Sign in to use this feature.

Years

Between: -

Subjects

remove_circle_outline
remove_circle_outline
remove_circle_outline
remove_circle_outline
remove_circle_outline
remove_circle_outline

Journals

Article Types

Countries / Regions

Search Results (39)

Search Parameters:
Keywords = core–shell composite powder materials

Order results
Result details
Results per page
Select all
Export citation of selected articles as:
15 pages, 5219 KB  
Article
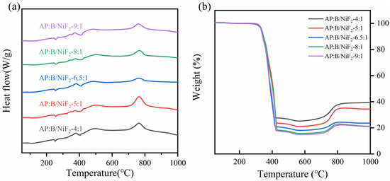
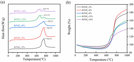
Preparation and Performance of Core–Shell Structured B@NiF2/AP Composite Micro-Units
by Jiaqi Cao, Yinhui Li, Changlin Zhu, Yunpeng Deng, Songyuchen Ma, Deqi Wang, Kunquan Duan and Jie Liu
Appl. Sci. 2025, 15(23), 12495; https://doi.org/10.3390/app152312495 - 25 Nov 2025
Viewed by 227
Abstract
Boron (B) powder is a promising high-energy fuel but suffers from inefficient combustion due to its native boron oxide (B2O3) passivation layer. Surface coating is a crucial strategy to overcome this limitation. In this study, core–shell structured B@NiF2 [...] Read more.
Boron (B) powder is a promising high-energy fuel but suffers from inefficient combustion due to its native boron oxide (B2O3) passivation layer. Surface coating is a crucial strategy to overcome this limitation. In this study, core–shell structured B@NiF2/ammonium perchlorate (AP) composite micro-units with varying mass ratios were prepared using planetary ball milling to optimize energy release and combustion performance. The optimal formulation for the ternary composite was determined to be 0.5% NiF2, 13.3% B, and 86.2% AP. Morphological characterization revealed that NiF2 was uniformly coated on the B particles, forming a dense shell. Thermal analysis indicated that the NiF2 interfacial layer, through its high-temperature decomposition (NiF2 → Ni + 2F·), released highly reactive fluorine radicals (F·) that etched the B2O3 layer, generating volatile boron oxyfluoride and creating void structures. This led to a maximum heat release of 8912 J/g and a reaction mass gain of 74.58%, indicating more complete combustion. The material also exhibited a minimal ignition delay of 0.618 s and the lowest ignition energy (22.17 J). Overall, the B@NiF2/AP composite provides a novel solution for applying boron fuel in solid propellants and pyrotechnic technologies. Full article
(This article belongs to the Section Aerospace Science and Engineering)
Show Figures

Figure 1

21 pages, 14113 KB  
Article
Microstructure and Properties of Sm2O3 Micro-Dispersed Tungsten-Based Alloy and Its Sintering Evolution
by Song Ye, Ping Wang, Zhiqiang Cui, Ningfei Zhang, Yuhao Wang and Zhenyi Huang
Materials 2025, 18(21), 4973; https://doi.org/10.3390/ma18214973 - 31 Oct 2025
Viewed by 424
Abstract
Tungsten (W) is regarded as the most promising plasma-facing material in thermonuclear fusion reactors due to its excellent properties, such as high strength, a high melting point, and a low sputtering rate. However, its low-temperature brittleness, recrystallization embrittlement, and irradiation embrittlement seriously limit [...] Read more.
Tungsten (W) is regarded as the most promising plasma-facing material in thermonuclear fusion reactors due to its excellent properties, such as high strength, a high melting point, and a low sputtering rate. However, its low-temperature brittleness, recrystallization embrittlement, and irradiation embrittlement seriously limit the practical application of W. In this research, the properties of tungsten-based materials were improved by introducing second phases into W. Core–shell composite powders with W particles as core and Sm(OH)3 thin films as shell were prepared by electroless plating, and sintered by spark plasma sintering (SPS) to obtain bulk. After sintering, the Sm(OH)3 shell transformed into the Sm2O3 phase with a different size, mainly distributed at W grain boundaries. The average size of W grains in the composite material was smaller than that of pure W sintered bulk due to the pinning of W grain boundaries by Sm2O3, while the porosity of the composite is reduced. Compared with pure W sintered bulk, the composites exhibited better mechanical properties and radiation resistance; although the thermal conductivity decreased somewhat, it still maintained a high level. With the increase in sintering temperature and pressure, the evolution of core–shell powders during the sintering process could be simplified into six stages, which occurred approximately in sequence. Full article
(This article belongs to the Section Metals and Alloys)
Show Figures

