Entropy-Based Uncertainty Quantification in Linear Consecutive k-out-of-n:G Systems via Cumulative Residual Tsallis Entropy
Abstract
1. Introduction
2. Linear Consecutive k-out-of-n:G Systems: Structure and CRTE Framework
2.1. Analytical Expression of CRTE and Stochastic Ordering Results
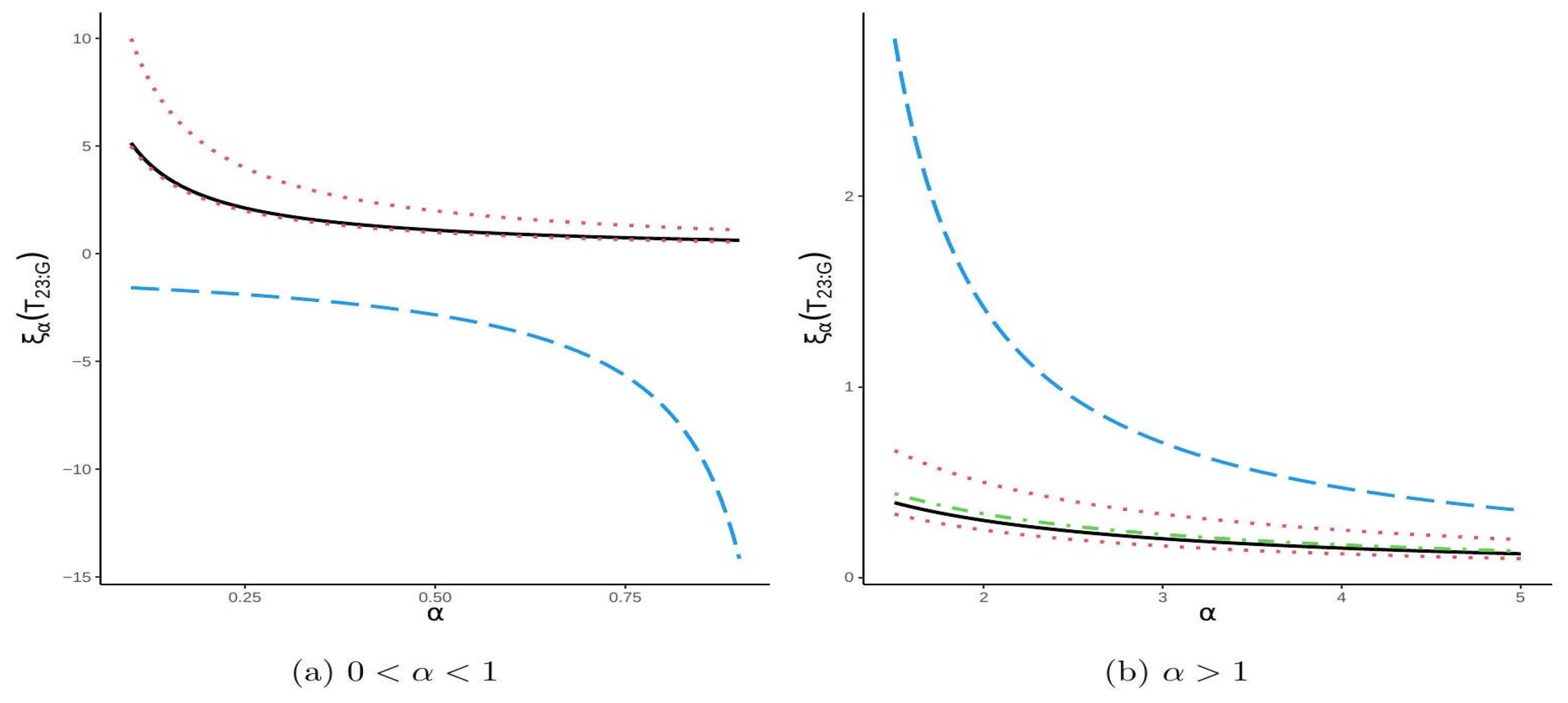
2.2. Practical Bounds for CRTE in Reliability and Uncertainty Quantification
3. CRTE-Based Characterization of Consecutive k-out-of-n:G Systems
4. Nonparametric Testing of Dispersive Ordering via CRTE
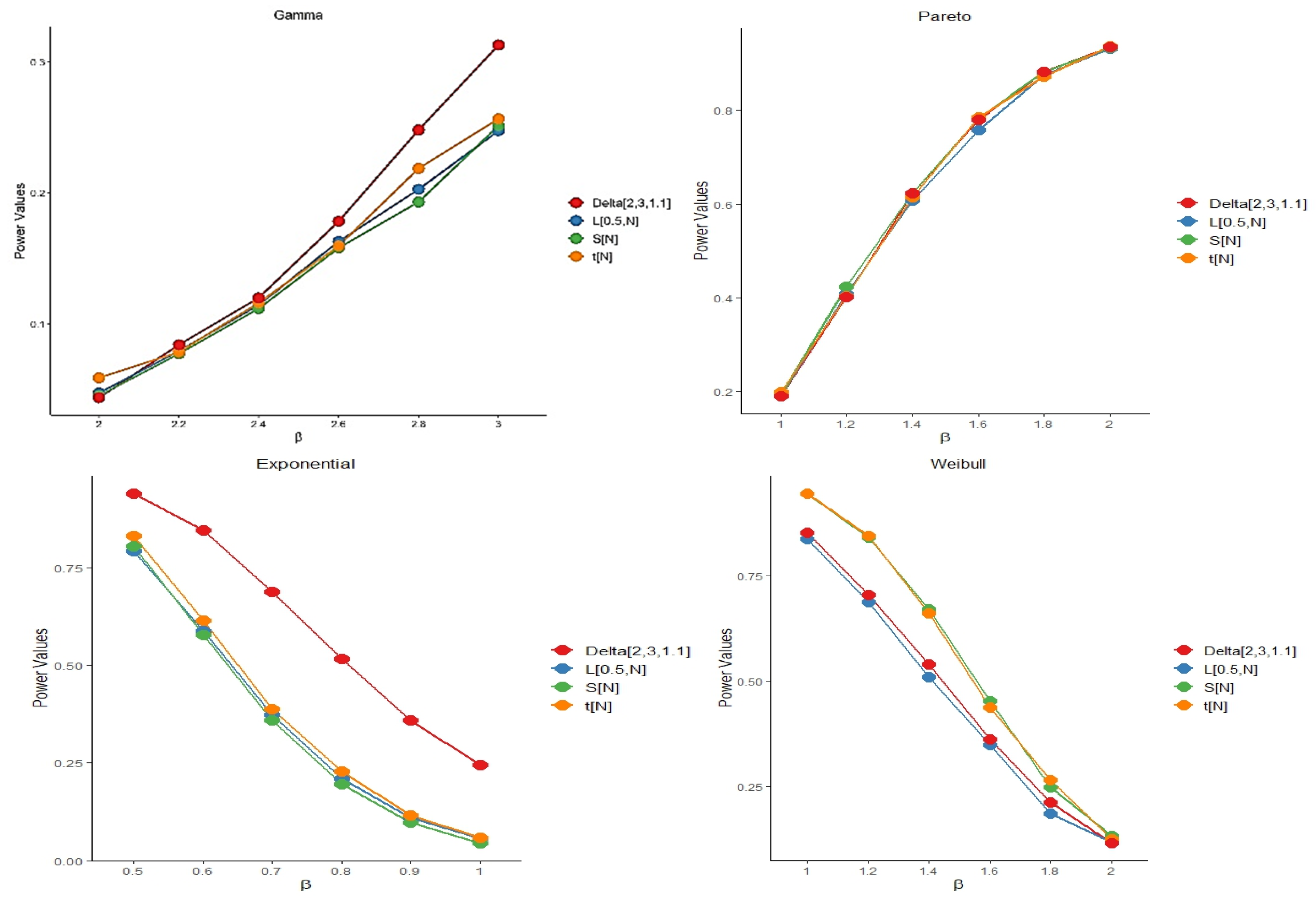
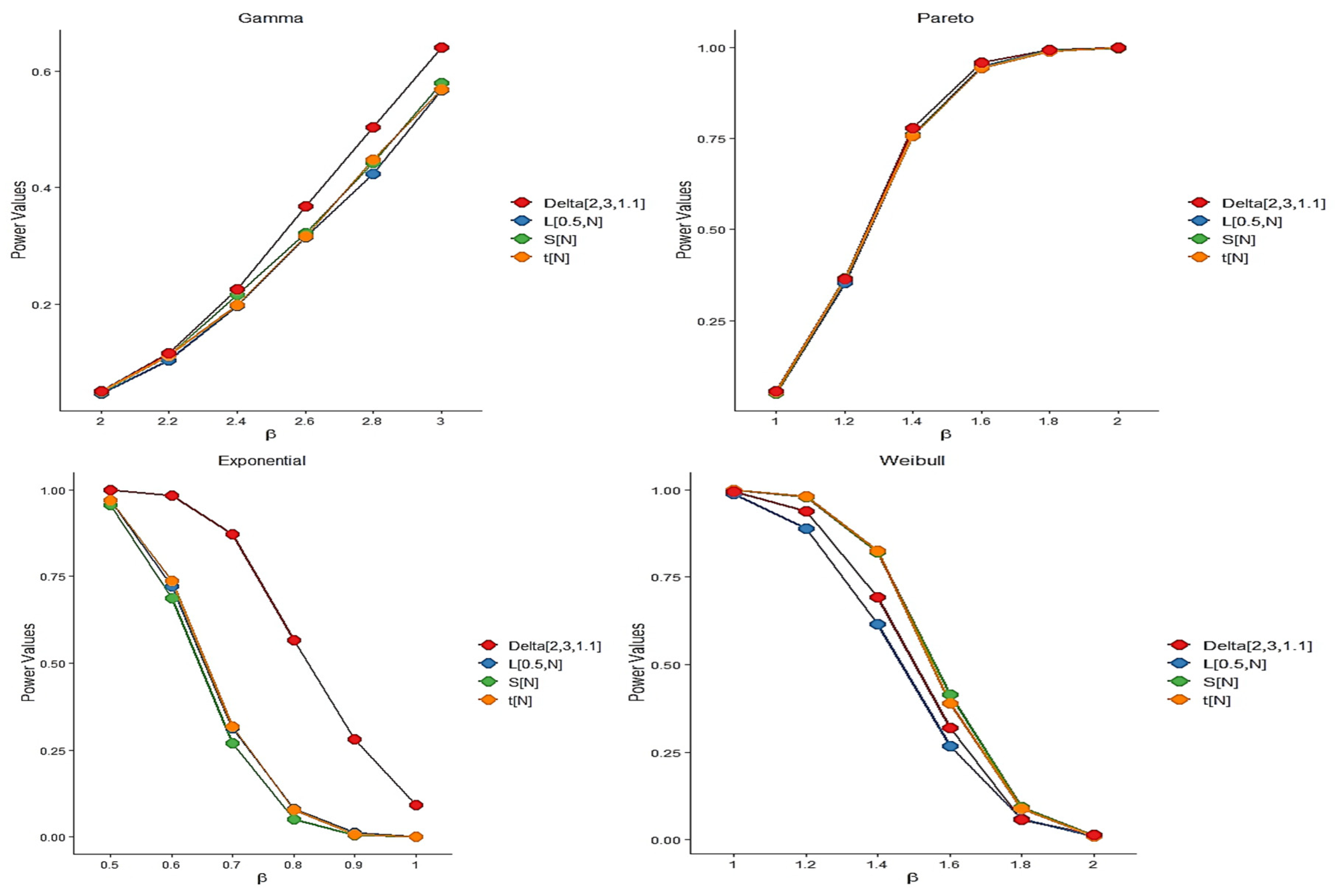
4.1. Monte Carlo Evaluation of the CRTE-Based Test
4.2. Real Data Application of the CRTE-Based Test
5. Conclusions and Future Directions
Author Contributions
Funding
Institutional Review Board Statement
Data Availability Statement
Acknowledgments
Conflicts of Interest
Appendix A
| R-code to find ξ ^_(N,α) by simulation xihat<-function(x,alpha,k,n){ x <- sort(x) g <- function(u) { (n-k+1)*(1-u)^k-(n-k)*(1-u)^(k+1) } g1 <- function(u) { k*(n-k+1)*(1-u)^(k-1)-(k+1)*(n-k)*(1-u)^(k) } J_alpha <- function(u) { (g1(u) / (alpha - 1)) * (1 - alpha * g(u)^(alpha - 1)) } sum<-0 for(i in 1:N){ sum<-sum+J_alpha(i/N)*x[i] } return(sum/N) } R-code to find Δ ^_(k,n,α) by simulation testD4 <- function (N,M,alpha,r,n){ x<-rexp(N) y<-rexp(M) N <- length(x) M <- length(y) deltanm <- f(y,alpha,r,n)-f(x,alpha,r,n) return(deltanm) } testDD4 <- function (N,M,b,alpha,r,n){ x<-rexp(N) y<-rexp(M,b) N <- length(x) M <- length(y) deltanm <- f(y,alpha,r,n)-f(x,alpha,r,n) return(deltanm) } N=M=25 alpha=2 k=2 n=3 q=0.05 b=0.5 z4 <- quantile(replicate(5000, testD4(N,M,alpha,r,n)), 1 - q) f4 <-function(b) mean(replicate(5000, testDD4(N,M,b,alpha,r,n) > z4), na.rm = TRUE) |
References
- Jung, K.-H.; Kim, H. Linear consecutive-k-out-of-n: F system reliability with common-mode forced outages. Reliab. Eng. Syst. Saf. 1993, 41, 49–55. [Google Scholar] [CrossRef]
