Sign in to use this feature.

Years

Between: -

Subjects

remove_circle_outline
remove_circle_outline
remove_circle_outline
remove_circle_outline
remove_circle_outline
remove_circle_outline
remove_circle_outline
remove_circle_outline
remove_circle_outline

Journals

Article Types

Countries / Regions

Search Results (72)

Search Parameters:
Keywords = cosmological complexity

Order results
Result details
Results per page
Select all
Export citation of selected articles as:
22 pages, 3658 KB  
Article
Animal Symbolism and Sacred Landscape from the Goddess Temple at Niuheliang: The Bear, Eagle, and Owl in Perspective
by Qian Wang
Religions 2026, 17(3), 333; https://doi.org/10.3390/rel17030333 - 6 Mar 2026
Viewed by 285
Abstract
The Goddess Temple at Niuheliang, located in Chaoyang City, Liaoning Province, is the earliest known temple excavated in China, offering profound insights into Neolithic religious architecture. Built during the Neolithic era, this sacred site reflects a deliberate integration of geographical features and early [...] Read more.
The Goddess Temple at Niuheliang, located in Chaoyang City, Liaoning Province, is the earliest known temple excavated in China, offering profound insights into Neolithic religious architecture. Built during the Neolithic era, this sacred site reflects a deliberate integration of geographical features and early spiritual beliefs. The temple demonstrates a mythologically inspired architectural landscape, shaped by the local terrain and animal symbolism. Its design principles are evident in three main aspects. First, the alignment of the temple along the central axis of Niuheliang Mountain and its bird-shaped architecture—resembling an eagle and an owl—may embody the belief in sacred birds as intermediaries between humans and deities. Second, the goddess head within the temple mirrors the contours of Bear-Headed Mountain (Xiongshoushan 熊首山), suggesting a deliberate visual alignment between the goddess image and the form of the mountain. Third, the bear-shaped clay sculpture inside the temple conceptually links to Bear-Headed Mountain, potentially reflecting a widespread belief in the Celestial Bear (Tianxiong 天熊). This fusion of topography and myth exemplifies a distinctive approach to constructing sacred space in early Chinese religious culture, where the natural environment was not merely a backdrop but an active medium for expressing cosmological ideas. The Niuheliang Goddess Temple thus stands as a purposefully created mythological world, revealing the ancestors’ complex and sophisticated engagement with the natural landscape and spiritual beliefs. Full article
(This article belongs to the Special Issue Temple Art, Architecture and Theatre)
Show Figures

Figure 1

18 pages, 2458 KB  
Perspective
From Statistical Mechanics to Nonlinear Dynamics and into Complex Systems
by Alberto Robledo
Complexities 2026, 2(1), 3; https://doi.org/10.3390/complexities2010003 - 13 Feb 2026
Viewed by 422
Abstract
We detail a procedure to transform the current empirical stage in the study of complex systems into a predictive phenomenological one. Our approach starts with the statistical-mechanical Landau-Ginzburg equation for dissipative processes, such as kinetics of phase change. Then, it imposes discrete time [...] Read more.
We detail a procedure to transform the current empirical stage in the study of complex systems into a predictive phenomenological one. Our approach starts with the statistical-mechanical Landau-Ginzburg equation for dissipative processes, such as kinetics of phase change. Then, it imposes discrete time evolution to explicit back feeding, and adopts a power-law driving force to incorporate the onset of chaos, or, alternatively, criticality, the guiding principles of complexity. One obtains, in closed analytical form, a nonlinear renormalization-group (RG) fixed-point map descriptive of any of the three known (one-dimensional) transitions to or out of chaos. Furthermore, its Lyapunov function is shown to be the thermodynamic potential in q-statistics, because the regular or multifractal attractors at the transitions to chaos impose a severe impediment to access the system’s built-in configurations, leaving only a subset of vanishing measure available. To test the pertinence of our approach, we refer to the following complex systems issues: (i) Basic questions, such as demonstration of paradigms equivalence, illustration of self-organization, thermodynamic viewpoint of diversity, biological or other. (ii) Derivation of empirical laws, e.g., ranked data distributions (Zipf law), biological regularities (Kleiber law), river and cosmological structures (Hack law). (iii) Complex systems methods, for example, evolutionary game theory, self-similar networks, central-limit theorem questions. (iv) Condensed-matter physics complex problems (and their analogs in other disciplines), like, critical fluctuations (catastrophes), glass formation (traffic jams), localization transition (foraging, collective motion). Full article
Show Figures