Graphical abstract

13 pages, 6309 KB  
Article
Reusable Three-Dimensional TiO2@MoS2 Core–Shell Photoreduction Material: Designed for High-Performance Seawater Uranium Extraction
by Chen Xie, Tianyi Zhao, Feng Zhou and Bohao Zhao
Catalysts 2025, 15(8), 769; https://doi.org/10.3390/catal15080769 - 13 Aug 2025
Viewed by 1061
Abstract
Photocatalysis offers a cost-effective and eco-friendly approach for environmental remediation, yet traditional powdered photocatalysts suffer from poor recyclability and separation challenges. To address these limitations, we developed a recyclable carbon fiber-supported composite photocatalyst (CC/TiO2 NRs@MoS2 NPs) featuring a three-dimensional hierarchical core–shell [...] Read more.
Photocatalysis offers a cost-effective and eco-friendly approach for environmental remediation, yet traditional powdered photocatalysts suffer from poor recyclability and separation challenges. To address these limitations, we developed a recyclable carbon fiber-supported composite photocatalyst (CC/TiO2 NRs@MoS2 NPs) featuring a three-dimensional hierarchical core–shell architecture. This structure comprises a TiO2 seed layer, vertically aligned TiO2 nanorod arrays as the core, and a MoS2 nanoparticle shell, fabricated via sequential deposition. Under simulated solar irradiation, the TiO2@MoS2 heterojunction exhibited significantly enhanced uranium adsorption capacity, achieving a remarkable 97.3% photocatalytic removal efficiency within 2 h. At an initial uranium concentration of 200 ppm, the material demonstrated an exceptional extraction capacity of 976.7 mg g−1, outperforming most reported photocatalysts. These findings highlight the potential of this 3D core–shell design for efficient uranium recovery and environmental purification applications. Full article
(This article belongs to the Special Issue Synthesis and Catalytic Applications of Advanced Porous Materials)
Show Figures

Graphical abstract

12 pages, 5075 KB  
Article
Stabilization of Styrene Pickering Emulsions Using SiO2 Derived from Waste Cement
by Guomei Xu, Jihua Zhang, Defei Long, Huayang Wang, Hanjie Ying and Hongxue Xie
Materials 2025, 18(10), 2281; https://doi.org/10.3390/ma18102281 - 14 May 2025
Viewed by 804
Abstract
The initial focus of this study was placed on the conversion of waste into valuable substances. Waste cement was systematically processed to extract silica powder, which was subsequently functionalized with γ-aminopropyl-trimethoxy-silane (KH550) via covalent grafting. The surface-modified silica particles demonstrated optimized amphiphilicity for [...] Read more.
The initial focus of this study was placed on the conversion of waste into valuable substances. Waste cement was systematically processed to extract silica powder, which was subsequently functionalized with γ-aminopropyl-trimethoxy-silane (KH550) via covalent grafting. The surface-modified silica particles demonstrated optimized amphiphilicity for interfacial stabilization, as confirmed by contact angle measurements. When employed in styrene/water Pickering emulsions, these modified silica particles exhibited exceptional stabilization efficiency, enabling the synthesis of core–shell polystyrene/silica composite microspheres visualized by SEM. It was demonstrated by the results that the Pickering emulsions could be stabilized by SiO2 when the appropriate polarity and concentration were achieved. XRD revealed successful silica integration without crystalline phase alteration. Thermogravimetric analysis demonstrated significantly enhanced thermal stability (50.6% residual mass at 800 °C), indicating substantial flame retardancy potential. This waste-to-functional-material strategy not only addresses environmental concerns but also provides an economically viable pathway for advanced polymer composites. Full article
(This article belongs to the Special Issue Recovered or Recycled Materials for Composites and Other Materials)
Show Figures

