Sign in to use this feature.

Years

Between: -

Subjects

remove_circle_outline
remove_circle_outline
remove_circle_outline
remove_circle_outline
remove_circle_outline
remove_circle_outline
remove_circle_outline
remove_circle_outline
remove_circle_outline

Journals

remove_circle_outline
remove_circle_outline
remove_circle_outline
remove_circle_outline
remove_circle_outline
remove_circle_outline
remove_circle_outline
remove_circle_outline

Article Types

Countries / Regions

remove_circle_outline
remove_circle_outline
remove_circle_outline
remove_circle_outline
remove_circle_outline

Search Results (231)

Search Parameters:
Keywords = corn cob

Order results
Result details
Results per page
Select all
Export citation of selected articles as:
26 pages, 2949 KB  
Article
The Effects of Different Container Types and Substrate Ratios on the Growth Characteristics of Zelkova schneideriana Hand.-Mazz. Seedlings
by Jianbing Liu, Xin Zhao, Zhuping Li, Bin Li and Jindong Yan
Forests 2026, 17(4), 473; https://doi.org/10.3390/f17040473 - 12 Apr 2026
Viewed by 270
Abstract
To optimize container seedling cultivation of Chinese zelkova (Zelkova schneideriana Hand.-Mazz.), a three-factor completely randomized design was used to systematically evaluate the effects of container material, container size, and substrate composition on seedling growth, physiological traits, and root morphology. Different container materials, [...] Read more.
To optimize container seedling cultivation of Chinese zelkova (Zelkova schneideriana Hand.-Mazz.), a three-factor completely randomized design was used to systematically evaluate the effects of container material, container size, and substrate composition on seedling growth, physiological traits, and root morphology. Different container materials, three container sizes, and multiple composite substrates were tested. Seedling height, biomass accumulation, photosynthetic characteristics, and root morphological indices were measured, and principal component analysis combined with comprehensive evaluation was applied to identify optimal treatments. The results showed that container size was one of the major factors affecting overall seedling quality, with large containers generally enhancing seedling height, biomass accumulation, photosynthetic capacity, and root development. Among container materials, B-type containers generally exhibited better overall performance under medium- and large-size conditions. Substrate composition showed a significant regulatory effect under appropriate container conditions, and the T3 composite substrate, composed of yellow soil (40%), peat (10%), sphagnum peat (15%), vermiculite (10%), rice husk (15%), and corn cob (10%), achieved the highest comprehensive score. According to the PCA-based comprehensive evaluation, the T3/A3 treatment ranked first, followed by T3/B2. Overall, the combination of B-type containers, appropriate medium-to-large container size, and the T3 substrate showed superior nursery performance. In particular, T3/A3 ranked first in the comprehensive evaluation, followed by T3/B2, indicating that both large black plastic containers and medium-sized B-type containers performed well under the T3 substrate. Full article
(This article belongs to the Special Issue Advances in Forest Tree Seedling Cultivation Technology—2nd Edition)
Show Figures

Figure 1

27 pages, 2600 KB  
Article
Sustainable Remediation of Pharmaceuticals Using Crop-Residue-Derived Carbons: Bridging Multi-Component Adsorption and DFT Perspectives
by Assel A. Kurtebayeva, Silvia Álvarez-Torrellas, Juan García, Helder T. Gomes, Juan M. Garrido-Zoido, Maria Victoria Gil, Seitzhan A. Orynbayev and Marzhan S. Kalmakhanova
Molecules 2026, 31(7), 1162; https://doi.org/10.3390/molecules31071162 - 31 Mar 2026
Viewed by 312
Abstract
This work is devoted to the synthesis and comprehensive study of activated carbons (ACs) obtained from agricultural wastes—specifically corn cob (C) and onion (O)—for the effective removal of paracetamol (PCM) and sulfamethoxazole (SMX) from aqueous media. The synthesis was carried out by chemical [...] Read more.
This work is devoted to the synthesis and comprehensive study of activated carbons (ACs) obtained from agricultural wastes—specifically corn cob (C) and onion (O)—for the effective removal of paracetamol (PCM) and sulfamethoxazole (SMX) from aqueous media. The synthesis was carried out by chemical activation using H3PO4, HNO3, and NaOH as activating agents, which made it possible to obtain materials with a clearly defined microporous structure (microporous fraction Vmicro/Vtotal = 0.75–0.81) and specific surface chemistry. Particular attention was paid to studying the kinetics and equilibrium of adsorption in both single-component and binary (two-pollutant) systems. It was established that the equilibrium time is 8 h, and the experimental data are best described by a pseudo-second-order kinetic model. During binary adsorption tests, the competitive behavior was observed for certain materials, such as the corn-derived carbon activated with HNO3 (AC-CN) and the onion-derived carbon activated with HNO3 (AC-ON), where molecules compete for active sites. Conversely, synergistic effects were identified in other systems, controlled by specific surface-functional groups and hydration effects. The maximum adsorption capacity was found to be 29.4 mg∙g−1 for PCM on the AC-CN sample. Adsorption mechanisms, including multilayer isotherm profiles and the competition between pollutant and water molecules, were interpreted using quantum chemical calculations within the framework of Density Functional Theory (DFT). These calculations revealed that partial deprotonation and intense solvation of SMX molecules at natural pH reduce their adsorption capacity. In contrast, the PCM structure favors π-π interactions and the formation of strong hydrogen bonds with oxygen-containing groups on the carbon surface. These results demonstrate the high potential of using agro-industrial waste to create a new generation of selective adsorbents with tailored surface properties. Full article
(This article belongs to the Section Materials Chemistry)
Show Figures