Graphical abstract

22 pages, 31479 KB  
Article
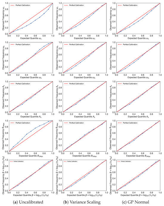
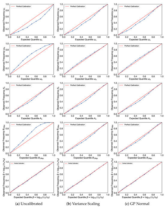
Bayesian Inference of Primordial Magnetic Field Parameters from CMB with Spherical Graph Neural Networks
by Juan Alejandro Pinto Castro, Héctor J. Hortúa, Jorge Enrique García-Farieta and Roger Anderson Hurtado
Universe 2026, 12(2), 34; https://doi.org/10.3390/universe12020034 - 26 Jan 2026
Viewed by 536
Abstract
Deep learning has emerged as a transformative methodology in modern cosmology, providing powerful tools to extract meaningful physical information from complex astronomical data. This paper implements a novel Bayesian graph deep learning framework for estimating key cosmological parameters in a primordial magnetic field [...] Read more.
Deep learning has emerged as a transformative methodology in modern cosmology, providing powerful tools to extract meaningful physical information from complex astronomical data. This paper implements a novel Bayesian graph deep learning framework for estimating key cosmological parameters in a primordial magnetic field (PMF) cosmology from simulated Cosmic Microwave Background (CMB) maps. Our methodology utilizes DeepSphere, a spherical convolutional neural network architecture specifically designed to respect the spherical geometry of CMB data through HEALPix pixelization. To advance beyond deterministic point estimates and enable robust uncertainty quantification, we integrate Bayesian Neural Networks (BNNs) into the framework, capturing aleatoric and epistemic uncertainties that reflect the model confidence in its predictions. The proposed approach demonstrates exceptional performance, achieving R2 scores exceeding 89% for the magnetic parameter estimation. We further obtain well-calibrated uncertainty estimates through post hoc training techniques including Variance Scaling and GPNormal. This integrated DeepSphere-BNNs framework delivers accurate parameter estimation from CMB maps with PMF contributions while providing reliable uncertainty quantification, enabling robust cosmological inference in the era of precision cosmology. Full article
(This article belongs to the Section Astroinformatics and Astrostatistics)
Show Figures