Figure 1

14 pages, 10631 KB  
Article
3D Printing Assisted Injection Molding of Chemically Plated W-Cu Composite
by Bo Yuan, Wenwxin Liu, Zhen Wang, Zhongkai Li, Xiaofang Pan, Shurong Xu, Shoujing Mao, Ying Wu, Yangyang Li and Jun Liu
Materials 2025, 18(8), 1885; https://doi.org/10.3390/ma18081885 - 21 Apr 2025
Cited by 1 | Viewed by 1020
Abstract
W-Cu composites are widely used in the fields of switch contact materials and electronic packages because of their high hardness, high plasticity, and excellent thermal conductivity, while the traditional W-Cu composite preparation process is often accompanied by problems such as a long production [...] Read more.
W-Cu composites are widely used in the fields of switch contact materials and electronic packages because of their high hardness, high plasticity, and excellent thermal conductivity, while the traditional W-Cu composite preparation process is often accompanied by problems such as a long production cycle, difficulties in the processing of shaped parts, and difficulties in guaranteeing the uniformity. Therefore, this work developed a chemical plating technique to prepare W-20 wt.% Cu composite powder with a core–shell structure and used this powder as a raw material for powder metallurgy to solve the problem of inhomogeneity in the production of W-Cu composite by the conventional solution infiltration method. Moreover, the work also developed a high-temperature-resistant photosensitive resin, which was used as a raw material to prepare injection molds using photocuring to replace traditional steel molds. Compared to steel molds, which take about a month to prepare, 3D printed plastic molds take only a few hours, greatly reducing the production cycle. At the same time, 3D printing also provides the feasibility of the production of shaped parts. The injection molded blanks were degreased and sintered under different sintering conditions. The results show that the resultant chemically plated W-Cu composite powder has a uniform Cu coating on the surface, and the Cu forms a dense and uniform three-dimensional network in the scanning electron microscope images of each subsequent sintered specimen, while the photocuring-prepared molds were used to prepare the W-Cu shaped parts, which greatly shortened the production cycle. This preparation method enables rapid preparation of tungsten–copper composite-shaped parts with good homogeneity. Full article
(This article belongs to the Section Manufacturing Processes and Systems)
Show Figures

Graphical abstract

20 pages, 3934 KB  
Article
Microstructure and High-Temperature Compressive Properties of a Core-Shell Structure Dual-MAX-Phases-Reinforced TiAl Matrix Composite
by Shiqiu Liu and Huijun Guo
Crystals 2025, 15(4), 363; https://doi.org/10.3390/cryst15040363 - 16 Apr 2025
Viewed by 809
Abstract
As an advanced high-temperature structural material, TiAl alloy, is often used in the manufacturing of hot-end components of aviation and aerospace engines. However, it is difficult to increase the strength at high temperature, which limits its wider application. Adopting composite material technology is [...] Read more.
As an advanced high-temperature structural material, TiAl alloy, is often used in the manufacturing of hot-end components of aviation and aerospace engines. However, it is difficult to increase the strength at high temperature, which limits its wider application. Adopting composite material technology is one of the effective ways to improve the comprehensive mechanical properties of TiAl alloy. In this work, by adding 3 wt.% SiC micro-particles to Ti-47.5Al-7Nb-0.4W-0.1B (at.%) pre-alloyed powder, a core-shell structure dual-MAX-phase high-temperature strengthened TiAl matrix composite (also known as TiAl-SiC composite) was prepared by combining powder metallurgy and hot forging. The microstructure and high-temperature compressive properties of the prepared TiAl-SiC composites were studied and compared with TiAl alloy prepared by the same process, and the microstructural characteristics of the TiAl-SiC composite and its microstructure evolution during processing were revealed. The results show that the matrix of as-sintered TiAl-SiC composites was mainly composed of γ phase and a small amount of Ti2AlC particles, while the reinforcement phase was a dual-MAX-phase core-shell structure, which was mainly composed of core Ti2AlC phase, shell Ti3SiC2 phase, and small Ti2AlC particles distributed in the outer layer. After hot forging, the microstructure of TiAl-SiC composite became more compact, finer, and more uniform; the phase composition was almost not changed, but the content of Ti2AlC, Ti3SiC2, and TiB2 phases increased significantly; the content of C in each constituent phase decreased obviously, and a granular Si-rich phase was generated in the core of the reinforcement phase. The yield strength of the as-forged TiAl-SiC composite was significantly higher than that of the as-forged TiAl alloy at temperature higher than 859 °C. This is because the core-shell structure dual MAX phases can effectively reduce the softening rate of TiAl alloy in the range of 800–900 °C, thus playing a strengthening role and increasing the service temperature of TiAl alloy. Full article
(This article belongs to the Section Crystalline Metals and Alloys)
Show Figures

