Sign in to use this feature.

Years

Between: -

Subjects

remove_circle_outline
remove_circle_outline
remove_circle_outline
remove_circle_outline
remove_circle_outline
remove_circle_outline
remove_circle_outline

Journals

Article Types

Countries / Regions

Search Results (37)

Search Parameters:
Keywords = corticotomy

Order results
Result details
Results per page
Select all
Export citation of selected articles as:
17 pages, 3542 KB  
Article
Mechanobiological Regulation of Alveolar Bone Remodeling: A Finite Element Study and Molecular Pathway Interpretation
by Anna Ewa Kuc, Magdalena Sulewska, Kamil Sybilski, Jacek Kotuła, Grzegorz Hajduk, Szymon Saternus, Jerzy Małachowski, Julia Bar, Joanna Lis, Beata Kawala and Michał Sarul
Biomolecules 2026, 16(1), 150; https://doi.org/10.3390/biom16010150 - 14 Jan 2026
Cited by 1 | Viewed by 709
Abstract
Background: Mechanical loading is a fundamental regulator of bone remodelling; however, the mechanotransduction mechanisms governing alveolar bone adaptation under tensile-dominant orthodontic loading remain insufficiently defined. In particular, the molecular pathways associated with tension-driven cortical modelling in the periodontal ligament (PDL)–bone complex have not [...] Read more.
Background: Mechanical loading is a fundamental regulator of bone remodelling; however, the mechanotransduction mechanisms governing alveolar bone adaptation under tensile-dominant orthodontic loading remain insufficiently defined. In particular, the molecular pathways associated with tension-driven cortical modelling in the periodontal ligament (PDL)–bone complex have not been systematically interpreted in the context of advanced biomechanical simulations. Methods: A nonlinear finite element model of the alveolar bone–PDL–tooth complex was developed using patient-specific CBCT data. Three loading configurations were analysed: (i) conventional orthodontic loading, (ii) loading combined with corticotomy alone, and (iii) a translation-dominant configuration generated by the Bone Protection System (BPS). Pressure distribution, displacement vectors, and stress polarity within the PDL and cortical plate were quantified across different bone density conditions. The mechanical outputs were subsequently interpreted in relation to established mechanotransductive molecular pathways involved in osteogenesis and angiogenesis. Results: Conventional loading generated compression-dominant stress fields within the marginal PDL, frequently exceeding physiological thresholds and producing moment-driven root displacement. Corticotomy alone reduced local stiffness but did not substantially alter stress polarity. The BPS configuration redirected loads toward a tensile-favourable mechanical environment characterised by reduced peak compressive pressures and parallel (translation-dominant) displacement vectors. The predicted tensile stress distribution is compatible with activation profiles of key mechanosensitive pathways, including integrin–FAK signalling, Wnt/β-catenin–mediated osteogenic differentiation and HIF-1α/VEGF-driven angiogenic coupling, suggesting a microenvironment that may be more conducive to cortical apposition than to resorption. Conclusions: This study presents a computational–molecular framework linking finite element–derived tensile stress patterns with osteogenic and angiogenic signalling pathways relevant to alveolar bone remodelling. The findings suggestthat controlled redirection of orthodontic loading toward tensile domains may shift the mechanical environment of the PDL–bone complex toward conditions associated with osteogenic than resorptive responses providing a mechanistic basis for tension-induced cortical modelling. This mechanobiological paradigm advances the understanding of load-guided alveolar bone adaptation at both the tissue and molecular levels. Full article
(This article belongs to the Section Molecular Biology)
Show Figures