Figure 1

20 pages, 359 KB  
Article
The Spacetime Geodesy of Perfect Fluid Spheres
by Christopher Simmonds and Matt Visser
Symmetry 2025, 17(12), 2043; https://doi.org/10.3390/sym17122043 - 1 Dec 2025
Viewed by 594
Abstract
Herein we shall argue for the utility of “spacetime geodesy”, a point of view where one delays as long as possible worrying about dynamical equations, in favour of the maximal utilization of both symmetries and geometrical features. This closely parallels Weinberg’s distinction between [...] Read more.
Herein we shall argue for the utility of “spacetime geodesy”, a point of view where one delays as long as possible worrying about dynamical equations, in favour of the maximal utilization of both symmetries and geometrical features. This closely parallels Weinberg’s distinction between “cosmography” and “cosmology”, wherein maximal utilization of both the symmetries and geometrical features of Friedmann–Lemaître–Robertson–Walker (FLRW) spacetimes is emphasized. This “spacetime geodesy” point of view is particularly useful in those situations where, for one reason or another, the dynamical equations of motion are either uncertain or completely unknown. Several specific examples are discussed—we shall illustrate what can be done by considering the physics implications of demanding spatially isotropic Ricci tensors as a way of automatically implementing the (isotropic) perfect fluid condition, without committing to a specific equation of state. We also consider the structure of the Weyl tensor in spherical symmetry, with and without the (isotropic) perfect fluid condition, and relate this to the notion of “complexity”. In closing, we indicate some ways in which these considerations might be further generalized to more physically complicated (and technically very much more complicated) situations such as axisymmetric spacetimes. Full article
(This article belongs to the Section Physics)
14 pages, 347 KB  
Article
Dark Matter and Static, Spherically-Symmetric Solutions of the Extended Einstein Equations
by Chris Vuille and Andrei Ludu
Mod. Math. Phys. 2025, 1(3), 9; https://doi.org/10.3390/mmphys1030009 - 12 Nov 2025
Viewed by 698
Abstract
In this paper we present a brief review of extended general relativity in four dimensions and solve versions of the extended equations for the case of static spherical symmetry in various contexts, for a previously studied Lagrangian. The exterior vacuum yields a Schwarzschild [...] Read more.
In this paper we present a brief review of extended general relativity in four dimensions and solve versions of the extended equations for the case of static spherical symmetry in various contexts, for a previously studied Lagrangian. The exterior vacuum yields a Schwarzschild solution with an additional scalar field potential that falls off logarithmically, the latter essentially an inverse square force. That is probably not adequate as a dark matter force, but might contribute. When a constant density field of ions holds sway in the exterior, a solution identical to the cosmological constant extension of Schwarzschild occurs, together with a scalar field potential declining as r3/2, however it is not asymptotically flat. An inverse square declining distribution of ionic material, according to perturbation theory, results in an additional linear gravity potential that would provide further attraction in the gravity term. A limited exact solution in the same case yields a cubic equation with a Schwarzschild solution, corresponding to A=0, and two MOND-like possible potentials, one vanishing at infinity, but a better solution must be found. The approximate solution is complex (one of many) and the system requires further study. Ionic matter is ubiquitous in the universe and provides a source for the scalar field, which suggests that the extended Einstein equations could be of utility in the dark matter problem, provided such an electromagnetic scalar force could be found and differentiated from the usual, far stronger electromagnetic forces. Further, it’s possible that the strong photon flux outside stars might have an influence, and is under current investigation. These calculations show that extending the concept of curvature and working in four dimensions with larger operators may bring new tools to the study of physics and unified field theories. Full article
Show Figures