Figure 1

14 pages, 268 KB  
Article
Priestia megaterium Thr45 Reduces Nitrogen and Potassium Fertilizer Inputs While Enhancing Soil Fertility and Baby Maize Yield
by Phan Tran Hai Dang and Nguyen Van Chuong
Nitrogen 2026, 7(1), 32; https://doi.org/10.3390/nitrogen7010032 - 20 Mar 2026
Cited by 1 | Viewed by 396
Abstract
Baby maize (Zea mays L.) is a high-value horticultural crop widely cultivated due to its short growth cycle and strong market demand. However, intensive production systems often rely heavily on chemical fertilizers, leading to reduced nutrient use efficiency and potential soil degradation. [...] Read more.
Baby maize (Zea mays L.) is a high-value horticultural crop widely cultivated due to its short growth cycle and strong market demand. However, intensive production systems often rely heavily on chemical fertilizers, leading to reduced nutrient use efficiency and potential soil degradation. The present study investigated the potential of the Priestia megaterium Thr45 to enhance soil fertility, improve crop performance, and optimize fertilizer management in baby maize cultivation. A field experiment was conducted using a three-factor factorial design consisting of bacterial inoculation, different urea application rates, and different KCl rates. Soil chemical properties, plant growth parameters, yield components, and nutrient composition of edible cobs were evaluated. The results showed that inoculation with P. megaterium Thr45 significantly increased available phosphorus and exchangeable potassium in soil compared with the non-inoculated control. Inoculated plants exhibited higher chlorophyll content, greater leaf development, and increased plant height during early growth stages. Bacterial inoculation also significantly improved yield components, including ear number, ear yield, edible cob yield, and plant biomass. Furthermore, the nutritional quality of baby corn was enhanced, as reflected by increased protein and mineral (N, P, and K) concentrations in edible cobs. Significant interactions between bacterial inoculation and fertilizer treatments indicated that the beneficial effects of P. megaterium Thr45 were closely associated with nutrient management practices. Notably, comparable yield and nutritional quality were achieved under reduced nitrogen and potassium fertilizer inputs when combined with bacterial inoculation. These findings highlight the novel potential of P. megaterium Thr45 as an effective biofertilizer for improving nutrient availability, maintaining high productivity, and supporting sustainable baby maize production with reduced chemical fertilizer inputs Full article
(This article belongs to the Special Issue Optimizing Nitrogen Fertilizer Use in Crop Production)
24 pages, 3691 KB  
Article
Tailored Biochar–Pseudomonas chlororaphis Composites for Triclocarban Removal: A Feedstock-Dependent Structure–Interface–Metabolism Study
by Changlei Wang, Chongshu Li, Fangrong Wei, Jialin Liu, Yan Long and Jinshao Ye
Int. J. Mol. Sci. 2026, 27(6), 2684; https://doi.org/10.3390/ijms27062684 - 15 Mar 2026
Viewed by 440
Abstract
Biochar provides a porous scaffold, conductive carbon framework and redox-active surface functional that can promote microbial attachment and extracellular electron flow. However, how feedstock-dependent biochar properties regulate the biochar–cell interface and microbial metabolism during contaminant removal remains insufficiently understood. Here, biochar derived from [...] Read more.
Biochar provides a porous scaffold, conductive carbon framework and redox-active surface functional that can promote microbial attachment and extracellular electron flow. However, how feedstock-dependent biochar properties regulate the biochar–cell interface and microbial metabolism during contaminant removal remains insufficiently understood. Here, biochar derived from rice husk, corn straw and corn cob was used to immobilize Pseudomonas chlororaphis for triclocarban removal in batch microcosms. Multiscale analyses, including scanning electron microscopy (SEM), fourier transform infrared spectroscopy (FTIR), X-ray photoelectron spectroscopy (XPS), cyclic voltammetry (CV), (electrochemical impedance spectroscopy (EIS) and liquid chromatography–mass spectrometryLC-MS, were combined to link the biochar structure, interface and extracellular metabolism signatures with triclocarban (TCC) removal. Compared with free cells, all composites enhanced TCC removal and exhibited altered interfacial functional-group features together with substantially reduced fitted charge-transfer resistance, indicating facilitated interfacial electron exchange. Untargeted metabolomics further revealed consistent remodeling of extracellular redox-associated metabolite signatures upon immobilization, with increased quinone/polyphenol-associated features and pathway-level shifts related to redox homeostasis. Among feedstocks, the corn cob composite showed the highest triclocarban removal. Overall, this work proposes an evidence-supported “structure–interface–metabolism” framework for interpreting how agricultural-residue biochars modulate biofilm interfaces and redox-related metabolic signatures to improve triclocarban removal, providing guidance for designing biochar-supported bioprocesses for halogenated micropollutants. Full article
(This article belongs to the Special Issue Polymer Biocomposites: Synthesis, Applications and End-Life)
Show Figures