Figure 1

20 pages, 2289 KB  
Case Report
Anatomically Precise Microsurgical Resection of a Posterior Fossa Cerebellar Metastasis in an Elderly Patient with Preservation of Venous Outflow, Dentate Nucleus, and Cerebrospinal Fluid Pathways
by Nicolaie Dobrin, Felix-Mircea Brehar, Daniel Costea, Adrian Vasile Dumitru, Alexandru Vlad Ciurea, Octavian Munteanu and Luciana Valentina Munteanu
Diagnostics 2025, 15(24), 3131; https://doi.org/10.3390/diagnostics15243131 - 9 Dec 2025
Viewed by 1098
Abstract
Background and Clinical Significance: Adults suffering from cerebellar metastases are often at high risk for rapid deterioration of their neurological status because the posterior fossa has limited compliance and the location of these metastases are close to the brain stem and important [...] Read more.
Background and Clinical Significance: Adults suffering from cerebellar metastases are often at high risk for rapid deterioration of their neurological status because the posterior fossa has limited compliance and the location of these metastases are close to the brain stem and important cerebrospinal fluid (CSF) pathways. In this paper, we present a longitudinal, patient-centered report on the history of an elderly individual who suffered from cognitive comorbidities and experienced a sudden loss of function in her cerebellum. Our goal in reporting this case is to provide a comparison between the patient’s pre-operative and post-operative neurological examinations; the imaging studies she had before and after surgery; the surgical techniques utilized during her operation; and the outcome of her post-operative course in a way that will be helpful to other patients who have experienced a similar situation. Case Presentation: We report the case of an 80-year-old woman who initially presented with progressive ipsilateral limb-trunk ataxia, impaired smooth pursuit eye movement, and rebound nystagmus, but preserved pyramidal and sensory functions. Her quantitative bedside assessments included some of the components of the Scale for the Assessment and Rating of Ataxia (SARA), and a National Institute of Health Stroke Scale (NIHSS) score of 3. These findings indicated dysfunction of the left neocerebellar hemisphere and possible dentate nucleus involvement. The patient’s magnetic resonance imaging (MRI) results demonstrated an expansive mass with surrounding vasogenic edema and marked compression and narrowing of the exits of the fourth ventricle which placed the patient’s CSF pathways at significant risk of occlusion, while the aqueduct and inlets were patent. She then underwent a left lateral suboccipital craniectomy with controlled arachnoidal CSF release, preservation of venous drainage routes, subpial corticotomy oriented along the lines of the folia, stepwise internal debulking, and careful protection of the cerebellar peduncles and dentate nucleus. Dural reconstruction utilized a watertight pericranial graft to restore the cisternal compartments. Her post-operative intensive care unit (ICU) management emphasized optimal venous outflow, normoventilation, and early mobilization. Histopathology confirmed the presence of metastatic carcinoma, and staging suggested that the most likely source of the primary tumor was the lungs. Immediately post-operation, computed tomography (CT) imaging revealed a smooth resection cavity with open foramina of Magendie and Luschka, intact contours of the brain stem, and no evidence of bleeding or hydrocephalus. The patient’s neurological deficits, including dysmetria, scanning dysarthria, and ataxic gait, improved gradually during the first 48 h post-operatively. Upon discharge, the patient demonstrated an improvement in her limb-kinetic subscore on the International Cooperative Ataxia Rating Scale (ICARS) and demonstrated independent ambulation. At two weeks post-operation, CT imaging revealed decreasing edema and stable cavity size, and the patient’s modified Rankin scale had improved from 3 upon admission to 1. There were no episodes of CSF leakage, wound complications, or new cranial nerve deficits. A transient post-operative psychotic episode that was likely secondary to her underlying Alzheimer’s disease was managed successfully with short-course pharmacotherapy. Conclusions: The current case study demonstrates the value of anatomy-based microsurgical planning, preservation of venous and CSF pathways, and targeted peri-operative management to facilitate rapid recovery of function in older adults who suffer from cerebellar metastasis and cognitive comorbidities. The case also demonstrates the importance of early multidisciplinary collaboration to allow for timely initiation of both adjuvant stereotactic radiosurgery and molecularly informed systemic therapy. Full article
(This article belongs to the Special Issue Brain/Neuroimaging 2025–2026)
Show Figures

Figure 1

17 pages, 4177 KB  
Article
Corticotomy Depth as a Modulator of Orthodontic Tooth Movement and PDL Stress—A Finite Element Study
by Anna Ewa Kuc, Kamil Sybilski, Jacek Kotuła, Grzegorz Hajduk, Magdalena Sulewska, Szymon Saternus, Justyna Ewa Kulikowska-Kulesza, Małgorzata Kotarska, Beata Kawala, Jerzy Małachowski and Michał Sarul
Materials 2025, 18(23), 5290; https://doi.org/10.3390/ma18235290 - 24 Nov 2025
Cited by 2 | Viewed by 964
Abstract
Introduction: The aim of this study was to evaluate the effect of corticotomy incision depth on tooth movement and stress distribution in the periodontal ligament (PDL) during orthodontic expansion using finite element analysis (FEA). The demand for accelerated and biologically safe orthodontic techniques [...] Read more.
Introduction: The aim of this study was to evaluate the effect of corticotomy incision depth on tooth movement and stress distribution in the periodontal ligament (PDL) during orthodontic expansion using finite element analysis (FEA). The demand for accelerated and biologically safe orthodontic techniques has highlighted the importance of understanding biomechanical responses to surgical adjuncts like corticotomy. Objective: The aim of this study is to assess the effect of corticotomy depth on tooth movement and periodontal ligament stress distribution during orthodontic treatment using finite element analysis. Materials and methods: A 3D FEM model was developed based on CBCT and intraoral scans to replicate anatomical structures and simulate clinical orthodontic scenarios. Four conditions were analyzed: no corticotomy and corticotomy incisions of 1 mm, 2 mm, and 3 mm depths, applied between roots and above the apex region. Different cortical bone densities were tested using Young’s modulus values (12,500 MPa–27,500 MPa). Stress and displacement values were measured in both the crown and root regions. Results: The 3 mm corticotomy, penetrating through the cortical plate into the cancellous bone, significantly increased crown displacement (up to 26% in low-density bone) and altered root tipping patterns, reducing root movement relative to the crown. Shallower incisions (1–2 mm) had minimal effects. Despite increased movement, stress concentration in the cervical PDL region remained high across all scenarios, particularly in the premolar area, exceeding the 4.7 kPa threshold associated with tissue ischemia. Conclusions: Corticotomy depth is a critical factor for optimizing orthodontic tooth movement. Penetration into cancellous bone (3 mm) appears necessary to induce both: not only the Regional Acceleratory Phenomenon (RAP) but also to enhance displacement. However, this approach does not significantly reduce cervical PDL stress and offers limited periodontal protection. Individual planning based on bone density, morphology, and anatomical limitations is essential for balancing treatment efficiency and periodontal safety. Full article
Show Figures