Figure 1

23 pages, 344 KB  
Article
Preventing Gang Violence Through Healing Circles: The Case of the Círculo de Hombres in San Diego
by Juvenal Caporale
Soc. Sci. 2025, 14(11), 655; https://doi.org/10.3390/socsci14110655 - 7 Nov 2025
Viewed by 1503
Abstract
The purpose of this essay is not only to examine how Chicano and Mexican men navigate and negotiate street gangs, the criminal justice system, and self-destructive behaviors that dehumanize them, but also how they rehumanize themselves through the development of culturally rooted consciousness [...] Read more.
The purpose of this essay is not only to examine how Chicano and Mexican men navigate and negotiate street gangs, the criminal justice system, and self-destructive behaviors that dehumanize them, but also how they rehumanize themselves through the development of culturally rooted consciousness based on Indigenous cosmologies and epistemologies. It examines how these marginalized men integrate a Maya–Nahua philosophical syncretism with restorative and transformative justice practices, rooted in dialogue, that emphasize ethnic identity and social justice. Specifically, this piece focuses on the processes of re-indigenization and re-humanization that these men embrace within community-based spaces. The aim of this inquiry is twofold: (1) to understand the curative and culturally rooted cosmologies and practices of community-based healing circles to prevent self-destructive behaviors and (2) to identify the complexities of re-humanization and Indigenous-based pedagogies as a liberatory praxis that resists the discourses and mechanisms of dehumanization. Using Freire’s liberatory praxis framework, supplemented with indigenous pedagogies and qualitative methods, I argue that their engagement in re-indigenization facilitates their conversions as they begin to see themselves as subjects, rather than objects, subjugated by the created apparatuses of power or knowledge. The Círculo de Hombres plays a pivotal role in transforming men’s lives as they learn to see themselves as creators of historical knowledge and change agents, possessing the ability to transform themselves and the world around them. Full article
(This article belongs to the Special Issue Preventing Gang Violence)
89 pages, 1746 KB  
Article
Quantum Field Theory of 3+1 Dimensional BTZ Gravity: Graviton Self-Energy, Axion Interactions, and Dark Matter in the Ultrahyperfunction Framework
by Hameeda Mir, Angelo Plastino, Behnam Pourhassan and Mario Carlos Rocca
Axioms 2025, 14(11), 810; https://doi.org/10.3390/axioms14110810 - 31 Oct 2025
Viewed by 1054
Abstract
We present a comprehensive quantum field theoretical analysis of graviton self-energy and mass generation in 3+1 dimensional BTZ black hole spacetime, incorporating axion interactions within the framework of dark matter theory. Using a novel mathematical approach based on ultrahyperfunctions, generalizations of Schwartz tempered [...] Read more.
We present a comprehensive quantum field theoretical analysis of graviton self-energy and mass generation in 3+1 dimensional BTZ black hole spacetime, incorporating axion interactions within the framework of dark matter theory. Using a novel mathematical approach based on ultrahyperfunctions, generalizations of Schwartz tempered distributions to the complex plane, we derive exact quantum relativistic expressions for graviton and axion self-energies without requiring ad hoc regularization procedures. Our approach extends the Gupta–Feynman quantization framework to BTZ gravity while introducing a new constraint that eliminates unitarity violations inherent in previous formulations, thereby avoiding the need for ghost fields. Through systematic application of generalized Feynman parameters, we evaluate both bradyonic and tachyonic graviton modes, revealing distinct quantum correction patterns that depend critically on momentum, energy, and mass parameters. Key findings include (1) natural graviton mass generation through cosmological constant interactions, yielding m2=2|Λ|/κ(1κ); (2) qualitatively different quantum behaviors between bradyonic and tachyonic modes, with bradyonic corrections reaching amplitudes 6 times larger than their tachyonic counterparts; (3) the discovery of momentum-dependent quantum dissipation effects that provide natural ultraviolet regulation; and (4) the first explicit analytical expressions and graphical representations for 17 distinct graviton self-energy contributions. The ultrahyperfunction formalism proves essential for handling the non-renormalizable nature of the theory, providing mathematically rigorous treatment of highly singular integrals while maintaining Lorentz invariance. Our results suggest observable consequences in gravitational wave propagation through frequency-dependent dispersive effects and modifications to black hole thermodynamics, potentially bridging theoretical quantum gravity with experimental constraints. Full article
Show Figures

Figure 1

7 pages, 1595 KB  
Proceeding Paper
Progress in GrAHal-CAPP/DMAG for Axion Dark Matter Search in the 1–3 μeV Range
by Pierre Pugnat, Rafik Ballou, Philippe Camus, Guillaume Donnier-Valentin, Thierry Grenet, Ohjoon Kwon, Jérôme Lacipière, Mickaël Pelloux, Rolf Pfister, Yannis K. Semertzidis, Arthur Talarmin, Jérémy Vessaire and SungWoo Youn
Phys. Sci. Forum 2025, 11(1), 3; https://doi.org/10.3390/psf2025011003 - 24 Oct 2025
Viewed by 677
Abstract
Two outstanding problems of particle physics and cosmology, namely the strong-CP problem and the nature of dark matter, can be solved with the discovery of a single new particle, the axion. The modular high magnetic field and flux hybrid magnet platform of LNCMI-Grenoble, [...] Read more.
Two outstanding problems of particle physics and cosmology, namely the strong-CP problem and the nature of dark matter, can be solved with the discovery of a single new particle, the axion. The modular high magnetic field and flux hybrid magnet platform of LNCMI-Grenoble, which was recently put in operation up to 42 T, offers unique opportunities for axion/axion-like particle search using Sikivie-type haloscopes. In this paper, the focus will be on the 350–600 MHz frequency range corresponding to the 1–3 μeV axion mass range requiring a large-bore RF-cavity. It will be built by DMAG and integrated within the large-bore superconducting hybrid magnet outsert, providing a central magnetic field up to 9 T in 812 mm warm bore diameter. The progress achieved by Néel Institute in the design of the complex cryostat with its double dilution refrigerators to cooldown below 50 mK the ultra-light Cu RF-cavity of 650 mm inner diameter and the first stage of the RF measurement chain are presented. Perspectives for the targeted sensitivity, assuming less than 2-year integration time, are recalled. Full article
(This article belongs to the Proceedings of The 19th Patras Workshop on Axions, WIMPs and WISPs)
Show Figures

