Adsorption of Strategic Gases on Oxygen-Functionalized CMK-8 and CMK-9 Mesoporous Carbons: Experimental and Computational Studies
Abstract
1. Introduction
2. Materials and Methods
2.1. Synthesis of the CMK-8 and CMK-9 Mesoporous Carbons
2.2. Chemical Oxidation of CMK-8 and CMK-9
2.3. Characterization Techniques
2.4. CO2, CH4 and H2 Gas Storage Measurements
2.5. Isosteric Enthalpy of Adsorption
2.6. Computational Approach
3. Results and Discussion
3.1. Morphological Characterization
3.2. Structural Characterization
3.3. Surface Characterization
3.4. Textural Characterization
3.4.1. Argon Adsorption–Desorption Isotherms at 87 K
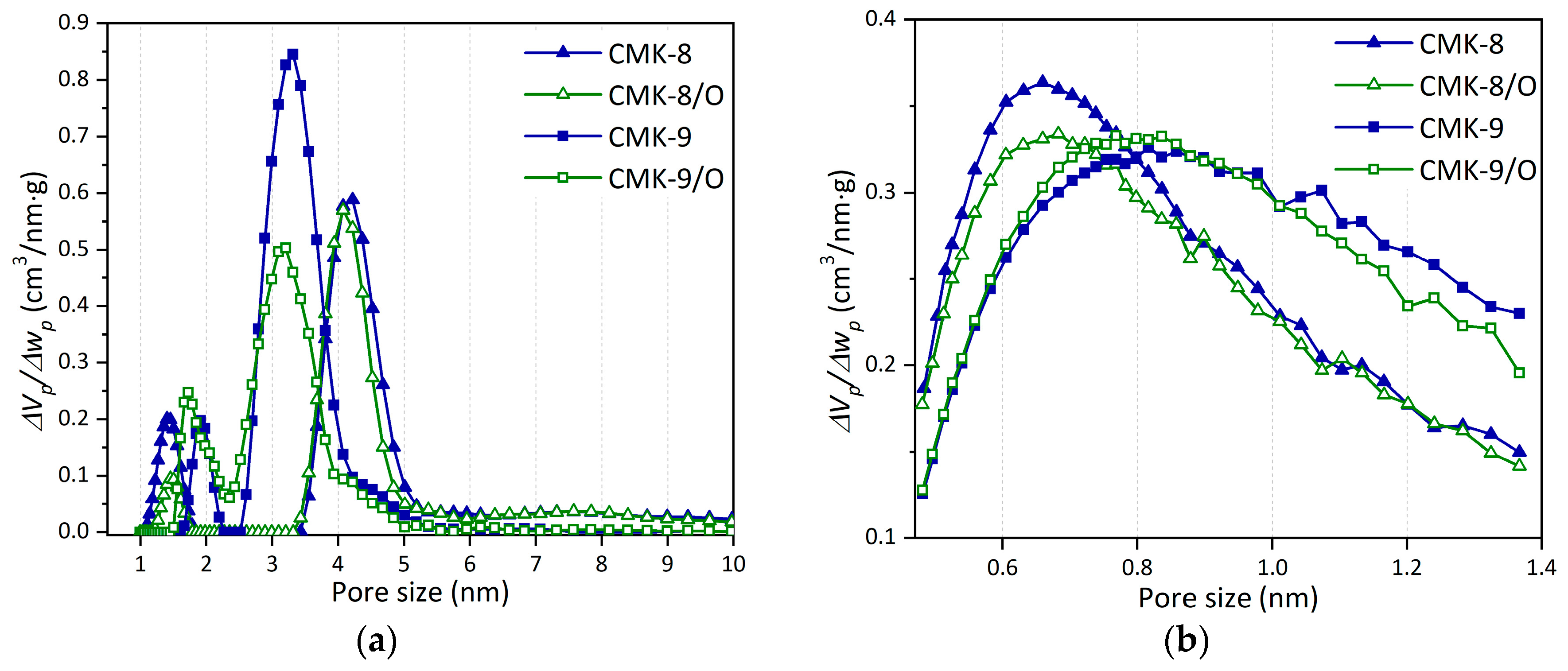
3.4.2. Pore Size Distribution
3.4.3. H2O Sorption-Desorption Isotherms
3.5. Experimental Gas Adsorption Studies
3.5.1. CO2 Capture
3.5.2. CH4 Storage
3.5.3. H2 Storage
3.6. Experimental Isosteric Enthalpy of CO2, CH4, and H2 Adsorption
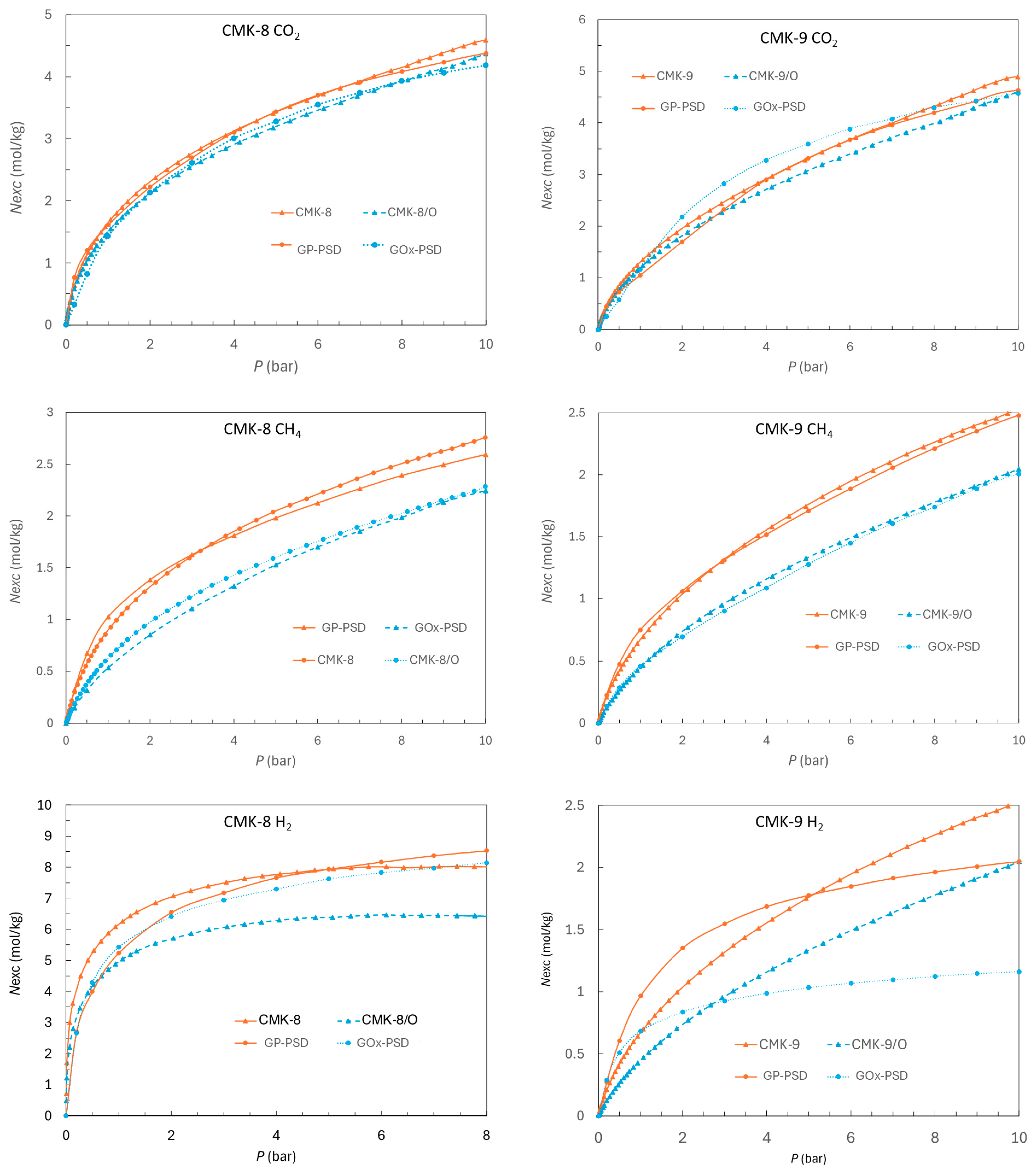
3.7. Computational Gas Adsorption Studies
3.7.1. Gas Capture
3.7.2. Comparison with Experimental Adsorption Isotherms
3.7.3. Isosteric Enthalpy of CO2, CH4, and H2 Adsorption
3.7.4. Mechanism for Enhanced Interactions of CO2 with Oxidized Materials
4. Conclusions
Supplementary Materials
Author Contributions
Funding
Data Availability Statement
Conflicts of Interest
References
- Bae, Y.; Snurr, R.Q. Development and Evaluation of Porous Materials for Carbon Dioxide Separation and Capture. Angew. Chem. Int. Ed. 2011, 50, 11586–11596. [Google Scholar] [CrossRef]
- Muhammad, R.; Nah, Y.-C.; Oh, H. Spider Silk-Derived Nanoporous Activated Carbon Fiber for CO2 Capture and CH4 and H2 Storage. J. CO2 Util. 2023, 69, 102401. [Google Scholar] [CrossRef]
- Langmi, H.W.; Ren, J.; North, B.; Mathe, M.; Bessarabov, D. Hydrogen Storage in Metal-Organic Frameworks: A Review. Electrochim. Acta 2014, 128, 368–392. [Google Scholar] [CrossRef]
- Joo, S.H.; Jun, S.; Ryoo, R. Synthesis of Ordered Mesoporous Carbon Molecular Sieves CMK-1. Microporous Mesoporous Mater. 2001, 44–45, 153–158. [Google Scholar] [CrossRef]
- Schwind, B.; Smått, J.-H.; Tiemann, M.; Weinberger, C. Modeling of Gyroidal Mesoporous CMK-8 and CMK-9 Carbon Nanostructures and Their X-Ray Diffraction Patterns. Microporous Mesoporous Mater. 2021, 310, 110330. [Google Scholar] [CrossRef]
- Cheng, X.; Qie, Z.; Xiang, H.; Liu, Z.; Zong, L.; He, W.; Pi, X.; Alhassawi, H.; Cao, P.; Yang, G.; et al. Engineering Nitrogen and Oxygen Functionalities in Naturally Sourced Activated Carbon for Multicomponent Gas Adsorption. Sci. Rep. 2025, 15, 28102. [Google Scholar] [CrossRef] [PubMed]