Figure 1

13 pages, 221 KB  
Article
Periodontists’ Attitudes and Professional Behavior Towards Surgically Facilitated Orthodontic Tooth Movement—A U.S. National Survey
by John J. Schuetz, Trevor D. Richmond, Mark Scarbecz, Ayman Al Dayeh, Sidney Stein and Vrushali Abhyankar
Dent. J. 2025, 13(10), 468; https://doi.org/10.3390/dj13100468 - 15 Oct 2025
Viewed by 803
Abstract
Background: Periodontally accelerated osteogenic orthodontics (PAOO) is a surgical procedure to accelerate orthodontic tooth movement and minimize periodontal complications. This study surveyed U.S. periodontists to assess various aspects of the procedure as regards prevalence, training, and execution. Methods: The authors developed a unique [...] Read more.
Background: Periodontally accelerated osteogenic orthodontics (PAOO) is a surgical procedure to accelerate orthodontic tooth movement and minimize periodontal complications. This study surveyed U.S. periodontists to assess various aspects of the procedure as regards prevalence, training, and execution. Methods: The authors developed a unique questionnaire, the first national study of this type, housed on the Qualtrics® survey platform, to analyze trends in PAOO training and use. Unique recruitment emails were sent to 3154 members of the American Academy of Periodontology. 449 U.S. periodontists/3154 surveyed (14.2%) responded to this web-based, anonymized survey. IBM statistical software (SPSS V28) was used for data analysis. Results: Among respondents, PAOO training was received during residency (32.7%) and by continuing education (CE) (50.8%), with higher CE (57.3%) by those who did not receive PAOO residency training (p < 0.001). 38.5% of periodontists perform PAOO, and those most likely to perform PAOO had both PAOO residency training and CE, with 78.5% performing 1–5 cases/year. Most (87.7%) received 1–2 PAOO referrals/year from orthodontists or general dentists. Differences in techniques and materials were the type of bone graft or membrane used, the position of corticotomies, and the timing of orthodontic movement. The primary PAOO goal was “rapid tooth movement” (41.1%) and to “increase the alveolar housing” (37.2%). The secondary (38%) and tertiary (37.2%) ranked goals were “augment dehiscence or fenestration”, with the “prevention of apical root resorption” ranked as their quaternary goal. Conclusions: The results of this survey provide data on the trends, training, and use of PAOO among U.S. periodontists. This information may aid in developing residency curriculum and performing PAOO research. Full article
(This article belongs to the Special Issue Accelerated Orthodontics: The Modern Innovations in Orthodontics)
9 pages, 780 KB  
Article
Long-Term Stability and Histologic Evaluation of Orthodontically Driven Osteogenesis (ODO): A Preliminary Retrospective Study
by Federico Brugnami, Simonetta Meuli, Valentina Ventura and Davide Gentile
J. Clin. Med. 2025, 14(19), 6896; https://doi.org/10.3390/jcm14196896 - 29 Sep 2025
Cited by 2 | Viewed by 880
Abstract
Background: Orthodontically driven osteogenesis (ODO) is a surgical tunnel modification of periodontally accelerated osteogenic orthodontics (PAOO), combining selective corticotomy with bone grafting in sequential and/or segmental fashion. This is a minimally invasive approach that enhances periodontal health and allows orthodontic tooth movement [...] Read more.
Background: Orthodontically driven osteogenesis (ODO) is a surgical tunnel modification of periodontally accelerated osteogenic orthodontics (PAOO), combining selective corticotomy with bone grafting in sequential and/or segmental fashion. This is a minimally invasive approach that enhances periodontal health and allows orthodontic tooth movement beyond the original alveolar envelope. Considering the lack of long-term three-dimensional data on orthodontically driven osteogenesis (ODO), this study aims to quantitatively assess the long-term stability of alveolar bone and buccal cortical thickness following ODO, using CBCT imaging. The null hypothesis is that ODO does not result in significant changes in alveolar bone volume or cortical thickness over a seven-year follow-up period. Methods: Twenty patients (13 females, 7 males; mean age 27.4 ± 5.3 years) who had undergone orthodontically driven osteogenesis (ODO) using a minimally invasive tunnel approach and segmental corticotomy protocol followed by clear aligner therapy were retrospectively evaluated. The mean follow-up period after treatment was 7 years (range: 5–15 years). Cone beam computed tomography (CBCT) scans were obtained at one year postoperatively (T1) and again at the long-term follow-up visit (T2). Buccal bone thickness measurements were taken at standardized levels (3 mm, 5 mm, and 7 mm apical to the cementoenamel junction) and compared between T1 and T2 to evaluate bone stability over time. In addition, histologic evaluation of the previously grafted area was performed in two patients: one sample was collected during an alveolar ridge augmentation procedure six months after ODO, and the other during orthognathic surgery eight months after ODO. The samples were analyzed to assess new bone formation and integration of graft material. Results: Radiographic analysis showed long term stability of the new bone support. Histologic examination showed newly formed lamellar and reticular bone. Bone marrow showed no inflammatory infiltration, and bone particles were still detectable but incorporated in the newly created bone. Conclusions: Based on these findings, ODO appears to be a promising technique that could induce stable bone osteogenesis. A larger cohort study can enhance the evidence of these promising results to popularize this technique. Full article
(This article belongs to the Special Issue New Insights into Orthodontic Treatment)
Show Figures

