Sign in to use this feature.

Years

Between: -

Subjects

remove_circle_outline
remove_circle_outline
remove_circle_outline
remove_circle_outline
remove_circle_outline
remove_circle_outline
remove_circle_outline
remove_circle_outline
remove_circle_outline

Journals

remove_circle_outline
remove_circle_outline
remove_circle_outline
remove_circle_outline
remove_circle_outline
remove_circle_outline
remove_circle_outline
remove_circle_outline
remove_circle_outline
remove_circle_outline
remove_circle_outline
remove_circle_outline
remove_circle_outline
remove_circle_outline

Article Types

Countries / Regions

remove_circle_outline
remove_circle_outline
remove_circle_outline
remove_circle_outline
remove_circle_outline
remove_circle_outline

Search Results (325)

Search Parameters:
Keywords = coverage with evidence development

Order results
Result details
Results per page
Select all
Export citation of selected articles as:
25 pages, 2026 KB  
Article
Fractional-Order Degradation Modeling for Lithium-Ion Batteries with Robust Identification and Calibrated Uncertainty Under Cross-Cell Transfer
by Julio Guerra, Jairo Revelo, Cristian Farinango, Luis González and Gerardo Collaguazo
Batteries 2026, 12(5), 150; https://doi.org/10.3390/batteries12050150 - 23 Apr 2026
Abstract
Accurate and trustworthy prediction of lithium-ion battery aging remains challenging due to multi-mechanistic degradation, cell-to-cell variability, and distribution shift between laboratory calibration and deployment. Fractional-order models have been proposed to capture long-memory effects in electrochemical systems; however, it remains unclear when such memory [...] Read more.
Accurate and trustworthy prediction of lithium-ion battery aging remains challenging due to multi-mechanistic degradation, cell-to-cell variability, and distribution shift between laboratory calibration and deployment. Fractional-order models have been proposed to capture long-memory effects in electrochemical systems; however, it remains unclear when such memory is empirically identifiable and beneficial within the common prognostics abstraction of state-of-health (SOH) versus cycle index. This work develops a fully reproducible computational pipeline for mechanistic battery aging based on a Caputo fractional differential equation (FDE) and evaluates its cross-cell generalization on open NASA cycling data. Parameters are identified using bounded robust nonlinear least squares and validated under a strict transfer protocol: calibration on cells B0005/B0006 and evaluation on held-out cells B0007/B0018 without refitting. The fractional model is benchmarked against a classical ODE surrogate, an ECM-inspired resistance-proxy baseline, and one-step-ahead machine-learning predictors. Uncertainty quantification is performed via parameter bootstrap and subsequently calibrated using conformal correction to target nominal coverage under transfer. Results show that the fractional order tends to collapse toward the integer-order limit (α → 1) in this dataset, indicating limited evidence of additional long-memory at the SOH-versus-cycle level under the considered protocol, while robust identification remains essential for stability. Calibrated prediction intervals achieve near-nominal coverage on held-out cells, highlighting the importance of UQ calibration under cell-to-cell shift. The proposed scripts and environment specifications enable direct replication and facilitate future extensions to stress-aware fractional models and hybrid physics–ML approaches. Full article
Show Figures