Figure 1

44 pages, 3213 KB  
Systematic Review
A Systematic Literature Review of Machine Learning Techniques for Observational Constraints in Cosmology
by Luis Rojas, Sebastián Espinoza, Esteban González, Carlos Maldonado and Fei Luo
Galaxies 2025, 13(5), 114; https://doi.org/10.3390/galaxies13050114 - 9 Oct 2025
Viewed by 5110
Abstract
This paper presents a systematic literature review focusing on the application of machine learning techniques for deriving observational constraints in cosmology. The goal is to evaluate and synthesize existing research to identify effective methodologies, highlight gaps, and propose future research directions. Our review [...] Read more.
This paper presents a systematic literature review focusing on the application of machine learning techniques for deriving observational constraints in cosmology. The goal is to evaluate and synthesize existing research to identify effective methodologies, highlight gaps, and propose future research directions. Our review identifies several key findings: (1) Various machine learning techniques, including Bayesian neural networks, Gaussian processes, and deep learning models, have been applied to cosmological data analysis, improving parameter estimation and handling large datasets. However, models achieving significant computational speedups often exhibit worse confidence regions compared to traditional methods, emphasizing the need for future research to enhance both efficiency and measurement precision. (2) Traditional cosmological methods, such as those using Type Ia Supernovae, baryon acoustic oscillations, and cosmic microwave background data, remain fundamental, but most studies focus narrowly on specific datasets. We recommend broader dataset usage to fully validate alternative cosmological models. (3) The reviewed studies mainly address the H0 tension, leaving other cosmological challenges—such as the cosmological constant problem, warm dark matter, phantom dark energy, and others—unexplored. (4) Hybrid methodologies combining machine learning with Markov chain Monte Carlo offer promising results, particularly when machine learning techniques are used to solve differential equations, such as Einstein Boltzmann solvers, prior to Markov chain Monte Carlo models, accelerating computations while maintaining precision. (5) There is a significant need for standardized evaluation criteria and methodologies, as variability in training processes and experimental setups complicates result comparability and reproducibility. (6) Our findings confirm that deep learning models outperform traditional machine learning methods for complex, high-dimensional datasets, underscoring the importance of clear guidelines to determine when the added complexity of learning models is warranted. Full article
Show Figures

Figure 1

34 pages, 1446 KB  
Article
Information-Geometric Models in Data Analysis and Physics
by D. Bernal-Casas and José M. Oller
Mathematics 2025, 13(19), 3114; https://doi.org/10.3390/math13193114 - 29 Sep 2025
Cited by 1 | Viewed by 1804
Abstract
Information geometry provides a data-informed geometric lens for understanding data or physical systems, treating data or physical states as points on statistical manifolds endowed with information metrics, such as the Fisher information. Building on this foundation, we develop a robust mathematical framework for [...] Read more.
Information geometry provides a data-informed geometric lens for understanding data or physical systems, treating data or physical states as points on statistical manifolds endowed with information metrics, such as the Fisher information. Building on this foundation, we develop a robust mathematical framework for analyzing data residing on Riemannian manifolds, integrating geometric insights into information-theoretic principles to reveal how information is structured by curvature and nonlinear manifold geometry. Central to our approach are tools that respect intrinsic geometry: gradient flow lines, exponential and logarithmic maps, and kernel-based principal component analysis. These ingredients enable faithful, low-dimensional representations and insightful visualization of complex data, capturing both local and global relationships that are critical for interpreting physical phenomena, ranging from microscopic to cosmological scales. This framework may elucidate how information manifests in physical systems and how informational principles may constrain or shape dynamical laws. Ultimately, this could lead to groundbreaking discoveries and significant advancements that reshape our understanding of reality itself. Full article
Show Figures

