational at time t. By utilizing the system signature, we [...] Read more.
Recently, there has been growing interest in alternative measures of uncertainty, including cumulative residual entropy. In this paper, we consider a mixed system consisting of n components, assuming that all components are operational at time t. By utilizing the system signature, we are able to compute the cumulative residual entropy of a mixed system’s remaining lifetime. This metric serves as a valuable tool for evaluating the predictability of a system’s lifetime. We study several results related to the cumulative residual entropy of mixed systems, including expressions, limits, and order properties. These results shed light on the behavior of the measure and provide insights into the predictability of mixed systems. In addition, we propose a criterion for selecting a preferred system based on the relative residual cumulative entropy. This criterion is closely related to the parallel system and provides a practical way to choose the best system configuration. Overall, the present study of cumulative residual entropy and the proposed selection criterion provide valuable insights into the predictability of mixed systems and can be applied in various fields. Full article
(This article belongs to the Special Issue Measures of Information III)
Show Figures

Figure 1

Back to TopTop