Sign in to use this feature.

Years

Between: -

Subjects

remove_circle_outline
remove_circle_outline
remove_circle_outline
remove_circle_outline
remove_circle_outline
remove_circle_outline
remove_circle_outline
remove_circle_outline
remove_circle_outline

Journals

remove_circle_outline
remove_circle_outline
remove_circle_outline
remove_circle_outline
remove_circle_outline
remove_circle_outline
remove_circle_outline
remove_circle_outline
remove_circle_outline
remove_circle_outline
remove_circle_outline
remove_circle_outline
remove_circle_outline
remove_circle_outline
remove_circle_outline

Article Types

Countries / Regions

remove_circle_outline
remove_circle_outline
remove_circle_outline
remove_circle_outline

Search Results (2,424)

Search Parameters:
Keywords = crystal strength

Order results
Result details
Results per page
Select all
Export citation of selected articles as:
25 pages, 2985 KB  
Article
Concentration-Dependent Reinforcement and Structural Modulation of Silk Fibroin Films Induced by Mulberry Leaf Extract for Sustainable Bio-Based Materials
by Fatma Tuba Kirac Demirel, Adnan Fatih Dagdelen and Yasemin Sahan
Macromol 2026, 6(2), 27; https://doi.org/10.3390/macromol6020027 - 24 Apr 2026
Abstract
Fibroin-based films represent a promising platform for sustainable and bio-derived materials. Existing literature has mainly focused on isolated molecules, plasticizers, or chemical cross-linkers, and the function of complex, multi-component natural extracts as structure-modulating agents in fibroin films remains poorly understood. In this study, [...] Read more.
Fibroin-based films represent a promising platform for sustainable and bio-derived materials. Existing literature has mainly focused on isolated molecules, plasticizers, or chemical cross-linkers, and the function of complex, multi-component natural extracts as structure-modulating agents in fibroin films remains poorly understood. In this study, edible films containing mulberry leaf extract (MLE; 2–8 wt%) and fibroin (8 wt%) were prepared by solution casting, and their structures were investigated using spectroscopic, morphological, thermal, mechanical, and barrier property analyses. The results reveal that MLE induces concentration-dependent changes in film performance through multicomponent, non-covalent interactions with the fibroin. An approximately 187% increase in tensile strength was achieved at high MLE concentration, confirming effective physical reinforcement. The water vapor transmission rate decreased markedly from 0.888 to 0.170 g·h−1·m−2, indicating an enhanced moisture barrier, whereas oxygen permeability increased at higher extract loadings, suggesting localized chain rearrangements. High optical transparency in the visible region was maintained (79.95–83.77%), while UV response was selectively altered with extract concentration. Overall, the 8MLE formulation exhibited the most balanced performance. This study demonstrates that plant-derived extracts can serve as effective natural modifiers for tailoring fibroin film properties without inducing crystallization, offering a sustainable strategy for designing bio-based and edible protein film systems. Full article
28 pages, 5492 KB  
Article
Early-Stage Hydration and Product Evolution in Calcium Hydroxide-Activated Lithium Slag
by Baoliang Li, Liying Shi, Hongrui Shang, Wangzi Li, Shouhua Liu, Binbin Huo, Baizhan Ding and Guojun Huang
Gels 2026, 12(5), 359; https://doi.org/10.3390/gels12050359 - 24 Apr 2026
Abstract
This study used calcium hydroxide (CH) to simulate the alkaline environment of cement and to activate lithium slag (LS), aiming to reveal the mechanism of LS in cement. The early-age hydration of LS blended with 10 wt.% CH was monitored via isothermal calorimetry [...] Read more.
This study used calcium hydroxide (CH) to simulate the alkaline environment of cement and to activate lithium slag (LS), aiming to reveal the mechanism of LS in cement. The early-age hydration of LS blended with 10 wt.% CH was monitored via isothermal calorimetry (ICC) at ambient temperature, followed by a comparative analysis of phase assemblage, microstructure, and macroscopic properties under standard and steam curing conditions. The results show that LS exhibits superior early reactivity within the first 9 h, which is attributed to abundant ettringite formation. Two distinct exothermic peaks were identified during LS-CH hydration, corresponding to (i) ettringite formation accompanied by LS dissolution and C–S–H precipitation, and (ii) CaCO3 crystallization and renewed ettringite formation. The hydrated paste consists of abundant AFt, CaCO3 polymorphs, unreacted LS particles, and a small amount of C–S–H gel with a low Ca/Si ratio and incorporating Al and S. This unique phase assemblage results in a coarser pore structure and lower specific surface area compared with conventional cement paste. Nevertheless, the system achieves a relatively high 28-day compressive strength, highlighting the promise of LS-CH blends as sustainable cementitious materials. Full article
(This article belongs to the Special Issue Development and Applications of Advanced Geopolymer Gel Materials)
34 pages, 6425 KB  
Article
Chemical Modification and Performance Evaluation of Eucommia ulmoides Gum as a Natural and Sustainable Energy Resource and Its Application in Road Engineering