- Nguyen, H.G.T.; Toman, B.; van Zee, R.D.; Prinz, C.; Thommes, M.; Ahmad, R.; Kiska, D.; Salinger, J.; Walton, I.M.; Walton, K.S.; et al. Reference Isotherms for Water Vapor Sorption on Nanoporous Carbon: Results of an Interlaboratory Study. Adsorption 2023, 29, 113–124. [Google Scholar] [CrossRef]
- Petrovic, B.; Gorbounov, M.; Masoudi Soltani, S. Impact of Surface Functional Groups and Their Introduction Methods on the Mechanisms of CO2 Adsorption on Porous Carbonaceous Adsorbents. Carbon Capture Sci. Technol. 2022, 3, 100045. [Google Scholar] [CrossRef]
- Sevilla, M.; Fuertes, A.B. Sustainable Porous Carbons with a Superior Performance for CO2 Capture. Energy Environ. Sci. 2011, 4, 1765. [Google Scholar] [CrossRef]
- Mukhtar, A.; Mellon, N.; Saqib, S.; Khawar, A.; Rafiq, S.; Ullah, S.; Al-Sehemi, A.G.; Babar, M.; Bustam, M.A.; Khan, W.A.; et al. CO2/CH4 Adsorption over Functionalized Multi-Walled Carbon Nanotubes; An Experimental Study, Isotherms Analysis, Mechanism, and Thermodynamics. Microporous Mesoporous Mater. 2020, 294, 109883. [Google Scholar] [CrossRef]
- Montiel-Centeno, K.; Barrera, D.; García-Villén, F.; Viseras, C.; Rodríguez-Castellón, E.; Diaz, C.A.; Villarroel-Rocha, J.; Moreno, M.S.; Sapag, K. Three-Dimensional CMK-8 and CMK-9 Ordered Mesoporous Carbons as Potential Nanocarriers for Cephalexin Controlled Release. Microporous Mesoporous Mater. 2025, 392, 113640. [Google Scholar] [CrossRef]
- Brunauer, S.; Emmett, P.H.; Teller, E. Adsorption of Gases in Multimolecular Layers. J. Am. Chem. Soc. 1938, 60, 309–319. [Google Scholar] [CrossRef]
- Rouquerol, F.; Rouquerol, J.; Sing, K.S.W.; Llewellyn, P.L.; Maurin, G. Adsorption by Powders and Porous Solids: Principles, Methodology and Applications, 2nd ed.; Elsevier: Amsterdam, The Netherlands, 2014; ISBN 978-0-08-097035-6. [Google Scholar]
- Neimark, A.V.; Lin, Y.; Ravikovitch, P.I.; Thommes, M. Quenched Solid Density Functional Theory and Pore Size Analysis of Micro-Mesoporous Carbons. Carbon 2009, 47, 1617–1628. [Google Scholar] [CrossRef]
- Horváth, G.; Kawazoe, K. Method for the Calculation of Effective Pore Size Distribution in Molecular Sieve Carbon. J. Chem. Eng. Jpn. JCEJ 1983, 16, 470–475. [Google Scholar] [CrossRef]
- Ruthven, D.M. Principles of Adsorption and Adsorption Processes; A Wiley-Interscience Publication; Wiley: New York, NY, USA, 1984; ISBN 978-0-471-86606-0. [Google Scholar]
- Ebbing, D.D.; Gammon, S.D. General Chemistry, 8th ed.; Houghton Mifflin: New York, NY, USA, 2005; ISBN 978-0-618-39942-0. [Google Scholar]