Graphical abstract

14 pages, 3283 KB  
Article
Growth of Chrysopogon zizanioides in Floating Treatment Wetlands with Different Substrates for the Remediation of an Urban River
by Luis Alfredo Hernández-Vásquez, Mauricio Rojas-Ascensión, Sergio Reyes Rosas, Rubén Daniel Hernández Cruz, Miguel Ángel Vega-Ortega, Gregorio Hernández-Salinas, Marco Antonio Benítez-Espíndola and Luis Carlos Sandoval Herazo
Limnol. Rev. 2026, 26(1), 7; https://doi.org/10.3390/limnolrev26010007 - 20 Feb 2026
Viewed by 621
Abstract
Urban river degradation demands remediation strategies that are both environmentally sustainable and technically feasible. This study evaluated the performance of Floating Treatment Wetlands (FTWs) vegetated with Chrysopogon zizanioides (vetiver) and incorporating four substrate configurations: leaf litter (LL), red volcanic rock (RVR), corn cobs [...] Read more.
Urban river degradation demands remediation strategies that are both environmentally sustainable and technically feasible. This study evaluated the performance of Floating Treatment Wetlands (FTWs) vegetated with Chrysopogon zizanioides (vetiver) and incorporating four substrate configurations: leaf litter (LL), red volcanic rock (RVR), corn cobs (CC), and a composite mixture of all three, for the rehabilitation of the “Paseo de Los Ahuehuetes” River in Veracruz, Mexico. Over a 182-day monitoring period, in situ water quality parameters and plant growth responses were systematically assessed. The results indicate that substrate selection is a decisive design factor governing the establishment and development of C. zizanioides in FTWs. Among the substrates tested, LL exhibited the most favorable performance, achieving the highest plant survival (82%), enhanced shoot elongation (71.5 ± 12.1 cm), greater root development (49.7 ± 10.0 cm), and the highest relative growth rate (0.028 g g−1 d−1), with statistically significant differences (p < 0.05) compared to CC. Additionally, localized improvements in water quality within the FTW zone were observed, including an increase in dissolved oxygen (2.07%) and a reduction in total dissolved solids (5.65%), likely associated with intensified rhizospheric processes. Overall, these findings identify leaf litter as a low-cost, locally available, and environmentally sustainable substrate that enhances vetiver establishment in FTWs. The study provides practical, evidence-based criteria for the design of nature-based phytoremediation systems aimed at the restoration of urban river ecosystems. Full article
Show Figures

