Sign in to use this feature.

Years

Between: -

Subjects

remove_circle_outline
remove_circle_outline
remove_circle_outline
remove_circle_outline
remove_circle_outline
remove_circle_outline
remove_circle_outline
remove_circle_outline
remove_circle_outline

Journals

remove_circle_outline
remove_circle_outline
remove_circle_outline
remove_circle_outline
remove_circle_outline
remove_circle_outline

Article Types

Countries / Regions

remove_circle_outline
remove_circle_outline
remove_circle_outline
remove_circle_outline
remove_circle_outline

Search Results (579)

Search Parameters:
Keywords = cryogenic processes

Order results
Result details
Results per page
Select all
Export citation of selected articles as:
25 pages, 2898 KB  
Article
A Multi-Fidelity Aeroelastic Toolchain: From UAVs to Hydrogen Transport Aircraft
by Fanglin Yu, Carlos Sebastia Saez and Mirko Hornung
Aerospace 2026, 13(3), 286; https://doi.org/10.3390/aerospace13030286 - 18 Mar 2026
Viewed by 147
Abstract
The increasing adoption of high-aspect-ratio wings to improve aerodynamic efficiency introduces significant structural flexibility, necessitating the integration of aeroelastic considerations into the earliest design stages. While critical, existing frameworks often lack the multi-fidelity modeling capabilities and automated workflows required to bridge conceptual design [...] Read more.
The increasing adoption of high-aspect-ratio wings to improve aerodynamic efficiency introduces significant structural flexibility, necessitating the integration of aeroelastic considerations into the earliest design stages. While critical, existing frameworks often lack the multi-fidelity modeling capabilities and automated workflows required to bridge conceptual design and high-fidelity verification. This paper presents the Flexible Aero-Structural Toolbox (FAST), a modular framework supporting both beam and shell structural modeling and integrated with MSC NASTRAN for industry-standard aeroelastic simulation. The toolbox’s capabilities are demonstrated through modal, flutter, and static aeroelastic analyses across three distinct configurations: the P-FLEX UAV, the Ventus sailplane, and an A320-like transport aircraft, including its hydrogen-powered derivative. Results show that FAST accurately captures the aeroelastic characteristics of high-aspect-ratio wings and effectively predicts loads for large-scale flexible airframes. Notably, analysis of the hydrogen configuration reveals a significant 25% increase in wing bending moments for the “dry” wing condition compared to standard kerosene configurations. Furthermore, the tool’s ability to model unconventional mass distributions, such as cryogenic fuel tanks, highlights its adaptability for disruptive aircraft technologies. The study concludes that FAST provides a versatile, physics-based decision-making environment that significantly improves efficiency in the aeroelastic analysis process without compromising simulation fidelity. Full article
Show Figures

Figure 1

16 pages, 12441 KB  
Article
Transformation Behavior of 9Ni Steel Under Continuous Cooling Conditions: Experiments and Simulation
by Weina Han, Lili Guo, Xinyue Liu, Yue Peng and Bin Zhang
Crystals 2026, 16(3), 202; https://doi.org/10.3390/cryst16030202 - 16 Mar 2026
Viewed by 170
Abstract
To investigate the effect of cooling rate on the phase transformation behavior and mechanical properties of 9Ni steel, a 7 mm thick industrial 9Ni steel plate was selected as the research object in this study. The JMatPro software was employed to simulate and [...] Read more.
To investigate the effect of cooling rate on the phase transformation behavior and mechanical properties of 9Ni steel, a 7 mm thick industrial 9Ni steel plate was selected as the research object in this study. The JMatPro software was employed to simulate and calculate key parameters, including the thermodynamic phase diagram, CCT curve, and mechanical properties. Meanwhile, static thermal simulation experiments at cooling rates ranging from 0.5 to 30 °C/s were conducted on a Gleeble-3500 thermal simulation testing machine. Microstructure characterization and property tests were carried out using a metallographic microscope, scanning electron microscope (SEM), and Vickers hardness tester, and the experimental CCT curve was subsequently plotted and compared with the simulation results. The results revealed that the microstructure of 9Ni steel changed regularly with the cooling rate. With the increase in cooling rate, the ferrite content decreased continuously, the bainite content increased initially and then decreased, and the martensite content increased continuously. At a cooling rate of 30 °C/s, the martensite content reached approximately 90%. The microhardness of 9Ni steel initially sharply increased and then stabilized with the increase in cooling rate, stabilizing at 359 HV1 at a cooling rate of 30 °C/s. The phase transformation law of the measured CCT curve is highly consistent with the simulation results, verifying the reliability and accuracy of JMatPro for predicting the phase transformation behavior and mechanical properties of 9Ni steel. This study provides a theoretical basis and data support for the precise optimization of the heat treatment process of 9Ni steel and has important practical significance for enhancing its service performance in cryogenic engineering applications. Full article
(This article belongs to the Section Crystalline Metals and Alloys)
Show Figures