- Golebiowska, M.; Roth, M.; Firlej, L.; Kuchta, B.; Wexler, C. The Reversibility of the Adsorption of Methane–Methyl Mercaptan Mixtures in Nanoporous Carbon. Carbon 2012, 50, 225–234. [Google Scholar] [CrossRef]
- Pfeifer, P.; Burress, J.W.; Wood, M.B.; Lapilli, C.M.; Barker, S.A.; Pobst, J.S.; Cepel, R.J.; Wexler, C.; Shah, P.S.; Gordon, M.J.; et al. High-Surface-Area Biocarbons for Reversible On-Board Storage of Natural Gas and Hydrogen. MRS Online Proc. Libr. 2008, 1041, 202. [Google Scholar] [CrossRef]
- Yachmenev, A.; Campargue, A.; Yurchenko, S.N.; Küpper, J.; Tennyson, J. Electric Quadrupole Transitions in Carbon Dioxide. J. Chem. Phys. 2021, 154, 211104. [Google Scholar] [CrossRef] [PubMed]
- Allen, M.P.; Tildesley, D.J. Computer Simulation of Liquids; Oxford Science Publications; Reprinted; Clarendon Press: Oxford, UK, 2009; ISBN 978-0-19-855645-9. [Google Scholar]
- Frenkel, D.; Smit, B. Understanding Molecular Simulation: From Algorithms to Applications, 2nd ed.; Computational Science Series; Academic Press: San Diego, CA, USA, 2002; ISBN 978-0-12-267351-1. [Google Scholar]
- Nicholson, D.; Parsonage, N.G. Computer Simulation and the Statistical Mechanics of Adsorption; Academic Press: London, UK; New York, NY, USA, 1982; ISBN 978-0-12-518060-3. [Google Scholar]
- Becke, A.D. Density-Functional Thermochemistry. III. The Role of Exact Exchange. J. Chem. Phys. 1993, 98, 5648–5652. [Google Scholar] [CrossRef]
- Lee, C.; Yang, W.; Parr, R.G. Development of the Colle-Salvetti Correlation-Energy Formula into a Functional of the Electron Density. Phys. Rev. B 1988, 37, 785–789. [Google Scholar] [CrossRef]
- Vosko, S.H.; Wilk, L.; Nusair, M. Accurate Spin-Dependent Electron Liquid Correlation Energies for Local Spin Density Calculations: A Critical Analysis. Can. J. Phys. 1980, 58, 1200–1211. [Google Scholar] [CrossRef]
- Stephens, P.J.; Devlin, F.J.; Chabalowski, C.F.; Frisch, M.J. Ab Initio Calculation of Vibrational Absorption and Circular Dichroism Spectra Using Density Functional Force Fields. J. Phys. Chem. 1994, 98, 11623–11627. [Google Scholar] [CrossRef]
- Frisch, M.J.; Trucks, G.W.; Schlegel, H.B.; Scuseria, G.E. Gaussian 16, Revision C.01; Gaussian Inc.: Wallingford, CT, USA, 2016. [Google Scholar]
- Rappe, A.K.; Casewit, C.J.; Colwell, K.S.; Goddard, W.A.; Skiff, W.M. UFF, a Full Periodic Table Force Field for Molecular Mechanics and Molecular Dynamics Simulations. J. Am. Chem. Soc. 1992, 114, 10024–10035. [Google Scholar] [CrossRef]
