Next Article in Journal
Evaluation of Corrosion Behavior of Zn–Al–Mg-Coated Steel in Corrosive Heterogeneous Soil
Previous Article in Journal
Field-Effect Crystal Engineering in Proton–π-Electron Correlated Systems
 
 
Font Type:
Arial Georgia Verdana
Font Size:
Aa Aa Aa
Line Spacing:
Column Width:
Background:
Article

Continuous Symmetry Breaking and Complexity of Biological Membranes

1
Department of Physics, Faculty of Natural Sciences and Mathematics, University of Maribor, 2000 Maribor, Slovenia
2
Condensed Matter Physics Department, Jožef Stefan Institute, 1000 Ljubljana, Slovenia
3
Jožef Stefan International Postgraduate School, 1000 Ljubljana, Slovenia
4
Laboratory of Clinical Biophysics, Faculty of Health Sciences, University of Ljubljana, 1000 Ljubljana, Slovenia
5
Laboratory of Physics, Faculty of Electrical Engineering, University of Ljubljana, 1000 Ljubljana, Slovenia
*
Author to whom correspondence should be addressed.
Crystals 2025, 15(8), 737; https://doi.org/10.3390/cryst15080737
Submission received: 18 July 2025 / Revised: 16 August 2025 / Accepted: 18 August 2025 / Published: 20 August 2025

Abstract

We consider domain-type patterns in biological membranes that possess an in-plane membrane order. Domains are inseparably linked to topological defects, and many features related to them can be guessed based on universal topological arguments. However, much more complex membrane patterns are typically observed. As possible generators of such configurations, we analyze two relatively simple and universal phenomena. Both are based on continuous symmetry breaking (CSB), which manifests ubiquitously in all branches of physics. We present the Imry–Ma argument which, in addition to CSB, requests the presence of uncorrelated random-field-type disorder. Next, we discuss the Kibble–Zurek mechanism. In addition to CSB it considers dynamical slowing when a relevant phase transition is approached. These approaches were originally introduced in magnetism and cosmology, respectively. We adapt them to effectively two-dimensional membranes and discuss their potential role in membrane structure formation.

1. Introduction

Biological membranes represent a key component of biological cells or vesicles [1]. They are typical adaptive soft-matter complex-system representatives and play an important role in diverse biological processes. Their most basic function is to separate the interior of a biological cell from its surroundings. Evolution has equipped them with adaptivity, complex feedback loops, extreme sensing capabilities, and reconfigurability triggered by relatively weak stimuli under special conditions. They also enable the selective transfer of specific material involved in nutrient–waste–information exchange processes. Despite the rich diversity and complexity of their behaviors, several key membrane properties can be inferred using relatively simple approaches [1].
Biological membranes typically consist of lipid molecules organized in a molecular bilayer [1]. Their thickness (a few nm) is several orders of magnitude smaller than the lateral dimension of the cell or vesicle. Membranes in general host diverse other components, e.g., carbohydrates and proteins. However, several emergent behaviors of such complexes can be modeled using relatively simple mesoscopic-scale approaches. At the simplest level they are described as curved two-dimensional (2D) manifolds [2,3,4,5,6,7,8,9] possessing some kind of in-plane order [10,11,12]. This is at the mesoscopic level commonly referred to as the p-atic order, where p fingerprints the mesoscopic-scale symmetry. The corresponding local order is invariant under local rotation for the angle 2π/p. For instance, cases p = 1 and p = 2 correspond to polar and axial (nematic) orders. Geometry and topology often play important roles [13,14,15,16,17,18,19,20,21,22] and are the origins of universal behaviors, which are independent of membranes’ microscopic details. Ordering fields commonly appear via symmetry-breaking phase transitions when a relevant control parameter (i.e., temperature, concentration, applied mechanical stress, etc.) is varied [6,20]. Note that symmetry breaking [23] is perhaps the most important single mechanism (e.g., the standard model of particle physics and forces is based on it [24,25,26]) creating diverse patterns in nature in general. Continuous symmetry breaking (CSB) transitions [27,28] are ubiquitous in nature, equipping systems with extreme sensitivity [28] and the presence of localized distortions in order—topological defects (TDs) [28,29,30,31].
In this contribution we focus on universal mechanisms that might impact membranes’ behaviors. Universalities, which are independent of system details, enable efficient transfer of knowledge among different areas of physics [23,27]. We exploit this phenomenon to suggest how several complex patterns in biological membranes could emerge, where the original knowledge was gained in other branches of physics. Furthermore, we illustrate how other branches of science benefited from the knowledge gained by studying membranes.
Of our interest are the domain-type patterns observed in membranes. We use domain to refer to a region within a system where the relevant order parameter is essentially uniformly ordered (i.e., bulk-like equilibrium configuration for a more general case), distinguishing it from neighboring regions. There are two universal domain generators that are commonly observed in diverse systems, yielding domain patterns characterized well by a single characteristic size, ξ d . Firstly, we consider the Imry–Ma (IM) theorem [32], one of the cornerstones of the statistical physics of disorder, and apply it to membranes. Systems reached via CSB are extremely susceptible to different perturbations because they can excite energetically costless Goldstone modes [23]. For example, a Goldstone mode refers to a rigid rotation of a system that exhibits in equilibrium a spatially homogeneous order along a single symmetry-breaking direction. If a kind of random-field-type disorder is also present, which is often the case in real configurations, it could trigger a qualitative change in macroscopic behavior. According to the Imry–Ma theorem, even an infinitesimally weak random-field-type disorder could destroy the equilibrium long-range order of the nonperturbed system. The resulting order is short-ranged, consisting of domains whose characteristic linear size scales as follows [32].
ξ d ( I M ) w 2 4 d
Here w measures the disorder strength and d stands for the spatial dimension. Later studies revealed that, in general, a quasi long-range order [33,34,35,36,37] or even a long-range order [35,37,38] could emerge in the weak disorder limit. Therefore, in general, Equation (1) should be trusted for large enough values of w.
The next ubiquitous mechanisms generating domain-type patterns in systems reached via fast enough CSB phase transitions are the Kibble [39] and Kibble–Zurek (KZ) [27] mechanisms. The Kibble mechanism was originally proposed to explain coarsening dynamics in the early universe [39]. It claims that in a fast enough phase transition, well-separated regions do not have enough time to exchange information about their local order. Therefore, the symmetry-breaking choice in them is not correlated. As a result, a domain-type pattern characterized (Figure 1a) well by a single characteristic size, ξ d , is formed [27,39].
This pattern commonly changes with time because domain walls are energetically costly. In pure systems (i.e., in the absence of impurities) the scaling law [40,41,42,43] ξ d t γ is obeyed. Here γ stands for the dynamic scaling coefficient. The initial size ξ d ( K Z ) of domains following a second-order phase transition, the so-called protodomains [27], is determined by the KZ mechanism. It assumes that as the system nears the critical point of the transition, relaxation times diverge due to the critical slowing-down. Consequently, the system “freezes” and falls out of equilibrium. This results in domains of ordered phases whose characteristic length scaling with respect to the quench rate r Q is given by the following [27].
ξ p r Q v / ( 1 + η )
Here v and η are the critical coefficients of the second-order phase transition. This behavior has so far been experimentally confirmed (indirectly by measuring the density of topological defects) in diverse qualitatively different condensed-matter systems (e.g., in He4 [44], superconductors [45], and ferroic perovskite materials [46]).
The plan of this paper is as follows. We first address the equilibrium behavior in 2D p-atic manifolds, focusing on the patterns of topological defects. Next, we consider the CSB and history-dependent phenomena in membranes. We conclude by summarizing our analysis.