Figure 1

17 pages, 2649 KB  
Article
Modelling the Cost-Effectiveness of a Placental Malaria Vaccine in Sub-Saharan Africa
by Jobiba Chinkhumba, Lucinda Manda-Taylor, Flavia D’Alessio and Mwayiwawo Madanitsa
Vaccines 2026, 14(5), 378; https://doi.org/10.3390/vaccines14050378 (registering DOI) - 23 Apr 2026
Abstract
Introduction: Placental malaria increases the risk of adverse birth outcomes. Current preventive measures are undermined by poor coverage, growing resistance to chemo-preventive and therapeutic drugs, and vector eliminating insecticides. Candidate placental malaria (PM) vaccines (PAMVAC and PRIMVAC) have shown safety and immunogenicity in [...] Read more.
Introduction: Placental malaria increases the risk of adverse birth outcomes. Current preventive measures are undermined by poor coverage, growing resistance to chemo-preventive and therapeutic drugs, and vector eliminating insecticides. Candidate placental malaria (PM) vaccines (PAMVAC and PRIMVAC) have shown safety and immunogenicity in Phase I trials, but empirical evidence on their potential population-level value is lacking. This study modelled the expected cost-effectiveness of a PM vaccine administered before pregnancy. Methods: A decision-analytic model compared two strategies from the provider’s perspective: vaccinating women of childbearing age versus no vaccination. The model incorporated gravidity-specific risks of PM, neonatal mortality and the malaria attributable fractions from the literature. Since the efficacy of a PM vaccine for malaria prevention is unknown, we assumed a 40% efficacy and varied this estimate widely in sensitivity analyses. Primary outcomes were incremental cost-effectiveness ratios (ICERs) per perinatal disability adjusted life years (DALYs) averted. Baseline, best-case, and worst-case scenarios were analysed. One-way and probabilistic sensitivity analyses were used to assess parameter uncertainty. Cost-effectiveness was defined as an ICER below half of sub- Saharan Africa’s 2025 GDP per capita ($1556). Results: The vaccine was most cost-effective among primigravidae. Under baseline assumptions (40% efficacy; 30% uptake; $5 dose price), the ICER was $321 per perinatal DALY averted for primigravidae versus $4444 for multigravidae. Best-case assumptions further improved cost-effectiveness ($225 vs. $3148). Sensitivity analyses showed robust cost-effectiveness for primigravidae across all plausible parameter ranges, while ICERs in multigravidae were highly sensitive to programme costs and vaccine efficacy. Cost-effectiveness acceptability curves demonstrated that vaccination becomes favourable for primigravidae at relatively low willingness-to-pay thresholds. Conclusions: A placental malaria vaccine delivered before pregnancy has high potential to be cost-effective in endemic areas when targeted to protect primigravidae. These findings support prioritised deployment strategies and highlight the value of early economic modelling to inform vaccine development and policy planning. Full article
(This article belongs to the Section Vaccines and Public Health)
8 pages, 196 KB  
Opinion
Advancing Adult HPV Vaccination—Turning Evidence into Action
by Meera Gosalia, Michael Moore, Bettina Borisch, Marta Lomazzi and the members of the Global HPV Adult Vaccination Engagement Forum
Vaccines 2026, 14(5), 375; https://doi.org/10.3390/vaccines14050375 - 23 Apr 2026
Abstract
Human Papillomavirus (HPV) is one of the most prevalent infections worldwide and a leading cause of cervical cancer, as well as anal, oropharyngeal, penile, vulval, and vaginal cancers. Despite the availability of safe and effective vaccines, coverage beyond female adolescent programmes remains often [...] Read more.
Human Papillomavirus (HPV) is one of the most prevalent infections worldwide and a leading cause of cervical cancer, as well as anal, oropharyngeal, penile, vulval, and vaginal cancers. Despite the availability of safe and effective vaccines, coverage beyond female adolescent programmes remains often insufficient, leaving many adolescents and adults unprotected. The World Federation of Public Health Associations (WFPHA) convened a year-long global expert engagement forum to develop evidence-informed policy recommendations to advance HPV elimination. Building on this work, the resulting Call-to-Action urges countries to expand access to boys and adults. Adopting a life-course approach, integrated with screening, equitable access policies, and sustainable financing, can significantly increase coverage and reduce the burden of HPV-related cancers. This article outlines the main outcomes of the Call-to-Action and highlights key priorities for policy and decision makers committed to accelerating HPV elimination. Full article
(This article belongs to the Special Issue HPV Vaccines and New Vaccination Schedules Implementation)
27 pages, 4126 KB  
Article
Understanding Spatiotemporal Heterogeneity in Dockless Bike-Sharing: Evidence from 40 Million Trips
by Yu Zhou, Kangliang Guo and Xinchen Gao
Appl. Sci. 2026, 16(8), 4059; https://doi.org/10.3390/app16084059 - 21 Apr 2026
Abstract
As a key link between short-distance urban mobility and public transport, dockless bike-sharing (DBS) systems have expanded rapidly in recent years. However, existing studies are limited by insufficient factor coverage, incomplete temporal analysis, and inadequate assessment of spatial-scale effects. To address these gaps, [...] Read more.
As a key link between short-distance urban mobility and public transport, dockless bike-sharing (DBS) systems have expanded rapidly in recent years. However, existing studies are limited by insufficient factor coverage, incomplete temporal analysis, and inadequate assessment of spatial-scale effects. To address these gaps, this study uses Shenzhen as a case study, integrating 40 million DBS trip records from August 2021 with multi-source geospatial data to develop a spatiotemporal analytical framework. First, it examines differences in riding patterns between weekdays and weekends, further segmenting trips into six time periods to capture intra-day temporal variations. Through multicollinearity and spatial autocorrelation tests, a 700-m grid was identified as the optimal analysis unit. Subsequently, a Multi-scale Geographically Weighted Regression (MGWR) model quantified how multiple sources of factors collectively shape DBS usage behavior. Results indicate that higher frequency, faster speeds, and longer distances during peak periods characterize weekday trips. Office POIs and transit accessibility positively affect DBS usage during weekday peaks, whereas Residential POIs and Convenience Service POIs have a greater influence on weekend trips. Population density and land-use mix consistently promote DBS use across all periods. Younger residents (<30 years) were the main users, especially during weekday peak and weekend no-peak periods, whereas gender and education had limited impact. These findings provide empirical evidence to optimize bike-sharing deployment, enhance multimodal transport integration, and support sustainable urban mobility planning. Full article
(This article belongs to the Section Green Sustainable Science and Technology)
28 pages, 3411 KB  
Review
Fuzz Driver Generation: A Survey and Outlook from the Perspective of Data Sources
by Xiao Feng, Shuaibing Lu, Taotao Gu, Yuanping Nie, Qian Yan, Mucheng Yang, Jinyang Chen and Xiaohui Kuang
Big Data Cogn. Comput. 2026, 10(4), 129; https://doi.org/10.3390/bdcc10040129 - 21 Apr 2026
Abstract
Fuzzing is an essential element of software supply chain security governance. Despite its importance, the widespread adoption of library fuzzing is limited by the significant costs associated with constructing fuzz drivers. Without a clear entry point, the reachable path space of the target [...] Read more.
Fuzzing is an essential element of software supply chain security governance. Despite its importance, the widespread adoption of library fuzzing is limited by the significant costs associated with constructing fuzz drivers. Without a clear entry point, the reachable path space of the target library is determined by the interplay of API call sequences, parameter dependencies, and state constraints. As a result, fuzz drivers must achieve not only successful builds but also provide sufficient semantic context to enable exploration of deeper state machine interactions, thereby avoiding premature stagnation at superficial validation logic. To systematically assess advancements in automated fuzz driver generation, this paper develops a taxonomy organized around the primary data sources used to derive driver-generation constraints, categorizing existing approaches into four technological trajectories: Usage Artifact Mining, Source Code Constraint Inference, Binary Semantics Recovery, and Heterogeneous Data Fusion. Large language models are increasingly integrated into these workflows as generators and as components for constraint alignment and repair. To address inconsistencies in experimental methodologies, this paper introduces a bounded comparability-oriented evaluation perspective focused on three dimensions: validity, reachability-related evidence, and reproducibility and cost. Together with a disclosure and reporting protocol for metric comparability, this perspective clarifies the information needed for cross-study comparison and examines the unique features and inherent limitations of each technical trajectory. Based on these findings, three key directions for future research are identified: facilitating structural evolution in response to coverage plateaus to address deep logic unreachability; coordinating dynamic closed-loop orchestration that utilizes on-demand heterogeneous data retrieval to resolve context challenges; and developing language-agnostic driver representations with pluggable adaptation mechanisms to improve cross-ecosystem portability and scalability. Full article
Show Figures