- Silvera, I.F.; Goldman, V.V. The Isotropic Intermolecular Potential for H2 and D2 in the Solid and Gas Phases. J. Chem. Phys. 1978, 69, 4209–4213. [Google Scholar] [CrossRef]
- Deiters, U.K.; Sadus, R.J. An Intermolecular Potential for Hydrogen: Classical Molecular Simulation of Pressure–Density–Temperature Behavior, Vapor–Liquid Equilibria, and Critical and Triple Point Properties. J. Chem. Phys. 2023, 158, 194502. [Google Scholar] [CrossRef]
- Vanommeslaeghe, K.; MacKerell, A.D. Automation of the CHARMM General Force Field (CGenFF) I: Bond Perception and Atom Typing. J. Chem. Inf. Model. 2012, 52, 3144–3154. [Google Scholar] [CrossRef]
- Vanommeslaeghe, K.; Raman, E.P.; MacKerell, A.D. Automation of the CHARMM General Force Field (CGenFF) II: Assignment of Bonded Parameters and Partial Atomic Charges. J. Chem. Inf. Model. 2012, 52, 3155–3168. [Google Scholar] [CrossRef]
- Dubbeldam, D.; Calero, S.; Ellis, D.E.; Snurr, R.Q. RASPA: Molecular Simulation Software for Adsorption and Diffusion in Flexible Nanoporous Materials. Mol. Simul. 2016, 42, 81–101. [Google Scholar] [CrossRef]
- Düren, T.; Sarkisov, L.; Yaghi, O.M.; Snurr, R.Q. Design of New Materials for Methane Storage. Langmuir 2004, 20, 2683–2689. [Google Scholar] [CrossRef]
- Ewald, P.P. Die Berechnung Optischer Und Elektrostatischer Gitterpotentiale. Ann. Der Phys. 1921, 369, 253–287. [Google Scholar] [CrossRef]
- Ortiz, L.; Kuchta, B.; Firlej, L.; Roth, M.W.; Wexler, C. Methane Adsorption in Nanoporous Carbon: The Numerical Estimation of Optimal Storage Conditions. Mater. Res. Express 2016, 3, 055011. [Google Scholar] [CrossRef]
- Abdul Razak, M.; Do, D.D.; Birkett, G.R. Evaluation of the Interaction Potentials for Methane Adsorption on Graphite and in Graphitic Slit Pores. Adsorption 2011, 17, 385–394. [Google Scholar] [CrossRef]
- Ayappa, K.G.; Ghatak, C. The Structure of Frozen Phases in Slit Nanopores: A Grand Canonical Monte Carlo Study. J. Chem. Phys. 2002, 117, 5373–5383. [Google Scholar] [CrossRef]
- Miyahara, M.; Gubbins, K.E. Freezing/Melting Phenomena for Lennard-Jones Methane in Slit Pores: A Monte Carlo Study. J. Chem. Phys. 1997, 106, 2865–2880. [Google Scholar] [CrossRef]
- Steele, W.A. The Interaction of Gases with Solid Surfaces. In The International Encyclopedia of Physical Chemistry and Chemical Physics. Topic 14: Properties of Interfaces, 1st ed.; Pergamon Press: Oxford, UK; New York, NY, USA, 1974; ISBN 978-0-08-017724-3. [Google Scholar]