by Shichao Cui, Naisheng Guo, Jun Zhang, Guangshuai Wu, Hongbin Zhu and Yiqiu Tan
Polymers 2026, 18(9), 1030; https://doi.org/10.3390/polym18091030 - 24 Apr 2026
Abstract
Eucommia ulmoides gum (EUG), a sustainable plant-derived natural polymer, was functionalized via three distinct routes, including vulcanization, epoxidation, and hydroxylation to yield vulcanized (VEUG), epoxidized (EEUG), and hydroxylated EUG (HEUG), respectively. We systematically characterized the effects of modification route and degree on the [...] Read more.
Eucommia ulmoides gum (EUG), a sustainable plant-derived natural polymer, was functionalized via three distinct routes, including vulcanization, epoxidation, and hydroxylation to yield vulcanized (VEUG), epoxidized (EEUG), and hydroxylated EUG (HEUG), respectively. We systematically characterized the effects of modification route and degree on the chemical structure, crystallization behavior, thermal stability, hydrophilicity, and mechanical properties of functionalized EUG and further evaluated the high/low-temperature performance, microstructure, and mechanical properties of the corresponding modified asphalt binders (VEMA, EEMA, HEMA) as a function of modifier type and loading. For VEUG, C-S cross-linking networks formed during vulcanization suppress EUG crystallization, enabling a rigid-plastic to elastic transition, while high-temperature cleavage of C-S bonds reduces its initial thermal stability. For EEUG, epoxidation breaks C=C double bonds and introduces epoxy groups to strengthen intermolecular interactions; subsequent ring-opening grafting of hydroxyl groups onto EEUG yields HEUG, which forms additional cross-links via dynamic hydrogen bonds. Increasing modification degree for both EEUG and HEUG reduces their number- and weight-average molecular weights with narrower distribution, diminishes crystallinity, enhances thermal stability and hydrophilicity, and drives a rigid-plastic to elastic transition, characterized by decreased strength (0.65 MPa < σHEUG < σEEUG < 10.18 MPa) and markedly improved ductility (143.6% < εEEUG < 262.0%, 679.9% < εHEUG < 1360.3%). In asphalt binders, VEUG’s cross-linked network endows VEMA with refined more abundant bee-like microstructures, drastically boosting high- and low-temperature performance: relative to pristine EUG-modified asphalt (EUGMA), VEMA’s DMT modulus decreases by 94%, and adhesion increases by 87%. EEMA forms covalent bonds with polar asphalt components via epoxy groups, while HEMA constructs a hydrogen-bonded cross-linked network; both effectively inhibit asphaltene aggregation. With increasing modifier loading, EEMA and HEMA exhibit increased modulus, reduced adhesion, and gradually improved high- and low-temperature performance, except for the non-significant high-temperature enhancement of HEMA at higher loadings. Full article
(This article belongs to the Special Issue Polymer-Enabled Materials for Circular and Sustainable Pavements)
18 pages, 5296 KB  
Article
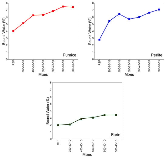
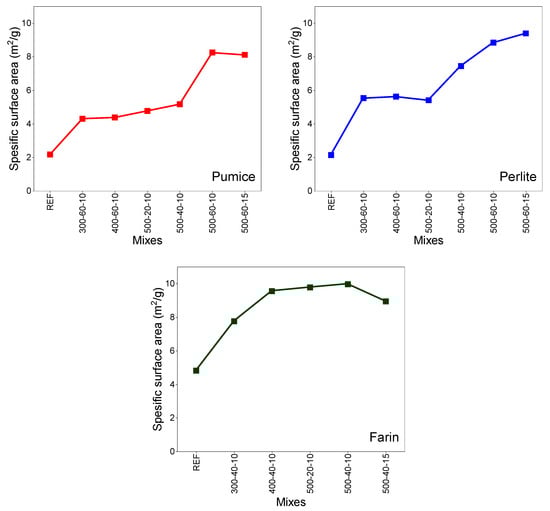
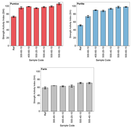
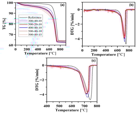
Improving Reactivity of Pumice, Perlite and Farin by Mechanochemical Activation
by Safa Nayır
Materials 2026, 19(9), 1702; https://doi.org/10.3390/ma19091702 - 23 Apr 2026
Abstract
This study investigated the improvement of the pozzolanic activity of pumice, perlite, and farin through mechanochemical activation (MCA). The properties of the materials were determined by performing XRF, XRD, and particle size and specific surface area analyses. The MCA of three different materials [...] Read more.
This study investigated the improvement of the pozzolanic activity of pumice, perlite, and farin through mechanochemical activation (MCA). The properties of the materials were determined by performing XRF, XRD, and particle size and specific surface area analyses. The MCA of three different materials sourced from Türkiye was performed using a planetary ball mill, and their pozzolanic reactivity was systematically investigated. R3 test (bound water measurement) and strength activity index (SAI) test were used to evaluate pozzolanic activity. Based on the results, following MCA, the crystal structure was significantly disrupted, particularly in perlite and pumice, and the amount of amorphous phase increased more compared to farin, as confirmed by the decrease in XRD peak intensities. The amount of bound water tended to increase by increasing grinding time and grinding speed. The highest amount of bound water (7.5%) was obtained by grinding the pumice sample at 500 rpm, with ball-to-powder ratio (BPR) of 10 for 60 min. For the same material, the highest activity index (106%) was determined at 500 rpm, with a BPR of 15 and a grinding time of 60 min. In the perlite sample, the highest amount of bound water (7.07%) and the highest strength activity index (98%) were measured in the sample ground at 500 rpm for 60 min with a BPR of 15. In the farin sample, the highest amount of bound water (3.40%) was obtained at 500 rpm for 40 min with a BPR of 15, while the highest strength activity index (71.05%) was observed at 500 rpm for 40 min with a BPR of 10. The results show that the applied MCA process increases the activity of the materials. Full article
(This article belongs to the Section Construction and Building Materials)
Show Figures

