Sign in to use this feature.

Years

Between: -

Subjects

remove_circle_outline
remove_circle_outline
remove_circle_outline
remove_circle_outline
remove_circle_outline
remove_circle_outline
remove_circle_outline
remove_circle_outline
remove_circle_outline

Journals

remove_circle_outline
remove_circle_outline
remove_circle_outline
remove_circle_outline

Article Types

Countries / Regions

remove_circle_outline
remove_circle_outline
remove_circle_outline
remove_circle_outline
remove_circle_outline

Search Results (554)

Search Parameters:
Keywords = correlated PV

Order results
Result details
Results per page
Select all
Export citation of selected articles as:
9 pages, 616 KB  
Article
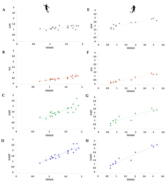
Expected Shot Impact Timing (xSIT) and Other Advanced Metrics as Indicators of Performance in English Men’s and Women’s Professional Football
by Blanca De-la-Cruz-Torres, Miguel Navarro-Castro and Anselmo Ruiz-de-Alarcón-Quintero
Data 2025, 10(10), 159; https://doi.org/10.3390/data10100159 - 2 Oct 2025
Viewed by 247
Abstract
Blackground: Football performance analysis has grown rapidly in recent years, with increasing interest in advanced metrics to more accurately evaluate both individual and team performance. The aim of this study was to examine the utility of the Expected Shots Impact Timing (xSIT) metric [...] Read more.
Blackground: Football performance analysis has grown rapidly in recent years, with increasing interest in advanced metrics to more accurately evaluate both individual and team performance. The aim of this study was to examine the utility of the Expected Shots Impact Timing (xSIT) metric as an indicator of shooting performance in English professional football, specifically in the men’s Premier League (PL) and the Women’s Super League (WSL). Methods: A total of 9831 shots from the PL (2015/16 season) and 3219 shots from the WSL (2020/21 season) were analyzed. Data were obtained from publicly accessible football databases. The variables examined included goals, Possession Value (PV), Expected Goals (xG), Expected Goals on Target (xGOT), and xSIT. All variables were normalized per match (90 min). Descriptive statistics, correlational analyses, and comparative analyses between leagues. Results: The WSL exhibited a significantly higher PV than the PL (p < 0.001), whereas the remaining metrics showed no significant differences between leagues (p > 0.05). Moreover, in the WSL, all performance indicators displayed very strong correlations with goals, while in the PL, similarly strong associations were observed, except for PV, which showed only a weak relationship. Conclusions: the xSIT metric, as an indicator of shooting performance, may be regarded as an influential factor in determining match outcomes across both leagues. Full article
(This article belongs to the Special Issue Big Data and Data-Driven Research in Sports)
Show Figures

Figure 1

14 pages, 2044 KB  
Article
Molecular Characterization of Wilson’s Disease in Liver Transplant Patients: A Five-Year Single-Center Experience in Iran
by Zahra Beyzaei, Melika Majed, Seyed Mohsen Dehghani, Mohammad Hadi Imanieh, Ali Khazaee, Bita Geramizadeh and Ralf Weiskirchen
Diagnostics 2025, 15(19), 2504; https://doi.org/10.3390/diagnostics15192504 - 1 Oct 2025
Viewed by 357
Abstract
Background/Objectives: Wilson’s disease (WD) is an autosomal recessive disorder characterized by pathological copper accumulation, primarily in the liver and brain. Severe hepatic involvement can be effectively treated with liver transplantation (LT). Geographic variation in ATP7B mutations suggests the presence of regional patterns [...] Read more.
Background/Objectives: Wilson’s disease (WD) is an autosomal recessive disorder characterized by pathological copper accumulation, primarily in the liver and brain. Severe hepatic involvement can be effectively treated with liver transplantation (LT). Geographic variation in ATP7B mutations suggests the presence of regional patterns that may impact disease presentation and management. This study aims to investigate the genetic basis of WD in patients from a major LT center in Iran. Methods: A retrospective analysis was conducted on clinical, biochemical, and pathological data from patients suspected of WD who underwent evaluation for LT between May 2020 and June 2025 at Shiraz University of Medical Sciences. Genetic testing was carried out on 20 patients at the Shiraz Transplant Research Center (STRC). Direct mutation analysis of ATP7B was performed for all patients, and the results correlated with clinical and demographic information. Results: In total, 20 WD patients who underwent liver transplantation (15 males, 5 females) carried 25 pathogenic or likely pathogenic ATP7B variants, 21 of which were previously unreported. Fifteen patients were homozygous, and five were compound-heterozygous; all heterozygous combinations occurred in the offspring of second-degree consanguineous unions. Recurrent changes included p.L549V, p.V872E, and p.P992S/L, while two nonsense variants (p.E1293X, p.R1319X) predicted truncated proteins. Variants were distributed across copper-binding, transmembrane, phosphorylation, and ATP-binding domains, and in silico AlphaMissense scores indicate damaging effects for most novel substitutions. Post-LT follow-up showed biochemical normalization in the majority of recipients, with five deaths recorded during the study period. Conclusions: This single-center Iranian study reveals a highly heterogeneous ATP7B mutational landscape with a large proportion of novel population-specific variants and underscores the benefit of comprehensive gene sequencing for timely WD diagnosis and family counseling, particularly in regions with prevalent consanguinity. Full article
Show Figures