Figure 1

10 pages, 2383 KB  
Case Report
Surgical Management of an Impacted Mandibular Second Premolar in Close Proximity to the Mental Foramen: A Case Report
by Aikaterini Blouchou, Panagiotis Rafail Peitsinis, Ioannis H. Makrygiannis, Gregory Venetis and Ioannis Tilaveridis
Reports 2025, 8(3), 177; https://doi.org/10.3390/reports8030177 - 15 Sep 2025
Cited by 1 | Viewed by 4134
Abstract
Background and Clinical Significance: Tooth impaction is a developmental anomaly characterized by the inability of a tooth to emerge into its predetermined anatomical position within the oral cavity during the normal eruption period. Impaction of the mandibular second premolar is an uncommon [...] Read more.
Background and Clinical Significance: Tooth impaction is a developmental anomaly characterized by the inability of a tooth to emerge into its predetermined anatomical position within the oral cavity during the normal eruption period. Impaction of the mandibular second premolar is an uncommon condition and poses a heightened risk of neurosensory injury when the tooth is adjacent to the mental foramen. Early diagnosis and precise planning are therefore essential. Case Presentation: This case report presents a rare instance of an asymptomatic impacted mandibular second premolar located in close proximity to the mental foramen in a 44-year-old female patient. The impaction was discovered incidentally on an orthopantomogram, and Cone-Beam Computed Tomography (CBCT) confirmed intimate contact between the root of the impacted second premolar and the mental nerve. Surgical removal was performed under local anesthesia via a conservative triangular flap and a corticotomy window. Platelet-Rich Fibrin (PRF) generated from autologous blood was placed in the socket to foster healing. The proximity of the mental foramen dictated minimal bone removal and atraumatic luxation to avoid nerve stretch or compression. PRF was selected as an effective biomaterial shown to accelerate soft tissue healing and moderate postoperative discomfort, potentially reducing the likelihood of neurosensory disturbance. The socket presented satisfactory healing, and neurosensory function was normal at the first week follow-up and remained normal at 7 months postoperatively (longest follow-up), and no complications were reported by the patient. Conclusions: CBCT-guided planning, meticulous surgical techniques, and adjunctive PRF allowed for safe extraction without post-operative paraesthesia. Timely identification of such rare impactions broadens treatment options and minimizes complications. Full article
(This article belongs to the Section Dentistry/Oral Medicine)
Show Figures

Figure 1

16 pages, 2443 KB  
Article
Contralateral Structure and Molecular Response to Severe Unilateral Brain Injury
by Xixian Liao, Xiaojian Xu, Ming Li, Runfa Tian, Yuan Zhuang and Guoyi Gao
Brain Sci. 2025, 15(8), 837; https://doi.org/10.3390/brainsci15080837 - 5 Aug 2025
Cited by 2 | Viewed by 1449
Abstract
Background: Severe damage to one side of the brain often leads to adverse consequences and can also cause widespread changes throughout the brain, especially in the contralateral area. Studying molecular changes in the contralateral cerebral hemisphere, especially with regard to genetic regulation, [...] Read more.
Background: Severe damage to one side of the brain often leads to adverse consequences and can also cause widespread changes throughout the brain, especially in the contralateral area. Studying molecular changes in the contralateral cerebral hemisphere, especially with regard to genetic regulation, can help discover potential treatment strategies to promote recovery after severe brain trauma on one side. Methods: In our study, the right motor cortex was surgically removed to simulate severe unilateral brain injury, and changes in glial cells and synaptic structure in the contralateral cortex were subsequently assessed through immunohistological, morphological, and Western blot analyses. We conducted transcriptomic studies to explore changes in gene expression levels associated with the inflammatory response. Results: Seven days after corticotomy, levels of reactive astrocytes and hypertrophic microglia increased significantly in the experimental group, while synapsin-1 and PSD-95 levels in the contralateral motor cortex increased. These molecular changes are associated with structural changes, including destruction of dendritic structures and the encapsulation of astrocytes by synapses. Genome-wide transcriptome analysis showed a significant increase in gene pathways involved in inflammatory responses, synaptic activity, and nerve fiber regeneration in the contralateral cortex after corticorectomy. Key transcription factors such as NF-κB1, Rela, STAT3 and Jun were identified as potential regulators of these contralateral changes. Quantitative reverse transcription polymerase chain reaction (qRT-PCR) confirmed that the mRNA expression levels of Cacna1c, Tgfb1 and Slc2a1 genes related to STAT3, JUN, and NF-κB regulation significantly increased in the contralateral cortex of the experimental group. Conclusions: After unilateral brain damage occurs, changes in the contralateral cerebral hemisphere are closely related to processes involving inflammation and synaptic function. Full article
Show Figures