Figure 1

13 pages, 6411 KB  
Article
Effect of Sodium Fluoride on the Properties of α-Hemihydrate Gypsum from Phosphogypsum
by Wanqing Zhou, Jiayi Huang, Rui Zou, Dongmei Liu, Jian Yang, Yi Qin and Yanzhou Peng
Materials 2026, 19(9), 1706; https://doi.org/10.3390/ma19091706 - 23 Apr 2026
Abstract
The presence of impurities directly affects the properties of α-hemihydrate gypsum (α-HH) prepared from phosphogypsum (PG) as a raw material. However, the effect of soluble fluorine impurities on the properties of α-HH by autoclaving remains insufficiently understood. This study investigated the influence of [...] Read more.
The presence of impurities directly affects the properties of α-hemihydrate gypsum (α-HH) prepared from phosphogypsum (PG) as a raw material. However, the effect of soluble fluorine impurities on the properties of α-HH by autoclaving remains insufficiently understood. This study investigated the influence of sodium fluoride on the morphology, hydration, and hardening properties of α-HH, using XRD, XPS, SEM, MIP, and tests of setting time, evolution of hydration temperature increase, and strength. The results showed that during the preparation of α-HH, some F reacted with Ca2+ to form CaF2, which adhered to the surface of the α-HH crystal, hindering the growth and development of the crystal and resulting in small crystals with rough surfaces. When α-HH hydrated, sodium fluoride caused the early, rapid nucleation of dihydrate gypsum (DH) crystals, accelerating the crystallization process of DH. The introduction of sodium fluoride inhibited the early hydration of α-HH and promoted its later hydration. The increase in sodium fluoride content caused the initial setting time of α-HH hydration to first increase and then decrease, while the final setting time continued to decrease. In the absence of sodium fluoride, the average pore diameter of the hardened paste was approximately 617.99 nm. When the NaF content was 0.2%, the DH crystals were prismatic and densely packed, which resulted in a decrease in the average pore diameter to 449.35 nm. When the NaF content was 0.6%, the DH crystals exhibited a plate-like morphology and were loosely interlocked, leading to an increase in the average pore diameter to 1169.58 nm. Based on these results, the sodium fluoride content in PG should be controlled below 0.2%. Full article
(This article belongs to the Section Construction and Building Materials)
Show Figures