- Shen, J.; Zuo, M.J. Optimal design of series consecutive-k-out-of-n:G systems. Reliab. Eng. Syst. Saf. 1994, 45, 277–283. [Google Scholar] [CrossRef]
- Kuo, W.; Zuo, M.J. Optimal Reliability Modeling: Principles and Applications; John Wiley and Sons: Hoboken, NJ, USA, 2003. [Google Scholar]
- In-Hang, C.; Cui, L.; Hwang, F.K. Reliabilities of Consecutive-k Systems; Springer Science and Business Media: Berlin/Heidelberg, Germany, 2013; Volume 4. [Google Scholar]
- Boland, P.J.; Samaniego, F.J. Stochastic ordering results for consecutive k-out-of-n: F systems. IEEE Trans. Reliab. 2004, 53, 7–10. [Google Scholar] [CrossRef]
- Ervlimaz, S. Mixture representations for the reliability of consecutive-k systems. Math. Comput. Model. 2010, 51, 405–412. [Google Scholar]
- Eryilmaz, S. Conditional lifetimes of consecutive k-out-of-n systems. IEEE Trans. Reliab. 2010, 59, 178–182. [Google Scholar] [CrossRef]
- Eryilmaz, S. Reliability properties of consecutive k-out-of-n systems of arbitrarily dependent components. Reliab. Eng. Syst. Saf. 2009, 94, 350–356. [Google Scholar] [CrossRef]
- Tsallis, C. Possible generalization of Boltzmann-Gibbs statistics. J. Stat. Phys. 1988, 52, 479–487. [Google Scholar] [CrossRef]
- Bercher, J.F. A simple probabilistic construction yielding generalized entropies and divergences, escort distributions and q-Gaussians. Phys. A Stat. Mech. Its Appl. 2012, 391, 4460–4469. [Google Scholar] [CrossRef]
- Vakili-Nezhaad, G.R.; Mansoori, G.A. An application of non-extensive statistical mechanics to nanosystems. J. Comput. Theor. Nanosci. 2004, 1, 227–229. [Google Scholar] [CrossRef]
- Rajesh, G.; Sunoj, S.M. Some properties of cumulative Tsallis entropy of order alpha. Stat. Pap. 2019, 60, 583–593. [Google Scholar] [CrossRef]
- Rao, M.; Chen, Y.; Vemuri, B.C.; Wang, F. Cumulative residual entropy: A new measure of information. IEEE Trans. Inf. Theory 2004, 50, 1220–1228. [Google Scholar] [CrossRef]