Figure 1

33 pages, 28857 KB  
Article
Design and Optimization of Wavy Plate-Fin Structures for Continuous Ortho–Para Hydrogen Conversion in Heat Exchangers
by Junliang Yan, Qingfen Ma, Yan He, Rong Jiang, Jingru Li, Zhongye Wu, Hui Lu and Yongjie Lai
Energies 2026, 19(6), 1419; https://doi.org/10.3390/en19061419 - 11 Mar 2026
Viewed by 343
Abstract
Efficient ortho–para hydrogen conversion is essential to suppress spontaneous heat release and boil-off losses during cryogenic liquid hydrogen storage and pre-liquefaction processes. In this study, a novel catalyst-filled wavy plate-fin heat exchanger (CFHE) is proposed to simultaneously enhance heat transfer and ortho–para hydrogen [...] Read more.
Efficient ortho–para hydrogen conversion is essential to suppress spontaneous heat release and boil-off losses during cryogenic liquid hydrogen storage and pre-liquefaction processes. In this study, a novel catalyst-filled wavy plate-fin heat exchanger (CFHE) is proposed to simultaneously enhance heat transfer and ortho–para hydrogen conversion under cryogenic conditions. Compared with conventional straight-fin configurations, the wavy-fin structure introduces controlled flow perturbations and increased specific surface area, thereby intensifying transport processes. Three-dimensional computational fluid dynamics (CFD) simulations, using the SST k–ω turbulence model, coupled with an ortho–para hydrogen conversion kinetic model were performed to quantitatively investigate the effects of key geometric parameters and catalyst loading on hydrogen conversion, heat transfer, and pressure drop within a Reynolds number range of 941–1577 and a temperature range of 35–20 K. Within the same CFHE configuration, the para-hydrogen fraction remains nearly unchanged without catalyst but increases significantly with catalyst loading. However, the catalyst reduces the global average Colburn j-factor by about 25%. Despite higher friction losses, the outlet–inlet temperature difference decreases to about 0.866 times that of the non-catalyst case, indicating improved temperature uniformity. A comprehensive performance index e, integrating heat transfer enhancement, flow resistance, and conversion efficiency, was introduced and optimized using a genetic algorithm. The optimized CFHE achieves an outlet para-hydrogen fraction exceeding 95% of the thermodynamic equilibrium value while maintaining hydrogen entirely in the gaseous phase to avoid catalyst deactivation. Overall, the catalyst-packed wavy channel configuration demonstrates superior conversion efficiency, enhanced thermal uniformity, and improved overall performance compared with straight-fin structures, providing quantitative design guidance for high-performance heat exchangers in cryogenic hydrogen liquefaction systems. Full article
(This article belongs to the Section J: Thermal Management)
Show Figures