Figure 1

18 pages, 1562 KB  
Article
Continuous Symmetry Breaking and Complexity of Biological Membranes
by Samo Kralj, Veronika Kralj-Iglič and Aleš Iglič
Crystals 2025, 15(8), 737; https://doi.org/10.3390/cryst15080737 - 20 Aug 2025
Cited by 1 | Viewed by 1157
Abstract
We consider domain-type patterns in biological membranes that possess an in-plane membrane order. Domains are inseparably linked to topological defects, and many features related to them can be guessed based on universal topological arguments. However, much more complex membrane patterns are typically observed. [...] Read more.
We consider domain-type patterns in biological membranes that possess an in-plane membrane order. Domains are inseparably linked to topological defects, and many features related to them can be guessed based on universal topological arguments. However, much more complex membrane patterns are typically observed. As possible generators of such configurations, we analyze two relatively simple and universal phenomena. Both are based on continuous symmetry breaking (CSB), which manifests ubiquitously in all branches of physics. We present the Imry–Ma argument which, in addition to CSB, requests the presence of uncorrelated random-field-type disorder. Next, we discuss the Kibble–Zurek mechanism. In addition to CSB it considers dynamical slowing when a relevant phase transition is approached. These approaches were originally introduced in magnetism and cosmology, respectively. We adapt them to effectively two-dimensional membranes and discuss their potential role in membrane structure formation. Full article
Show Figures

Figure 1

17 pages, 331 KB  
Article
Extensive and Intensive Aspects of Astrophysical Systems and Fine-Tuning
by Meir Shimon
Universe 2025, 11(8), 269; https://doi.org/10.3390/universe11080269 - 15 Aug 2025
Viewed by 837
Abstract
Most astrophysical systems (except for very compact objects such as, e.g., black holes and neutron stars) in our Universe are characterized by shallow gravitational potentials, with dimensionless compactness |Φ|rs/R1, where rs and [...] Read more.
Most astrophysical systems (except for very compact objects such as, e.g., black holes and neutron stars) in our Universe are characterized by shallow gravitational potentials, with dimensionless compactness |Φ|rs/R1, where rs and R are their Schwarzschild radius and typical size, respectively. While the existence and characteristic scales of such virialized systems depend on gravity, we demonstrate that the value of |Φ|—and thus the non-relativistic nature of most astrophysical objects—arises from microphysical parameters, specifically the fine structure constant and the electron-to-proton mass ratio, and is fundamentally independent of the gravitational constant, G. In fact, the (generally extensive) gravitational potential becomes ‘locally’ intensive at the system boundary; the compactness parameter corresponds to the binding energy (or degeneracy energy, in the case of quantum degeneracy pressure-supported systems) per proton, representing the amount of work that needs to be done in order to allow proton extraction from the system. More generally, extensive properties of gravitating systems depend on G, whereas intensive properties do not. It then follows that peak rms values of large-scale astrophysical velocities and escape velocities associated with naturally formed astrophysical systems are determined by electromagnetic and atomic physics, not by gravitation, and that the compactness, |Φ|, is always set by microphysical scales—even for the most compact objects, such as neutron stars, where |Φ| is determined by quantities like the pion-to-proton mass ratio. This observation, largely overlooked in the literature, explains why the Universe is not dominated by relativistic, compact objects and connects the relatively low entropy of the observable Universe to underlying basic microphysics. Our results emphasize the central but underappreciated role played by dimensionless microphysical constants in shaping the macroscopic gravitational landscape of the Universe. In particular, we clarify that this independence of the compactness, |Φ|, from G applies specifically to entire, virialized, or degeneracy pressure-supported systems, naturally formed astrophysical systems—such as stars, galaxies, and planets—that have reached equilibrium between self-gravity and microphysical processes. In contrast, arbitrary subsystems (e.g., a piece cut from a planet) do not exhibit this property; well within/outside the gravitating object, the rms velocity is suppressed and G reappears. Finally, we point out that a clear distinction between intensive and extensive astrophysical/cosmological properties could potentially shed new light on the mass hierarchy and the cosmological constant problems; both may be related to the large complexity of our Universe. Full article
(This article belongs to the Section Gravitation)
29 pages, 430 KB  
Article
Advanced Manifold–Metric Pairs
by Pierros Ntelis
Mathematics 2025, 13(15), 2510; https://doi.org/10.3390/math13152510 - 4 Aug 2025
Cited by 1 | Viewed by 1032
Abstract
This article presents a novel mathematical formalism for advanced manifold–metric pairs, enhancing the frameworks of geometry and topology. We construct various D-dimensional manifolds and their associated metric spaces using functional methods, with a focus on integrating concepts from mathematical physics, field theory, topology, [...] Read more.
This article presents a novel mathematical formalism for advanced manifold–metric pairs, enhancing the frameworks of geometry and topology. We construct various D-dimensional manifolds and their associated metric spaces using functional methods, with a focus on integrating concepts from mathematical physics, field theory, topology, algebra, probability, and statistics. Our methodology employs rigorous mathematical construction proofs and logical foundations to develop generalized manifold–metric pairs, including homogeneous and isotropic expanding manifolds, as well as probabilistic and entropic variants. Key results include the establishment of metrizability for topological manifolds via the Urysohn Metrization Theorem, the formulation of higher-rank tensor metrics, and the exploration of complex and quaternionic codomains with applications to cosmological models like the expanding spacetime. By combining spacetime generalized sets with information-theoretic and probabilistic approaches, we achieve a unified framework that advances the understanding of manifold–metric interactions and their physical implications. Full article
13 pages, 243 KB  
Article
Complex Riemannian Spacetime and Singularity-Free Black Holes and Cosmology
by John W. Moffat
Axioms 2025, 14(6), 459; https://doi.org/10.3390/axioms14060459 - 12 Jun 2025
Cited by 1 | Viewed by 1855
Abstract
An approach is presented to address singularities in general relativity using a complex Riemannian spacetime extension. We demonstrate how this method can be applied to both black hole and cosmological singularities, specifically focusing on the Schwarzschild and Kerr black holes and the Friedmann–Lemaître–Robertson–Walker [...] Read more.
An approach is presented to address singularities in general relativity using a complex Riemannian spacetime extension. We demonstrate how this method can be applied to both black hole and cosmological singularities, specifically focusing on the Schwarzschild and Kerr black holes and the Friedmann–Lemaître–Robertson–Walker (FLRW) Big Bang cosmology. By extending the relevant coordinates into the complex plane and carefully choosing integration contours, we show that it is possible to regularize these singularities, resulting in physically meaningful, singularity-free solutions when projected back onto real spacetime. The removal of the singularity at the Big Bang allows for a bounce cosmology. The approach offers a potential bridge between classical general relativity and quantum gravity effects, suggesting a way to resolve longstanding issues in gravitational physics without requiring a full theory of quantum gravity. Full article
(This article belongs to the Special Issue Complex Variables in Quantum Gravity)
Show Figures