- Asadi, M.; Zohrevand, Y. On the dynamic cumulative residual entropy. J. Stat. Plan. Inference 2007, 137, 1931–1941. [Google Scholar] [CrossRef]
- Navarro, J.; del Aguila, Y.; Asadi, M. Some new results on the cumulative residual entropy. J. Stat. Plan. Inference 2010, 140, 310–322. [Google Scholar] [CrossRef]
- Toomaj, A.; Sunoj, S.M.; Navarro, J. Some properties of the cumulative residual entropy of coherent and mixed systems. J. Appl. Probab. 2017, 54, 379–393. [Google Scholar] [CrossRef]
- Toomaj, A.; Atabay, H.A. Some new findings on the cumulative residual Tsallis entropy. J. Comput. Appl. Math. 2022, 400, 113669. [Google Scholar] [CrossRef]
- Asadi, M.; Ebrahimi, N.; Soofi, E.S. Connections of Gini, Fisher, and Shannon by Bayes risk under proportional hazards. J. Appl. Probab. 2019, 54, 1027–1050. [Google Scholar] [CrossRef]
- Samaniego, F.J. On closure of the IFR class under formation of coherent systems. IEEE Trans. Reliab. 1985, 34, 69–72. [Google Scholar] [CrossRef]
- Kochar, S.; Mukerjee, H.; Samaniego, F.J. The “signature” of a coherent system and its application to comparison among systems. Nav. Res. Logist. 1999, 46, 507–523. [Google Scholar] [CrossRef]
- Ebrahimi, N.; Soofi, E.S.; Soyer, S. Information theory and Bayesian reliability analysis: Recent advances. In Advances in Complex Data Modeling and Computational Methods in Statistics; Paganoni, A., Secchi, P., Eds.; Springer International Publishing: Cham, Switzerland, 2015; pp. 87–102. [Google Scholar]
- Toomaj, A.; Doostparast, M. A note on signature-based expressions for the entropy of mixed r-out-of-n systems. Nav. Res. Logist. 2014, 61, 202–206. [Google Scholar] [CrossRef]
- Asadi, M.; Ebrahimi, N.; Soofi, E.S.; Zohrevand, Y. Jensen–Shannon information of the coherent system lifetime. Reliab. Eng. Syst. Saf. 2016, 156, 244–255. [Google Scholar] [CrossRef]