Figure 1

21 pages, 6242 KB  
Article
Scenario-Based Optimization of Hybrid Renewable Energy Mixes for Off-Grid Rural Electrification in Laguna, Philippines
by Jose Mari Lit and Takaaki Furubayashi
Energies 2026, 19(4), 936; https://doi.org/10.3390/en19040936 - 11 Feb 2026
Viewed by 651
Abstract
The Philippines, which is rich in natural resources, has significant biomass potential. Among the country’s renewable energy sources, biomass is currently the slowest-growing in terms of power generation. Various types of biomass resources with full or partial use in Laguna Province include bagasse, [...] Read more.
The Philippines, which is rich in natural resources, has significant biomass potential. Among the country’s renewable energy sources, biomass is currently the slowest-growing in terms of power generation. Various types of biomass resources with full or partial use in Laguna Province include bagasse, sweet sorghum, coconut, rice husk, corn cobs, and municipal solid waste. Additionally, the adoption and implementation of HRESs (hybrid renewable energy systems) are mainly achieved through large-scale projects. This paper intentionally showcases highly optimized hybrid configurations for off-grid microgrids to promote rural electrification in Laguna, with a focus on various technoeconomic parameters, specifically the minimization of net present costs and the levelized cost of electricity across all simulations. Each off-grid scenario was compared with scenarios featuring hybrid renewable energy systems incorporating a biomass generator. Laguna, one of the few provinces in the Philippines with all forms of renewable energy systems present, each with high renewable energy potential and renewable fraction values, was selected as the primary study site in this paper. After optimizing and analyzing technoeconomic parameters such as the net present cost and the levelized cost of electricity, a hybrid biomass-solar-wind energy system is proposed to power off-grid areas in Laguna, thereby supporting rural electrification and decarbonization goals. Scenario simulations and comparisons using hybrid optimization demonstrate that adding battery backup systems improves both economic and environmental performance. This paper highlights two key benefits of including a biomass generator: (1) a 17.0% reduction in long-term carbon emissions for the entire system and (2) approximately 9.4% savings in operation and maintenance costs after seven years. The optimization results support the goal of providing Laguna with power through off-grid, decentralized, community-based hybrid renewable energy systems. Full article
Show Figures

Figure 1

14 pages, 1413 KB  
Article
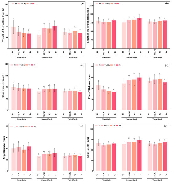
Effect of Corn Cobs Replacing Cottonseed Hulls on the Cultivation of Pleurotus giganteus
by Ji-Wen Zhang, Gang Huang, Wen-Hao Cui, Hao-Ran Dong, Ji-Ling Song, Xuan Cheng and Hai-Long Yu
Horticulturae 2026, 12(2), 213; https://doi.org/10.3390/horticulturae12020213 - 9 Feb 2026
Viewed by 319
Abstract
To reduce the production cost of Pleurotus giganteus and to valorize agricultural waste, this study investigated the effects of substituting cottonseed hull with corn cob (a major lignocellulosic by-product of maize production) on the mycelial growth, agronomic traits, nutrient composition, commercial quality, and [...] Read more.
To reduce the production cost of Pleurotus giganteus and to valorize agricultural waste, this study investigated the effects of substituting cottonseed hull with corn cob (a major lignocellulosic by-product of maize production) on the mycelial growth, agronomic traits, nutrient composition, commercial quality, and economic benefits of P. giganteus ‘Shenxun No.1’. The aim was to verify the feasibility of this substitution and screen optimal substrate formulations for industrial cultivation. Four substrate formulations with corn cob substitution ratios of 0% (T1), 15% (T2, control), 30% (T3), and 45% (T4) were designed, while adjusting cottonseed hull proportions to 45%, 30%, 15%, and 0%, respectively. Mycelial colonization performance, fruiting body agronomic traits (yield and cap/stipe characteristics), nutrient contents (crude protein, crude fiber, etc.), and commercial traits (marketable yield and production cost) were systematically determined and analyzed. The results showed that corn cob content exceeding 15% prolonged the substrate bag colonization time by 5–7 days, but T4 (45% corn cob) resulted in the densest mycelia with excellent structural development. In terms of fruiting bodies, T4 exhibited the highest yield in the second harvest flush and the highest total yield across three flushes. Nutritionally, crude protein content of fruiting bodies decreased by 10.48% in T4 compared to T1, while crude fiber content increased with rising corn cob proportion; no significant difference in crude polysaccharide content was observed among formulations. Importantly, corn cob substitution did not impair the commercial traits of fruiting bodies, and T4 achieved the lowest material cost per bag (0.78 CNY) with an optimal cost–benefit ratio. In conclusion, corn cob is a viable and cost-effective substitute for cottonseed hull in P. giganteus cultivation, and the 45% substitution formulation (T4) is recommended for industrial production due to its superior yield performance and economic benefits. This study provides a theoretical basis for sustainable utilization of agricultural waste and optimization of P. giganteus cultivation systems. Full article
(This article belongs to the Special Issue Advances in Propagation and Cultivation of Mushroom)
Show Figures