2. Methods

In the following, for the sake of easier visualization of phenomena, we limit the analysis to systems characterized by p = 1 (polar) or p = 2 (nematic) membrane in-plane fields. For instance, nematic order might be due to two flexible hydrocarbon chains of lipids [47] or it can effectively emerge owing to anisotropic Band 3 proteins embedded within membranes [16,48,49,50]. Furthermore, the tails (Figure 2) of lipid molecules may tilt relative to the membrane local surface normal, yielding effectively p = 1 local in-plane order. The latter might also result in hexatic orientational ordering [5,7,51,52].
We first consider equilibrium assemblies of TDs in ordering fields on curved 2D manifolds. We demonstrate how topology dictates their number and impacts the typical distance among nearby TDs. We illustrate how localized curved regions exhibiting so-called intrinsic and extrinsic curvatures attract or repel TDs.
Membranes possessing in-plane order in general possess topological defects [29]. They commonly refer to singular distortions in the field hosting TDs that are topologically protected [30]. Their local properties are fingerprinted by topological charges [30], which are topological invariants and, consequently, conserved quantities. In 2D manifolds the topological charge is equivalent to the winding number m [31] or index introduced by Poincar e ´ [53]. It determines the total rotation of the field on a path circumventing the defect counterclockwise (Figure 3). Defects bearing positive and negative values of m are dubbed defects and antidefects, respectively. In common situations a pair {m,−m} tends to annihilate into a defectless state because TDs are energetically costly [28]. Indeed, domain growth following fast enough phase transitions is enabled by mutual annihilation of defects and antidefects [40,41,42,43]. Furthermore, systems favor locally exhibiting TDs bearing a minimal possible value [28,54] of m, which we refer to as the elementary charge m0. The latter value depends on the symmetry of the field [28] (i.e., m 0 = 1 /p).
Curvature might stabilize TDs even in equilibrium configurations [55]. This is manifested by the Gauss–Bonnet (Equation (3)) and Poincar e ´ –Hopf (Equation (4)) theorems [56,57], which determine the total winding number m t o t within a closed surface hosting TDs:
1 2 π K g d 2 r = χ ,  
χ = m t o t ,
where the integration is performed over the surface that is characterized locally by the Gaussian curvature K g and globally by the Euler characteristic χ = 2 ( 1 g ) . Here g, the so-called genus, counts the number of holes within the surface. For example, for a sphere and p = 1, it holds that {g, m t o t , N t o t } = {0, 2,2 } as illustrated in Figure 1b. The number N t o t = m t o t / m 0 counts the minimal number of TDs bearing elementary charges. In the case shown there are two m = 1 point defects at the poles. Note that the conservation of topological charge also allows more TDs. However, the total topological charge of the system should equal m t o t .
These theorems could be derived using the universal parallel transport concept [15,58,59,60,61]. Among others, the general relativistic theory was constructed using this approach. For example, a vector field confined within a 2D manifold is parallel-transported along a curve whenever it is rigidly conveyed in a frame that displays the least motion capable of accompanying the changes in the local unit normal (see Figure 4).
The angle mismatch Δ ϑ between any vector and its image in parallel transport along a closed loop [61] depends on the Gaussian curvature of the enclosed surface patch:
Δ ϑ = K g d 2 r
Therefore, a finite Gaussian curvature of the enclosed region introduces frustration (Figure 4b), which could be resolved by introducing TDs (e.g., the upper part of the sphere in Figure 1b). Indeed, curvature-driven frustration is analogous to the classical antiferromagnetically coupled Ising spins on a triangular lattice, where all the interaction tendencies cannot be simultaneously realized (Figure 4c) [15].
Furthermore, a differential form of Gauss–Bonnet and Poincar e ´ –Hopf implies the following [62].
1 2 π A K g d 2 r ~ 1 2 π K ¯ g A ~ m
Here K ¯ g yields the representative value of K g within surface patch A , and m estimates the total charge within this area. This relation reveals a local attraction or repulsion of TDs toward a curved region [10,63]. It suggests that surface patches exhibiting K g > 0 and K g < 0 attract TDs bearing m > 0 and m < 0. This effect is termed the Effective Topological Charge Cancelation (ETCC) mechanism [62]. According to it one can assign to each surface patch A characterized by K ¯ g a hypothetical smeared curvature topological charge m c and effective topological charge  m e f f , which is the sum of the hypothetical smeared and real charge within A :
m c = 1 2 π A K g d 2 r ~ 1 2 π K ¯ g A ,
m e f f = m c + m .
There is a tendency to make such regions topologically neutral, i.e., m e f f A ~ 0 . Note that this is a local tendency that is strictly fulfilled only for closed surfaces.
The predicting power of the concept can be well illustrated for 2D torus-shaped manifolds characterized by g = 1. According to Equation (3) the total charge of the system equals zero. Therefore, for common torus geometries one does not expect TDs to be present. However, the torus outer and inner regions exhibit K g = K g ( o u t ) > 0 and K g = K g ( i n ) < 0 , respectively. Furthermore, these regions in exhibit in total [64] m c ( o u t ) = 2 and m c ( i n ) = 2 , where m c ( o u t ) and m c ( i n ) refer to the total integrated smeared charge in respective regions. Therefore, tori without TDs are topologically charged. To achieve topological neutrality, pairs of TDs { m 0 , m 0 } should be formed where TDs bearing m 0 > 0 and m 0 assemble at the outer and inner torus regions. This can be achieved in relatively “fat” tori, where the inner torus curvature is high enough to nucleate {defect,antidefect} pairs as illustrated numerically for tori hosting hexatic [10] and nematic [64] fields. In these examples in total 24 and 8 TDs could be formed, because m 0 [ h e x a t i c ] = ± 1 / 6 and m 0 [ n e m a t i c ] = ± 1 / 2 .
The ETCC mechanism [62] describes only the impact of so-called intrinsic curvature [57]. However, if the principal curvatures of a 2D manifold are locally different, an extrinsic curvature is also present [65,66]. The assembling tendencies of these two curvatures on TDs could in general be different, as described in detail in [20,65,66]. Note that in classical XY-type models [6,10,55,63], the impact of extrinsic curvature in pioneering studies has typically been neglected.
To illustrate the qualitatively different impacts of these qualitatively different curvatures, we consider a vector unit field n ^ within a 2D manifold, which we parametrize as
n ^ = cos θ   e ^ 1 + sin θ   e ^ 2 .
Here ( e ^ 1 ,   e ^ 2 ) correspond to principal curvature directions, characterized by curvatures σ 1 , σ 2 . Let us assume that in the absence of curvature the field tends to be spatially homogenous, which we impose with an elastic free energy penalty, f e = K 2 s n ^ 2 , where s marks the surface gradient operator [20]. For a general curved manifold, the following holds [20].
f e = K 2 s θ + A 2 + K 2 n ^ . C _ 2 n ^ .
Here A = κ 1   e ^ 1 + κ 2   e ^ 2 , κ i is the geodesic curvature along the i-th direction ( i = { 1,2 } ), and C _ = σ 1   e ^ 1 e ^ 1 +   σ 2   e ^ 2 e ^ 2 stands for the curvature tensor. Note that the vector field A is related to the local Gaussian curvature: it holds that curl A = K g v ^ , where K g = σ 1 σ 2 and v ^ = e ^ 1 × e ^ 2 . The 1st and 2nd terms in Equation (8) represent the intrinsic and extrinsic curvature contributions, respectively. To minimize the 1st term, one requires s θ = A . Applying the curl operation to the latter expression obtains a contradiction: c u r l ( s θ ) = 0 , while c u r l A = K g is in general different from zero in curved manifolds. This contradiction could be resolved by introducing TDs. The 2nd term, which one can express as K 2 n ^ . C _ 2 n ^ = K 2 σ 1   cos 2 θ + σ 2   sin 2 θ , is minimized if n ^ is aligned along the direction exhibiting lower principal curvature. The latter term tends to expel TDs [65,66]. Note that the role of the extrinsic term was investigated several decades ago [17,67,68] in studies of membrane structures and was termed deviatoric curvature.