- Kayid, M.; Alshehri, M.A. Cumulative residual entropy of the residual lifetime of a mixed system at the system level. Entropy 2023, 25, 1033. [Google Scholar] [CrossRef] [PubMed]
- Alomani, G.; Kayid, M. Fractional survival functional entropy of engineering systems. Entropy 2022, 24, 1275. [Google Scholar] [CrossRef]
- Shrahili, M.; Kayid, M. Cumulative entropy of past lifetime for coherent systems at the system level. Axioms 2023, 12, 899. [Google Scholar] [CrossRef]
- Kayid, M.; Shrahili, M. Rényi entropy for past lifetime distributions with application in inactive coherent systems. Symmetry 2023, 15, 1310. [Google Scholar] [CrossRef]
- Kayid, M.; Alshehri, M.A. Shannon differential entropy properties of consecutive k-out-of-n:G systems. Oper. Res. Lett. 2024, 57, 107190. [Google Scholar] [CrossRef]
- Kayid, M.; Shrahili, M. Information properties of consecutive systems using fractional generalized cumulative residual entropy. Fractal Fract. 2024, 8, 568. [Google Scholar] [CrossRef]
- Shaked, M.; Shanthikumar, J.G. Stochastic Orders; Springer Science and Business Media: Berlin/Heidelberg, Germany, 2007. [Google Scholar]
- Landsberger, M.; Meilijson, I. The generating process and an extension of Jewitt’s location independent risk concept. Manag. Sci. 1994, 40, 662–669. [Google Scholar] [CrossRef]
- Aliprantis, C.D.; Burkinshaw, O. Principles of Real Analysis; Gulf Professional Publishing: Houston, TX, USA, 1998. [Google Scholar]
- Hwang, J.S.; Lin, G.D. On a generalized moment problem. II. Proc. Am. Math. Soc. 1984, 91, 577–580. [Google Scholar] [CrossRef]
- Stigler, S.M. Linear functions of order statistics with smooth weight functions. Ann. Stat. 1974, 2, 676–693. [Google Scholar] [CrossRef]
- Jones, B.L.; Žitikis, R. Empirical estimation of risk measures and related quantities. N. Am. Actuar. J. 2003, 7, 44–54. [Google Scholar] [CrossRef]