Figure 1

20 pages, 13192 KB  
Article
Experimental and Numerical Investigation of Heat and Mass Transfer During Solar Drying of Corn Cobs in Flexible Bulk Containers
by Baydaulet Urmashev, Ardak Mustafayeva, Indira Daurenova, Roman Mamonov, Daulet Toibazar and Marat Khazimov
Energies 2026, 19(3), 849; https://doi.org/10.3390/en19030849 - 5 Feb 2026
Viewed by 381
Abstract
This paper presents a simulation of the heat exchange process in a solar dryer designed for corn cobs placed in flexible bulk containers (Big-Bag type). The distinctive feature of this drying system is the use of soft load-bearing containers, which simplify loading, unloading, [...] Read more.
This paper presents a simulation of the heat exchange process in a solar dryer designed for corn cobs placed in flexible bulk containers (Big-Bag type). The distinctive feature of this drying system is the use of soft load-bearing containers, which simplify loading, unloading, and transportation, while also reducing mechanical damage to the corn cobs. The bottom of each container is perforated to allow the free flow of heated drying agent into the chamber. The study aims to improve the efficiency of the solar drying process to reduce the moisture content of corn cobs below 15%, thereby ensuring the required quality during storage and transport. To validate the drying regimes and parameters, heat and mass transfer processes were simulated using numerical modeling and experimental design methods based on a laboratory-scale physical model of the drying chamber. Numerical simulations were performed using the Reynolds-averaged equations coupled with the heat conduction equation for three porosity coefficients: 0.35, 0.45, and 0.55. The models provided contours of temperature and humidity distribution within the confined boundaries of the drying chamber and individual corn cobs, positioned both vertically and horizontally within the airflow zone, for varying drying durations. The core novelty of this research is the development of an optimized framework for solar drying corn in flexible containers, which integrates numerical simulation with experimental validation to establish key efficient parameters. Specifically, the study provides the following: (1) a validated regression model linking moisture content to airflow rate, drying time, and layer thickness at 45 °C; and (2) a detailed analysis of thermo-hydraulic contours within both the chamber and individual cobs for different porosities, offering practical insights for system design and operation. Full article
Show Figures

Figure 1

25 pages, 4958 KB  
Article
Bioremediation of Saline-Alkali Soil Using a Waste Biomass-Functional Microorganism Composite Amendment and Preliminary Multi-Crop Field Validation
by Mengmeng Zhao, Xiong Chen, Wei Liu, Ziting Li, Wangrun Li, Fanfan Yang, Zixuan Guo, Zhaoyu Li, Yongqiang Tian, Wei Zhang, Gaosen Zhang and Tuo Chen
Microorganisms 2026, 14(2), 304; https://doi.org/10.3390/microorganisms14020304 - 28 Jan 2026
Viewed by 727
Abstract
Soil salinization threatens crop production; however, in multi-crop field systems, evidence for the effectiveness of waste biomass-functional microorganism composite amendments remains limited. Here, we developed a composite microbial soil conditioner (F2) using pine needles and crushed corn cobs as carriers combined with salt-tolerant [...] Read more.
Soil salinization threatens crop production; however, in multi-crop field systems, evidence for the effectiveness of waste biomass-functional microorganism composite amendments remains limited. Here, we developed a composite microbial soil conditioner (F2) using pine needles and crushed corn cobs as carriers combined with salt-tolerant strains Bacillus subtilis (K1), Azotobacter chroococcum (Y1), and Bacillus gelatinus (J3) to remediate moderately saline-alkali soil from central Gansu (pH 8.36 ± 0.18; EC 1658 ± 55.24 μS·cm−1). Saturation screening identified an optimal carrier ratio of pine needles:corn cobs = 1:2 and an inoculum ratio of K1:Y1:J3 = 1:2:1. In pot experiments, F2 increased soil organic matter and water-holding capacity, enhanced alkaline phosphatase, urease, and sucrase activities, and significantly reduced soil pH and EC. Maize seedling height and chlorophyll content increased by 53.87% and 38.88%, respectively. Amplicon-based microbiome profiling indicated enrichment of beneficial microbial taxa and strengthened primary metabolic functions under F2. Field validation across five crops (flax, potato, edible sunflower, sorghum, and maize) showed consistent growth and yield-related improvements. Overall, these results demonstrate that the biomass–microbe composite amendment effectively alleviates saline-alkali constraints by jointly improving soil properties, microbial functions, and crop performance. Full article
Show Figures