Figure 1

20 pages, 935 KB  
Article
A Reproducible and Regime-Aware SARIMA Modelling Framework for National Air Traffic Forecasting: Evidence from Türkiye (2018–2025)
by Recep Kaş, Mehmet Şen, Seda Arık Hatipoğlu and Mehmet Konar
Modelling 2026, 7(2), 77; https://doi.org/10.3390/modelling7020077 - 21 Apr 2026
Abstract
Reliable short-term air traffic forecasts are important for operational planning in national airspace systems. This study develops a transparent forecasting framework for Türkiye’s monthly aircraft movements using publicly available data from the General Directorate of State Airports Authority (DHMİ) for 2018–2025. Because DHMİ [...] Read more.
Reliable short-term air traffic forecasts are important for operational planning in national airspace systems. This study develops a transparent forecasting framework for Türkiye’s monthly aircraft movements using publicly available data from the General Directorate of State Airports Authority (DHMİ) for 2018–2025. Because DHMİ releases may follow cumulative within-year reporting, month-specific increments are reconstructed through within-year differencing and checked through simple audit procedures. The empirical analysis compares seasonal naïve, ETS, and a constrained SARIMA family under leakage-free evaluation, combining a strict 2025 holdout with expanding-window rolling-origin validation. Forecast performance is assessed using standard accuracy metrics and complemented by Diebold–Mariano comparisons, which are interpreted cautiously, given the short holdout length. To examine instability around the pandemic period, this study also reports structural-break and stability diagnostics as supportive evidence rather than definitive identification. Uncertainty is evaluated through backtested 80% and 95% prediction intervals, comparing nominal SARIMA intervals, parametric bootstrap, split conformal prediction, and adaptive conformal inference (ACI). The results show that SARIMA provides the strongest point-forecast performance among the benchmarked models, while adaptive conformal calibration offers a useful balance between empirical coverage and interval width under changing conditions. Overall, this study provides a reproducible and operationally interpretable baseline for national air traffic forecasting in Türkiye and a clear benchmark for future multivariate extensions. Full article
Show Figures