Figure 1

9 pages, 2601 KB  
Case Report
A Technique to Integrate a Simultaneous Tooth- and Bone-Supported Surgical Guide for Lateral Sinus Lift and Precision Corticotomy
by Andrew B. Cameron, Ranu Acharya, Lavanya Ajay Sharma, Tyng-Tyng Lee, Peng Shao and Ajay Sharma
Oral 2025, 5(1), 20; https://doi.org/10.3390/oral5010020 - 14 Mar 2025
Viewed by 2137
Abstract
Background/Objectives: Surgical guides have been used in a variety of dental procedures, such as implant placement to improve clinical accuracy and reduce post-operative complications. This report presents a novel and versatile workflow for the design and fabrication of a “multi-purpose” fully-guided tooth- and [...] Read more.
Background/Objectives: Surgical guides have been used in a variety of dental procedures, such as implant placement to improve clinical accuracy and reduce post-operative complications. This report presents a novel and versatile workflow for the design and fabrication of a “multi-purpose” fully-guided tooth- and bone-supported one-piece surgical guide. Methods: Briefly, intraoral and perioral anatomical features were captured by an intraoral scan and a cone-beam computed tomography scan. The data were segmented and aligned with analysis software to enable the digital design of surgical guides. The versatility of this method was demonstrated through its application in the two cases presented: the first involved a lateral sinus lift with simultaneous implant placement, and the second involved the removal of a foreign object from the alveolar bone prior to implant placement. Results: Positive clinical outcomes were confirmed at follow-up visits for up to 12 months. Conclusions: This method may be applied to a range of challenging clinical scenarios, such as apicectomy, the extraction of supernumerary or unerupted teeth, corticotomy to facilitate orthodontic movement, the precise reduction of bony spurs or exostoses, and the conservative surgical removal of pathologies. Full article
Show Figures

Figure 1

14 pages, 1457 KB  
Systematic Review
Reduction in Overall Time with Corticotomy Using Piezosurgery in Orthodontics: A Meta-Analysis of Randomized Clinical Trials
by Nur Ebrahim Zaidan, Federico Hernández-Alfaro, Hom-Lay Wang and Jordi Gargallo-Albiol
J. Clin. Med. 2025, 14(6), 1947; https://doi.org/10.3390/jcm14061947 - 13 Mar 2025
Cited by 3 | Viewed by 3061
Abstract
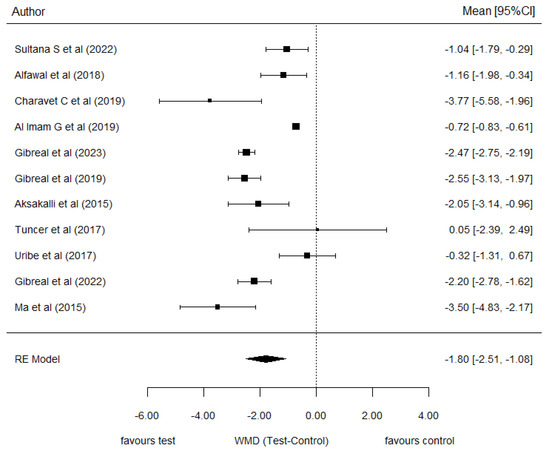
Background and Aims: Decortication of interdental alveolar cortical bone is performed to shorten orthodontic treatment duration. The objective of this meta-analysis was to evaluate the effect of corticotomy using piezosurgery on the reduction in orthodontic treatment time, comparing it to conventional single-phase orthodontic [...] Read more.
Background and Aims: Decortication of interdental alveolar cortical bone is performed to shorten orthodontic treatment duration. The objective of this meta-analysis was to evaluate the effect of corticotomy using piezosurgery on the reduction in orthodontic treatment time, comparing it to conventional single-phase orthodontic treatment. Methods: A thorough electronic search was performed to obtain randomized clinical trials that compared the treatment duration between piezocision-assisted orthodontic treatment with conventional orthodontic treatment. Overall treatment time measured in months, was analyzed, and patient age and tooth location were evaluated as potential factors affecting treatment duration. Results: Based on the eleven randomized clinical trials included in the meta-analysis, results showed a significant weighted mean difference between piezocision-assisted corticotomy orthodontics and conventional single-phase orthodontics only (−1.80 months, [95% CI (−2.51, −1.08), p = 0.771]). Patient age and tooth location showed no statistically significant difference between the investigated groups. Conclusions: Piezocision-assisted corticotomy is effective in accelerating orthodontic tooth movement and reducing an average of 1.80 months treatment time. This reduction, although modest, represents a 30.72% decrease in overall treatment duration. Full article
(This article belongs to the Section Dentistry, Oral Surgery and Oral Medicine)
Show Figures