Graphical abstract

25 pages, 7054 KB  
Article
Comparative Study of Biochar from Different Biomass Feedstocks: Toward Sustainable Resource Utilization and Environmental Applications
by Nina Đukanović, Tamara Apostolović, Jasmina Anojčić, Sanja Mutić, Tijana Marjanović Srebro, Gábor Kozma, Cora Deák, Snežana Maletić and Jelena Beljin
Molecules 2026, 31(1), 37; https://doi.org/10.3390/molecules31010037 - 22 Dec 2025
Cited by 7 | Viewed by 1620
Abstract
This study examines the structural, chemical, and thermal properties of biochars from slow pyrolysis of hardwood (HW), corn cob (CC), and wheat straw (WS) at 400 °C and 700 °C, evaluating their potential in environmental and industrial applications. A combination of spectroscopic, crystallographic, [...] Read more.
This study examines the structural, chemical, and thermal properties of biochars from slow pyrolysis of hardwood (HW), corn cob (CC), and wheat straw (WS) at 400 °C and 700 °C, evaluating their potential in environmental and industrial applications. A combination of spectroscopic, crystallographic, thermal, and microscopic techniques was employed to monitor the degradation of biomass components and the development of the carbonaceous matrix. The results show that pyrolysis temperature has a significant impact on the properties of biochar. Higher temperatures (700 °C) increased the pH (up to 10.3 for WS700), the carbon content (e.g., 89.8% for HW700), the ash content (up to 24.8% for WS700), and the specific surface area (e.g., 306.87 m2/g for CC700) while decreasing polar functional groups and volatile matter (as confirmed by FTIR). SEM showed enhanced porosity at 700 °C, which was supported by BET analysis. XRD and Raman showed increased graphitization and structural order with temperature, especially for HW and CC biochars, while WS biochars retained mineral components like SiO2 and CaCO3. TGA analysis showed improved thermal stability at 700 °C only for biochar derived from wheat straw, while HW and CC biochars showed similar total mass loss regardless of pyrolysis temperature. These biochars exhibit high potential for soil remediation (high pH), water purification (large surface area), and carbon storage (high aromaticity), with HW700 and CC700 also suitable for high-temperature industrial applications due to their stability. Full article
Show Figures

Figure 1

28 pages, 1497 KB  
Review
Corn Stover for Food Applications: Approaches, Advances and Insights
by Mariana Ochoa-Castaño, Nicolás Montoya-Escobar, Jorge Andrés Velásquez-Cock and Catalina Gómez-Hoyos
Molecules 2026, 31(1), 27; https://doi.org/10.3390/molecules31010027 - 22 Dec 2025
Cited by 2 | Viewed by 1473
Abstract
Corn processing generates substantial volumes of agricultural by-products, collectively referred to as corn stover, comprising husks, cobs, stalks, leaves, and silks. Although rich in bioactive compounds, these by-products are still predominantly destined for low-value uses such as landfilling and open-field burning. They contain [...] Read more.
Corn processing generates substantial volumes of agricultural by-products, collectively referred to as corn stover, comprising husks, cobs, stalks, leaves, and silks. Although rich in bioactive compounds, these by-products are still predominantly destined for low-value uses such as landfilling and open-field burning. They contain valuable biomolecules such as lignocellulosic fibers, starch, pectin, proteins, and polyphenols, all of which hold significant potential for applications in agricultural and food industries. These compounds offer opportunities as sustainable alternatives to conventional ingredients and as novel functional additives. However, utilization of corn stover remains focused on biofuel production, limiting the development of applications in broader, high-value fields such as functional food ingredients. This review aims to highlight the opportunities that corn stover presents for developing solutions for food production, which is becoming increasingly important as the global population continues to grow and food demand rises, particularly in regions where access to sufficient and nutritious food remains limited. It also considers the challenges to be solved in order to incorporate corn stover in circular economies, like the impact of pesticide presence on derived products and gaps of emerging strategies for scaling up production in alignment with circular economy goals and the high-value utilization of corn stover. Full article
(This article belongs to the Special Issue Bioactive Compounds in Plants: Extraction and Application)
Show Figures