Figure 1

32 pages, 825 KB  
Systematic Review
Modular Engineered-Wood Housing in Low-Technification, Seismic-Prone Settings: A Systematic Review of Structural Performance, Digital Fabrication, and Low-Carbon Performance
by Emerson Porras, Walter Morales, Lidia Chang and Joseph Sucasaca
Sustainability 2026, 18(8), 4096; https://doi.org/10.3390/su18084096 - 20 Apr 2026
Abstract
This qualitative systematic review evaluates the potential of modular prefabricated OSB/plywood housing systems in low-technification, high-seismicity settings. These systems are promoted as low-carbon options for emerging contexts, and we assess how far the evidence supports that promise and under which conditions they can [...] Read more.
This qualitative systematic review evaluates the potential of modular prefabricated OSB/plywood housing systems in low-technification, high-seismicity settings. These systems are promoted as low-carbon options for emerging contexts, and we assess how far the evidence supports that promise and under which conditions they can contribute to net-zero housing pathways. An adapted PRISMA 2020 workflow was applied to Scopus (TITLE-ABS, 2000–2025); 153 studies were synthesized in a table-first, coded matrix into axes for structural, digital fabrication, sustainability/circularity, and extrapolatable systems—supplemented by curated housing cases—with other EWPs used only for contrast. To address fragmentation and heterogeneity across domains, we developed a domain-based QA/QC instrument (STRUCTURAL, LCA, and FABRICATION) to judge whether studies provide minimally comparable evidence. Structural performance is relatively mature for certain patterns (calibrated FEM, cyclic tests, some 1:1 trials), whereas digital fabrication and LCA evidence remain partial: file-to-factory workflows rarely report verifiable QA/QC traceability, and most LCAs stop at A1–A3 with uneven treatment of A4, C/D, and biogenic carbon. Full convergence of adequate STRUCTURAL, LCA, and FABRICATION evidence within the same system type is rare, so both transferability to low-technification, seismic-prone settings and alignment with net-zero objectives must be characterized as conditional rather than established. The review identifies minimum multi-domain thresholds—technical robustness, whole-life LCA coverage, and verifiable QA/QC—as prerequisites for positioning modular OSB/plywood housing as a credible low-carbon pathway. These conclusions are limited by Scopus-only, English-language coverage and methodological heterogeneity, especially in the LCA. Full article
(This article belongs to the Topic Multiple Roads to Achieve Net-Zero Emissions by 2050)
Show Figures