Figure 1

16 pages, 6188 KB  
Case Report
Orthodontic Treatment of a Transmigrating Impacted Lower Canine Using a Digitally Designed and 3D-Printed Lingual Appliance Combined with Corticotomy and Laser Therapy—A Case Report
by Anna Ewa Kuc, Jacek Kotuła, Maria Kulgawczyk, Krzysztof Kotuła, Zuzanna Grzech-Leśniak, Aneta Zalewska, Justyna Kulikowska-Kulesza, Beata Kawala, Joanna Lis and Michał Sarul
J. Clin. Med. 2025, 14(4), 1368; https://doi.org/10.3390/jcm14041368 - 19 Feb 2025
Cited by 2 | Viewed by 3783
Abstract
Background: Canines play a vital functional and aesthetic role in human dentition, yet impacted canines, particularly in the mandible, are rare and can lead to functional disorders, such as the absence of canine guidance, while negatively affecting a patient’s self-esteem. Transmigration of mandibular [...] Read more.
Background: Canines play a vital functional and aesthetic role in human dentition, yet impacted canines, particularly in the mandible, are rare and can lead to functional disorders, such as the absence of canine guidance, while negatively affecting a patient’s self-esteem. Transmigration of mandibular canines adds complexity to treatment. One method to reduce the treatment time, especially for impacted teeth, is corticotomy-assisted orthodontic therapy (CAOT). Methods: A 13-year-old patient presented with a horizontally impacted lower right canine, positioned below the roots of the lower incisors, showing transmigration. A digitally designed and 3D-printed lingual appliance was attached to the lower molars with hooks on the lingual side, enabling the application of multi-directional orthodontic forces. CAOT was performed using an Er:YAG laser (LightWalker, Fotona, Ljubljana, Slovenia) at 200 mJ, 12 Hz, 2.4 W, with a pulse duration of 100 µs, and an MSP H14 conical tip (0.6 mm spot diameter). Photobiomodulation (PBM) with a 635 nm diode laser (Lasotronix, Smart ProM, Piaseczno, Poland) was applied at 10 J per point (20 J/cm2) for 100 s per point, with a total energy of 20 J per session to reduce the risk of root resorption, manage pain, and accelerate healing as the tooth was moved into the alveolar ridge. Results: The treatment duration was two and a half years. The lingual appliance with hooks allowed precise traction of the canine, aided by exposure from the lingual side and the attachment of a hook. Gentle forces applied via orthodontic thread gradually moved the canine beneath the oral mucosa. Mid-treatment cone beam computed tomography (CBCT) scans confirmed the absence of root resorption of the lower incisors. A corticotomy, enhanced by laser therapy, was performed before moving the canine into the alveolar ridge. The canine was successfully rotated 180° and positioned without any signs of resorption in the canine or adjacent teeth. Conclusions: The use of a digitally designed and 3D-printed lingual appliance with hooks allowed the precise control of the traction of impacted teeth. When combined with corticotomy and laser therapy, it minimised root resorption risks, reduced pain, accelerated healing, and improved the overall success of the orthodontic treatment. Full article
(This article belongs to the Special Issue Orthodontics: Current Advances and Future Options)
Show Figures

Figure 1

18 pages, 1030 KB  
Systematic Review
Evaluation of the Efficacy of Corticotomy and Piezocision on Canine Retraction: A Systematic Review
by Erica Lipani, Elisa Pisani, Mariagrazia Verrone, Federica Bitonto, Alessio Verdecchia and Enrico Spinas
Dent. J. 2025, 13(2), 57; https://doi.org/10.3390/dj13020057 - 27 Jan 2025
Cited by 2 | Viewed by 2842
Abstract
Background: In order to reduce the prolonged duration of orthodontic treatment, several surgical techniques have been proposed over the years. Corticotomy and piezocision are the two most widely used techniques, and, given the lack of consensus in the literature, along with the renewed [...] Read more.
Background: In order to reduce the prolonged duration of orthodontic treatment, several surgical techniques have been proposed over the years. Corticotomy and piezocision are the two most widely used techniques, and, given the lack of consensus in the literature, along with the renewed interest in these approaches in recent years, the primary objective of this study is to evaluate their effectiveness in accelerating canine retraction in patients requiring extraction of the upper first premolar and, as a secondary objective, to assess if there is a worsening of periodontal health and how the surgical approach is perceived by the patient. Methods: An electronic search was performed on PubMed, Scopus, Web of Science, Embase, and the Cochrane Central Register of Controlled Trials (CENTRAL) up to 30 November 2024. The PRISMA statement was adopted for the realization of the review, and the Cochrane Collaboration’s risk of bias assessment tool (RoB 2) was used to assess the studies’ quality. Results: After full text assessment, fifteen randomized clinical trials (14 split mouth design, 1 single-blind, single-center design) covering 326 patients (mean age 20, 19 years) were included. The data collected reveal that corticotomy accelerates canine retraction by 1.5 to 4 times, while piezocision achieves retraction 1.5 to 2 times faster, making corticotomy the most effective technique. No statistically significant adverse effects on periodontal ligament, molar anchorage loss, or root resorption were observed following the two surgical techniques. In addition, patients reported experiencing mild to moderate pain. Conclusions: Corticotomy and piezocision are effective techniques for accelerating upper canine retraction in extraction cases, significantly reducing the overall duration of orthodontic treatment. Full article
(This article belongs to the Special Issue Dentistry in the 21st Century: Challenges and Opportunities)
Show Figures