Graphical abstract

19 pages, 2702 KB  
Article
Sustainable Activation of Persulfate Using Corn Cob Biochar for Pesticide Degradation in Wastewater Treatment
by Tijana Marjanović Srebro, Nina Đukanović, Tajana Simetić, Tamara Apostolović, Jasmina Anojčić, Sanja Mutić and Jelena Beljin
Molecules 2025, 30(24), 4764; https://doi.org/10.3390/molecules30244764 - 13 Dec 2025
Viewed by 578
Abstract
This study investigates the potential of corn cob-derived biochars produced at 400 °C (BC400) and 700 °C (BC700) as heterogeneous catalysts for the degradation of organochlorine pesticides, lindane and β-endosulfan, through persulfate-based advanced oxidation processes (AOPs). BC700 exhibited enhanced degradation performance compared to [...] Read more.
This study investigates the potential of corn cob-derived biochars produced at 400 °C (BC400) and 700 °C (BC700) as heterogeneous catalysts for the degradation of organochlorine pesticides, lindane and β-endosulfan, through persulfate-based advanced oxidation processes (AOPs). BC700 exhibited enhanced degradation performance compared to BC400, likely due to its greater surface area, higher aromaticity, and lower surface polarity. Under optimized conditions (3.0 mM persulfate, pH 7.02, 0.2 g/L biochar), BC700 enabled the removal of up to 94% of β-endosulfan and 82% of lindane within four hours. Quenching experiments suggested different dominant degradation pathways: singlet oxygen (1O2) appeared to play a key role in lindane degradation, while β-endosulfan degradation likely involved both radical (SO4•−, HO) and non-radical mechanisms. Reusability tests indicated that BC700 retained catalytic activity for β-endosulfan across multiple cycles, whereas lindane degradation efficiency decreased, possibly due to surface fouling or catalyst deactivation. Experiments conducted in real surface water highlighted the influence of matrix components, with partial inhibition observed for β-endosulfan and an unexpected improvement in lindane removal. These results point to the promise of high-temperature corn cob biochar as a selective and potentially reusable catalyst for AOPs in water treatment, warranting further investigation into regeneration strategies and matrix-specific effects. Full article
Show Figures

Figure 1

23 pages, 3378 KB  
Article
Impact of Particle Size on the Aerobic Decomposition and Fertilizer Efficiency of Corn Cobs: A Sustainable Waste-to-Resource Approach
by Qian Liu, Pengbing Wu, Xingchi Guo, Ying Qu, Junyan Zheng, Yuhe Xing, Zhiyu Dong, Wei Yu, Guoyu Zhang and Xu Zhang
Biology 2025, 14(11), 1610; https://doi.org/10.3390/biology14111610 - 17 Nov 2025
Viewed by 1070
Abstract
The conversion of agricultural residues into high-value organic amendments is fundamental to sustainable farming systems. Corn cobs represent a widely available lignocellulosic resource; however, their rigid structural properties often hinder efficient biodegradation during composting. This study evaluated whether optimizing corn cob particle size [...] Read more.
The conversion of agricultural residues into high-value organic amendments is fundamental to sustainable farming systems. Corn cobs represent a widely available lignocellulosic resource; however, their rigid structural properties often hinder efficient biodegradation during composting. This study evaluated whether optimizing corn cob particle size could improve aerobic composting performance by enhancing humification and compost quality. Corn cobs were ground into three particle sizes (6-mesh, 10-mesh, and 20-mesh) and composted with a commercial microbial inoculant for up to 51 days. Physicochemical properties, humic substance fractions (HSC, HAC, FAC), microbial community dynamics (16S rRNA and ITS sequencing), and maturity indicators were monitored. The 10-mesh treatment (M10) exhibited the most favorable composting outcomes, achieving the greatest degree of humification (HA/FA = 2.85; HAC = 48.30 g/kg) and the most pronounced aromatic condensation in humic acids. M10 also supported a more diverse and metabolically specialized microbial consortium, with notable enrichment of lignocellulose-degrading and humus-forming genera (e.g., Streptomyces, Thermobifida). Consequently, M10 produced the most mature compost, reflected by the highest germination index (93.63%) and the lowest heavy-metal accumulation, meeting agricultural safety standards. Structural equation modeling revealed that particle size influenced humification primarily by modulating microbial community structure (path coefficient = 0.86), highlighting particle size as a key environmental selector in composting systems. Overall, 10-mesh particle size created an optimal aeration–moisture balance that stimulated microbial metabolism, accelerated organic matter degradation, and enhanced stable organic matter formation. These findings demonstrate that corn cob particle size significantly governs composting efficiency and final product quality. Selecting a 10-mesh size presents a practical pretreatment strategy to accelerate biomass turnover and produce safe, nutrient-rich compost, providing an effective approach for sustainable bioconversion of agricultural residues. Full article
Show Figures