Figure 1

20 pages, 5609 KB  
Article
Sustainability Indicators for Evaluating a Municipal Solid Waste Management System
by Mirna Castro-Bello, Denisse Peralta-Rojo, Carlos Virgilio Marmolejo-Vega, Cornelio Morales-Morales, Daniel Angeles-Herrera, Areli Barcenas-Nava, Sergio Ricardo Zagal-Barrera and Yanet Evangelista-Alcocer
Environments 2026, 13(4), 222; https://doi.org/10.3390/environments13040222 - 18 Apr 2026
Viewed by 90
Abstract
Inadequate Municipal Solid Waste (MSW) management constitutes a critical environmental challenge, as approximately 40% of waste reaches uncontrolled disposal sites where open-air incineration generates significant air, soil, and water pollution. The objective of this study was to evaluate the MSW Environmental Management System [...] Read more.
Inadequate Municipal Solid Waste (MSW) management constitutes a critical environmental challenge, as approximately 40% of waste reaches uncontrolled disposal sites where open-air incineration generates significant air, soil, and water pollution. The objective of this study was to evaluate the MSW Environmental Management System (EMS) in Chilpancingo de los Bravo, Guerrero, Mexico, through sustainability indicators and applicable Mexican environmental regulations to identify operational and structural deficiencies that guide a comprehensive improvement in its management. The methodology comprised an analysis of the EMS via the Municipal Development Plan, the identification of environmental indicators and applicable Mexican standards, and an evaluation of the EMS through waste characterization and sustainability metrics. A sample of 208 kg was defined in accordance with standards NMX-AA-015-1985 and NMX-AA-022-1985. The results indicate a generation rate of approximately 350 tons per day (1.2 kg/capita/day), with municipal collection coverage of 70% of the territory across 24 daily routes operated by 30 vehicles. Indicators revealed a recycling rate of 4.86%, collection coverage of 79.66%, a 0% treatment rate due to the absence of composting or material recovery facilities, and 95% of waste directed to the Final Disposal Site (FDS). These findings demonstrate substantial deficiencies in the current EMS, highlighting that the systematic application of indicators is an effective diagnostic tool for identifying gaps and guiding evidence-based improvements in MSW governance. Full article
(This article belongs to the Special Issue Circular Economy in Waste Management: Challenges and Opportunities)
43 pages, 988 KB  
Review
Clinically Significant Carbapenemases in Gram-Negative Pathogens: Molecular Diversity and Advances in β-Lactamase Inhibitor Therapy
by Jessi M. Grossman and Dorothea K. Thompson
Antibiotics 2026, 15(4), 413; https://doi.org/10.3390/antibiotics15040413 - 18 Apr 2026
Viewed by 103
Abstract
Carbapenems comprise a class of β-lactam antibiotics with broad-spectrum hydrolytic activity and are often reserved as last-line agents for the treatment of serious multidrug-resistant (MDR) bacterial infections. Clinically important nosocomial MDR Gram-negative bacteria (GNB) include Klebsiella pneumoniae, Pseudomonas aeruginosa, and Acinetobacter [...] Read more.
Carbapenems comprise a class of β-lactam antibiotics with broad-spectrum hydrolytic activity and are often reserved as last-line agents for the treatment of serious multidrug-resistant (MDR) bacterial infections. Clinically important nosocomial MDR Gram-negative bacteria (GNB) include Klebsiella pneumoniae, Pseudomonas aeruginosa, and Acinetobacter baumannii. Carbapenem resistance among these organisms is predominantly mediated by the production of β-lactamases called carbapenemases, such as K. pneumoniae carbapenemase (KPC), New Delhi metallo-β-lactamase (NDM), imipenemase (IMP), Verona integron-encoded metallo-β-lactamase (VIM), and selected oxacillinase (OXA)-type carbapenemases. These enzymes degrade carbapenems, significantly compromising their clinical efficacy. To address escalating antimicrobial resistance, novel next-generation β-lactamase inhibitors (BLIs), partnered with established β-lactams (BLs), have been approved or are currently under development to inhibit carbapenemase activity. The present narrative review aims to synthesize the most current information on the major carbapenemases and discusses recently approved and investigational BL/BLI combination therapies in terms of their mechanisms of action, spectrum of activity, gaps in coverage, and available clinical and in vitro evidence. Development of resistance to novel BL/BLI combinations is also examined. Comparative analysis of inhibitory spectra and microbiological coverage indicates a continued need for metallo-β-lactamase inhibitors with direct pan-inhibitory activity, pathogen-specific BL/BLI regimens for carbapenem-resistant A. baumannii, and carbapenemase-targeted agents effective in the context of non-enzymatic resistance mechanisms. Treatment-emergent resistance to novel BL/BLIs and limitations in activity profiles underscore the critical need for continued innovation in pipeline development, vigilant global and local surveillance of carbapenemase epidemiology, and robust antimicrobial stewardship strategies to aid in preserving the efficacy of the antibacterial drug armamentarium. Full article
(This article belongs to the Section Novel Antimicrobial Agents)
28 pages, 3022 KB  
Article
Air Quality and Climate Co-Benefits of Pakistan’s Transport Sector: A Multi-Pollutant Scenario Assessment
by Kaleem Anwar Mir, Pallav Purohit, Shahbaz Mehmood and Arif Goheer
Sustainability 2026, 18(8), 3954; https://doi.org/10.3390/su18083954 - 16 Apr 2026
Viewed by 488
Abstract
The transport sector is a major contributor to urban air pollution and greenhouse gas emissions in Pakistan, posing significant challenges to sustainable development and climate commitments. This study develops the first technology-resolved, high-resolution, multi-pollutant emission inventory and scenario analysis for Pakistan’s transport sector, [...] Read more.
The transport sector is a major contributor to urban air pollution and greenhouse gas emissions in Pakistan, posing significant challenges to sustainable development and climate commitments. This study develops the first technology-resolved, high-resolution, multi-pollutant emission inventory and scenario analysis for Pakistan’s transport sector, addressing key gaps in previous studies that lacked integrated multi-pollutant assessments, comprehensive coverage of non-road sources, and long-term scenario comparisons. The analysis integrates road and non-road transport sources within the Greenhouse Gas–Air Pollution Interactions and Synergies (GAINS) modeling framework. Emissions are projected for 2024–2050 under a business-as-usual (BAU) scenario and three mitigation pathways: an Electric Vehicle Transition (EVT) emphasizing transport electrification, a Euro-VI scenario focusing on stringent fuel and vehicle emission standards, and an integrated nationally determined contribution strategy (NDC+) scenario combining electrification, regulatory improvements, and structural transport reforms. In 2024, transport-related emissions are estimated at approximately 22 kt of fine particulate matter (PM2.5), over 300 kt of nitrogen oxides (NOx), and nearly 39 Mt of carbon dioxide (CO2), alongside substantial emissions of other gaseous pollutants and short-lived climate forcers. By 2050, the NDC+ scenario achieves the largest reductions relative to business-as-usual, demonstrating that coordinated electrification and emission control strategies can simultaneously reduce air pollution and greenhouse gas emissions. The results demonstrate strong synergies between climate mitigation and air quality improvement, showing that integrated strategies combining electrification with stringent emission standards can simultaneously reduce greenhouse gas emissions and major air pollutants while advancing cleaner and more sustainable mobility. This analysis provides a consistent and policy-relevant evidence base derived from best-available data and modeling tools to support Pakistan’s NDC implementation, sustainable mobility planning, and integrated air quality and climate strategies, with lessons transferable to other rapidly developing economies. Full article
(This article belongs to the Special Issue Air Pollution and Sustainability)
Show Figures