3. Results

Based on topological and geometrical arguments, we can predict the typical lengths characterizing structural details, i.e., the average separation between TDs, which depends on the representative membrane’s geometric size. However, much more complex patterns typically appear in membranes [69]. For this purpose, we present two universal mechanisms that are expected to be present in membranes and could introduce additional typical length scales that depend on disorder within systems and the kinetic path via which the membrane order was formed. With this aim, we present (i) the Imry–Ma argument [32], suggesting the impact of static inherent disorder within membrane ordering, and (ii) the Kibble–Zurek mechanism [27], describing how different phase transition kinetics could influence the structural characteristics.
Below we present two domain-generating mechanisms that are ubiquitous in nature and are both based on CSB. We consider first the IM theorem and next the KZ mechanism, and we adapt both to 2D manifolds, which effectively mimic membranes. We illustrate how they introduce additional length scales into systems.

3.1. Disorder-Enforced Characteristic Size

In the presence of some kind of random-field-type disorder, an additional system’s characteristic length might emerge whose size is estimated by Equation (1) and depends on the disorder strength w. In effectively 2D systems it holds that ξ d ( I M ) w 1 . In the following we adopt the Imry–Ma-type approach to membranes to infer which quantities affect the value of w.
We use a minimal model to emphasize key generic mechanisms. We assume that disorder is present within membranes, introduced by impurities (e.g., introduced by anisotropic membrane inclusions, such as prominin or BAR family proteins [1]). Furthermore, we describe the local orientational order of a membrane by the unit vector n ^ . The key free energy F contributions of the system are expressed as
F = f e + f i δ r r i d 2 r
Here f e and f i stand for the elastic and interfacial free energy density contributions, respectively. The elastic free energy favors a homogeneous orientational order and is modeled as [37]
f e ~ K 2 n ^ 2
Here we neglect the elastic anisotropy of the system, and K > 0 stands for the representative elastic constant. The second term in Equation (11) mimics the impact of impurities on the membrane ordering. Spatial vectors r i locate the membrane constituent–impurity interfaces at which f i imposes local orientational order favored by impurities. We assume that the latter exhibits approximately random variations within the membrane. We also set that impurities (which are roughly identical) are approximately randomly distributed within the system (i.e., they do not form aggregates). We introduce the surface concentration of impurities as
ϕ = N i a i A
Here N i stands for the number of impurities, whose surface area is estimated by a i , and A determines the total membrane area.
We express the local interfacial interactions f i ( p ) of a p-atic field, which favors ordering along a local orientation, e ^ , as [37]
f i ( 1 ) = W 2 e ^ · n ^ = W 2 cos θ ,
f i ( 2 ) = W 1 2 e ^ · n ^ 2 = W 2 cos 2 θ
Here θ stands for the angle between e ^ and n ^ , and W > 0 measures the local membrane–impurity coupling strength. For simplicity we assume that W is spatially constant. Such a system exhibits frustrations for finite values of W. The elastic term is minimized for a homogeneous orientational order along a symmetry-breaking direction, which is in general incompatible with local f i ( p ) interfacial preferences. On the other hand, if all the interfacial interactions are simultaneously minimized, then the elastic penalty arises.
In the spirit of the IM approach, we assume that a domain-type pattern is established, characterized by the characteristic domain size ξ d ( I M ) . We approximate the average elastic penalty as f ¯ e ~ K 2 ξ d ( I M ) 2 and the interfacial contribution by f i δ r r i d 2 r ~ N i l i f i ¯ ~ N i l i W 2 c o s ( p θ ) ¯ . Here ( ) ¯ marks the spatial average and l i is the circumference of a representative impurity of surface area a i . It follows that
F A ~ K 2 ξ d ( I M ) 2 ϕ l i 2 a i W cos p θ ¯
Furthermore, c o s ( p θ ) ¯ tends to zero in large enough clusters of area ξ d ( I M ) 2 . According to the central limit theorem, it holds that cos p θ ¯ ~ 1 N , where N ~ ξ d ( I M ) 2 ξ r 2 estimates the number of random reorientations within the average domain surface area, and ξ r stands for the average shortest separation between nearby impurities; see Figure 5. The latter depends on ϕ .
The ξ r ( ϕ ) dependence can be expressed using Equations (14) and (15), imposing that one impurity is present in the area ξ r 2 . It follows that
ξ r ~ a i ϕ .
We determine the equilibrium value of ξ d ( I M ) from the “compromise” condition F = 0 (see Equation (16)), yielding
ξ d ( I M ) ~ d e a i ϕ   l i ξ r ~ a i ϕ d e l i
Here d e = K / W is commonly referred to as the surface extrapolation length [28], and the effective disorder strength in Equation (1) is roughly estimated by
w ~ W ϕ a i l i K .