Figure 1

50 pages, 10864 KB  
Review
Galaxy Superclusters and Their Complexes in the Cosmic Web
by Maret Einasto
Universe 2025, 11(6), 167; https://doi.org/10.3390/universe11060167 - 24 May 2025
Cited by 5 | Viewed by 5168
Abstract
The richest and largest structures in the cosmic web are galaxy superclusters, their complexes (associations of several almost connected very rich superclusters), and planes. Superclusters represent a special environment where the evolution of galaxies and galaxy groups and clusters differs from the evolution [...] Read more.
The richest and largest structures in the cosmic web are galaxy superclusters, their complexes (associations of several almost connected very rich superclusters), and planes. Superclusters represent a special environment where the evolution of galaxies and galaxy groups and clusters differs from the evolution of these systems in a low-density environment. The richest galaxy clusters reside in superclusters. The richest superclusters in the nearby Universe form a quasiregular pattern with the characteristic distance between superclusters 120–140 h−1 Mpc. Moreover, superclusters in the nearby Universe lie in two huge perpendicular planes with the extent of several hundreds of megaparsecs, the Local Supercluster plane and the Dominant supercluster plane. The origin of these patterns in the supercluster distribution is not yet clear, and it is an open question whether the presence of such structures can be explained within the ΛCDM cosmological model. This review presents a brief story of superclusters, their discovery, definitions, main properties, and large-scale distribution. Full article
(This article belongs to the Section Cosmology)
Show Figures

Figure 1

Back to TopTop