Figure 1

25 pages, 4457 KB  
Review
Lubrication Challenges in Deep-Sea Gear Trans-Missions: A Review of High-Pressure and Low-Temperature Effects
by Weiqiang Zou, Xigui Wang, Yongmei Wang and Jiafu Ruan
Materials 2026, 19(5), 1020; https://doi.org/10.3390/ma19051020 - 6 Mar 2026
Viewed by 299
Abstract
Deep-sea gear transmission systems encounter critical lubrication challenges arising from the synergistic coupling of extreme hydrostatic pressure and cryogenic temperatures. These environmental stressors induce exponential viscosity escalation in lubricants, precipitating severe fluidity degradation, elevated startup resistance, and lubrication starvation. Concurrently, seawater intrusion triggers [...] Read more.
Deep-sea gear transmission systems encounter critical lubrication challenges arising from the synergistic coupling of extreme hydrostatic pressure and cryogenic temperatures. These environmental stressors induce exponential viscosity escalation in lubricants, precipitating severe fluidity degradation, elevated startup resistance, and lubrication starvation. Concurrently, seawater intrusion triggers lubricant emulsification, additive deactivation, and electrochemical corrosion at meshing interfaces, collectively escalating the risk of catastrophic lubrication failure and compromising long-term operational reliability. This study systematically elucidates the lubrication degradation mechanisms inherent to deep-sea environments and proposes targeted mitigation strategies. Through comprehensive characterization of deep-sea environmental parameters and their impact on lubricant rheological behavior, we critically evaluate the applicability and inherent limitations of conventional Thermal Elasto-Hydrodynamic Lubrication (TEHL) theory under extreme conditions. Our analysis reveals that established TEHL frameworks necessitate substantial modification to accurately capture pressure-viscosity-temperature coupling phenomena and seawater contamination kinetics. Meshing interface texturing, as an effective anti-friction and wear-mitigation strategy, is investigated to delineate its mechanistic pathways for enhancing lubricant film formation and tribological performance under starved lubrication regimes. Key findings demonstrate that optimized micro-texture architectures can effectively compensate for viscosity-induced fluidity deficits and attenuate the deleterious effects of seawater ingress. Critical knowledge gaps are identified, and future research trajectories are charted: (i) multiphysics coupling models integrating thermo-hydrodynamic, chemo-physical, and mechanical degradation processes; (ii) synergistic texture-coating design paradigms; (iii) high-pressure low-temperature experimental validation protocols; and (iv) engineering implementation frameworks for deep-sea gear transmission systems. This review establishes theoretical foundations and provides technical guidelines for robust lubrication design and long-term operational stability of deep-sea transmission equipment. Full article
(This article belongs to the Section Thin Films and Interfaces)
Show Figures

Graphical abstract

30 pages, 22890 KB  
Review
Hydration Mechanisms and Mechanical Property Evolution of Cemented Backfill Under Diverse Thermal Environments: A Review
by Jiangwei Liu, Yuye Tan, Ziyi Zeng and Weidong Song
Minerals 2026, 16(3), 276; https://doi.org/10.3390/min16030276 - 5 Mar 2026
Viewed by 313
Abstract
The cemented backfill mining method has progressively become the preferred mining technique for underground metal extraction due to its advantages such as environmental friendliness, high efficiency, and economic viability. The mechanical properties of the backfill are fundamental to ensuring effective strata control and [...] Read more.
The cemented backfill mining method has progressively become the preferred mining technique for underground metal extraction due to its advantages such as environmental friendliness, high efficiency, and economic viability. The mechanical properties of the backfill are fundamental to ensuring effective strata control and structural stability within backfilled stopes. Hydration reaction serves as the critical factor in the formation of backfill mechanical properties, while temperature influences these properties by governing the progression of the hydration process. This paper systematically reviews five fundamental hydration models (NG, CEMHYD 3D, Krstulovic-Dabic, Heat of Hydration and Thermodynamic Phase Equilibrium), critically analyzing their limitations in predicting performance under extreme geothermal and cryogenic conditions. Distinct from previous reviews, this study reveals the nonlinear mapping between dynamic temperature fields and microstructural evolution. Furthermore, it incorporates recent advancements in multi-field coupling mechanisms and AI-driven strength prediction. Ultimately, this study establishes that with the emergence of advanced modeling software and machine learning algorithms, the investigation of temperature effects on backfill is poised to move toward a more comprehensive, intelligent, and refined direction. Full article
(This article belongs to the Special Issue Advances in Mine Backfilling Technology and Materials, 2nd Edition)
Show Figures