Figure 1

15 pages, 14975 KB  
Article
In-Situ Coating of Iron with a Conducting Polymer, Polypyrrole, as a Promise for Corrosion Protection
by Jaroslav Stejskal, Marek Jurča, Miroslava Trchová, Jan Prokeš and Ivo Křivka
Materials 2024, 17(19), 4783; https://doi.org/10.3390/ma17194783 - 29 Sep 2024
Cited by 1 | Viewed by 1797
Abstract
Iron microparticles were coated with polypyrrole in situ during the chemical oxidation of pyrrole with ammonium peroxydisulfate in aqueous medium. A series of hybrid organic/inorganic core–shell materials were prepared with 30–76 wt% iron content. Polypyrrole coating was revealed by scanning electron microscopy, and [...] Read more.
Iron microparticles were coated with polypyrrole in situ during the chemical oxidation of pyrrole with ammonium peroxydisulfate in aqueous medium. A series of hybrid organic/inorganic core–shell materials were prepared with 30–76 wt% iron content. Polypyrrole coating was revealed by scanning electron microscopy, and its molecular structure and completeness were proved by FTIR and Raman spectroscopies. The composites of polypyrrole/carbonyl iron were obtained as powders and characterized with respect to their electrical properties. Their resistivity was monitored by the four-point van der Pauw method under 0.01–10 MPa pressure. In an apparent paradox, the resistivity of composites increased from the units Ω cm for neat polypyrrole to thousands Ω cm for the highest iron content despite the high conductivity of iron. This means that composite conductivity is controlled by the electrical properties of the polypyrrole matrix. The change of sample size during the compression was also recorded and provides a parameter reflecting the mechanical properties of composites. In addition to conductivity, the composites displayed magnetic properties afforded by the presence of iron. The study also illustrates the feasibility of the polypyrrole coating on macroscopic objects, demonstrated by an iron nail, and offers potential application in the corrosion protection of iron. The differences in the morphology of micro- and macroscopic polypyrrole objects are described. Full article
(This article belongs to the Special Issue Corrosion Electrochemistry and Protection of Metallic Materials)
Show Figures

Figure 1

15 pages, 24302 KB  
Article
Novel Sodium Chloride/Aluminum Oxide Powder-Composite Structure with High Shape-Retention Performance for the Encapsulation of a High-Temperature Phase-Change Material
by Seiji Yamashita, Bao Fuhai, Liao Shenghao, Hideki Kita and Fangjun Hong
Processes 2024, 12(3), 465; https://doi.org/10.3390/pr12030465 - 25 Feb 2024
Cited by 4 | Viewed by 2690
Abstract
Inorganic phase-change materials (PCMs) with high melting points have great potential for thermal energy storage systems. Sodium chloride (NaCl) has a high melting point (801 °C) and high latent-heat-storage density (482 kJ/kg). However, it is difficult to encapsulate NaCl using a sintered ceramic [...] Read more.
Inorganic phase-change materials (PCMs) with high melting points have great potential for thermal energy storage systems. Sodium chloride (NaCl) has a high melting point (801 °C) and high latent-heat-storage density (482 kJ/kg). However, it is difficult to encapsulate NaCl using a sintered ceramic shell because of its good wettability against ceramics and high volume-expansion capacity during melting. In this study, a novel NaCl/Al2O3 powder-composite structure was developed as highly stable PCM core material for highly stable encapsulation. The shape-retention performance and the mechanism of NaCl/Al2O3 powder-composite structure during melting were investigated. We have successfully fabricated a NaCl/Al2O3 powder-composite structure, which has a higher NaCl volume ratio of 80 vol% than conventional techniques. The gel-like network structure of Al2O3 particles in molten NaCl was a key structure to keep the shape of the composite ball and to prevent the evaporation of molten NaCl. Full article
(This article belongs to the Section Materials Processes)
Show Figures