3.2. Dynamically Imposed Characteristic Size

Kinetics could also play an important role in forming length scales characterizing membrane patterns. One of the ubiquitous universal mechanisms is described by the KZ mechanism [27]. We first present a simple derivation yielding its key scaling prediction given by Equation (2), adapting it to a membrane-like system.
The classical KZ mechanism considers the formation of protodomains in temperature-driven second-order phase transition. The typical domain pattern p = 1 orientational order established after the transition is depicted in Figure 1a. The temperature–time dependence on crossing the phase transition temperature T c is approximated by
r T T c T c ~ t / τ Q
where r stands for the reduced temperature and τ Q is the characteristic quench time (i.e., the time needed to reach the temperature difference T = T c ). The corresponding quench rate is given by
r Q d T d t ~ T c τ Q .
Therefore, at t=0 the phase transition is crossed. The key quantities determining the order parameter’s response to weak perturbations are the order parameter relaxation time τ and relaxation length ξ . Near a second-order phase transition, they exhibit power low-temperature behavior [23,27]:
τ ~ τ 0 r η , ξ ~ ξ 0 r v ,
where { η , v } are the scaling coefficients and { τ 0 , ξ 0 } approximate responses deep in the condensed phase. In deriving Equation (19) one assumes an elastically isotropic medium.
The principal aspect of the KZ mechanism is that on approaching T c , with a decrease in temperature, the size of fluctuation-generated regions exhibiting a finite degree of order grows, and their dynamics progressively slow down, which is approximately described by Equation (22) for τ . Zurek introduced the so-called Zurek time t z via the condition [27]
t z + ~ τ ( + ) .
where the superscript (+) labels the realm above T c . Here t z + roughly separates (i) the adiabatic ( t > t z ) and (ii) impulse  t < t z regimes in which qualitatively different behavior is observed. In the adiabatic regime the order parameter response is fast enough that the system remains in (quasi) equilibrium while the temperature is varied. On the other hand, in the impulse regime the response of the system is frozen in time due to critical slowing-down ( τ diverges at T c ). Considering Equations (22) and (23) it follows that
t z + ~ τ 0 τ Q η 1 / ( 1 + η ) , ξ z ( + ) ~ ξ 0 ( τ Q / τ 0 ) v / ( 1 + η ) ,
where ξ z ( + ) = ξ ( t z + ) . Note that the clusters, the size of which is determined by the characteristic linear length ξ z ( + ) , correspond to regions where the order of the anticipated low-temperature phase is nucleated. If the system remains at the corresponding temperature (determined by Equation (23)), these clusters will gradually vanish because isotropic order is favored at T > T c . However, on crossing T c , order becomes favored. According to the original derivation, when the condition t z ~ τ ( ) is fulfilled, the system unfreezes, and the length ξ z ( ) ~ ξ z ( + ) estimates the size of unfrozen clusters with a finite degree of order; such clusters are then favored, and they tend to grow. Here the superscript (−) refers to the temperature region below T c .
Therefore, the linear size ξ p of initially formed domains, dubbed protodomains [27], is estimated by
ξ p ~ ξ 0 ( τ Q / τ 0 ) v / ( 1 + η )
In the mean field limit, it holds [23,43] that η = 1 and v = 1 / 2 , and it follows that
t z = t z ( ) ~ t z ( + ) ~ τ 0 τ Q ,   ξ p ξ 0 ( τ Q / τ 0 ) 1 / 4
Note that the behavior below T c could be significantly different and, hence, Equation (22) can be trusted only above the transition. Below T c a domain-type pattern is formed where the orientational distribution of average domain orientations should be isotropic. Therefore, one expects that the effective symmetry is conserved across the early stage of the phase transition, as has already been reported in [70]. The resulting configuration could display glass-like behavior with significantly slower dynamics. Therefore, the estimate given by Equation (26) is only a rough approximation; however, it reveals that the characteristic length below T c depends on the quench rate, i.e., is governed by the kinetic path of the process. Furthermore, we believe that conditions at t z ( + ) dominantly influence the observed scaling behavior because at t z ( ) the glassy-type behavior is not adequately determined by Equation (22). Therefore, we believe that ξ z ( + ) dominantly determines the scaling behavior of protodomains, where ξ p ξ z ( + ) . The realized value of domains, i.e., ξ d (where ξ d ξ p ) , then depends on the impact of disorder within a membrane.
Note that the proximity of phase transition in biological membranes seems to be evolutionarily favored. It introduces into systems relatively strong responsivity to even weak stimuli. For example, recent studies suggest that information propagation along nerves is at the fundamental level of mechanical origin [71]. It is believed that generated mechanical pulses trigger local phase transformation in the membrane’s order, enabling the observed electrical response, which was previously expected to play the primary role. For example, for τ 0 ~ 1 0 6   s , at T c ~ 300   K (i.e., room temperatures) one would obtain ξ p ~ 0.1   μ m for quench rates r Q ~ 1   K / s (according to Equations (21) and (26)), which is reasonable [28].
Furthermore, the KZ mechanism is derived for second-order phase transitions. Such transitions are more ubiquitous in 2D than in 3D. For illustration let us consider isotropic–nematic phase transition [28], which in 3D bulk is commonly modeled by the tensor order parameter Q _ . For uniaxial states it is commonly parametrized as [28]
Q _ = s ( n ^ n ^ I _ / 3 )
where s is the scalar uniaxial order parameter and I _ is the unit tensor. Note that it holds that T r Q _ = 0 because Q _ is defined in a way to quantify deviations [28] from spherical symmetry. Furthermore, s > 0 and s < 0 are physically distinct states [72] that are presented as prolate and oblate mesoscopic molecular shapes. Consequently, in the standard Landau–de Gennes description [28], the condensation free energy f c term includes the cubic term in the order parameter expansion. Up to the fourth-order term, it is commonly expressed as
f c = a 0 ( T T * )   T r Q _ 2 b   T r Q _ 3 + c   T r Q _ 2 2 ,
where { a 0 ,b,c} are positive phenomenological material constants and T * labels the isotropic phase supercooling temperature. Due to the cubic term, the isotropic–nematic phase transition is always discontinuous in materials characterized by b 0 . However, in 2D nematic LCs the order parameter could be parametrized as [20]
Q _ = s ( n ^ n ^ I _ 2 / 2 )
where I _ ( 2 ) is the two-dimensional identity tensor (i.e., T r I _ ( 2 ) = 2 ). Consequently, T r Q _ 3 = 0 , and if the material constant c > 0, then the isotropic–nematic transition attains a second-order character [73].
Note that even for first-order phase transitions, the estimates from Equations (22) and (23) are reasonable for fast enough phase transition. For illustration let us consider again nematic–isotropic phase transition, where the condensation free energy is given by Equation (25). To adapt the KZ mechanism to this case, we express the reduced temperature as
r T T * T * ~ t τ Q ,
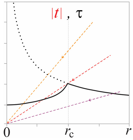
and Equation (22) then well describes the system’s responses, provided that T > T c . Note that in this case, we have r Q ~ T * τ Q . Therefore, if the Zurek condition given by Equation (20) is realized in the latter regime (see the τ ( + ) branch in Figure 6 and the corresponding behavior shown in Figure 7, where the relevant t(r) dependence is marked with the violet dashed line), the estimate given by Equation (28) is sensible.
The critical value of τ Q , below which the KZ derivation is sensible, is determined by the following condition (indicated by the green dashed curve in Figure 7):
t z ( + ) = τ 0 τ Q ( c ) ~ τ Q ( c ) T c T * T *
Here we have used the mean field coefficient η = 1 . It follows that
τ Q ( c ) ~ τ 0 T * T c T * 2
The resulting critical quench rate r Q = d T d t = T * τ Q is then given by
r Q ( c ) ~ T c T * 2 τ 0 T *

4. Discussion

We discussed the symmetry-breaking origins of domain-type patterns in biological membranes that possess some kind of in-plane membrane order. We showed that the topology of a membrane yields a rough estimate of the characteristic domain size ξ d , which in such a case strongly depends on the typical membrane geometric size. The resulting estimate is due to its topological origin being universal and, hence, independent of microscopic membrane details. However, in real samples [69] one generally expects smaller values of ξ d , which are influenced by membrane softness [1,74,75,76], by the impurities present, and by the kinetic path via which the membrane’s order was formed. We analyzed the role of two universal mechanisms [70] that apply in systems exhibiting continuous symmetry breaking (CSB): the IM theorem [52] and the KZ [27] mechanism. The validity of the first mechanism requires CSB and the presence of random-field-type uncorrelated disorder. On the other hand, the second mechanism assumes CSB and a finite speed of information propagation. We adapted the original IM derivation to 2D membranes, where we assumed that the membrane inclusions (impurities) enforce a kind of random field. We derived the expression for ξ d = ξ d ( I M ) , which depends on the membrane’s material properties, concentration of impurities, and basic constituent–impurity coupling strength. The latter derivation applies for cases where the membrane order gradually forms (i.e., the respective kinetics are slow with respect to the characteristic membrane relaxation times). However, in general the kinetics of membrane order formation could also have an impact. Membrane configurational or phase changes could be triggered during membrane growth or phase changes stimulated by changes in system conditions [62,71]. We showed under what conditions the KZ mechanism could be trusted in membrane configurations, as well as the size of initially formed protodomains, which depends on the kinetics of the process and the membrane’s material properties. Note that KZ-driven domains can generate disorder within membranes since they could reorient anisotropic inclusions, which might impose effective disorder, into different orientations and block their orientations via domain wall alignment. Anisotropic inclusions within the same protodomain might be oriented along a similar direction. Therefore, the value of ξ d could affect the value of ξ r (Equation (14)), which in turn affects ξ d ( I M ) (Equation (15)). Note that in the derived equations, we neglected anisotropies in the elasticity of membranes in order to simplify the mathematics. In reality, anisotropies are present [1,77,78,79], which results in even more complex patterns.