Figure 1

14 pages, 2945 KB  
Systematic Review
Efficacy of Invasive and Non-Invasive Methods in Orthodontic Tooth Movement Acceleration: A Systematic Review
by Laura Castillo-Montaño, Pedro Colino-Gallardo, Hugo Baptista-Sanchez, Isabel Drewling, Mario Alvarado-Lorenzo, Laura Antonio-Zancajo and Carlos Colino-Paniagua
Appl. Sci. 2024, 14(22), 10700; https://doi.org/10.3390/app142210700 - 19 Nov 2024
Cited by 1 | Viewed by 3777
Abstract
Objective: The aim of this review was to evaluate the currently available scientific evidence on the efficacy of different methods as accelerators of tooth movement during orthodontic treatment: corticotomies, piezocision, micro-osteoperforations (MOP), photobiomodulation (LLLT and LED laser) and microvibrations. Search Methods: A comprehensive [...] Read more.
Objective: The aim of this review was to evaluate the currently available scientific evidence on the efficacy of different methods as accelerators of tooth movement during orthodontic treatment: corticotomies, piezocision, micro-osteoperforations (MOP), photobiomodulation (LLLT and LED laser) and microvibrations. Search Methods: A comprehensive search was performed in the PubMed, Google Scholar, Scopus and Medline databases in May 2024. Selection Criteria: We selected randomized controlled trials based on acceleration of tooth movement during orthodontic treatment. Articles that were not randomized controlled trials (RCTs), were not published in the last ten years or corresponded to animal trials as well as those dealing with orthognathic surgery, distraction osteogenesis, electric currents, pulsed electric fields and pharmacological approaches were excluded. Results: Twenty-three studies were included in this review. All trials show accelerated tooth movement after low-level laser application, and seven studies support the efficacy of surgically assisted orthodontic treatment with corticotomies, piezocision or MOP. No article indicates statistically significant differences between the application of microvibration during orthodontic treatment and conventional treatment. No negative effects on the periodontium, loss of dental vitality or serious root resorption were reported in any publication, except in a study carried out with MOP (with an increase in root resorption). Conclusions: There is some evidence that low-level laser therapy and surgical methods are effective techniques in accelerating tooth movement during orthodontic treatment, while the evidence is very weak for vibration. Full article
Show Figures

Figure 1

14 pages, 478 KB  
Systematic Review
The Effect of Corticotomy-Assisted Orthodontic Therapy (CAOT) or Periodontally Accelerated Osteogenic Orthodontics (PAOO) on Bone Remodeling and the Health of Periodontium: A Systematic Review of Systematic Reviews
by Anna Ewa Kuc, Maria Kulgawczyk, Magdalena Ewa Sulewska, Natalia Kuc, Beata Kawala, Joanna Lis, Michał Sarul and Jacek Kotuła
J. Clin. Med. 2024, 13(19), 5726; https://doi.org/10.3390/jcm13195726 - 26 Sep 2024
Cited by 17 | Viewed by 5524
Abstract
Background: Orthodontic treatment involves moving teeth within the alveolar ridge. Bone remodeling is associated with the activity of osteoblasts and osteoclasts. Procedures such as corticotomy-assisted orthodontic therapy (CAOT) or periodontally accelerated osteogenic orthodontics (PAOO) are intended to reduce bone density and negative stress [...] Read more.
Background: Orthodontic treatment involves moving teeth within the alveolar ridge. Bone remodeling is associated with the activity of osteoblasts and osteoclasts. Procedures such as corticotomy-assisted orthodontic therapy (CAOT) or periodontally accelerated osteogenic orthodontics (PAOO) are intended to reduce bone density and negative stress on the grip side and therefore limit bone resorption during orthodontic movement or add bone substitute material so that the tooth does not cross the vestibular plate. Methods: The study was conducted in accordance with the PRISMA (Preferred Reporting Items for Systematic Reviews and Meta-Analyses) guidelines. The study design was defined in the PICO format—Population (P): patients with full permanent dentition, both adolescents and adults; Intervention (I): orthodontic treatment with fixed appliances using additional supportive treatments such as CAOT or PAOO; Comparison (C): assessment of the impact of additional treatments during orthodontic treatment on the remodeling of the alveolar bone and the condition of the periodontium; Result (O): statistically significant/non-significant differences in the condition of the alveolar bone before and after orthodontic treatment. Search filters include the time of publication of the article, systematic reviews from the last five years, and publications that appeared in English. The information provided in the abstracts of systematic reviews that describe the effects of additional procedures during orthodontic treatment such as CAOT or PAOO on the health of periodontium was analyzed. Articles unrelated to the subject of the planned study and those in which tooth movement acceleration was analyzed were excluded. Results: Eight articles were selected in which a total number of 835 subjects took part. The changes in bone density and effects on periodontium were different after CAOT and PAOO. Conclusions: The validity of CAOT and PAOO procedures remains controversial. Better results are obtained when combined with tissue augmentation or thickening of the gingival phenotype rather than as stand-alone procedures, as their uses to protect periodontal tissues are limited. Full article
(This article belongs to the Special Issue Orthodontics: Current Advances and Future Options)
Show Figures