Figure 1

13 pages, 22061 KB  
Article
Water Lubrication of Al-Cu Composites Reinforced by Nickel-Coated Si3N4 Particles
by Yanan Peng, Qinqwen Dai, Wei Huang and Xiaolei Wang
Coatings 2024, 14(2), 225; https://doi.org/10.3390/coatings14020225 - 14 Feb 2024
Cited by 1 | Viewed by 1585
Abstract
Silicon nitride (Si3N4) particle-reinforced aluminum–copper (Al-Cu) alloy matrix composites have been prepared in our previous works and experimental result shows that they can be used as a new kind of water-lubricated materials. However, the wettability between Si3N [...] Read more.
Silicon nitride (Si3N4) particle-reinforced aluminum–copper (Al-Cu) alloy matrix composites have been prepared in our previous works and experimental result shows that they can be used as a new kind of water-lubricated materials. However, the wettability between Si3N4 ceramics and Al-Cu alloys is poor and the manufacturing process is usually carried out at a high temperature of 1100 °C. To overcome this shortcoming, a layer of nickel was deposited on the surface of Si3N4 particles, forming a core-shell structure. Thus, the interface bonding property between Si3N4 and Al-Cu alloy can be improved and the lower sintering temperature can be applied. Si3N4/Al-Cu alloy composites with different proportions of Ni-coated Si3N4 were fabricated by powder matrix metallurgy technology at 800 °C, and the water lubrication properties of the composite were investigated. The experimental results show that with the increase in the particle content (10 wt%–40 wt%), the microhardness of the composites increased first and then decreased, while the porosity increased continuously. A low friction coefficient (0.001–0.005) can be achieved for the composites with the lower particle content (10 wt%–20 wt%). The major wear mechanism changes from the mechanically dominated wear during the running-in process to the tribochemical wear at the low frictional stage. Full article
Show Figures

Figure 1

20 pages, 7183 KB  
Article
Biocompatible Hydrogel-Based Liquid Marbles with Magnetosomes
by Rafał Bielas, Tomasz Kubiak, Matus Molcan, Bernadeta Dobosz, Michal Rajnak and Arkadiusz Józefczak
Materials 2024, 17(1), 99; https://doi.org/10.3390/ma17010099 - 24 Dec 2023
Cited by 7 | Viewed by 2841
Abstract
Liquid marbles are widely known for their potential biomedical applications, especially due to their versatility and ease of preparation. In the present work, we prepared liquid marbles with various cores composed of water, agar-based hydrogels, magnetic fluids, or non-aqueous substances. As a coating [...] Read more.
Liquid marbles are widely known for their potential biomedical applications, especially due to their versatility and ease of preparation. In the present work, we prepared liquid marbles with various cores composed of water, agar-based hydrogels, magnetic fluids, or non-aqueous substances. As a coating material, we used biocompatible particles of plant origin, such as turmeric grains and Lycopodium pollen. Additionally, we provided marbles with magnetic properties by incorporating either magnetosomes or iron oxide nanoparticles as a powder or by injecting another magnetic fluid. Structures obtained in this way were stable and susceptible to manipulation by an external magnetic field. The properties of the magnetic components of our marbles were verified using electron paramagnetic resonance (EPR) spectroscopy and vibrating sample magnetometry (VSM). Our approach to encapsulation of active substances such as antibiotics within a protective hydrogel core opens up new perspectives for the delivery of hydrophobic payloads to the inherently hydrophilic biological environment. Additionally, hydrogel marbles enriched with magnetic materials showed promise as biocompatible heating agents under alternating magnetic fields. A significant innovation of our research was also the fabrication of composite structures in which the gel-like core was surrounded without mixing by a magnetic fluid covered on the outside by the particle shell. Our liquid marbles, especially those with a hydrogel core and magnetic content, due to the ease of preparation and favorable properties, have great potential for biomedical use. The fact that we were able to simultaneously produce, functionalize (by filling with predefined cargo), and manipulate (by means of an external magnetic field) several marbles also seems to be important from an application point of view. Full article
(This article belongs to the Special Issue Drug Delivery Carriers and Application of Nanomaterials)
Show Figures