- Aly, E.A.A. A simple test for dispersive ordering. Stat. Probab. Lett. 1990, 9, 323–325. [Google Scholar] [CrossRef]
- Marzec, L.; Marzec, P. On testing the equality in dispersion of two probability distributions. Biometrika 1991, 78, 923–925. [Google Scholar] [CrossRef]
- Sordo, M.A.; de Souza, M.C.; Suárez-Llorens, A. Testing variability orderings by using Gini’s mean differences. Stat. Methodol. 2016, 32, 63–76. [Google Scholar] [CrossRef]
- Hoel, D.G. A representation of mortality data by competing risks. Biometrics 1972, 28, 475–488. [Google Scholar] [CrossRef]
- Nelson, W. Applied Life Data Analysis; Wiley: New York, NY, USA, 1982. [Google Scholar]






| 0.1 | 1.978022 | 0.250797 | 1.876491 | 2.884636 |
| 0.2 | 1.731334 | 0.195623 | 1.820220 | 2.674001 |
| 0.5 | 1.318842 | 0.120960 | 1.697049 | 2.215572 |
| 0.8 | 1.097536 | 0.089033 | 1.611232 | 1.90664 |
| 1.2 | 0.915607 | 0.066600 | 1.527334 | 1.618696 |
| 2.0 | 0.708744 | 0.044955 | 1.414099 | 1.258151 |
| 2.5 | 0.628055 | 0.037566 | 1.363996 | 1.110122 |
| 3.0 | 0.566839 | 0.032342 | 1.323560 | 0.996017 |
| Exponential | , | |
| Weibull | , | |
| Gamma | ||
| Pareto | , |
| PDF Exponential Weibull | ||||||||||
|---|---|---|---|---|---|---|---|---|---|---|
| N = M | γ | L0.5,N | Sn | tn | 2.3,1.1 | β | L0.5,N | Sn | tn | 2.3,1.1 |
| 25 | 0.5 | 0.7924 | 0.8042 | 0.8314 | 0.9400 | 1.0 | 0.8362 | 0.9440 | 0.9438 | 0.8512 |
| 0.6 | 0.5876 | 0.5782 | 0.6148 | 0.8454 | 1.2 | 0.6874 | 0.8402 | 0.8444 | 0.7042 | |
| 0.7 | 0.3730 | 0.3584 | 0.3882 | 0.6888 | 1.4 | 0.5098 | 0.6706 | 0.6602 | 0.5392 | |
| 0.8 | 0.2108 | 0.1946 | 0.2276 | 0.5160 | 1.6 | 0.3476 | 0.4522 | 0.4364 | 0.3612 | |
| 0.9 | 0.1104 | 0.0974 | 0.1158 | 0.3586 | 1.8 | 0.1848 | 0.2480 | 0.2648 | 0.2126 | |
| 1.0 | 0.0558 | 0.0440 | 0.0590 | 0.2440 | 2.0 | 0.1172 | 0.1318 | 0.1254 | 0.1156 | |
| 50 | 0.5 | 0.9004 | 0.8922 | 0.9064 | 0.9912 | 1.0 | 0.9308 | 0.9898 | 0.9876 | 0.9508 |