5. Conclusions

To conclude, topological factors, disorder, and kinetic paths might enable the formation of different patterns in membranes’ order. They could form temporal or quasi-stable structures that might exhibit specific functionality, playing an important role in biological processes. In this contribution we analyzed two universal mechanisms that might impact the domain-type structure in biological membranes. We focused on cases where membranes exhibit some kind of in-plane order. Note that the derived equations yield mostly qualitative predictions of how the combination of CSB, kinetic phenomena, and inherent disorder could trigger the formation of domain-type patterns. In these derivations we used knowledge gained from studies on magnetic systems and cosmology.
Reversely, knowledge gained by studying biological membranes is also beneficial for other branches of physics. For example, the role of extrinsic curvature was mostly neglected in studies of the impact of frozen curved 2D manifolds on TDs within the respective ordering field. More attention was devoted to this feature after it was recognized that extrinsic curvature is always present [65,66]. For instance, a simple 2D model presented in Sec. II suggests that the elastic constants weighting the extrinsic and intrinsic curvatures’ contributions are comparable [65] (i.e., in Equation (8) they are the same). In several geometries, the impacts of these terms on the positions of TDs might be antagonistic [20,65,66]. However, the role of extrinsic curvature had been analyzed for years in studies of membranes, bearing a different name: deviatoric curvature (see [17] and references therein). The equivalence of the terms extrinsic and deviatoric curvature was analyzed for the first time in [20]. In particular, the impact of extrinsic curvature on TDs in 2D manifolds depends on their embedding within the 3D space. Therefore, related systematic studies of TDs in a lower-dimensional manifold could in general reveal information on coupling with a higher-dimensional hosting manifold. Such studies in the future in other physical systems could benefit from the knowledge gained in membranes [17,20,67,68].

6. Outlook

In this paper we analyzed the potential impacts of CSB-enabled mechanisms on domain patterns in common biological membranes. In addition to CSB we considered the roles of topology, intrinsic and extrinsic curvatures, the presence of disorder, and different kinetic paths via which a relevant order–disorder phase transition is crossed. Directly testing these predictions experimentally would be extremely difficult because of the complex interplay of the competing mechanisms, combined with membranes’ soft character (i.e., large susceptibility to even weak local perturbations). Consequently, we suggest intensive systematic numerical simulations first on testbed systems that mimic membranes’ key features. To our knowledge, the impact of relatively weak random-field-type disorder on 2D curved manifolds on the critical order–disorder phase transition has not yet been systematically studied. So far, intensive studies have been carried out on 3D and flat 2D systems (see [37] and references therein). Strong enough curvature of a 2D manifold hosting p-atic fields could enlarge the effective disorder strength (see Equation (19)). Boundaries separating regions exhibiting positive and negative Gaussian curvature could trigger the unbinding of {defect,antidefect} pairs, increasing the effective disorder. Next, phenomena related to KZM have so far been studied only in bulk 1D, 2D, and 3D manifolds. Therefore, the impact of curvature has not yet been studied. As mentioned, curvature can give rise to additional TDs via the unbinding of defect pairs and could, for strong curvatures, introduce qualitative changes that we have not addressed in the paper. Furthermore, only one study so far (1D numerical simulations) [80] addressed KZM in systems exhibiting discontinuous order–disorder phase transition.

Author Contributions

Conceptualization, S.K.; methodology, S.K. and A.I.; investigation, S.K., A.I. and V.K.-I.; resources, A.I. and V.K.-I.; writing—original draft preparation, S.K.; writing—review and editing, S.K., A.I. and V.K.-I.; visualization, V.K.-I.; supervision, S.K., A.I. and V.K.-I.; funding acquisition, A.I. and V.K.-I. All authors have read and agreed to the published version of the manuscript.

Funding

This research was funded by the Slovenian Research Agency core funding nos. P2-0343 and P3-0388, project nos. J2-4427, J2-4447, and J3-60063; the Slovenian Research Agency grant P1-0099; the University of Ljubljana interdisciplinary preparative project Nanostructurome 802-12/2024-5; and the European Union’s Horizon 2020 Research and Innovation Programme under the Marie Skłodowska–Curie Staff Exchange project “FarmEVs” (grant agreement no.: 101131175). The views and opinions expressed in this publication are solely those of the authors and do not necessarily reflect those of the European Union. Neither the European Union nor the granting authority can be held responsible.

Data Availability Statement

The original contributions presented in the study are included in the article, further inquiries can be directed to the corresponding author/s.

Conflicts of Interest

The authors declare no conflicts of interest.