Figure 1

11 pages, 627 KB  
Article
Prevalence of Arterial Stiffness Determined by Cardio-Ankle Vascular Index in Myeloproliferative Neoplasms
by Thanakharn Jindaluang, Ekarat Rattarittamrong, Chatree Chai-Adisaksopha, Pokpong Piriyakhuntorn, Lalita Norasetthada, Adisak Tantiworawit, Thanawat Rattanathammethee, Sasinee Hantrakool, Nonthakorn Hantrakun, Teerachat Punnachet, Piangrawee Niprapan, Siriluck Gunaparn and Arintaya Phrommintikul
J. Clin. Med. 2025, 14(19), 6944; https://doi.org/10.3390/jcm14196944 - 30 Sep 2025
Viewed by 199
Abstract
Objective: This study investigated the prevalence of arterial stiffness among individuals diagnosed with myeloproliferative neoplasms (MPNs), specifically essential thrombocythemia (ET), polycythemia vera (PV), and primary myelofibrosis (PMF). Methods: We performed a cross-sectional study at Chiang-Mai University Hospital, Thailand, defining arterial stiffness [...] Read more.
Objective: This study investigated the prevalence of arterial stiffness among individuals diagnosed with myeloproliferative neoplasms (MPNs), specifically essential thrombocythemia (ET), polycythemia vera (PV), and primary myelofibrosis (PMF). Methods: We performed a cross-sectional study at Chiang-Mai University Hospital, Thailand, defining arterial stiffness as a mean cardio-ankle vascular index (CAVI) ≥8.0. Patients were compared to age-, sex-, and Thai cardiovascular (CV) risk score-matched controls with CV risk factors. Additional outcomes included the 10-year CV risk in MPN patients, estimated by the Thai CV risk score, and the correlation between plasma C-reactive protein (CRP) levels and CAVI. Results: Eighty participants were included (50 with PV, 24 with ET, 6 with PMF; median age: 63.5 years). Arterial stiffness was present in 63.8% of MPN patients overall, with respective rates for ET, PV, and PMF being 70.8%, 60.0%, and 66.7% (p = 0.655). When compared to matched non-MPN controls with CV risk, prevalence of arterial stiffness did not differ significantly (65.2% vs. 60.9%, p = 0.539). The median estimated 10-year CV risk for patients with MPNs was 13.6% (range 0.7–30.0). No significant association was observed between CRP levels and mean CAVI (R = 0.208, p = 0.073). Conclusions: Arterial stiffness was detected in 63.8% of individuals with MPNs, a prevalence like that of matched non-MPN patients with CV risk factors. Full article
(This article belongs to the Section Hematology)
Show Figures