Figure 1

17 pages, 12346 KB  
Article
Calcium Carbonate Scaling in Pipes in the Presence of CO2: Experimental Evaluation of Deposited Mass and Adhesion
by Luila Abib Saidler, Renato do Nascimento Siqueira, Helga Elisabeth Pinheiro Schluter, Andre Leibsohn Martins and Bruno Venturini Loureiro
Appl. Sci. 2026, 16(9), 4123; https://doi.org/10.3390/app16094123 - 23 Apr 2026
Abstract
Inorganic scale formation in oil wells is a major flow assurance challenge, causing production losses, increased intervention costs and reduced operational efficiency. In Brazil, recent discoveries in pre-salt reservoirs have increased the relevance of calcium carbonate (CaCO3) scaling under high-pressure and [...] Read more.
Inorganic scale formation in oil wells is a major flow assurance challenge, causing production losses, increased intervention costs and reduced operational efficiency. In Brazil, recent discoveries in pre-salt reservoirs have increased the relevance of calcium carbonate (CaCO3) scaling under high-pressure and high-temperature (HPHT) conditions. Experimental data representative of petroleum environments under such conditions, particularly regarding the influence of CO2 and flow conditions, remain limited. In this study, a compact pressurized experimental unit was designed and constructed to investigate the dynamic formation, deposition and adhesion of CaCO3 under conditions close to those encountered in oil production systems. A dedicated experimental methodology was developed to promote controlled mixing of aqueous sodium bicarbonate (NaHCO3) and calcium chloride (CaCl2) solutions and CO2 injection, enabling precise control of pressure, temperature and flow regime. The effects of turbulent flow, expressed by different Reynolds numbers, on the deposited CaCO3 mass and its adhesion to the substrate were systematically evaluated under controlled conditions of 40 °C and a pressure drop of 15 bar was imposed in the control valve in order to promote the flash of CO2 and CaCO3 precipitation. Complementary characterization analyses were performed to assess crystal morphology and adhesion detachment strength. The results provide new experimental insights into CaCO3 scaling mechanisms under CO2-rich flowing conditions, contributing to improved understanding of scale adhesion and the development of mitigation strategies for flow assurance in oil and gas operations. Full article
16 pages, 7104 KB  
Article
Phase Field Simulation Study of Competitive Growth of Polycrystalline in Directional Solidification Under Natural Convection Conditions
by Qiao Yin, Huaxiang Zha, Chunwen Guo, Junjie Li, Hongliang Zhao, Shuya Zhang, Xianglei Dong and Yuheng Fan
Metals 2026, 16(5), 454; https://doi.org/10.3390/met16050454 - 22 Apr 2026
Viewed by 164
Abstract
Directional solidification technology is the core process for manufacturing single-crystal blades in aero-engines, but transverse grain boundaries caused by the competitive growth of polycrystals severely degrade blade performance. To gain a deeper understanding of polycrystalline competitive growth behavior, this study investigates the competitive [...] Read more.
Directional solidification technology is the core process for manufacturing single-crystal blades in aero-engines, but transverse grain boundaries caused by the competitive growth of polycrystals severely degrade blade performance. To gain a deeper understanding of polycrystalline competitive growth behavior, this study investigates the competitive growth of polycrystals during directional solidification under natural convection based on the phase field and lattice Boltzmann coupling model. By adjusting the solutal expansion coefficient, grain configuration, and pulling velocity, the influence of the flow field on polycrystalline competitive growth is analyzed. The results indicate that changes in the solutal expansion coefficient affect the dendritic competition process and outcome, particularly for dendrites with larger favorably oriented (FO) angles, which are more likely to be eliminated at higher solutal expansion coefficients. Additionally, grain configurations with greater orientation differences between adjacent dendrites are more sensitive to changes in the solutal expansion coefficient, whereas configurations with smaller orientation differences are less affected. It was also found that as the pulling velocity increases, the primary dendrite arm spacing decreases and the growth direction of the dendrites deflects towards the temperature gradient direction. This leads to a reduction in vortices at the dendrite tips and grain boundaries, thereby decreasing the overall flow field intensity. During dendrite growth, solute is rejected from the solid phase, creating a concentration gradient between the dendrite tips and the liquid region. This induces convection in the liquid phase. The interaction between the flow field and the solute concentration in the liquid phase causes the flow field strength and solute concentration to exhibit periodic fluctuations. Full article
Show Figures