| 0.6 | 0.6566 | 0.6244 | 0.6644 | 0.9276 | 1.2 | 0.7958 | 0.9266 | 0.9294 | 0.8350 | |
| 0.7 | 0.3578 | 0.3272 | 0.3666 | 0.7712 | 1.4 | 0.5650 | 0.7388 | 0.7476 | 0.6256 | |
| 0.8 | 0.1514 | 0.1282 | 0.1484 | 0.5578 | 1.6 | 0.3044 | 0.4290 | 0.4430 | 0.3482 | |
| 0.9 | 0.0456 | 0.0314 | 0.0418 | 0.3264 | 1.8 | 0.1298 | 0.1720 | 0.1770 | 0.1496 | |
| 1.0 | 0.0110 | 0.0108 | 0.0134 | 0.1708 | 2.0 | 0.0444 | 0.0488 | 0.0482 | 0.0506 | |
| 100 | 0.5 | 0.9710 | 0.9576 | 0.9702 | 0.9998 | 1.0 | 0.9888 | 0.9996 | 0.9992 | 0.9944 |
| 0.6 | 0.7220 | 0.6866 | 0.7364 | 0.9842 | 1.2 | 0.8898 | 0.9802 | 0.9824 | 0.9378 | |
| 0.7 | 0.3124 | 0.2698 | 0.3180 | 0.8720 | 1.4 | 0.6150 | 0.8210 | 0.8262 | 0.6918 | |
| 0.8 | 0.0808 | 0.0502 | 0.0780 | 0.5668 | 1.6 | 0.2678 | 0.4146 | 0.3886 | 0.3192 | |
| 0.9 | 0.0118 | 0.0058 | 0.0078 | 0.2814 | 1.8 | 0.0596 | 0.0932 | 0.0886 | 0.0572 | |
| 1.0 | 0.0014 | 0.0002 | 0.0014 | 0.0924 | 2.0 | 0.0092 | 0.0106 | 0.0098 | 0.0136 | |
| Gamma | Pareto | |||||||||
|---|---|---|---|---|---|---|---|---|---|---|
| N = M | β | L0.5,N | Sn | tn | 2.3,1.1 | β | L0.5,N | Sn | tn | 2.3,1.1 |
| 25 | 2.0 | 0.0476 | 0.0454 | 0.0592 | 0.0440 | 1.0 | 0.1906 | 0.1930 | 0.1972 | 0.1894 |
| 2.2 | 0.0796 | 0.0774 | 0.0788 | 0.0844 | 1.2 | 0.4074 | 0.4236 | 0.4024 | 0.4010 | |
| 2.4 | 0.1146 | 0.1120 | 0.1164 | 0.1202 | 1.4 | 0.6074 | 0.6234 | 0.6144 | 0.6234 | |
| 2.6 | 0.1632 | 0.1582 | 0.1598 | 0.1784 | 1.6 | 0.7576 | 0.7842 | 0.7852 | 0.7810 | |
| 2.8 | 0.2030 | 0.1932 | 0.2188 | 0.2482 | 1.8 | 0.8760 | 0.8834 | 0.8730 | 0.8828 | |
| 3.0 | 0.2476 | 0.2514 | 0.2568 | 0.3130 | 2.0 | 0.9324 | 0.9338 | 0.9374 | 0.9354 | |
| 50 | 2.0 | 0.1148 | 0.1186 | 0.1174 | 0.1154 | 1.0 | 0.1188 | 0.1196 | 0.1170 | 0.1144 |
| 2.2 | 0.1756 | 0.1892 | 0.1924 | 0.1896 | 1.2 | 0.3930 | 0.3904 | 0.3876 | 0.3976 | |
| 2.4 | 0.2560 | 0.2768 | 0.2776 | 0.2952 | 1.4 | 0.6786 | 0.6784 | 0.6762 | 0.6950 | |