Figure 1

23 pages, 1710 KB  
Article
A Study on the Supply–Demand Relationship of Cultural Ecosystem Services in the Changbai Mountain Tourism Area
by Zhe Feng, Hengdong Feng, Da Zhang, Ning Ding and Haoyu Wen
Land 2026, 15(4), 650; https://doi.org/10.3390/land15040650 - 15 Apr 2026
Viewed by 136
Abstract
Cultural ecosystem services (CES) provide non-material benefits that support human well-being and motivate ecosystem conservation, yet their subjectivity and spatial ambiguity complicate quantitative assessment and management. Taking the Changbai Mountain tourism area as a case, we adopted the ecosystem service matrix method to [...] Read more.
Cultural ecosystem services (CES) provide non-material benefits that support human well-being and motivate ecosystem conservation, yet their subjectivity and spatial ambiguity complicate quantitative assessment and management. Taking the Changbai Mountain tourism area as a case, we adopted the ecosystem service matrix method to assess the CES supply score based on the natural system and human system. The service coverage density was obtained through accessibility, thereby quantifying the available supply index for each tourist source area. In addition, we quantified CES demand using a questionnaire survey. Demand for 10 CES types was measured via preference ranking and integrated with the entropy weight method; statistical analysis and GIS mapping were used to examine spatial patterns and influencing factors. Results show that: (1) The overall CES demand in the Changbai Mountain tourism area exhibits clear spatial differentiation, with higher demand in the central and eastern regions and lower demand in the northwest. High-demand areas are mainly concentrated in cities relatively close to the Changbai Mountain tourism area. (2) Among individual CES, recreation (r = 6.58), natural landscapes (r = 6.35), and aesthetic value (r = 6.19) receive the highest demand, and demand structure is significantly associated with occupation, education level, consumption level, and spatial distance. The results indicate that cultural services dominated by knowledge-based services are significantly positively correlated with educational level (r = 0.549, p < 0.001). (3) CES supply capacity shows strong seasonal fluctuations, and is frequently overloaded during peak seasons, leading to prominent supply–demand conflicts; with the exception of Shenyang, Dalian, Jilin and Anshan, the other 17 cities exhibit supply–demand imbalance. By integrating multiple CES types and multiple drivers, this study reveals spatial matching patterns of CES supply and demand in a complex mountain ecotourism region and provides evidence to support ecotourism management, service capacity improvement, and sustainable development. Full article
(This article belongs to the Special Issue Human–Environment Interactions in Land Use and Regional Development)
Show Figures