Figure 1

42 pages, 4300 KB  
Review
Recent Advances in Renewable Hydrogen Purification Technologies: A General Review
by José Copa Rey, Catarina Nobre, Bruna Rijo, Andrei Longo, Paulo Brito and Cecilia Mateos-Pedrero
Clean Technol. 2026, 8(2), 35; https://doi.org/10.3390/cleantechnol8020035 - 5 Mar 2026
Viewed by 700
Abstract
Renewable hydrogen purification is a critical yet often underemphasised step in enabling its use as a clean energy carrier. Hydrogen produced from biomass-based thermochemical and biological routes typically contains CO2, CO, CH4, H2S, and other impurities that [...] Read more.
Renewable hydrogen purification is a critical yet often underemphasised step in enabling its use as a clean energy carrier. Hydrogen produced from biomass-based thermochemical and biological routes typically contains CO2, CO, CH4, H2S, and other impurities that must be removed to meet stringent requirements for fuel cell, industrial, and grid-injection applications. This review provides a critical and up-to-date assessment of renewable hydrogen purification technologies, focusing on their suitability for variable and impurity-rich renewable hydrogen streams. Established benchmark technologies, including pressure swing adsorption and cryogenic separation, are described, with emphasis on their operating principles, material innovations, and process integration strategies. Recent advancements in inorganic, polymeric, and mixed-matrix membranes are highlighted, with particular focus on how advanced porous materials enhance selectivity, permeability, and flexibility. Additionally, a comparative techno-economic assessment is presented, evaluating each purification method based on technology readiness level, capital and maintenance costs, energy efficiency, and operational lifespan. By incorporating recent research trends, this approach facilitates the selection and design of purification systems that are not only efficient and scalable but also cost-effective, tailored to both decentralised and centralised renewable hydrogen production. Full article
Show Figures

Graphical abstract

12 pages, 1340 KB  
Article
Direct Sub-Kelvin Magnetocaloric Cooling and Correlated Paramagnetism in Double Perovskite Gd2CuTiO6
by Yalu Cao, Xinyang Liu, Yonglin Wang, Cheng Su, Zhixing Hu, Junsen Xiang and Wentao Jin
Appl. Sci. 2026, 16(5), 2456; https://doi.org/10.3390/app16052456 - 3 Mar 2026
Viewed by 273
Abstract
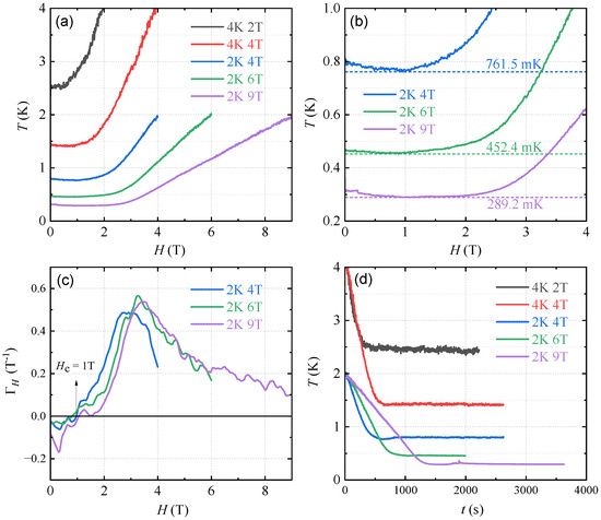
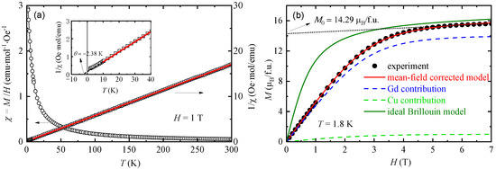
Adiabatic demagnetization refrigeration (ADR) has attracted considerable attention as an effective approach to reach ultra-low temperatures required for fundamental physics and quantum technologies. Here we directly characterize the cryogenic magnetocaloric performance of the rare-earth-based double-perovskite oxide Gd2CuTiO6 (GCTO) through quasi-adiabatic [...] Read more.
Adiabatic demagnetization refrigeration (ADR) has attracted considerable attention as an effective approach to reach ultra-low temperatures required for fundamental physics and quantum technologies. Here we directly characterize the cryogenic magnetocaloric performance of the rare-earth-based double-perovskite oxide Gd2CuTiO6 (GCTO) through quasi-adiabatic demagnetization measurements. Magnetization measurements show no long-range magnetic transition above 1.8 K and indicate dominant antiferromagnetic (AFM) interactions, consistent with an AFM ordering temperature of TN1.15 K reported previously. Notably, the isothermal magnetization M(H) at 1.8 K deviates from an ideal single-ion Brillouin response and is better described by a molecular-field correction for the Gd sublattice, suggesting correlated paramagnetism persisting above TN. In contrast to previous studies that inferred cooling performance from thermodynamic estimates, we directly validate the achievable sub-Kelvin cooling in GCTO through quasi-adiabatic measurements. In the quasi-ADR process starting from T0∼2 K, demagnetization fields of 4, 6, and 9 T yield minimum temperatures of Tmin=761.5, 452.4, and 289.2 mK, respectively, well below TN. After complete removal of the magnetic field, the sample temperature remains highly stable for at least several tens of minutes, demonstrating a long hold time under quasi-adiabatic conditions. Moreover, the T(H) curves reveal a characteristic field scale around Hc∼1 T, implying a field-induced modification of the low-temperature magnetic-entropy landscape that is relevant to the cooling behavior during demagnetization. These results highlight GCTO as a promising magnetic refrigerant for sub-Kelvin ADR applications and underscore the role of correlated magnetism in optimizing cryogenic magnetocaloric performance. Full article
Show Figures