Figure 1

18 pages, 1089 KB  
Data Descriptor
Digital Accessibility of Solar Energy Variability Through Short-Term Measurements: Data Descriptor
by Fernando Venâncio Mucomole, Carlos Augusto Santos Silva and Lourenço Lázaro Magaia
Data 2025, 10(10), 154; https://doi.org/10.3390/data10100154 - 28 Sep 2025
Viewed by 192
Abstract
A variety of factors, such as absorption, reflection, and attenuation by atmospheric elements, influence the quantity of solar energy that reaches the surface of the Earth. This, in turn, impacts photovoltaic (PV) power generation. In light of this, a digital assessment of solar [...] Read more.
A variety of factors, such as absorption, reflection, and attenuation by atmospheric elements, influence the quantity of solar energy that reaches the surface of the Earth. This, in turn, impacts photovoltaic (PV) power generation. In light of this, a digital assessment of solar energy variability through short-term measurements was conducted to enhance PV power output. The clear-sky index Kt* methodology was employed, effectively eliminating any indications of solar energy obstruction and comparing the measured radiation to the theoretical clear-sky radiation. The solar energy data were gathered in Mozambique, specifically in the southern region at Maputo–1, Massangena, Ndindiza, and Pembe, in the mid-region at Chipera, Nhamadzi, Barue–1, and Barue–2, as well as in the northern region at Nipepe-1, Nipepe-2, Nanhupo-1, Nanhupo-2, and Chomba, over the period from 2005 to 2024, with measurement intervals ranging from 1 to 10 min and 1 h during the measurement campaigns conducted by FUNAE and INAM, with additional data sourced from the PVGIS, Meteonorm, NOAA, and NASA solar databases. The analysis indicates a Kt* value with a density approaching 1 for clear days, while intermediate-sky days exhibit characteristics that lie between those of clear and cloudy days. It can be inferred that there exists a robust correlation among sky types, with values ranging from 0.95 to 0.89 per station, alongside correlated energies, which experience a regression with coefficients between 0.79 and 0.95. Based on the analysis of the sample, the region demonstrates significant potential for solar energy utilization, and similar sampling methodologies can be applied in other locations to optimize PV output and other solar energy projects. Full article
(This article belongs to the Topic Smart Energy Systems, 2nd Edition)
Show Figures

Figure 1

14 pages, 2279 KB  
Article
Development of KASP Molecular Markers and Candidate Gene Mining for Heat Tolerance-Related Traits in Gossypium hirsutum
by Zhaolong Gong, Ni Yang, Shiwei Geng, Juyun Zheng, Zhi Liu, Fenglei Sun, Shengmei Li, Xueyuan Li, Yajun Liang and Junduo Wang
Genes 2025, 16(10), 1154; https://doi.org/10.3390/genes16101154 - 28 Sep 2025
Viewed by 299
Abstract
Background: High-temperature stress is one of the major abiotic stresses limiting cotton production. Identifying genetic loci and genes for heat tolerance is crucial for breeding heat-tolerant varieties. Methods: Given the complexity of heat tolerance phenotypes in cotton, this study, which focused [...] Read more.
Background: High-temperature stress is one of the major abiotic stresses limiting cotton production. Identifying genetic loci and genes for heat tolerance is crucial for breeding heat-tolerant varieties. Methods: Given the complexity of heat tolerance phenotypes in cotton, this study, which focused on resource materials, identified an A/C SNP mutation at position 5486185 on chromosome D06 within the heat tolerance interval through genome-wide association studies (GWAS) of natural Gossypium hirsutum populations. Results: A total of 308 resource materials were identified and evaluated for their heat tolerance phenotypes over two years of field research. Kompetitive allele-specific PCR (KASP) molecular markers were developed on the basis of the D06-5486185 SNP to characterize the heat tolerance phenotypes of these 308 resource materials. Genotyping for heat tolerance-related traits and agronomic traits was also performed. Materials with the C/C haplotype at position D06-5486185 presented increased heat tolerance (higher pollen viability (PV), leaf area (LA), chlorophyll (Chl) and number of bolls on the third fruit branch (FB3) and a lower number of dry buds (DBs) and drop rate (DR)) without negatively impacting key yield traits. This locus is located in the intergenic region of two adjacent bZIP transcription factor genes (GH_D06G0408 and GH_D06G0409). Expression analysis revealed that the expression levels of these two genes were significantly greater in heat-tolerant accessions (C/C type) than in sensitive accessions and that their expression levels were significantly correlated with multiple heat-tolerant phenotypes. Conclusions: In summary, this study developed a Kompetitive Allele Specific PCR (KASP) marker associated with heat tolerance in G. hirsutum and identified two key heat tolerance candidate genes. These results provide an efficient marker selection tool and important genetic resources for the molecular breeding of heat-tolerant G. hirsutum, laying an important foundation for further establishing a molecular marker-assisted breeding system for heat tolerance in G. hirsutum. Full article
(This article belongs to the Special Issue Genetic Research on Crop Stress Resistance and Quality Traits)
Show Figures