- Kuchta, B.; Dundar, E.; Formalik, F.; Llewellyn, P.L.; Firlej, L. Adsorption-Induced Structural Phase Transformation in Nanopores. Angew. Chem. 2017, 129, 16461–16464. [Google Scholar] [CrossRef]
- Goodbody, S.J.; Watanabe, K.; MacGowan, D.; Walton, J.P.R.B.; Quirke, N. Molecular Simulation of Methane and Butane in Silicalite. Faraday Trans. 1991, 87, 1951. [Google Scholar] [CrossRef]
- Mazur, B.; Formalik, F.; Roztocki, K.; Bon, V.; Kaskel, S.; Neimark, A.V.; Firlej, L.; Kuchta, B. Quasicontinuous Cooperative Adsorption Mechanism in Crystalline Nanoporous Materials. J. Phys. Chem. Lett. 2022, 13, 6961–6965. [Google Scholar] [CrossRef]
- Valleroy, Z.; Dos Santos, G.; Lombardi, T.; Wexler, C. Adsorption of Natural Gas Mixtures of Methane, Ethane, and Propane in Nanoporous Carbon: Fully Atomistic Numerical Studies. Langmuir 2020, 36, 3690–3702. [Google Scholar] [CrossRef] [PubMed]
- Borkman, R.F. Electric Quadrupole Moments for H2+, H2 and H3+ from a Point Charge Model. Chem. Phys. Lett. 1971, 9, 624–626. [Google Scholar] [CrossRef]
- Valleroy, C.; d’Ambrosio, R.; Blanc, C.; Anglaret, E.; Firlej, L.; Wexler, C. Temperature Dependence of the near Infrared Absorption Spectrum of Single-Wall Carbon Nanotubes Dispersed by Sodium Dodecyl Sulfate in Aqueous Solution: Experiments and Molecular Dynamics Study. J. Mol. Model. 2024, 30, 286. [Google Scholar] [CrossRef]
- Montiel-Centeno, K.; Barrera, D.; García-Villén, F.; Sánchez-Espejo, R.; Borrego-Sánchez, A.; Rodríguez-Castellón, E.; Sandri, G.; Viseras, C.; Sapag, K. Cephalexin Loading and Controlled Release Studies on Mesoporous Silica Functionalized with Amino Groups. J. Drug Deliv. Sci. Technol. 2022, 72, 103348. [Google Scholar] [CrossRef]
- Moldoveanu, S.C. Chapter 14—Pyrolysis of Various Derivatives of Carboxylic Acids. In Pyrolysis of Organic Molecules, 2nd ed.; Moldoveanu, S.C., Ed.; Elsevier: Amsterdam, The Netherlands, 2019; pp. 635–696. ISBN 978-0-444-64000-0. [Google Scholar]
- Seguel, J.; García, R.; Chimentão, R.J.; García-Fierro, J.L.; Ghampson, I.T.; Escalona, N.; Sepúlveda, C. Thermal Modification Effect on Supported Cu-Based Activated Carbon Catalyst in Hydrogenolysis of Glycerol. Materials 2020, 13, 603. [Google Scholar] [CrossRef]
- Barrera, D.; Florent, M.; Sapag, K.; Bandosz, T.J. Insight into the Mechanism of Oxygen Reduction Reaction on Micro/Mesoporous Carbons: Ultramicropores versus Nitrogen-Containing Catalytic Centers in Ordered Pore Structure. ACS Appl. Energy Mater. 2019, 2, 7412–7424. [Google Scholar] [CrossRef]