Figure 1

18 pages, 3765 KB  
Article
Prediction of Specific Energy Consumption in Sustainable Milling of Ti-6Al-4V with Different Machine Learning Models
by Djordje Cica, Sasa Tesic, Branislav Sredanovic, Dejan Vujasin, Milan Zeljkovic, Franci Pusavec and Davorin Kramar
Metals 2026, 16(3), 266; https://doi.org/10.3390/met16030266 - 27 Feb 2026
Viewed by 228
Abstract
Research on eco-friendly and energy-efficient machining processes has gained significant importance within the domain of sustainable production. This study is focused on enhancing the energy performance and sustainability of the milling process. Four machine learning (ML) models, namely, multiple linear regression (MLR), support [...] Read more.
Research on eco-friendly and energy-efficient machining processes has gained significant importance within the domain of sustainable production. This study is focused on enhancing the energy performance and sustainability of the milling process. Four machine learning (ML) models, namely, multiple linear regression (MLR), support vector regression (SVR), Gaussian process regression (GPR), and adaptive network-based fuzzy inference system (ANFIS), were proposed to estimate specific energy consumption (SEC) in the milling of Ti6-Al4-V under two eco-benign cooling conditions: cryogenic and minimum quantity lubrication (MQL). Several statistical metrics, including normalized mean absolute error (nMAE), mean absolute percentage error (MAPE), normalized root mean square error (nRMSE), maximum absolute percentage error (maxAPE), coefficient of determination (R2), and Willmott’s index of agreement (IA), were employed to validate the performances of the ML models. A high level of agreement between the predicted and experimental SEC data for both the training and test datasets supports the reliability of the proposed ML models. Although the MLR model performed well, the results revealed that the other ML models demonstrated better overall performance. According to the statistical metrics, the models’ predictive performance improved in the following sequence: MLR, SVR, GPR, and finally ANFIS, which demonstrated the highest predictive capability. Full article
(This article belongs to the Special Issue Application of Machine Learning in Metallic Materials)
Show Figures

Figure 1

30 pages, 4265 KB  
Review
Fish Preservation Techniques: An Overview of Principles, Methods, and Quality Implications
by Omar Nateras-Ramírez, Perla Rosa Fitch-Vargas, María del Rosario Martínez-Macias, Rebeca Sánchez-Cárdenas, Sofía Choza-Farías and Arturo Alfonso Fernandez-Jaramillo
Processes 2026, 14(4), 723; https://doi.org/10.3390/pr14040723 - 23 Feb 2026
Viewed by 1165
Abstract
Fresh fish is a highly nutritious and widely consumed product that remains highly perishable due to its chemical composition. Conventional preservation methods, such as chilling and freezing, are effective at inhibiting microbial growth but often compromise nutritional and organoleptic quality. Advanced thermal techniques, [...] Read more.
Fresh fish is a highly nutritious and widely consumed product that remains highly perishable due to its chemical composition. Conventional preservation methods, such as chilling and freezing, are effective at inhibiting microbial growth but often compromise nutritional and organoleptic quality. Advanced thermal techniques, including supercooling and cryogenic storage, can extend shelf life to approximately 180 days but involve high infrastructure costs and potential sensory alterations. In response, non-thermal technologies have emerged as promising alternatives capable of minimizing microbial and enzymatic deterioration while reducing oxidative and sensory damage. These include high-pressure processing, cold plasma, gamma irradiation, advanced packaging systems (e.g., modified atmospheres, edible coatings), and natural antioxidants. However, such methods face limitations such as lipid oxidation, flavor changes, and scalability issues, highlighting the need for integrated preservation strategies. This study addresses a critical gap in the application of synergistic, multi-hurdle approaches that combine non-thermal technologies to enhance shelf life without compromising nutritional or sensory quality. It is essential to propose tailored and scalable solutions specific to fishery products to advance the development of sustainable and effective preservation systems that meet the practical needs of the seafood industry. Full article
Show Figures