Figure 1

18 pages, 5326 KB  
Article
Analysis of Photovoltaic Cable Degradation and Fire Precursor Signals for Optimizing Integrated Power Grids
by Seong-Gwang Kim, Byung-Ik Jung, Ju-Ho Park, Yeo-Gyeong Lee and Sang-Yong Park
Energies 2025, 18(19), 5087; https://doi.org/10.3390/en18195087 - 24 Sep 2025
Viewed by 276
Abstract
Insulation degradation in photovoltaic (PV) cables can cause electrical faults and fire hazards, thereby compromising system reliability and safety. Early detection of precursor signals is crucial for preventive maintenance. However, conventional diagnostic techniques are limited to static assessments and fail to capture early-stage [...] Read more.
Insulation degradation in photovoltaic (PV) cables can cause electrical faults and fire hazards, thereby compromising system reliability and safety. Early detection of precursor signals is crucial for preventive maintenance. However, conventional diagnostic techniques are limited to static assessments and fail to capture early-stage electrical anomalies in real-time. This study investigates the time-series behavior of voltage, current, and temperature in PV cables under thermal stress conditions. Experiments were conducted using TFR-CV cables installed in a vertically stacked and tight-contact configuration. A gas torch was applied for localized heating to induce insulation degradation. A grid-connected testbed with six series-connected PV modules was constructed. Each module was instrumented with PV-M sensors, temperature sensors, and an infrared camera. Data were acquired at 1 Hz intervals. Results showed that cable surface temperature exceeded 280 °C during degradation. The output voltage exhibited transient surges of up to +13.3% and drops of −68%, while the output current decreased by over 20%, particularly in the PV-M3 module. These anomalies, such as thermal imbalance, voltage spikes/dips, and current drops, were closely associated with critical degradation points and are interpreted as precursor signals. This work confirms the feasibility of identifying fire-related precursors through real-time monitoring of PV cable electrical characteristics. The observed correlation between electrical responses and thermal expansion behaviors suggests a strong link to the stages of insulation degradation. Future work will focus on quantifying the relationship between degradation and electrical behavior under controlled environmental conditions. Full article
Show Figures

Figure 1

20 pages, 1583 KB  
Article
Population Dynamics of Plasmodium vivax in Mexico Determined by CSP, Pvs25, and SSU 18S rRNA S-Type Polymorphism Analyses
by Lilia González-Cerón, Delfino de Jesús Gómez-Pérez, Frida Santillán-Valenzuela, Marbella Ovilla-Muñoz, Carmen Guzmán-Bracho, Angélica Pech-May, Gerardo R. Amores, Alberto Montoya-Pérez and Cuauhtémoc Villarreal-Treviño
Microorganisms 2025, 13(9), 2221; https://doi.org/10.3390/microorganisms13092221 - 22 Sep 2025
Viewed by 874
Abstract
In Mexico, Plasmodium vivax transmission has been confined to the northwestern and southern regions since 2000. Parasites from five malaria foci were analyzed using three genetic markers. The circumsporozoite gene was examined by PCR-RFLP and sequencing, and pvs25 mutations and variants of ribosomal [...] Read more.
In Mexico, Plasmodium vivax transmission has been confined to the northwestern and southern regions since 2000. Parasites from five malaria foci were analyzed using three genetic markers. The circumsporozoite gene was examined by PCR-RFLP and sequencing, and pvs25 mutations and variants of ribosomal 18S SSU rRNA S-type were also determined. Previous data from the southernmost Pacific in Chiapas were included in the analysis. Both the VK210 and VK247 types of pvcsp were detected, and VK210 had greater haplotype diversity (0.860) than VK247 parasites (0.198). Two pvs25 mutations (Q87K and I130T) yielded three haplotypes, and two ribosomal variants were detected. Gene and multilocus haplotype frequencies varied among malarious foci (p < 0.001). An AMOVA test, FST values, and Spearman’s correlation suggested a structured P. vivax population among the malaria foci. Each malaria focus across the northwestern and southern regions retained a portion of the past countrywide P. vivax population, which seems unique in Latin America. In the Lacandon region (LR), a linkage equilibrium between pvs25 haplotypes and the ribosomal variants within the VK247 or VK210 populations was observed. This region harbored the broadest reservoir of P. vivax haplotypes, and the high adaptation of parasites in the northwestern region represents a challenge for malaria elimination. These finding are relevant for monitoring and epidemiological surveillance. Full article
(This article belongs to the Special Issue Research on Mosquito-Borne Pathogens)
Show Figures