References

  1. Iglič, A.; Kralj-Iglič, V.; Drobne, D. Nanostructures in Biological Systems; Pan Stanford Publishing: Singapore, 2015. [Google Scholar]
  2. Canham, P.B. The minimum energy of bending as a possible explanation of the biconcave shape of the human red blood cell. J. Theor. Biol. 1970, 26, 61–81. [Google Scholar] [CrossRef]
  3. Helfrich, W. Elastic properties of lipid bilayers: Theory and possible experiments. Z. Naturforsch. C 1973, 28, 693–703. [Google Scholar] [CrossRef]
  4. Deuling, H.J.; Helfrich, W. Red blood cell shapes as explained on the basis of curvature elasticity. Biophys. J 1976, 16, 861–868. [Google Scholar] [CrossRef]
  5. Helfrich, W.; Prost, J. Intrinsic bending force in anisotropic membranes made of chiral molecules. Phys. Rev. A 1988, 38, 3065–3068. [Google Scholar] [CrossRef]
  6. MacKintosh, F.; Lubensky, T. Orientational order, topology, and vesicle shapes. Phys. Rev. Lett. 1991, 67, 1169–1173. [Google Scholar] [CrossRef]
  7. Lubensky, T.C.; Prost, J. Orientational order and vesicle shape. J. Phys. II 1992, 2, 371–382. [Google Scholar] [CrossRef]
  8. Kralj-Iglič, V.; Heinrich, V.; Svetina, S.; Žekš, B. Free energy of closed membrane with anisotropic inclusions. Eur. Phys. J. B 1999, 10, 5–8. [Google Scholar] [CrossRef]
  9. Góźdź, W.T. Influence of spontaneous curvature and microtubules on the conformations of lipid vesicles. J. Phys. Chem. B 2005, 109, 21145–21149. [Google Scholar] [CrossRef]
  10. Bowick, M.J.; Giomi, L. Two-dimensional matter: Order, curvature and defects. Adv. Phys. 2009, 58, 449–563. [Google Scholar] [CrossRef]
  11. Gaeta, G.; Virga, E.G. Octupolar order in three dimensions. Eur. Phys. J. E 2016, 39, 113. [Google Scholar] [CrossRef] [PubMed]
  12. Happel, L.; Oberschelp, G.; Grudtsyna, V.; Jain, H.P.; Sknepnek, R.; Doostmohammadi, A.; Voigt, A. Quantifying the shape of cells-from Minkowski tensors to p-atic order. eLife 2025, 14, 631196. [Google Scholar]
  13. Do Carmo, M.P. Differential Geometry of Curves and Surfaces; Dover Publica tions: New York, NY, USA, 1976. [Google Scholar]
  14. Sonnet, A.M.; Virga, E.G. Bistable curvature potential at hyperbolic points of nematic shells. Soft Matter 2017, 13, 6792–6802. [Google Scholar] [CrossRef] [PubMed]
  15. Berry, M. Anticipations of the geometric phase. Phys. Today 1990, 43, 34–40. [Google Scholar] [CrossRef]
  16. Fournier, J.B. Nontopological saddle-splay and curvature instabilities from anisotropic membrane inclusions. Phys. Rev. Lett. 1996, 76, 4436–4440. [Google Scholar] [CrossRef] [PubMed]
  17. Iglič, A.; Babnik, B.; Gimsa, U.; Kralj-Iglič, V. On the role of membrane anisotropy in the beading transition of undulated tubular membrane structures. J. Phys. A Math. Gen. 2005, 38, 8527–8636. [Google Scholar] [CrossRef]
  18. Lee, J.; Abdeen, A.A.; Wycislo, K.L.; Fan, T.M.; Kilian, K.A. Interfacial geometry dictates cancer cell tumorigenicity. Nat. Mater. 2016, 15, 856–862. [Google Scholar] [CrossRef]
  19. Saw, T.B.; Doostmohammadi, A.; Nier, V.; Kocgozlu, L.; Thampi, S.; Toyama, Y.; Marcq, P.; Lim, C.T.; Yeomans, J.M.; Ladoux, B. Topological defects in epithelia govern cell death and extrusion. Nature 2017, 544, 212–216. [Google Scholar] [CrossRef]
  20. Mesarec, L.; Góźdź, W.; Iglič, A.; Kralj-Iglič, V.; Virga, E.G.; Kralj, S. Normal red blood cells’ shape stabilized by membrane’s in-plane ordering. Sci. Rep. 2019, 9, 19742-1–19742-11. [Google Scholar] [CrossRef]
  21. Góźdź, W.T. Spontaneous curvature induced shape transformations of tubular polymersomes. Langmuir 2004, 20, 7385–7391. [Google Scholar] [CrossRef]
  22. Kralj-Iglič, V.; Pocsfalvi, G.; Mesarec, L.; Šuštar, V.; Hägerstrand, H.; Iglič, A. Minimizing isotropic and deviatoric membrane energy–An unifying formation mechanism of different cellular membrane nanovesicle types. PLoS ONE 2020, 15, e0244796. [Google Scholar] [CrossRef]
  23. Chaikin, P.M.; Lubensky, T.C.; Witten, T.A. Principles of Condensed Matter Physics; Cambridge University Press: Cambridge, UK, 1995. [Google Scholar]
  24. Georgi, H.; Glashow, S. Unified theory of elementary-particle forces. Phys. Today 1980, 33, 30–39. [Google Scholar] [CrossRef]
  25. Glashow, S. Toward a Unified Theory: Threads in a Tapestry. Science 1981, 210, 1319–1323. [Google Scholar] [CrossRef]
  26. Vilenkin, A. Cosmic strings and domain walls. Phys. Rep. 1985, 121, 263–315. [Google Scholar] [CrossRef]
  27. Zurek, W.H. Cosmological experiments in superfluid helium? Nature 1985, 317, 505–508. [Google Scholar] [CrossRef]
  28. Kleman, M.; Lavrentovich, O.D. Soft Matter Physics: An Introductioh; Springer: New York, NY, USA, 2003; pp. 337–387. [Google Scholar]
  29. Mermin, N.D. The topological theory of defects in ordered media. Rev. Mod. Phys. 1979, 51, 591–648. [Google Scholar] [CrossRef]
  30. Kurik, M.V.; Lavrentovich, O.D. Defects in liquid crystals: Homotopy theory and experimental studies. Sov. Phys. Uspekhi 1988, 31, 196–224. [Google Scholar] [CrossRef]
  31. Lavrentovich, O.D. Topological defects in dispersed words and worlds around liquid crystals, or liquid crystal drops. Liq. Cryst. 1998, 24, 117–126. [Google Scholar] [CrossRef]
  32. Imry, Y.; Ma, S.K. Random-field instability of the ordered state of continuous symmetry. Phys. Rev. Lett. 1975, 35, 1399–1401. [Google Scholar] [CrossRef]
  33. Giamarchi, T.; Le Doussal, P. Elastic theory of flux lattices in the presence of weak disorder. Phys. Rev. B 1995, 52, 1242–1270. [Google Scholar] [CrossRef]
  34. Denholm, D.R.; Sluckin, T.J. Monte-Carlo Studies of 2-Dimensional Random-Anisotropy Magnets. Phys. Rev. B 1993, 48, 901–912. [Google Scholar] [CrossRef]
  35. Chakrabarti, J. Simulation evidence of critical behavior of isotropic-nematic phase transition in a porous medium. Phys. Rev. Lett. 1998, 81, 385–389. [Google Scholar] [CrossRef]
  36. Feldman, D.E. Quasi-long range order in glass states of impure liquid crystals, magnets, and superconductors. Int. J. Mod. Phys. B 2001, 15, 2945–2976. [Google Scholar] [CrossRef]
  37. Ranjkesh, A.; Ambrožič, M.; Kralj, S.; Sluckin, T.J. Computational studies of history dependence in nematic liquid crystals in random environments. Phys. Rev. E 2014, 89, 022504-1–022504-14. [Google Scholar] [CrossRef]
  38. Leon, N.; Korb, J.P.; Bonalde, I.; Levitz, P. Universal nuclear spin relaxation and long-range order in nematics strongly confined in mass fractal silica gels. Phys. Rev. Lett. 2004, 92, 195504-1–195504-4. [Google Scholar] [CrossRef]
  39. Kibble, T.W.B. Topology of cosmic domains and strings. J. Phys. A Math. Gen. 1976, 9, 1387–1398. [Google Scholar] [CrossRef]
  40. Bray, A.J. Theory of phase-ordering kinetics. Adv. Phys. 2002, 51, 481–587. [Google Scholar] [CrossRef]
  41. Dierking, I. Universal growth laws in liquid crystals far from equilibrium. Appl. Phys. A 2001, 72, 307–310. [Google Scholar] [CrossRef]
  42. Billeter, J.L.; Smondyrev, A.M.; Loriot, G.B.; Pelcovits, R.A. Phase-ordering dynamics of the Gay-Berne nematic liquid crystal. Phys. Rev. E 1999, 60, 6831–6840. [Google Scholar] [CrossRef] [PubMed]
  43. Bradač, Z.; Kralj, S.; Žumer, S. Early stage domain coarsening of the isotropic-nematic phase transition. J. Chem. Phys. 2011, 135, 024506-1–024506-9. [Google Scholar] [CrossRef]
  44. Hendry, P.C.; Lawson, N.S.; Lee, R.A.M.; McClintock, P.V.E.; Williams, C.D.H. Generation of defects in superfluid 4He as an analogue of the formation of cosmic strings. Nature 1994, 368, 315–317. [Google Scholar] [CrossRef]
  45. Maegochi, S.; Ienaga, K.; Okuma, S. Kibble-Zurek Mechanism for Dynamical Ordering in a Driven Vortex System. Phys. Rev. Lett. 2022, 129, 227001-1–227001-5. [Google Scholar] [CrossRef]
  46. Baradwaj, N.; Krishnamoorthy, A.; Nomura, K.; Nakano, A.; Kalia, R.K.; Vashishta, P. Kibble–Zurek scaling of nonequilibrium phase transition in barium titanate. Appl. Phys. Lett. 2023, 123, 252901. [Google Scholar] [CrossRef]