Figure 1

18 pages, 1642 KB  
Article
Relationship Between Xonotlite Crystallite Size and Strength Degradation of Silica-Enriched Oil Well Cement Under 240 °C Curing Conditions
by Guodong Cheng, Lei Chen, Qian Tao, Haoguang Wei, Fuzhu Xie, Jixiang Wang and Jun Lu
Materials 2026, 19(8), 1651; https://doi.org/10.3390/ma19081651 - 20 Apr 2026
Viewed by 278
Abstract
The strength degradation of silica-enriched oil well cement under high-temperature curing conditions poses a challenge to wellbore integrity. Using the single-peak Scherrer equation, this study evaluated xonotlite crystallite size evolution in cements cured at different setting temperatures. Low-temperature setting (80 °C) maintained stable [...] Read more.
The strength degradation of silica-enriched oil well cement under high-temperature curing conditions poses a challenge to wellbore integrity. Using the single-peak Scherrer equation, this study evaluated xonotlite crystallite size evolution in cements cured at different setting temperatures. Low-temperature setting (80 °C) maintained stable crystallite size (≈35–36 nm), accompanied by strength gain and pore refinement. High-temperature setting (240 °C) induced crystallite coarsening (up to 40 nm), concurrent with strength degradation and pore coarsening. Similar crystallite sizes led to divergent mechanical performance depending on crystal morphology, highlighting the need for combined size-morphology assessment. These findings identify xonotlite crystallite coarsening as a key indicator of high-temperature cement retrogression. Full article
(This article belongs to the Section Construction and Building Materials)
Show Figures

Figure 1

38 pages, 24690 KB  
Review
Glass-Ceramic Bonding Agents for High-Performance Grinding: A Material Design Framework Based on Multi-System Comparisons
by Yufei Li, Le Tian, Longyao Xu, Mingmin Li, Huaying Bian, Xuetao Wang and Shuanghua Wang
Inorganics 2026, 14(4), 116; https://doi.org/10.3390/inorganics14040116 - 20 Apr 2026
Viewed by 267
Abstract
This review systematically analyzes the technological progress, structural characteristics, and performance disparities among various diamond grinding wheel bond systems, aiming to establish a unified performance evaluation framework. This framework clarifies material selection criteria and highlights promising research directions. Eight prevalent bond systems are [...] Read more.
This review systematically analyzes the technological progress, structural characteristics, and performance disparities among various diamond grinding wheel bond systems, aiming to establish a unified performance evaluation framework. This framework clarifies material selection criteria and highlights promising research directions. Eight prevalent bond systems are encompassed: resin, metal, ceramic, brazing, electroplating, composite, additive manufacturing, and glass-ceramics. A comparative analysis of these systems is conducted across multiple dimensions. Key evaluation metrics primarily include bond strength, thermal stability, self-sharpening capability, thermal conductivity, and formability. Considerable variations in these indicators are observed across the different bonding agents. Each system presents distinct advantages alongside inherent limitations. Within the constructed multi-metric framework, glass-ceramic bonding agents demonstrate high comprehensive potential in critical aspects such as bond strength and thermal stability, underscoring their research value as a novel high-performance bond system. Current primary challenges focus on the regulation of crystallization kinetics, the design of interfacial reaction layers, and multiscale performance prediction. Future research may advance along several paths. Synergistic design of material composition and microstructure is essential, while in-depth investigation into multiphysics coupling mechanisms remains necessary. Furthermore, data-driven material optimization methods are poised to unlock new possibilities for bond development. These approaches are expected to facilitate the precise design and application of high-performance diamond grinding wheel bonds. Full article
(This article belongs to the Special Issue Novel Ceramics and Refractory Composites)
Show Figures