Figure 1

26 pages, 8521 KB  
Article
Experimental Investigation of the Impact of Drip Irrigation on the Cooling Potential of Extensive Green Roofs
by Marek Chabada and Peter Juras
Buildings 2025, 15(18), 3430; https://doi.org/10.3390/buildings15183430 - 22 Sep 2025
Viewed by 212
Abstract
Extensive green roofs (EGRs) are recognized as a promising passive cooling strategy due to their low areal mass, yet their thermal performance is strongly influenced by water availability. While prior studies have focused primarily on continuous irrigation or small-scale modules, the response of [...] Read more.
Extensive green roofs (EGRs) are recognized as a promising passive cooling strategy due to their low areal mass, yet their thermal performance is strongly influenced by water availability. While prior studies have focused primarily on continuous irrigation or small-scale modules, the response of EGRs to temporary irrigation outages remains underexplored. This study presents a full-scale experimental investigation on an industrial roof segment in Dubnica nad Váhom, Slovakia, conducted during summer 2024. The thermal behavior of an EGR was compared to a conventional reflective flat roof (RR) and a roof with a hydroaccumulative layer covered with photovoltaic panels (PV). The experiment analyzed an unplanned irrigation interruption and the subsequent recovery, selecting representative three-day intervals from each phase. During non-irrigated periods under peak solar radiation, evapotranspiration (ET) was minimal, resulting in increased heat flux into the interior. After irrigation resumed, ET accounted for nearly 70% of net solar radiation, reducing interior heat flux to 32% of the non-irrigated value. Heat gain reductions between irrigated and non-irrigated days were 1% for RR, 38% for PV, and 68% for EGR, correlating with energy consumed for ET. These results highlight that active irrigation substantially enhances the cooling performance of EGRs, demonstrating their potential as an effective adaptation measure for buildings under extreme summer conditions. Full article
(This article belongs to the Section Building Energy, Physics, Environment, and Systems)
Show Figures

Figure 1

19 pages, 1934 KB  
Article
XGBoost-Based Very Short-Term Load Forecasting Using Day-Ahead Load Forecasting Results
by Kyung-Min Song, Tae-Geun Kim, Seung-Min Cho, Kyung-Bin Song and Sung-Guk Yoon
Electronics 2025, 14(18), 3747; https://doi.org/10.3390/electronics14183747 - 22 Sep 2025
Viewed by 526
Abstract
Accurate very short-term load forecasting (VSTLF) is critical to ensure a secure operation of power systems under increasing uncertainty due to renewables. This study proposes an eXtreme Gradient Boosting (XGBoost)-based VSTLF model that incorporates day-ahead load forecasts (DALF) results and load variation features. [...] Read more.
Accurate very short-term load forecasting (VSTLF) is critical to ensure a secure operation of power systems under increasing uncertainty due to renewables. This study proposes an eXtreme Gradient Boosting (XGBoost)-based VSTLF model that incorporates day-ahead load forecasts (DALF) results and load variation features. DALF results provide trend information for the target time, while load variation, the difference in historical electric load, captures residual patterns. The load reconstitution method is also adapted to mitigate the forecasting uncertainty caused by behind-the-meter (BTM) photovoltaic (PV) generation. Input features for the proposed VSTLF model are selected using Kendall’s tau correlation coefficient and a feature importance score to remove irrelevant variables. A case study with real data from the Korean power system confirms the proposed model’s high forecasting accuracy and robustness. Full article
Show Figures