Figure 1

21 pages, 4127 KB  
Article
Accelerated Orthodontics: A Descriptive Bibliometric Analysis of the Top 50 Cited Articles from 2012 to 2023
by Ahmed A. Alsulaiman and Osama A. Alsulaiman
Clin. Pract. 2024, 14(5), 1716-1736; https://doi.org/10.3390/clinpract14050137 - 29 Aug 2024
Cited by 3 | Viewed by 4611
Abstract
Background and Objectives: Accelerated orthodontics represents a significant shift in dental practice aimed at reducing treatment times while maintaining optimal patient outcomes. This bibliometric analysis evaluated the research landscape of accelerated orthodontics from 2012 to 2023, focusing on publication trends, citation patterns, influential [...] Read more.
Background and Objectives: Accelerated orthodontics represents a significant shift in dental practice aimed at reducing treatment times while maintaining optimal patient outcomes. This bibliometric analysis evaluated the research landscape of accelerated orthodontics from 2012 to 2023, focusing on publication trends, citation patterns, influential journals, leading institutions, and key contributors. Materials and Methods: A comprehensive search in Scopus identified 600 relevant articles, with the top 50 most-cited papers encompassing systematic reviews, randomized controlled trials, and experimental studies. Key techniques, such as corticotomy and piezocision, have been frequently highlighted for their effectiveness in expediting tooth movement. Results: The analysis revealed fluctuating annual scientific outputs, with notable peaks driven by technological advancements and increased patient demand for quicker orthodontic solutions. However, the production of high-impact papers was hindered by delays in citation accumulation and disruptions caused by the COVID-19 pandemic. Keyword analysis identified critical themes, such as orthodontic tooth movement, malocclusion, and demographic factors, while a global collaboration map underscored extensive international research partnerships. Leading journals included the American Journal of Orthodontics and Dentofacial Orthopedics, and prominent institutions such as the University of California at Los Angeles played significant roles in advancing the field. Conclusions: This study provides a comprehensive overview of the current state of accelerated orthodontics, emphasizing the need for continued research, particularly RCTs, to further refine and validate accelerated orthodontic techniques and improve clinical outcomes. Full article
Show Figures

Figure 1

13 pages, 8056 KB  
Article
Evaluation of Treatment Protocols in Surgically Assisted Rapid Maxillary Expansion by Finite Element Analysis
by Duygu Cihaner, Derya Karabulut, Ozen Dogan Onur, Erol Cansiz and Yunus Ziya Arslan
Medicina 2024, 60(9), 1400; https://doi.org/10.3390/medicina60091400 - 26 Aug 2024
Cited by 2 | Viewed by 1993
Abstract
Background and Objectives: Transverse maxillary deficiency is an important maxillary anomaly that is very common in society and remains current in orthodontics. The maxillary expansion has been used in treatment for a long time. While maxillary expansion can be performed with rapid [...] Read more.
Background and Objectives: Transverse maxillary deficiency is an important maxillary anomaly that is very common in society and remains current in orthodontics. The maxillary expansion has been used in treatment for a long time. While maxillary expansion can be performed with rapid maxillary expansion in young adults, it is performed with surgically assisted rapid maxillary expansion (SARME) in individuals who have reached skeletal maturity. No consensus has been reached on the most successful surgical technique or the ideal appliance for treating transverse maxillary deficiency. Accordingly, we aimed to evaluate various surgical techniques and orthodontic appliances for treating transverse maxillary deficiency using the finite element method (FEM) to identify the treatment protocol that minimizes stress on the maxillary bone and teeth. Materials and Methods: On the virtual models obtained from the cone beam computed tomography of a patient, two different incisions (the pterygomaxillary junction is separated and not separated) were made and combined using three different orthodontic appliances (tooth, bone, and hybrid assisted). Then, stresses over the maxillary bone and maxillary teeth were calculated by FEM. Results: Our results showed that when the pterygomaxillary plates were separated, fewer stresses were observed on the bone and teeth. Although hybrid-supported appliances created less stress on the teeth than tooth-supported appliances and no difference was found between bone-supported appliances, it was found that hybrid-supported appliances created less stress on the bone than the other appliances. Conclusions: The separation of the pterygomaxillary junction in the SARME operation and the use of a bone-supported or hybrid-supported appliance would place less stress on the bone and teeth. Full article
Show Figures

Figure 1

Back to TopTop