Graphical abstract

30 pages, 41827 KB  
Article
A Novel Assessment Model for the Sustainability of Clean Cutting Technology Based on Game Theory
by Zewen Li, Wei Zhao, Junjie Hu, Peng Zhao, Liang Li and Feng Kong
Lubricants 2026, 14(2), 89; https://doi.org/10.3390/lubricants14020089 - 14 Feb 2026
Viewed by 422
Abstract
To enhance the sustainability of manufacturing, various clean cutting technologies have been developed, yet their sustainability assessment faces challenges in balancing multiple conflicting objectives and stakeholder interests. This paper proposes a game theory-based evaluation framework that treats environmental, technical, economic, and social dimensions [...] Read more.
To enhance the sustainability of manufacturing, various clean cutting technologies have been developed, yet their sustainability assessment faces challenges in balancing multiple conflicting objectives and stakeholder interests. This paper proposes a game theory-based evaluation framework that treats environmental, technical, economic, and social dimensions as cooperative players. The Nash equilibrium model is employed to dynamically reconcile subjective weights from the analytic hierarchy process and objective weights from the entropy method, thus achieving optimal weight allocation. Experimental studies on Ti-6Al-4V titanium alloy milling compared dry milling, minimum quantity lubrication, and cryogenic minimum quantity lubrication (CMQL) under different parameters. Results demonstrate that the game-theoretic model effectively integrates preferences and achieves Nash equilibrium. CMQL showed superior performance, increasing tool life by approximately 40% and reducing surface roughness by about 25% compared to dry milling. Coated inserts reduced carbon emissions by nearly 30% versus end mills. The Nash equilibrium analysis demonstrates that dry milling with coated inserts attains the highest level of processing sustainability under high-speed conditions due to synergistic environmental and economic advantages, while simultaneously revealing practical trade-offs among competing objectives. This study confirms that the proposed framework enables scientific weight coordination and provides a quantifiable, interpretable decision-making system for sustainable process selection. Full article
Show Figures

Figure 1

30 pages, 23783 KB  
Review
Recent Progress in Silicon-Based On-Chip Integrated Infrared Photodetectors
by Yu He, Hongling Peng, Peng Cao, Zeyu Wang, Jiaqi Wei, Chunxu Song, Wanhua Zheng and Qiandong Zhuang
Sensors 2026, 26(4), 1125; https://doi.org/10.3390/s26041125 - 9 Feb 2026
Viewed by 829
Abstract
Infrared (IR) photodetectors are indispensable to modern optoelectronic systems, ranging from night vision imaging, surveillance, and industrial process control to environmental monitoring and medical diagnostics. However, traditional detectors based on bulk semiconductors are constrained by prohibitive fabrication costs and the stringent requirement for [...] Read more.
Infrared (IR) photodetectors are indispensable to modern optoelectronic systems, ranging from night vision imaging, surveillance, and industrial process control to environmental monitoring and medical diagnostics. However, traditional detectors based on bulk semiconductors are constrained by prohibitive fabrication costs and the stringent requirement for bulky cryogenic cooling, which severely hinders their widespread deployment in Size, Weight, and Power (SWaP)-sensitive scenarios. Silicon-based on-chip integration, leveraging compatibility with mature CMOS processes, has emerged as a transformative paradigm. It enables the realization of fully functional photonic integrated circuits (PICs) capable of on-chip sensing and high-speed data transmission, offering a pathway toward miniaturized and cost-effective architectures. This article provides a review of recent progress in silicon-based infrared photodetectors across three core material systems: Group IV (Ge/GeSn), III–V compounds, and two-dimensional (2D) materials. In the end, we offer an outlook on the development trends of next-generation intelligent sensing systems driven by optoelectronic convergence. Full article
(This article belongs to the Special Issue Feature Papers in Optical Sensors 2026)
Show Figures