Figure 1

15 pages, 3462 KB  
Article
Numerical Assessment of Electric Underfloor Heating Enhanced by Photovoltaic Integration
by Hana Charvátová, Aleš Procházka, Martin Zálešák and Vladimír Mařík
Sensors 2025, 25(18), 5916; https://doi.org/10.3390/s25185916 - 22 Sep 2025
Viewed by 338
Abstract
The integration of electric underfloor heating systems with photovoltaic (PV) panels presents a promising approach to enhance thermal efficiency and energy sustainability in residential heating. This study investigates the performance of such hybrid systems under different energy supply scenarios. Numerical modeling and simulations [...] Read more.
The integration of electric underfloor heating systems with photovoltaic (PV) panels presents a promising approach to enhance thermal efficiency and energy sustainability in residential heating. This study investigates the performance of such hybrid systems under different energy supply scenarios. Numerical modeling and simulations were employed to evaluate underfloor heating performance using three electricity sources: standard electric supply, solar-generated energy, and a combined configuration. Solar irradiance sensors were utilized to collect input solar radiation data, which served as a critical parameter for numerical modeling and simulations. The set outdoor air temperature used in the analysis represents an average value calculated from data measured by environmental sensors at the location of the building during the monitored period. Key metrics included indoor air temperature, time to thermal stability, and heat loss relative to outdoor conditions. The combined electric and solar-powered system demonstrated thermal efficiency, improving indoor air temperature by up to 63.6% compared to an unheated room and achieving thermal stability within 22 h. Solar-only configuration showed moderate improvements. Heat loss analysis revealed a strong correlation with indoor–outdoor temperature differentials. Hybrid underfloor heating systems integrating PV panels significantly enhance indoor thermal comfort and energy efficiency. These findings support the adoption of renewable energy technologies in residential heating, contributing to sustainable energy transitions. Full article
Show Figures

Figure 1

27 pages, 23612 KB  
Article
Assessment of Long-Term Photovoltaic (PV) Power Potential in China Based on High-Quality Solar Radiation and Optimal Tilt Angles of PV Panels
by Wenbo Zhao, Xiaotong Zhang, Shuyue Yang, Yanjun Duan, Lingfeng Lu, Xinpei Han, Lingchen Bu, Run Jia and Yunjun Yao
Remote Sens. 2025, 17(18), 3235; https://doi.org/10.3390/rs17183235 - 18 Sep 2025
Viewed by 390
Abstract
Solar photovoltaic (PV) plays a crucial role in China’s pursuit of carbon neutrality. Assessing the PV power potential over China is essential for future energy planning and policy making. Surface solar radiation and panel tilt angle are critical factors influencing PV power generation. [...] Read more.
Solar photovoltaic (PV) plays a crucial role in China’s pursuit of carbon neutrality. Assessing the PV power potential over China is essential for future energy planning and policy making. Surface solar radiation and panel tilt angle are critical factors influencing PV power generation. However, existing solar radiation datasets cannot fully meet assessment needs due to insufficient temporal coverage and limited accuracy, and the impact of panel tilt angles on PV potential is largely overlooked. This study developed a PV power estimation framework to assess the long-term (1980–2019) PV power potential at 609 stations across China, based on reconstructed high-quality solar radiation and optimized tilt angles. The validation of PV power estimates using ground measured outputs from four operational PV power stations indicated a correlation coefficient of 0.67 and a root mean square error of 0.07 for estimated daily capacity factor (CF). The assessment results revealed that the multi-year mean CF of China is 0.149 ± 0.031, with higher potentials in northern provinces and lower in southern provinces. The mean annual CF shows a declining trend of −7 × 10−4 per decade during 1980–2019, with significant decreases primarily in heavily polluted regions. In addition, we propose an optimal tilt angle estimation model based on diffuse fraction, achieving higher accuracy than previously released models. The estimated optimal tilt angle results in an increase in PV energy yield by 14.9 TWh/year for China compared with latitude-based schemes, based on China’s cumulative PV capacity by 2023 (609 GW). Our findings provide valuable insights for the effective implementation of solar PV projects in China. Full article
Show Figures