| 2.6 | 0.3666 | 0.3660 | 0.3692 | 0.3994 | 1.6 | 0.8644 | 0.8710 | 0.8694 | 0.8740 | |
| 2.8 | 0.4298 | 0.4808 | 0.4596 | 0.5120 | 1.8 | 0.9540 | 0.9508 | 0.9570 | 0.9632 | |
| 3.0 | 0.5484 | 0.5516 | 0.5492 | 0.6032 | 2.0 | 0.9860 | 0.9836 | 0.9820 | 0.9916 | |
| 100 | 2.0 | 0.0458 | 0.0486 | 0.0506 | 0.0504 | 1.0 | 0.0500 | 0.0498 | 0.0532 | 0.0560 |
| 2.2 | 0.1024 | 0.1110 | 0.1112 | 0.1154 | 1.2 | 0.3536 | 0.3666 | 0.3648 | 0.3646 | |
| 2.4 | 0.1962 | 0.2160 | 0.1974 | 0.2258 | 1.4 | 0.7608 | 0.7596 | 0.7562 | 0.7792 | |
| 2.6 | 0.3146 | 0.3222 | 0.3160 | 0.3674 | 1.6 | 0.9480 | 0.9426 | 0.9446 | 0.9584 | |
| 2.8 | 0.4230 | 0.4424 | 0.4480 | 0.5032 | 1.8 | 0.9932 | 0.9922 | 0.9894 | 0.9936 | |
| 3.0 | 0.5670 | 0.5800 | 0.5692 | 0.6410 | 2.0 | 0.9988 | 0.9986 | 0.9990 | 0.9999 |
| Group I | 159, 189, 191, 198, 200, 207, 220, 235, 245, 250, 256, 261, 265, 266, 280, 343, 356, 383, 403, 414, 428, 432, 317, 318, 399, 495, 525, 536, 549, 552, 554, 557, 558, 571, 586, 594, 596, 605, 612, 621, 628, 631, 636, 643, 647, 648, 649, 661, 663, 666, 670, 695, 697, 700, 705, 712, 713, 738, 748, 753, 40, 42, 51, 62, 163, 179, 206, 222, 228, 252, 249, 282, 324, 333, 341, 366, 385, 407, 420, 431, 441, 461, 462, 482, 517, 517, 524, 564, 567, 586, 619, 620, 621, 622, 647, 651, 686, 761, 763. |
| Group II | 158, 192, 193, 194, 195, 202, 212, 215, 229, 230, 237, 240, 244, 247, 259, 300, 301, 321, 337, 415, 434, 444, 485, 496, 529, 537, 624, 707, 800, 430, 590, 606, 638, 655, 679, 691, 693, 696, 747, 752, 760, 778, 821, 986, 136, 246, 255, 376, 421, 565, 616, 617, 652, 655, 658, 660, 662, 675, 681, 734, 736, 737, 757, 769, 777, 800, 807, 825, 855, 857, 864, 868, 870, 870, 873, 882, 895, 910, 934, 942, 1015, 1019. |
| Test | ||||
|---|---|---|---|---|
| p-value | 0.003300 | 0.000200 | 0.000556 | 0.001509 |
| Old design | 90, 100, 160, 346, 407, 456, 470, 494, 550, 570, 649, 733, 777, 836, 965, 983, 1008, 1164, 1474, 1550, 1576, 1620, 1643, 1705, 1835, 2043, 2113, 2214, 2422. |