Figure 1

16 pages, 28850 KB  
Article
Effects of Carbonated Recycled Aggregate on Performance of Cemented Paste Backfill
by Yin Liu, He Zhang, Shengtang Zhang, Lingran Min, Hao Fang, Hongru Rui and Hao Li
Minerals 2026, 16(4), 420; https://doi.org/10.3390/min16040420 - 19 Apr 2026
Viewed by 342
Abstract
In order to explore the outstanding problems, such as poor mechanical performance, of recycled aggregate from construction waste in the application of backfills, this study innovatively used accelerated carbonation treatment technology to pretreat the recycled aggregates, and systematically investigated the evolution of mechanical [...] Read more.
In order to explore the outstanding problems, such as poor mechanical performance, of recycled aggregate from construction waste in the application of backfills, this study innovatively used accelerated carbonation treatment technology to pretreat the recycled aggregates, and systematically investigated the evolution of mechanical properties in carbonated recycled aggregate-based cemented paste backfill (CPB). By carbonizing the waste recycled concrete aggregate (RCA), carbonation recycled concrete aggregates (CRCA) were obtained, and coal gangue was replaced as the filling aggregate at 50% and 100% for mine paste filling. The mechanical properties of the CPB were measured, and the mechanism was analyzed in combination with the changes in the microstructure. The results showed that the physical properties of RCA were significantly improved by carbonation treatment compared with untreated raw RCA: the apparent density of C60d-RCA increased by 2.88% relative to non-carbonated RCA, while its crushing value decreased by 51.45%, resulting in a more stable aggregate structure. In terms of mechanical properties, the compressive strengths of the 28day carbonated backfills with 50% and 100% CRCA contents (denoted as C28d-RCA-50 and C28d-RCA-100) reached 6.38 MPa and 5.32 MPa, representing increases of 61.52% and 46.33%, respectively, compared to the control group. Microstructure and phase composition analysis showed that the carbonation reaction not only produced calcium carbonate (CaCO3) crystals to effectively fill the internal pores and reduce the total porosity of the matrix, but also promoted the generation of monocarboaluminate and provided abundant nucleation sites for calcium silicate hydrate (C-S-H) gel hydration, which significantly optimized the structure of the interfacial transition zone (ITZ) and improved its microhardness. Among all test groups, the CRCA-50 group showed the most optimized microstructure and the best mechanical properties. This study provides a theoretical reference for the resource utilization of this type of 30-year service life RCA in mine filling. Full article
Show Figures

Figure 1

18 pages, 3285 KB  
Article
Research on the Preparation of Red Mud High-Performance Cement Mortar and the Corresponding Resistance to Dry–Wet Alternation Cycles of Exposure to Chloride and Sulfate Solutions
by Ligai Bai, Chunying Zhu, Jian Zhang, Jiameng Wan, Junzhe Liu, Kangshuo Xia, Feiting Shi and Huihui Tong
Coatings 2026, 16(4), 484; https://doi.org/10.3390/coatings16040484 - 17 Apr 2026
Viewed by 294
Abstract
The accumulation of highly alkaline red mud poses serious environmental risks due to land occupation and potential soil/groundwater contamination. Recycling red mud as a secondary resource offers an eco-friendly solution, yet its influence on the performance of high-performance mortar (HPM) remains incompletely understood, [...] Read more.
The accumulation of highly alkaline red mud poses serious environmental risks due to land occupation and potential soil/groundwater contamination. Recycling red mud as a secondary resource offers an eco-friendly solution, yet its influence on the performance of high-performance mortar (HPM) remains incompletely understood, particularly in aggressive environments. This study aims to systematically evaluate the effects of red mud on the fresh and hardened properties of HPM, including rheological parameters, setting time, mechanical strength, drying shrinkage, and sulfate dry–wet erosion resistance. The novelty lies in (1) quantifying the nonlinear relationships between red mud content and rheological/setting behaviors, (2) revealing the dual effect of red mud with curing age, and (3) using XRD/SEM-EDS to elucidate the micro-mechanisms related to hydration products and elemental changes (Al and Fe). The results show that increasing red mud content reduces slump flow (max 76.03%), plastic viscosity (46.7%), and yield stress (42.3%) while also shortening initial/final setting times (67.91% and 76.18% max reductions). At curing ages below 7 days, flexural and compressive strength increase (up to 64.53% and 33.35%, respectively), following cubic functions; however, at 7 and 28 days, both strength values decrease (max reductions of 13.43% and 12.98%). Red mud increases drying shrinkage and delays sulfate-induced degradation. Microstructural analysis reveals improved compactness of hydration products at early ages but reduced compactness at later ages, accompanied by increased Al/Fe content and enhanced SiO2/calcium silicate hydrate crystals. These findings provide valuable insights for applying red mud HPM in marine environments. Full article
Show Figures