- Regiart, M.; Magallanes, J.L.; Barrera, D.; Villarroel-Rocha, J.; Sapag, K.; Raba, J.; Bertolino, F.A. An Ordered Mesoporous Carbon Modified Electrochemical Sensor for Solid-Phase Microextraction and Determination of Triclosan in Environmental Samples. Sens. Actuators B Chem. 2016, 232, 765–772. [Google Scholar] [CrossRef]
- Moldoveanu, S.C. Chapter 17 Pyrolysis of Carboxylic Acids. In Techniques and Instrumentation in Analytical Chemistry; Moldoveanu, S.C., Ed.; Pyrolysis of Organic Molecules with Applications to Health and Environmental Issues; Elsevier: Amsterdam, The Netherlands, 2010; Volume 28, pp. 471–526. [Google Scholar]
- Zhang, X.; Song, H.; He, S.; Wang, H.; Jiang, J.; Han, T. Heterochain Polymer Carbon Modified Transition Metal Composites for Fabricating High Energy-Density Supercapacitors. Surf. Interfaces 2024, 51, 104690. [Google Scholar] [CrossRef]
- Brender, P.; Gadiou, R.; Rietsch, J.-C.; Fioux, P.; Dentzer, J.; Ponche, A.; Vix-Guterl, C. Characterization of Carbon Surface Chemistry by Combined Temperature Programmed Desorption with in Situ X-Ray Photoelectron Spectrometry and Temperature Programmed Desorption with Mass Spectrometry Analysis. Anal. Chem. 2012, 84, 2147–2153. [Google Scholar] [CrossRef]
- Grishchenko, L.M.; Zhytnyk, D.O.; Matushko, I.P.; Diyuk, V.E.; Noskov, Y.V.; Malyshev, V.Y.; Moiseienko, V.A.; Boldyrieva, O.Y.; Lisnyak, V.V. Microwave Properties of Composite Films Based on Polyvinyl Chloride and Brominated Activated Carbon. ChemistrySelect 2024, 9, e202400432. [Google Scholar] [CrossRef]
- Chen, X.; Wang, X.; Fang, D. A Review on C1s XPS-Spectra for Some Kinds of Carbon Materials. Fuller. Nanotub. Carbon Nanostructures 2020, 28, 1048–1058. [Google Scholar] [CrossRef]
- Qiu, C.; Jiang, L.; Gao, Y.; Sheng, L. Effects of Oxygen-Containing Functional Groups on Carbon Materials in Supercapacitors: A Review. Mater. Des. 2023, 230, 111952. [Google Scholar] [CrossRef]
- Thommes, M.; Kaneko, K.; Neimark, A.V.; Olivier, J.P.; Rodriguez-Reinoso, F.; Rouquerol, J.; Sing, K.S.W. Physisorption of Gases, with Special Reference to the Evaluation of Surface Area and Pore Size Distribution (IUPAC Technical Report). Pure Appl. Chem. 2015, 87, 1051–1069. [Google Scholar] [CrossRef]
- Velasco, L.F.; Snoeck, D.; Mignon, A.; Misseeuw, L.; Ania, C.O.; Van Vlierberghe, S.; Dubruel, P.; De Belie, N.; Lodewyckx, P. Role of the Surface Chemistry of the Adsorbent on the Initialization Step of the Water Sorption Process. Carbon 2016, 106, 284–288. [Google Scholar] [CrossRef]