Figure 1

25 pages, 3618 KB  
Article
Effects of Aerosols and Clouds on Solar Energy Production from Bifacial Solar Park in Kozani, NW Greece
by Effrosyni Baxevanaki, Panagiotis G. Kosmopoulos, Rafaella-Eleni P. Sotiropoulou, Stavros Vigkos and Dimitris G. Kaskaoutis
Remote Sens. 2025, 17(18), 3201; https://doi.org/10.3390/rs17183201 - 16 Sep 2025
Viewed by 594
Abstract
The impact of aerosols and clouds on solar energy production is a critical factor for the performance of photovoltaic systems, particularly in regions with dynamic and seasonally variable atmospheric conditions. In Northwestern Greece, the bifacial solar park in Kozani—the largest in Eastern Europe—serves [...] Read more.
The impact of aerosols and clouds on solar energy production is a critical factor for the performance of photovoltaic systems, particularly in regions with dynamic and seasonally variable atmospheric conditions. In Northwestern Greece, the bifacial solar park in Kozani—the largest in Eastern Europe—serves as a valuable case study for evaluating these effects over a 20-year period (2004–2024). By integrating ERA5 reanalysis data and CAMS satellite-based radiation products with modeling tools such as PVGIS, seasonal and annual trends in solar irradiance attenuation were investigated. Results indicate that aerosols have the greatest impact on solar energy production during spring and summer, primarily due to increased anthropogenic and natural emissions, while cloud cover exerts the strongest effect in winter, consistent with the region’s climatic characteristics. ERA5’s estimation of absolute energy output shows a strong correlation with CAMS satellite data (R2 = 0.981), supporting its reliability for trend analysis and climatological studies related to solar potential dynamics in the Southern Balkans. The bifacial park demonstrates an increasing energy yield of approximately 800.71 MWh/year over the study period, corresponding to an annual reduction of ~538 metric tons of CO2 and a financial gain of ~12,827 €. This is the first study in the Eastern Mediterranean that combined ERA5 and CAMS datasets with the PVGIS simulation tool in a long-term evaluation of bifacial PV systems. The combined use of reanalysis and satellite datasets, rarely applied in previous studies, highlights the importance of localized, climate-informed modeling for energy planning and management, especially in a region undergoing delignification and decarbonization. Full article
(This article belongs to the Section Atmospheric Remote Sensing)
Show Figures

Figure 1

34 pages, 1582 KB  
Systematic Review
Machine Learning for Optimizing Urban Photovoltaics: A Review of Static and Dynamic Factors
by Mahdiyeh Tabatabaei and Ernesto Antonini
Sustainability 2025, 17(18), 8308; https://doi.org/10.3390/su17188308 - 16 Sep 2025
Viewed by 529
Abstract
Cities need photovoltaic (PV) systems to meet climate-neutral goals, yet dense urban forms and variable weather limit their output. This review synthesizes how machine learning (ML) models capture both static factors (orientation, roof, and façade geometry) and dynamic drivers (irradiance, transient shading, and [...] Read more.
Cities need photovoltaic (PV) systems to meet climate-neutral goals, yet dense urban forms and variable weather limit their output. This review synthesizes how machine learning (ML) models capture both static factors (orientation, roof, and façade geometry) and dynamic drivers (irradiance, transient shading, and meteorology) to predict and optimize urban PV performance. Following PRISMA 2020, we screened 111 records and analyzed 61 peer-reviewed studies (2020–2025), eight Horizon-Europe projects, as well as market reports. Deep learning models—mainly artificial and convolutional neural networks—typically reduce the mean absolute error by 10–30% (median ≈ 15%) compared with physical or empirical baselines, while random forests support transparent feature ranking. Short-term irradiance variability and local shading are the dominant dynamic drivers; roof shape and façade tilt lead the static set. Industry evidence aligns with these findings: ML-enabled inverters and module-level power electronics increase the measured annual yields by about 3–15%. A compact meta-analysis shows a pooled correlation of r ≈ 0.966 (R2 ≈ 0.933; 95% CI 0.961–0.970) and a pooled log error ratio of −0.16 (≈15% relative error reduction), with moderate heterogeneity. Key gaps remain, such as limited data from equatorial megacities, sparse techno-economic or life-cycle metrics, and few validations under heavy soiling. We call for open datasets from multiple cities and climates, and for on-device ML (Tiny Machine Learning) with uncertainty reporting to support bankable, city-scale PV deployment.” Full article
Show Figures