Figure 1

12 pages, 874 KB  
Article
Temperature-Responsive Adsorption and Hydration Control of a Wide-Gradient Retarder in Oilwell Cementing (40 °C–120 °C)
by Chong Wang, Jinlong Peng and Chunyu Wang
Materials 2026, 19(8), 1555; https://doi.org/10.3390/ma19081555 - 13 Apr 2026
Viewed by 393
Abstract
The robustness of cement slurry performance under extreme vertical temperature gradients is critical for ensuring cementing operation safety in ultra-deep wells. This study systematically investigates the interfacial behavior and hydration control mechanisms of a temperature-sensitive composite retarder, TL-2. Adsorption analysis via Total Organic [...] Read more.
The robustness of cement slurry performance under extreme vertical temperature gradients is critical for ensuring cementing operation safety in ultra-deep wells. This study systematically investigates the interfacial behavior and hydration control mechanisms of a temperature-sensitive composite retarder, TL-2. Adsorption analysis via Total Organic Carbon (TOC) reveals that TL-2 exhibits unique non-isothermal adsorption characteristics, where its adsorption capacity slightly increases with temperature (40 °C–90 °C). This behavior overcomes the conventional limitation of drastic adsorption decline at elevated temperatures and serves as the physicochemical foundation for its wide-temperature adaptability. Performance evaluations simulated wide-temperature gradient conditions: TL-2 provided stable thickening times at 120 °C, and samples developed adequate compressive strength after 3 days of curing at lower temperatures (40 °C and 60 °C) following an initial 120 °C thickening simulation. Microstructural characterization (XRD, MIP) further elucidates the strength evolution logic across the gradient: in the lower temperature zone (40 °C–60 °C), adequate strength is established within 3 days through precise induction period control; meanwhile, at 120 °C, matrix densification is enhanced by promoting the well-crystallized tobermorite formation. The results demonstrate that TL-2 achieves a refined “buffering” effect on the liquid-to-solid transition through dynamic interfacial regulation, exhibiting superior wide-temperature adaptability across extreme thermal gradients (40 °C–120 °C) and providing essential technical support for the operational safety of ultra-deep well cementing. Full article
(This article belongs to the Section Construction and Building Materials)
Show Figures

Figure 1

24 pages, 10141 KB  
Review
Recent Advances in the Fabrication of High-Performance Polypropylene Micro-Nano Composites via Supercritical Foaming
by Xin Pan, Gang Wang, Faqi Zhan, Yuehong Zheng, Mengyao Dong, Peiqing La, Kun Li, Xiaoli Zhang and Jingbo Chen
Materials 2026, 19(8), 1527; https://doi.org/10.3390/ma19081527 - 10 Apr 2026
Viewed by 585
Abstract
Against the backdrop of the global trends toward lightweighting, multi-functionalization, and greening of materials, polypropylene (PP) has been extensively applied owing to its advantages of low density and low cost. However, its inferior foaming performance fails to meet high-end application requirements, which is [...] Read more.
Against the backdrop of the global trends toward lightweighting, multi-functionalization, and greening of materials, polypropylene (PP) has been extensively applied owing to its advantages of low density and low cost. However, its inferior foaming performance fails to meet high-end application requirements, which is primarily attributed to its low melt strength and restricted crystallization behavior. In this paper, the five-dimensional selection mechanism and classification of components for PP micro/nanocomposites fabricated via supercritical foaming are systematically summarized. The regulatory effects of micro/nano additives on the crystallization, rheological properties, and foaming behavior of PP are quantitatively analyzed. The parameter optimization windows of three foaming processes, namely batch foaming, extrusion foaming, and injection foaming, are integrated (e.g., a foaming temperature of 150–170 °C and a saturation pressure of 8–20 MPa). Additionally, the application progress of PP micro/nanocomposite foams in fields such as automotive lightweighting (with a weight reduction rate of 64.29%) and building thermal insulation (with a thermal conductivity as low as 29 mW/(m·K)) is outlined. The core novel insight of this work lies in clarifying the unified mechanism of crystal refinement induced by reinforcing agents with different geometric morphologies, which is dominated by the synergy between heterogeneous nucleation and steric hindrance. This finding provides theoretical and technical guidelines for the industrial-scale preparation of high-performance PP foams. Full article
Show Figures