- Silvestre-Albero, J.; Wahby, A.; Sepúlveda-Escribano, A.; Martínez-Escandell, M.; Kaneko, K.; Rodríguez-Reinoso, F. Ultrahigh CO2 Adsorption Capacity on Carbon Molecular Sieves at Room Temperature. Chem. Commun. 2011, 47, 6840. [Google Scholar] [CrossRef]
- Villarroel-Rocha, D.; Godoy, A.A.; Toncón-Leal, C.; Villarroel-Rocha, J.; Moreno, M.S.; Bernini, M.C.; Narda, G.E.; Sapag, K. Synthesis of Micro–Mesoporous CPO-27-Mg@KIT-6 Composites and Their Test in CO2 Adsorption. New J. Chem. 2020, 44, 10056–10065. [Google Scholar] [CrossRef]
- Plaza, M.G.; González, A.S.; Pevida, C.; Pis, J.J.; Rubiera, F. Valorisation of Spent Coffee Grounds as CO2 Adsorbents for Postcombustion Capture Applications. Appl. Energy 2012, 99, 272–279. [Google Scholar] [CrossRef]
- Arami-Niya, A.; Rufford, T.E.; Zhu, Z. Nitrogen-Doped Carbon Foams Synthesized from Banana Peel and Zinc Complex Template for Adsorption of CO2, CH4, and N2. Energy Fuels 2016, 30, 7298–7309. [Google Scholar] [CrossRef]
- Lee, J.-H.; Heo, Y.-J.; Park, S.-J. Effect of Silica Removal and Steam Activation on Extra-Porous Activated Carbons from Rice Husks for Methane Storage. Int. J. Hydrogen Energy 2018, 43, 22377–22384. [Google Scholar] [CrossRef]
- Adeniran, B.; Mokaya, R. Compactivation: A Mechanochemical Approach to Carbons with Superior Porosity and Exceptional Performance for Hydrogen and CO2 Storage. Nano Energy 2015, 16, 173–185. [Google Scholar] [CrossRef]
- Balahmar, N.; Mokaya, R. Pre-Mixed Precursors for Modulating the Porosity of Carbons for Enhanced Hydrogen Storage: Towards Predicting the Activation Behaviour of Carbonaceous Matter. J. Mater. Chem. A 2019, 7, 17466–17479. [Google Scholar] [CrossRef]
- Lombardi, T. Computational Studies of Gases Adsorbed on Graphene-Like Materials. Ph.D. Thesis, University of Missouri, Columbia, MO, USA, 2022. [Google Scholar]















| Sample | SBET (m2/g) | VµP-Ar (cm3/g) | VTP (cm3/g) |
|---|---|---|---|
| CMK-8 | 820 | 0.10 | 0.89 |
| CMK-8/O | 620 | 0.03 | 0.74 |
| CMK-9 | 1210 | 0.08 | 0.96 |
| CMK-9/O | 1050 | 0.08 | 0.76 |
| Material | Conditions | Gas Uptake (mmol/g) | Ref |
|---|---|---|---|
| CO2 | |||
| * CMK-8 | 10 bar, 308 K | 4.6 | This work |
| * CMK-8/O | 10 bar, 308 K | 4.4 | This work |
| * CMK-9 | 10 bar, 308 K | 4.9 | This work |
| * CMK-9/O | 10 bar, 308 K | 4.6 | This work |
| CPO-27-Mg@KIT-6 (1:1) | 10 bar, 298 K | 15.8 | [62] |
| Maxsorb (Activated carbon) | 10 bar, 298 K | 2.91 | [61] |
| AS-2-600 (Activated carbon) | 1 bar, 298 K | 4.8 | [9] |
| Coffee grounds (Activated carbon) | 1 bar, 298 K | 3.0 | [63] |
| Palm date seeds (Activated carbon) | 1 bar, 298 K | 4.0 | [9] |