Figure 1

22 pages, 2689 KB  
Article
A Novel CFA3 Locus Encompassing KCNIP4 Is Associated with Idiopathic Epilepsy in Siberian Huskies
by Tracy A. Smith and Leon Potisk
Genes 2026, 17(4), 459; https://doi.org/10.3390/genes17040459 - 15 Apr 2026
Viewed by 1627
Abstract
Background/Objectives: Idiopathic epilepsy is a lifelong neurologic disorder in dogs, but its genetic basis remains incompletely understood in many breeds. This study aimed to identify risk-associated markers in Siberian Huskies, quantify their effects, assess potential risk modifiers, and characterize the shared haplotype background [...] Read more.
Background/Objectives: Idiopathic epilepsy is a lifelong neurologic disorder in dogs, but its genetic basis remains incompletely understood in many breeds. This study aimed to identify risk-associated markers in Siberian Huskies, quantify their effects, assess potential risk modifiers, and characterize the shared haplotype background of the associated signal. Methods: A genome-wide association study was conducted in 113 Siberian Huskies genotyped on the Illumina CanineHD array, integrating association, regression, and haplotype/IBD analyses. An independent follow-up cohort of 57 additional dogs was genotyped at the lead marker by Sanger sequencing. Sex and gonadectomy status/timing were also evaluated as potential modifiers of risk, using multivariable regression and time-to-event analyses. Results: A strong, localized association was identified on canine chromosome 3 (CFA3) within KCNIP4. The lead intronic marker was significantly enriched in cases, with all risk-allele homozygotes affected, most heterozygotes affected, and no control homozygotes observed. Risk-associated chromosomes shared extended haplotypes across the region, consistent with carriers inheriting a common risk haplotype from a relatively recent shared ancestor. Among carriers, male sex was associated with higher odds of epilepsy and earlier seizure onset, with more tentative evidence for a similar association with gonadectomy before 5 years of age. Conclusions: These findings prioritize a CFA3 region encompassing KCNIP4 as a major risk locus for idiopathic epilepsy in Siberian Huskies. Fine-mapping with high-coverage sequencing and functional follow-up will be required to pinpoint the causal variant(s) and support development of risk assessment tools. Until those studies are completed, this marker should be regarded as a research finding rather than a predictive test. Full article
(This article belongs to the Special Issue Canine Genomics and Disease Research)
Show Figures

Figure 1

20 pages, 13663 KB  
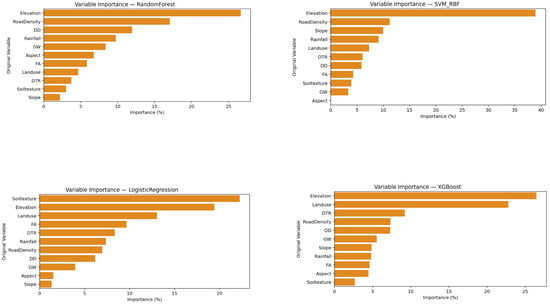
Article
Modelling Urban Pluvial Flooding in Cincinnati, Ohio, Using Machine Learning
by Oluwadamilola Salau and Steven M. Quiring
ISPRS Int. J. Geo-Inf. 2026, 15(4), 173; https://doi.org/10.3390/ijgi15040173 - 14 Apr 2026
Viewed by 210
Abstract
Urban pluvial flooding presents growing challenges for disaster risk management, yet most susceptibility studies rely on watershed-based frameworks that inadequately capture the localized dynamics of urban systems. This study proposes a city-scale flood susceptibility modeling framework for Cincinnati, Ohio. Cincinnati was chosen because [...] Read more.
Urban pluvial flooding presents growing challenges for disaster risk management, yet most susceptibility studies rely on watershed-based frameworks that inadequately capture the localized dynamics of urban systems. This study proposes a city-scale flood susceptibility modeling framework for Cincinnati, Ohio. Cincinnati was chosen because it is a city with a documented history of severe urban flooding, including a once-in-a-century storm in 2016. Multi-source historical flood data were compiled from NOAA storm event records and crowdsourced reports to enhance spatial coverage. Four machine learning algorithms (Random Forest, Support Vector Machine, XGBoost, and Logistic Regression) were implemented to identify the most effective approach for urban pluvial flood prediction. Random Forest (RF) and Support Vector Machine (SVM) achieved the highest accuracy (0.84) and demonstrated strong discriminatory power. RF was selected as the optimal model because it had a higher AUC (90%) and the lowest RMSE (0.35). To assess generalizability, the RF model was validated on updated land use data and flood records from a 2020 storm event. It demonstrated robust performance (accuracy = 0.89, RMSE = 0.36, precision = 0.75, recall = 1, and AUC = 0.95), despite urban development changes. This study’s novelty lies in combining multi-source flood records with a grid-based machine learning framework and rigorously validating model robustness under evolving urban conditions. The results advance urban pluvial flood susceptibility modeling and offer actionable guidance for evidence-based flood risk management worldwide. Full article
Show Figures