Graphical abstract

16 pages, 2274 KB  
Article
Effect of Hydrogen Charging Current Density on Hydrogen Trapping Behavior in Cu6.01Ni2.7Mn Steel
by Wenxue Wang, Jing Guo, Jian Zhang and Lili Li
Materials 2026, 19(8), 1521; https://doi.org/10.3390/ma19081521 - 10 Apr 2026
Viewed by 356
Abstract
Copper-containing steel is widely used in ship plates and other marine engineering fields due to its excellent mechanical properties and good weldability. However, in hydrogen-containing media environments, ship plate steel is prone to hydrogen embrittlement during service. Existing research primarily focuses on steel [...] Read more.
Copper-containing steel is widely used in ship plates and other marine engineering fields due to its excellent mechanical properties and good weldability. However, in hydrogen-containing media environments, ship plate steel is prone to hydrogen embrittlement during service. Existing research primarily focuses on steel grades with copper content below 3 wt.%, while the diffusion and trapping behavior of hydrogen in ultra-high-copper steel with copper content exceeding 3 wt.% remains unclear. Therefore, this study designed an ultra-high-copper-content steel with a copper content of 6.01% and investigated the diffusion behavior of hydrogen in the test steel under different hydrogen charging current densities through microstructure characterization, slow strain rate tensile testing, electrochemical hydrogen permeation, and internal friction tests. The results indicate that with an increase in hydrogen charging current density, accompanied by a slight degradation in mechanical properties, the irreversible hydrogen trap density increases by 50.7%. A large number of microstructures, such as phase boundaries, grain boundaries, and dislocations, have formed inside the material, which have reversible trapping effects on hydrogen, effectively suppressing the migration of hydrogen in the crystal structure and reducing the embrittlement phenomenon caused by hydrogen. This study expands the application potential of copper-containing steel in the field of ocean engineering, providing an important reference for the future development of high-strength, hydrogen embrittlement-resistant copper steel with ultra-high copper content. Full article
(This article belongs to the Section Corrosion)
Show Figures

Graphical abstract

20 pages, 2649 KB  
Article
Mathematical Modeling of the Raw Material Composition of Composite Material from Agricultural Plant Waste in South Kazakhstan
by Saken Zhanatuly, Saken Uderbayev, Akmaral Zhapakhova, Gulnaz Zhakapbayeva, Gulnur Zhakypova and Aizhan Sarsenbayeva
J. Compos. Sci. 2026, 10(4), 202; https://doi.org/10.3390/jcs10040202 - 9 Apr 2026
Viewed by 354
Abstract
This study investigates the development of a composite material based on agricultural plant waste from Kazakhstan, utilizing a multicomponent binder incorporated with rice husk ash. The implementation of low-clinker binders enables the full utilization of ash dumps from the Kyzylorda thermal power plant [...] Read more.
This study investigates the development of a composite material based on agricultural plant waste from Kazakhstan, utilizing a multicomponent binder incorporated with rice husk ash. The implementation of low-clinker binders enables the full utilization of ash dumps from the Kyzylorda thermal power plant (TPP) and rice husk residues from local rice-processing enterprises. Physical and chemical analysis of the ash–cement stone revealed a reduction in portlandite content compared to control samples. Phase composition analysis indicated the presence of hydroaluminate C4AH13 and a reduction in calcite, suggesting accelerated crystallization of calcium silicate hydrates. The formation of crystalline phases and intergrowth structures is assumed to contribute to the strengthening of the gel-like matrix. Experimental optimization of the ash–cement binder with rice husk ash yielded compressive strengths ranging from 3.03 to 4.10 MPa at densities of 790–900 kg/m3, depending on the type of organic filler. These results confirm the feasibility of using locally sourced agricultural waste for the production of heat-insulating and structurally stable composite materials. Full article
(This article belongs to the Section Composites Manufacturing and Processing)
Show Figures

Figure 1

Back to TopTop