Figure 1

30 pages, 10018 KB  
Article
Taming Waste Heterogeneity for Plastics Circularity with Optimized Sample Preparation Protocols for Quality Assessment
by Christos Panagiotopoulos, Christina Podara, Eleni Gkartzou, Melpo Karamitrou, Tatjana Kosanovic-Milickovic, Mara Silber, Lars Meyer, Bernhard von Vacano, Ana Rita Carvalho Neiva, Jan-Hendrik Knoop, Asunción Martínez-García, Ana Ibáñez-García, Silvia Pavlidou, Leila Poudeh, Costas A. Charitidis and Stamatina N. Vouyiouka
Polymers 2026, 18(3), 409; https://doi.org/10.3390/polym18030409 - 4 Feb 2026
Viewed by 956
Abstract
From the perspective of the circular economy and minimization of environmental pollution, recycling plastics is key for transforming polymeric waste streams (PWSs) towards reusable and, if possible, upgraded, value-added products. The low homogeneity of PWSs, even when sorted, complicates sampling, analytical characterization, processability, [...] Read more.
From the perspective of the circular economy and minimization of environmental pollution, recycling plastics is key for transforming polymeric waste streams (PWSs) towards reusable and, if possible, upgraded, value-added products. The low homogeneity of PWSs, even when sorted, complicates sampling, analytical characterization, processability, and quality assurance of the whole circular process. Therefore, sampling, sample preparation, and analysis methodologies that yield results accurate and representative enough to describe the contents and the safety of the bulk while being cost-effective are crucial. In this context, an experimental “model waste” approach was conceptualized to reliably assess and optimize sampling and sample preparation strategies towards specific goals, i.e., identifying and precisely quantifying different polymer types and non-polymeric contaminants (such as brominated flame retardants, BFR) along with establishing a correlation of the sample preparation steps with low deviation values between replicates. The results indicated that cryogenic grinding better preserved additive content, minimizing its degradation, i.e., 461 ± 17 ppm determined via HPLC-MS when the nominal concentration was 500 ppm. On the other hand, melt-based homogenization significantly improved homogeneity and hence reproducibility/variability of analytical results (RSD), albeit at the risk of partial additive thermal degradation (up to 70% reduction in BFR content). The current experimental approach allows a clear understanding of plastic waste characteristics in view of demonstrating analytical limits of detection (LoD), reliable verification of compliance with certain concentrations of unwanted contaminants, and eventually robust evaluation of the applied recycling scheme efficiency. Full article
(This article belongs to the Section Polymer Analysis and Characterization)
Show Figures

Figure 1

19 pages, 1334 KB  
Article
Simulation and Optimisation of Hydrogen Production from Biogas via Steam–Methane Reforming and Cryogenic Liquefaction Using DWSIM
by Chandra Sekhar, Atena S. Farahani, Mahmoud A. Khader, Christos Kalyvas and Mahmoud Chizari
Processes 2026, 14(3), 532; https://doi.org/10.3390/pr14030532 - 3 Feb 2026
Viewed by 614
Abstract
This study presents an integrated, open-source process simulation for converting agricultural biogas into high-purity liquid hydrogen using DWSIM (Distillation, Water, Separation and Inorganic Modules), an open-source sequential-modular simulator. The model simulates a farm-scale biogas feed and is optimised to enhance liquid hydrogen yield [...] Read more.
This study presents an integrated, open-source process simulation for converting agricultural biogas into high-purity liquid hydrogen using DWSIM (Distillation, Water, Separation and Inorganic Modules), an open-source sequential-modular simulator. The model simulates a farm-scale biogas feed and is optimised to enhance liquid hydrogen yield while reducing specific energy consumption under set operating conditions. The proposed model links biogas upgrading via dual pressure swing adsorption, steam–methane reforming, two-stage water–gas shift, hydrogen purification, and cryogenic liquefaction within a single optimisation framework. Using a representative farm-scale feed (103.7 kg h−1 biogas containing 60 mol% CH4), the optimised process produces 16.5 kg h−1 of liquid hydrogen with 99.2% para-hydrogen purity while simultaneously capturing 104 kg h−1 of CO2 at 98% purity and 16 bar. Optimal operating conditions include SMR at 909 °C and 16 bar with a steam-to-carbon ratio of 3.0, followed by high- and low-temperature water–gas shifts at 413 °C and 210 °C, respectively. The overall cold-gas efficiency (LHV basis, excluding liquefaction electricity) reaches 78%, and the specific electricity demand for liquefaction is 32.4 kWh per kg of liquid hydrogen, which is consistent with reported values for small-scale hydrogen liquefiers. Sensitivity analysis over a methane content range of 40–75% confirms near-linear scalability of hydrogen output (R2 = 0.998), demonstrating feedstock flexibility without re-parameterisation. The developed process in this work provides a transparent and extensible digital twin for early-stage design and optimisation of decentralised biogas-to-hydrogen systems. Using the open-source DWSIM platform ensures full transparency, reproducibility, and accessibility compared with proprietary simulators. Full article
(This article belongs to the Special Issue Insights into Hydrogen Production Using Solar Energy)
Show Figures