| CH4 | |||
| * CMK-8 | 10 bar, 298 K | 2.8 | This work |
| * CMK-8/O | 10 bar, 298 K | 2.3 | This work |
| * CMK-9 | 10 bar, 298 K | 2.5 | This work |
| * CMK-9/O | 10 bar, 298 K | 2.0 | This work |
| SS-NACF | 25 bar, 298 K | 6.4 | [2] |
| CBF-1273-CO2-1 h | 10 bar, 298 K | 3.5 | [64] |
| RHAC900-SR | 35 bar, 298 K | 4.3 | [65] |
| H2 | |||
| * CMK-8 | 8 bar, 77 K | 8.0 | This work |
| * CMK-8/O | 8 bar, 77 K | 6.4 | This work |
| * CMK-9 | 8 bar, 77 K | 8.8 | This work |
| * CMK-9/O | 8 bar, 77 K | 7.0 | This work |
| SS-NACF | 25 bar, 77 K | 8.1 | [2] |
| PPY2 | 20 bar, 77 K | 2.91 | [66] |
| PPY4800 | 20 bar, 77 K | 4.8 | [67] |
Disclaimer/Publisher’s Note: The statements, opinions and data contained in all publications are solely those of the individual author(s) and contributor(s) and not of MDPI and/or the editor(s). MDPI and/or the editor(s) disclaim responsibility for any injury to people or property resulting from any ideas, methods, instructions or products referred to in the content. |
© 2026 by the authors. Licensee MDPI, Basel, Switzerland. This article is an open access article distributed under the terms and conditions of the Creative Commons Attribution (CC BY) license.
Share and Cite
Diaz, C.A.; Montiel-Centeno, K.; Villarroel-Rocha, J.; Barrera, D.; Dorhauer, A.; Wexler, C.; Sapag, K. Adsorption of Strategic Gases on Oxygen-Functionalized CMK-8 and CMK-9 Mesoporous Carbons: Experimental and Computational Studies. Clean Technol. 2026, 8, 19. https://doi.org/10.3390/cleantechnol8010019
Diaz CA, Montiel-Centeno K, Villarroel-Rocha J, Barrera D, Dorhauer A, Wexler C, Sapag K. Adsorption of Strategic Gases on Oxygen-Functionalized CMK-8 and CMK-9 Mesoporous Carbons: Experimental and Computational Studies. Clean Technologies. 2026; 8(1):19. https://doi.org/10.3390/cleantechnol8010019
Chicago/Turabian StyleDiaz, Cristian A., Kiara Montiel-Centeno, Jhonny Villarroel-Rocha, Deicy Barrera, Anthony Dorhauer, Carlos Wexler, and Karim Sapag. 2026. "Adsorption of Strategic Gases on Oxygen-Functionalized CMK-8 and CMK-9 Mesoporous Carbons: Experimental and Computational Studies" Clean Technologies 8, no. 1: 19. https://doi.org/10.3390/cleantechnol8010019
APA StyleDiaz, C. A., Montiel-Centeno, K., Villarroel-Rocha, J., Barrera, D., Dorhauer, A., Wexler, C., & Sapag, K. (2026). Adsorption of Strategic Gases on Oxygen-Functionalized CMK-8 and CMK-9 Mesoporous Carbons: Experimental and Computational Studies. Clean Technologies, 8(1), 19. https://doi.org/10.3390/cleantechnol8010019