  47. Alimohamadi, H.; Vasan, R.; Hassinger, J.; Stachowiak, J.; Rangamani, P. The role of traction in membrane curvature generation. Biophys. J. 2018, 114, 600a. [Google Scholar] [CrossRef]
  48. Wang, D.N. Band 3 protein: Structure, flexibility and function. FEBS Lett. 1994, 346, 26–31. [Google Scholar] [CrossRef]
  49. Delaunay, J. The molecular basis of hereditary red cell membrane disorders. Blood Rev. 2007, 21, 1–20. [Google Scholar] [CrossRef] [PubMed]
  50. Reithmeier, R.A.F.; Casey, J.R.; Kalli, A.C.; Sansom, M.S.P.; Alguel, Y.; Iwata, S. Band 3, the human red cell chloride/bicarbonate anion exchanger (AE1, SLC4A1), in a structural context. BBA Biomembr. 2016, 1858, 1507–1532. [Google Scholar] [CrossRef]
  51. Smith, G.S.; Sirota, E.B.; Safinya, C.R.; Clark, N.A. Structure of the L β phases in a hydrated phosphatidylcholine multimembrane. Phys. Rev. Lett. 1988, 60, 813–817. [Google Scholar] [CrossRef] [PubMed]
  52. Bernchou, U.; Brewer, J.; Midtiby, H.S.; Ipsen, J.H.; Bagatolli, L.A.; Simonsen, A.C. Texture of lipid bilayer domains. J. Am. Chem. Soc. 2009, 131, 14130–14131. [Google Scholar] [CrossRef] [PubMed]
  53. Poincaré, H. Mémoire sur les courbes définiés par une équation differentielle. J. Math. Pures Appl. 1886, 2, 151–217. [Google Scholar]
  54. Svenšek, D.; Žumer, S. Instability modes of high-strength disclinations in nematics. Phys. Rev. E 2004, 70, 061707-1–061707-9. [Google Scholar] [CrossRef] [PubMed][Green Version]
  55. Bowick, M.; Nelson, D.R.; Travesset, A. Curvature-induced defect unbinding in toroidal geometries. Phys. Rev. E 2004, 69, 041102-1–041102-12. [Google Scholar] [CrossRef] [PubMed]
  56. Thorpe, J.A. Elementary Topics in Differential Geometry; Springer: New York, NY, USA, 1979. [Google Scholar]
  57. Kamien, R.D. The geometry of soft materials: A primer. Rev. Mod. Phys. 2002, 74, 953–971. [Google Scholar] [CrossRef]
  58. Levi-Civita, M.D.T. Nozione di parallelismo in una varieta qualunque e conseguente specificazione geometrica della curvatura Riemanniana. Rend. Circ. Mat. Palermo 1916, 42, 173–204. [Google Scholar] [CrossRef]
  59. Persico, E. Realizzazione cinematica del parallelismo superficiale. Atti R. Acc. Linc. Rend. Cl. Sci. Mat. Fis. Nat. 1921, 30, 127–128. [Google Scholar]
  60. Pfister, F. Spatial point contact kinematics and parallel transport. Proc. Inst. Mech. Eng. C J. Mech. Eng. Sci. 2002, 216, 33–45. [Google Scholar] [CrossRef]
  61. Rosso, R.; Virga, E.G.; Kralj, S. Parallel transport and defects on nematic shells. Contin. Mech. Therm 2012, 24, 643–664. [Google Scholar] [CrossRef]
  62. Mesarec, L.; Góźdź, W.; Iglič, A.; Kralj, S. Effective topological charge cancelation mechanism. Sci. Rep. 2016, 6, 27117-1–27117-12. [Google Scholar] [CrossRef]
  63. Vitelli, V.; Turner, A.M. Anomalous coupling between topological defects and curvature. Phys. Rev. Lett. 2004, 93, 215301-1–215301-4. [Google Scholar] [CrossRef]
  64. Jesenek, D.; Kralj, S.; Rosso, R.; Virga, E.G. Defect unbinding on a toroidal nematic shell. Soft Matter 2015, 11, 2434–2444. [Google Scholar] [CrossRef]
  65. Selinger, R.L.B.; Konya, A.; Travesset, A.; Selinger, J.V. Monte Carlo studies of the XY model on two-dimensional curved surfaces. J. Phys. Chem. B 2011, 115, 13989–13993. [Google Scholar] [CrossRef]
  66. Napoli, G.; Vergori, L. Surface free energies for nematic shells. Phys. Rev. E 2012, 85, 061701-1–061701-1-12. [Google Scholar] [CrossRef]
  67. Kralj-Iglič, V.; Iglič, A.; Hägerstrand, H.; Peterlin, P. Stable tubular microexovesicles of the erythrocyte membrane induced by dimeric amphiphiles. Phys. Rev. E 2000, 61, 4230–4234. [Google Scholar] [CrossRef]
  68. Kralj-Iglič, V.; Remškar, M.; Vidmar, G.; Fošnarič, M.; Iglič, A. Deviatoric elasticity as a possible physical mechanism explaining collapse of inorganic micro and nanotubes. Phys. Lett. A 2002, 296, 151–155. [Google Scholar] [CrossRef]
  69. Tutwiler, V.; Mukhitov, A.R.; Peshkova, A.D.; Minh, G.; Khismatullin, R.; Vicksman, J.; Nagaswami, C.; Litvinov, R.I.; Weisel, J.W. Shape changes of erythrocytes during blood clot contraction and the structure of polyhedrocytes. Sci. Rep. 2018, 8, 17907-1–17907-14. [Google Scholar] [CrossRef]
  70. Lin, S.Z.; Wang, X.; Kamiya, Y.; Chern, G.W.; Fan, F.; Fan, D.; Casas, B.; Liu, Y.; Kiryukhin, V.; Zurek, W.H.; et al. Topological defects as relics of emergent continuous symmetry and Higgs condensation of disorder in ferroelectrics. Nat. Phys. 2014, 10, 970–977. [Google Scholar] [CrossRef]
  71. Heimburg, T.; Jackson, A.D. On soliton propagation in biomembranes and nerves. Proc. Natl. Acad. Sci. USA 2005, 102, 9790–9795. [Google Scholar] [CrossRef] [PubMed]
  72. Schopohl, N.; Sluckin, T.J. Defect core structure in nematic liquid crystals. Phys. Rev. Lett. 1987, 59, 2582–2584. [Google Scholar] [CrossRef]
  73. Kralj, S.; Cordoyiannis, G.; Jesenek, D.; Zidanšek, A.; Lahajnar, G.; Novak, N.; Amenitsch, H.; Kutnjak, Z. Dimensional crossover and scaling behavior of a smectic liquid crystal confined to controlled-pore glass matrices. Soft Matter 2012, 8, 2460–2470. [Google Scholar] [CrossRef]
  74. Lelidis, I.; Durand, G. Electric-field-induced isotropic-nematic phase transition. Phys. Rev. E 1993, 48, 3822–3824. [Google Scholar] [CrossRef]
  75. Brochard, F.; Lennon, J.F. Frequency spectrum of the flicker phenomenon in erythrocytes. J. Phys. 1975, 36, 1035–1047. [Google Scholar] [CrossRef]
  76. Milner, S.T.; Safran, S.A. Dynamical fluctuations of droplet microemulsions and vesicles. Phys. Rev. A 1987, 36, 4371–4380. [Google Scholar] [CrossRef]
  77. Helfrich, W. Size distributions of vesicles: The role of the effective rigidity of membranes. J. Phys. 1986, 47, 321–329. [Google Scholar] [CrossRef]
  78. Bivas, I.; Hanusse, P.; Bothorel, P.; Lalanne, J.; Aguerre-Chariol, O. An application of the optical microscopy to the determination of the curvature elastic modulus of biological and model membranes. J. Phys. 1987, 48, 855–867. [Google Scholar] [CrossRef]
  79. Dimova, R. Recent developments in the field of bending rigidity measurements on membranes. Adv. Colloid Interface Sci. 2014, 208, 225–234. [Google Scholar] [CrossRef]
  80. Suzuki, F.; Zurek, W.H. Topological Defect Formation in a Phase Transition with Tunable Order. Phys. Rev. Lett. 2024, 132, 241601-1–241601-6. [Google Scholar] [CrossRef]
Figure 1. Frustration-generated domains and topological defects in systems exhibiting polar order. (a) After a fast enough order–disorder phase transition, in general, in different areas, symmetry is broken in different directions because of the finite speed of information propagation. At intersections of three or more domains, where the order is not uniquely defined, topological defects are likely to form. (b) Topological defects always exist on a sphere because the orientational order cannot be parallel everywhere due to the curved 2D manifold.
Figure 1. Frustration-generated domains and topological defects in systems exhibiting polar order. (a) After a fast enough order–disorder phase transition, in general, in different areas, symmetry is broken in different directions because of the finite speed of information propagation. At intersections of three or more domains, where the order is not uniquely defined, topological defects are likely to form. (b) Topological defects always exist on a sphere because the orientational order cannot be parallel everywhere due to the curved 2D manifold.
Crystals 15 00737 g001
Figure 2. A possible origin of in-plane orientational ordering within membranes. (a) Effective nematic-type (axial) ordering could arise from V-shaped stretched chains of phospholipids. The red outlined ellipsoid represents the phospholipid headgroup, and the two elongated structures below the headgroup represent the carbohydrate tails. (b) The front and (c) side view.