Figure 1

27 pages, 2466 KB  
Review
Application of Cryogenic Minimum Quantity Lubrication Technology in Different Machining Processing for Titanium Alloys: A Review
by Xiangke Tian, Tai Ma, Jie Yang and Qinglong An
Lubricants 2026, 14(2), 70; https://doi.org/10.3390/lubricants14020070 - 3 Feb 2026
Viewed by 736
Abstract
Titanium alloys face challenges such as high temperatures, high forces, and tool wear during turning, milling, drilling, and grinding operations. Cryogenic minimum quantity lubrication (CMQL) technology, which combines cryogenic cooling with micro-lubrication, offers an effective solution to these challenges through its synergistic mechanism [...] Read more.
Titanium alloys face challenges such as high temperatures, high forces, and tool wear during turning, milling, drilling, and grinding operations. Cryogenic minimum quantity lubrication (CMQL) technology, which combines cryogenic cooling with micro-lubrication, offers an effective solution to these challenges through its synergistic mechanism of heat suppression via cooling and friction reduction via lubrication. This paper first elucidates the cooling and lubrication principles of various CMQL technologies and their adaptability process. It then reviews CMQL applications across four titanium alloy machining processes, systematically analyzing their effects on cutting forces, temperatures, tool wear, surface integrity, and chip morphology. Research indicates that CMQL technology demonstrates universal advantages over minimum quantity lubrication (MQL) across diverse titanium alloy machining processes. Furthermore, incorporating nanofluids or integrating ultrasonic vibration to form enhanced composite processes can further improve medium permeability, reduce machining loads, and enhance surface quality. Future developments in this field will advance toward intelligent and sustainable directions, providing critical technological support for high-performance green manufacturing of titanium alloys. Full article
(This article belongs to the Special Issue Tribology in Manufacturing Engineering)
Show Figures

Figure 1

26 pages, 12064 KB  
Article
Adsorption of Strategic Gases on Oxygen-Functionalized CMK-8 and CMK-9 Mesoporous Carbons: Experimental and Computational Studies
by Cristian A. Diaz, Kiara Montiel-Centeno, Jhonny Villarroel-Rocha, Deicy Barrera, Anthony Dorhauer, Carlos Wexler and Karim Sapag
Clean Technol. 2026, 8(1), 19; https://doi.org/10.3390/cleantechnol8010019 - 2 Feb 2026
Viewed by 472
Abstract
The efficient storage of strategic gases—CH4, CO2, and H2—remains a critical challenge due to the need for high pressures or cryogenic temperatures to achieve sufficient storage densities, often resulting in energy- and cost-intensive processes. Adsorption-based storage using [...] Read more.
The efficient storage of strategic gases—CH4, CO2, and H2—remains a critical challenge due to the need for high pressures or cryogenic temperatures to achieve sufficient storage densities, often resulting in energy- and cost-intensive processes. Adsorption-based storage using porous materials offers a promising alternative. In particular, ordered mesoporous carbons, such as CMK-8 and CMK-9, are attractive due to their mechanical, thermal, and chemical stability, as well as their highly tunable textural properties. Surface functionalization can further enhance gas uptake, though the effect is often gas-specific. This study investigates the adsorption performance of four carbon materials: pristine CMK-8 and CMK-9, and their oxygen-functionalized counterparts produced via HNO3 treatment. The adsorption capacities for CH4, CO2, and H2 were evaluated through a combination of experimental gas adsorption measurements and molecular simulations. The results reveal structure–property relationships between surface chemistry and gas-specific adsorption behavior, with implications for the rational design of carbon-based materials for gas storage. Full article
Show Figures

Figure 1

Back to TopTop