Figure 1

22 pages, 4498 KB  
Article
Evaluating the Social Sustainability of Urban Blue-Green Infrastructure: A Visual Perception Study on the Restorative Capacity of Public Spaces
by Xiaolu Wu, Yuanyuan Ma, Yifan Wang, Junyi Zhao and Jing Wu
Land 2026, 15(4), 642; https://doi.org/10.3390/land15040642 - 14 Apr 2026
Viewed by 249
Abstract
As a core tenet of Green Urbanism, fostering social sustainability through restorative urban environments is essential for enhancing the psychological resilience of active urban generations. While urban parks are recognized as critical blue-green infrastructure, the micro-mechanisms through which their morphological configurations influence perceived [...] Read more.
As a core tenet of Green Urbanism, fostering social sustainability through restorative urban environments is essential for enhancing the psychological resilience of active urban generations. While urban parks are recognized as critical blue-green infrastructure, the micro-mechanisms through which their morphological configurations influence perceived restoration remain insufficiently understood. The aim of this study is to investigate how specific landscape element types and proportions in urban parks modulate the visual behavior and psychological restorative outcomes of young urban populations through a multimodal experimental approach. This study employs a novel assessment framework, integrating VR-based eye-tracking and physiological monitoring (HRV, EDA, EEG), with a sample of 77 young adults (aged 18–30) to investigate how landscape element types and proportions modulate visual behavior and restorative outcomes. The findings indicate that landscape components drive restoration through divergent visual cognitive pathways: natural elements promote recovery by fostering sustained visual engagement and exploratory saccades, whereas artificial elements function as cognitive stressors that fragment visual continuity. Mediation analysis further reveals a “quality-over-quantity” effect, demonstrating that restorative efficacy is governed by specific morphological configurations rather than mere green coverage. We identify critical restorative thresholds where the systematic reduction in artificial visibility, combined with the strategic prioritization of multi-layered vegetation and optimized sky openness, significantly maximizes restorative fascination and physiological relaxation. These evidence-based design strategies offer a precise toolkit for sustainable urban renewal, allowing urban planners to optimize the restorative quality of public spaces. By aligning micro-scale visual perception with macro-scale social sustainability goals, this research contributes to the development of resilient and health-promoting cities under the principles of Green Urbanism. Full article
Show Figures

Figure 1

28 pages, 4043 KB  
Article
Comparative Benchmarking of Multi-Objective Algorithms for Renewable Energy System Design Using Pareto Front Quality Metrics
by Raphael I. Areola, Abayomi A. Adebiyi and Dwayne J. Reddy
Appl. Sci. 2026, 16(8), 3775; https://doi.org/10.3390/app16083775 - 12 Apr 2026
Viewed by 408
Abstract
Selecting the best multi-objective algorithms for photovoltaic energy storage system (PV-ESS) design remains challenging due to limited benchmarking across renewable energy studies. This study addresses this gap through a systematic evaluation of four widely used multi-objective optimization algorithms: NSGA-II, Multi-Objective Particle Swarm Optimization [...] Read more.
Selecting the best multi-objective algorithms for photovoltaic energy storage system (PV-ESS) design remains challenging due to limited benchmarking across renewable energy studies. This study addresses this gap through a systematic evaluation of four widely used multi-objective optimization algorithms: NSGA-II, Multi-Objective Particle Swarm Optimization (MOPSO), weighted-sum scalarization, and ε-constraint methods. Performance assessment utilized three Pareto front quality metrics: Inverted Generational Distance (IGD) for convergence quality, hypervolume (HV) for objective-space coverage, and spacing for solution distribution uniformity. The algorithms were tested on PV-ESS design problems in three developing economies (Nigeria, South Africa, India) under identical problem formulations and computational resources. NSGA-II achieved superior performance across all metrics in all three case studies. For convergence quality, NSGA-II attained a mean IGD of 0.0083, outperforming MOPSO by 29%, ε-constraint by 64%, and weighted-sum by 131%. For objective-space coverage, NSGA-II achieved a mean HV of 0. 700, representing 10–16% better coverage than other methods. For solution distribution, NSGA-II showed a mean spacing of 0.076, indicating 30–117% more uniform Pareto fronts. Computational efficiency analysis revealed that NSGA-II’s runtime is between 5.5 and 7.8 h per case, providing better quality–time ratios compared to ε-constraint methods (which are 18 times slower), while avoiding MOPSO’s premature convergence. Statistical validation confirmed NSGA-II’s superiority, with p < 0.01 across all quality metrics. These results establish NSGA-II as the best algorithm for lifecycle-aware PV-ESS optimization, offering quantitative, evidence-based guidance for practitioners selecting optimization tools for renewable energy system design. The demonstrated performance leads to $ 45,000–$ 60,000 lifecycle cost savings per MW/MWh of system capacity through improved Pareto front identification. Full article
(This article belongs to the Special Issue New Trends in Neural Networks and Artificial Intelligence)
Show Figures

Figure 1

Back to TopTop