Figure 2. A possible origin of in-plane orientational ordering within membranes. (a) Effective nematic-type (axial) ordering could arise from V-shaped stretched chains of phospholipids. The red outlined ellipsoid represents the phospholipid headgroup, and the two elongated structures below the headgroup represent the carbohydrate tails. (b) The front and (c) side view.
Crystals 15 00737 g002
Figure 3. Two topological point defects in a system that is topologically equivalent to a spatially homogenous system (i.e., m t o t = 0 ). Within the cores of the defects, which are marked by black circles, the ordering is essentially melted to avoid the singularity in the centers of defects. TDs are characterized by the winding number m (i.e., 2D topological charge), which is topologically invariant. m fingerprints the number of rotations of the field circumventing the defect center counterclockwise via any closed path. The left and right defects exhibit m = 1 and m = −1, respectively. Commonly, they are dubbed defect (m > 0) and antidefect (m < 0). In a flat system, such a pair tends to annihilate into a defectless state. The total topological charge of the system is equal to zero and is topologically equivalent to a spatially homogeneous (ground) state. In general, the annihilation of {defect, antidefect} pairs enables domain growth.
Figure 3. Two topological point defects in a system that is topologically equivalent to a spatially homogenous system (i.e., m t o t = 0 ). Within the cores of the defects, which are marked by black circles, the ordering is essentially melted to avoid the singularity in the centers of defects. TDs are characterized by the winding number m (i.e., 2D topological charge), which is topologically invariant. m fingerprints the number of rotations of the field circumventing the defect center counterclockwise via any closed path. The left and right defects exhibit m = 1 and m = −1, respectively. Commonly, they are dubbed defect (m > 0) and antidefect (m < 0). In a flat system, such a pair tends to annihilate into a defectless state. The total topological charge of the system is equal to zero and is topologically equivalent to a spatially homogeneous (ground) state. In general, the annihilation of {defect, antidefect} pairs enables domain growth.
Crystals 15 00737 g003
Figure 4. Curvature-induced frustration. (a) A parallel-transported vector on a flat substrate. The initial (point A) and final vector field orientations on traversing the closed path (indicated by the dotted line) A B C D A are the same. (b) A parallel-transported vector on a sphere. The initial orientation (A: blue arrow) and final orientation (A: red arrow) on traversing the closed path A B C A are different. (c) The orientational order of Ising spins placed within an antiferromagnetic triangle is always frustrated. The interaction potential between different pairs of spins cannot be simultaneously minimized (all neighboring spins cannot be oriented antiparallel).
Figure 4. Curvature-induced frustration. (a) A parallel-transported vector on a flat substrate. The initial (point A) and final vector field orientations on traversing the closed path (indicated by the dotted line) A B C D A are the same. (b) A parallel-transported vector on a sphere. The initial orientation (A: blue arrow) and final orientation (A: red arrow) on traversing the closed path A B C A are different. (c) The orientational order of Ising spins placed within an antiferromagnetic triangle is always frustrated. The interaction potential between different pairs of spins cannot be simultaneously minimized (all neighboring spins cannot be oriented antiparallel).
Crystals 15 00737 g004
Figure 5. A representative Imry–Ma cluster of linear characteristic size ξ d I M in which the ordering field (blue lines) is on average aligned along a common direction. Within the cluster, impurities enforce uncorrelated randomly distributed orientations (red lines). The average separation between nearby impurities is given by ξ r .
Figure 5. A representative Imry–Ma cluster of linear characteristic size ξ d I M in which the ordering field (blue lines) is on average aligned along a common direction. Within the cluster, impurities enforce uncorrelated randomly distributed orientations (red lines). The average separation between nearby impurities is given by ξ r .
Crystals 15 00737 g005
Figure 6. Second-order phase transition. The black curve: the characteristic order parameter correlation for time τ versus reduced temperature, where r = T T c T c . The dashed red curve: linear time–temperature variation t = r / τ Q on crossing the phase transition. The dotted vertical lines, which determine the Zurek time, separate the adiabatic and impulse regimes.
Figure 6. Second-order phase transition. The black curve: the characteristic order parameter correlation for time τ versus reduced temperature, where r = T T c T c . The dashed red curve: linear time–temperature variation t = r / τ Q on crossing the phase transition. The dotted vertical lines, which determine the Zurek time, separate the adiabatic and impulse regimes.
Crystals 15 00737 g006
Figure 7. First-order phase transition. The full black curve: τ ( r ) equilibrium temperature variation, where r = T T * T * . The dashed–dotted gray vertical curve indicates the phase transition crossing regime. The dotted black curve in the region r < r c = T c T * T * determines the τ ( r ) variation in the metastable regime, where τ ~ τ 0 / r . The dashed arrow curves: linear time–temperature variations t = r / τ Q on crossing the phase transition. The red and violet dashed curves: the KZ mechanism is obeyed. The orange curve: the system remains in quasi equilibrium on crossing the phase transition at T c , and the KZ mechanism is not activated.
Figure 7. First-order phase transition. The full black curve: τ ( r ) equilibrium temperature variation, where r = T T * T * . The dashed–dotted gray vertical curve indicates the phase transition crossing regime. The dotted black curve in the region r < r c = T c T * T * determines the τ ( r ) variation in the metastable regime, where τ ~ τ 0 / r . The dashed arrow curves: linear time–temperature variations t = r / τ Q on crossing the phase transition. The red and violet dashed curves: the KZ mechanism is obeyed. The orange curve: the system remains in quasi equilibrium on crossing the phase transition at T c , and the KZ mechanism is not activated.
Crystals 15 00737 g007
Disclaimer/Publisher’s Note: The statements, opinions and data contained in all publications are solely those of the individual author(s) and contributor(s) and not of MDPI and/or the editor(s). MDPI and/or the editor(s) disclaim responsibility for any injury to people or property resulting from any ideas, methods, instructions or products referred to in the content.

Share and Cite

MDPI and ACS Style

Kralj, S.; Kralj-Iglič, V.; Iglič, A. Continuous Symmetry Breaking and Complexity of Biological Membranes. Crystals 2025, 15, 737. https://doi.org/10.3390/cryst15080737

AMA Style

Kralj S, Kralj-Iglič V, Iglič A. Continuous Symmetry Breaking and Complexity of Biological Membranes. Crystals. 2025; 15(8):737. https://doi.org/10.3390/cryst15080737

Chicago/Turabian Style

Kralj, Samo, Veronika Kralj-Iglič, and Aleš Iglič. 2025. "Continuous Symmetry Breaking and Complexity of Biological Membranes" Crystals 15, no. 8: 737. https://doi.org/10.3390/cryst15080737

APA Style

Kralj, S., Kralj-Iglič, V., & Iglič, A. (2025). Continuous Symmetry Breaking and Complexity of Biological Membranes. Crystals, 15(8), 737. https://doi.org/10.3390/cryst15080737

Note that from the first issue of 2016, this journal uses article numbers instead of page numbers. See further details here.

Article Metrics

Back to TopTop