Figure 1

19 pages, 1040 KB  
Article
Very Short-Term Load Forecasting for Large Power Systems with Kalman Filter-Based Pseudo-Trend Information Using LSTM
by Tae-Geun Kim, Bo-Sung Kwon, Sung-Guk Yoon and Kyung-Bin Song
Energies 2025, 18(18), 4890; https://doi.org/10.3390/en18184890 - 15 Sep 2025
Viewed by 439
Abstract
The increasing integration of renewable energy resources, driven by carbon neutrality goals, has intensified load variability, thereby making very short-term load forecasting (VSTLF) more challenging. Accurate VSTLF is essential for the reliable and economical real-time operation of power systems. This study proposes a [...] Read more.
The increasing integration of renewable energy resources, driven by carbon neutrality goals, has intensified load variability, thereby making very short-term load forecasting (VSTLF) more challenging. Accurate VSTLF is essential for the reliable and economical real-time operation of power systems. This study proposes a Long Short-Term Memory (LSTM)-based VSTLF model designed to predict nationwide power system load, including renewable generation over a six-hour horizon with 15 min intervals. The model employs a reconstituted load approach that incorporates photovoltaic (PV) generation effects and computes representative weather variables across the country. Furthermore, the most informative input features are selected through a combination of correlation analyses. To further enhance input sequences, pseudo-trend components are generated using a Kalman filter-based predictor and integrated into the model input. The Kalman filter-based pseudo-trend produced an MAPE of 1.724%, and its inclusion in the proposed model reduced the forecasting error (MAPE) by 0.834 percentage points. Consequently, the final model achieved an MAPE of 0.890%, which is under 1% of the 94,929 MW nationwide peak load. Full article
(This article belongs to the Special Issue Advanced Load Forecasting Technologies for Power Systems)
Show Figures

Figure 1

27 pages, 7774 KB  
Article
Ultra-Short-Term Photovoltaic Cluster Power Prediction Based on Photovoltaic Cluster Dynamic Clustering and Spatiotemporal Heterogeneous Dynamic Graph Modeling
by Yingjie Liu and Mao Yang
Electronics 2025, 14(18), 3641; https://doi.org/10.3390/electronics14183641 - 15 Sep 2025
Viewed by 442
Abstract
Ultra-short-term photovoltaic (PV) cluster power prediction (PCPP) is crucial for intra-day energy dispatch. However, it faces significant challenges due to the chaotic nature of atmospheric systems and errors in meteorological forecasting. To address this, we propose a novel ultra-short-term PCPP strategy that introduces [...] Read more.
Ultra-short-term photovoltaic (PV) cluster power prediction (PCPP) is crucial for intra-day energy dispatch. However, it faces significant challenges due to the chaotic nature of atmospheric systems and errors in meteorological forecasting. To address this, we propose a novel ultra-short-term PCPP strategy that introduces a dynamic smoothing mechanism for PV clusters. This strategy introduces a smoothing convergence function to quantify sequence fluctuations and employs dynamic clustering based on this function to identify PV stations with complementary smoothing effects. We model the similarities in fluctuation amplitude, trend correlation, and degree correlation among sub-cluster nodes using a spatiotemporal heterogeneous dynamic graph convolutional neural network (STHDGCN). Three dynamic heterogeneous graphs are constructed to represent these spatiotemporal evolutionary relationships. Furthermore, a bidirectional temporal convolutional neural network (BITCN) is integrated to capture the temporal dependencies within each sub-cluster, ultimately predicting the output of each node. Experimental results using real-world data demonstrate that the proposed method reduces the normalized root mean square error (NRMSE) and normalized mean absolute error (NMAE) by an average of 6.90% and 4.15%, respectively, while improving the coefficient of determination (R2) by 34.36%, compared to conventional cluster prediction approaches. Full article
(This article belongs to the Special Issue Renewable Energy Power and Artificial Intelligence)
Show Figures

Figure 1

Back to TopTop