| New design | 23, 284, 371, 378, 498, 512, 574, 621, 846, 917, 1163, 1184, 1226, 1246, 1251, 1263, 1383, 1394, 1397, 1411, 1482, 1493, 1507, 1518, 1534, 1624, 1625, 1641, 1693, 1788. |
| Test | ||||
|---|---|---|---|---|
| p-value | 0.23524 | 0.20542 | 0.24778 | 0.32773 |
Disclaimer/Publisher’s Note: The statements, opinions and data contained in all publications are solely those of the individual author(s) and contributor(s) and not of MDPI and/or the editor(s). MDPI and/or the editor(s) disclaim responsibility for any injury to people or property resulting from any ideas, methods, instructions or products referred to in the content. |
© 2025 by the authors. Licensee MDPI, Basel, Switzerland. This article is an open access article distributed under the terms and conditions of the Creative Commons Attribution (CC BY) license (https://creativecommons.org/licenses/by/4.0/).
Share and Cite
Alarfaj, B.; Kayid, M.; Alshehri, M.A. Entropy-Based Uncertainty Quantification in Linear Consecutive k-out-of-n:G Systems via Cumulative Residual Tsallis Entropy. Entropy 2025, 27, 1020. https://doi.org/10.3390/e27101020
Alarfaj B, Kayid M, Alshehri MA. Entropy-Based Uncertainty Quantification in Linear Consecutive k-out-of-n:G Systems via Cumulative Residual Tsallis Entropy. Entropy. 2025; 27(10):1020. https://doi.org/10.3390/e27101020
Chicago/Turabian StyleAlarfaj, Boshra, Mohamed Kayid, and Mashael A. Alshehri. 2025. "Entropy-Based Uncertainty Quantification in Linear Consecutive k-out-of-n:G Systems via Cumulative Residual Tsallis Entropy" Entropy 27, no. 10: 1020. https://doi.org/10.3390/e27101020
APA StyleAlarfaj, B., Kayid, M., & Alshehri, M. A. (2025). Entropy-Based Uncertainty Quantification in Linear Consecutive k-out-of-n:G Systems via Cumulative Residual Tsallis Entropy. Entropy, 27(10), 1020. https://doi.org/10.3390/e27101020