Figure 1

17 pages, 2947 KB  
Article
Development of Biodegradable Cups from Corn and Fruit Processing Waste and Its Characterization: A Sustainable Approach
by Sangram S. Wandhekar, Rajesh B. Kshirsagar, Surendra K. Sadawarte, Rinkesh A. Gosavi, Vaszko Gabor, Ayaz Mukarram Shaikh and Kovács Bela
Macromol 2025, 5(4), 53; https://doi.org/10.3390/macromol5040053 - 4 Nov 2025
Viewed by 2769
Abstract
Single-use plastic cups and packaging materials pose severe environmental challenges due to their persistent nature and harmful impact on ecosystems and wildlife. Simultaneously, the indiscriminate disposal and burning of agricultural and food processing biomass contribute significantly to pollution. Among this biomass, waste generated [...] Read more.
Single-use plastic cups and packaging materials pose severe environmental challenges due to their persistent nature and harmful impact on ecosystems and wildlife. Simultaneously, the indiscriminate disposal and burning of agricultural and food processing biomass contribute significantly to pollution. Among this biomass, waste generated from corn and fruit processing is produced in substantial quantities and is rich in natural fibres, making it a potential source for developing biodegradable products. This study focuses on the development of biodegradable cups using corn cob powder, mango peel powder, and pineapple peel powder through hot-press compression and moulding technology. The formulation was optimized using response surface methodology, with independent variables, i.e., corn cob (20–40 g), mango peel (30–50 g), and pineapple peel (20–30 g). The responses evaluated including hardness, colour (L* value), and water-holding capacity. The model was fitted using a second-order polynomial equation. Optimum results were achieved with 34 g of corn cob, 40 g of mango peel, and 26 g of pineapple peel powder, yielding a maximum hardness of 2.41 kg, an L* value of 47.03, and a water-holding capacity of 18.25 min. The optimized samples further underwent characterization of physical properties, functional groups, lattice structure, surface morphology, and biodegradability. Colour parameters were recorded as L* = 47.03 ± 0.021, a* = 10.47 ± 0.041, and b* = 24.77 ± 0.032. Textural study revealed a hardness of 2.411 ± 0.063 and a fracturability of 2.635 ± 0.033. The developed biodegradable cup had a semicrystalline nature with a crystallinity index of 44.4%. Soil burial tests confirmed that the developed cups degraded completely within 30 days. These findings highlight the potential of corn and fruit processing waste for developing eco-friendly, biodegradable cups as sustainable alternatives to single-use plastics. Full article
Show Figures

Graphical abstract

18 pages, 2920 KB  
Article
Development of Niosome-Entrapped Purple Waxy Corn Cobs (Zea mays L.) Extracts to Enhance UVB-Protection and Anti-Melanogenesis Activities
by Inpakob Thongphachanh, Nattawadee Kanpipit and Suthasinee Thapphasaraphong
Int. J. Mol. Sci. 2025, 26(21), 10586; https://doi.org/10.3390/ijms262110586 - 30 Oct 2025
Cited by 1 | Viewed by 721
Abstract
Purple waxy corn cobs (PWCCs) represent an underutilized agricultural waste rich in anthocyanins with promising cosmeceutical potential. This study investigated niosome-based encapsulation to enhance the stability and bioactivity of PWCC anthocyanin extracts. PWCC extract was macerated in 50% ethanol. The extract exhibited a [...] Read more.
Purple waxy corn cobs (PWCCs) represent an underutilized agricultural waste rich in anthocyanins with promising cosmeceutical potential. This study investigated niosome-based encapsulation to enhance the stability and bioactivity of PWCC anthocyanin extracts. PWCC extract was macerated in 50% ethanol. The extract exhibited a high total anthocyanin content (3.02 ± 0.81 mg C3GE/L), while cyanidin-3-glucoside identified as the major anthocyanin (1.17 ± 0.02 mg/g dry weight). Furthermore, the extracts showed strong antioxidant activities as evidence by DPPH, ABTS, and FRAP assays. The optimized niosome preparations synthesized by the probe sonication method exhibited better entrapment efficiency (80–85%), nanoscale particle size (185–296 nm), and stable zeta potential (−29 to −32 mV). TEM verification of the spherical morphology and FT-IR spectra confirmed the successful loading of anthocyanins. The thermal stability test exhibited negligible changes in the particle size and zeta potential. Furthermore, in vitro release profile followed the Higuchi model, indicating enhanced release kinetics. Biological assays demonstrated moderate UVB protection effects and potent anti-melanogenesis activity in B16F10 cells. Notably, formulation N5 exhibited the highest tyrosinase inhibition and melanin synthesis suppression. These findings indicate that niosome-based encapsulation represents a promising strategy for enhancing the stability, bioavailability, and biological efficacy of anthocyanin extracts, especially in the cosmetic and pharmaceutical industries. Full article
(This article belongs to the Section Bioactives and Nutraceuticals)
Show Figures

Graphical abstract

Back to TopTop