Graphical abstract

15 pages, 8376 KB  
Article
Mesoscopic Simulation of Core–Shell Composite Powder Materials by Selective Laser Melting
by Tao Bao, Yuanqiang Tan and Yangli Xu
Materials 2023, 16(21), 7005; https://doi.org/10.3390/ma16217005 - 1 Nov 2023
Cited by 2 | Viewed by 2272
Abstract
Mechanical ball milling is used to produce multi-materials for selective laser melting (SLM). However, since different powders have different particle size distributions and densities there is particle segregation in the powder bed, which affects the mechanical properties of the printed part. Core–shell composite [...] Read more.
Mechanical ball milling is used to produce multi-materials for selective laser melting (SLM). However, since different powders have different particle size distributions and densities there is particle segregation in the powder bed, which affects the mechanical properties of the printed part. Core–shell composite powder materials are created and used in the SLM process to solve this issue. Core–shell composite powder materials selective laser melting (CS-SLM) has advanced recently, expanding the range of additive manufacturing applications. Heat storage effects and heat transfer hysteresis in the SLM process are made by the different thermophysical characteristics of the core and the shell material. Meanwhile, the presence of melt flow and migration of unmelted particles in the interaction between unmelted particles and melt complicates the CS-SLM molding process. It is still challenging to investigate the physical mechanisms of CS-SLM through direct experimental observation of the process. In this study, a mesoscopic melt-pool dynamics model for simulating the single-track CS-SLM process is developed. The melting characteristics of nickel-coated tungsten carbide composite powder (WC@Ni) were investigated. It is shown that the powder with a smaller particle size is more likely to form a melt pool, which increases the temperature in the area around it. The impact of process parameters on the size of the melt pool and the distribution of the reinforced particles in the melt pool was investigated. The size of the melt pool is significantly affected more by changes in laser power than by changes in scanning speed. The appropriate control of the laser power or scanning speed can prevent enhanced particle aggregation. This model is capable of simulating CS-SLM with any number of layers and enables a better understanding of the CS-SLM process. Full article
(This article belongs to the Special Issue Numerical Modeling and Dynamic Analysis of Composite Materials)
Show Figures

Figure 1

16 pages, 17136 KB  
Article
Construction of a Multifunctional PCM@Catalyst Composite and Its Application in the Fluid Catalytic Cracking Process
by Guoqing An, Zhixiang Cheng, Ying Ouyang, Siqi Liu and Hongyi Gao
Processes 2023, 11(9), 2659; https://doi.org/10.3390/pr11092659 - 5 Sep 2023
Cited by 1 | Viewed by 1806
Abstract
Fluid catalytic cracking (FCC) is one of the most important processes in gasoline/diesel oil production, but the strong endothermic effect accompanied by this reaction often results in the deactivation of the catalyst. In this paper, a novel multifunctional phase change material (PCM)@Catalyst composite [...] Read more.
Fluid catalytic cracking (FCC) is one of the most important processes in gasoline/diesel oil production, but the strong endothermic effect accompanied by this reaction often results in the deactivation of the catalyst. In this paper, a novel multifunctional phase change material (PCM)@Catalyst composite was designed and constructed, in which the PCM could be used to store waste heat and regulate the temperature for enhancing the catalytic efficiency of the FCC catalyst. Firstly, a core/shell Al-12wt%Si@Al2O3 was prepared via subsequent vapor treatment and high-temperature calcination of an Al-12wt%Si sphere. The Al species in the Al-12wt%Si served as the source of metal ions and was transformed in situ into a well-defined Al2O3 shell, which greatly improved the thermal stability and prevented the leaking of the Al-12wt% Si core in the high-temperature situation. The PCMs@Catalyst composite was then fabricated by casting the mixed powder of Al-12wt%Si@Al2O3 and Y zeolite into a granulated structure. The FCC results demonstrate that Al-12wt%Si@Al2O3/Y zeolite can optimize product distribution and reduce coke yield. This design concept and synthesis strategy can be extended to the production of a wide variety of hierarchical PCM@Catalyst composites for other reactions. Full article
(This article belongs to the Special Issue Controllable Preparation and Application of Metal Compounds)
Show Figures

Figure 1

14 pages, 5522 KB  
Article
Design of Ti64/Ta Hybrid Materials by Powder Metallurgy Mimicking Bone Structure
by Francisco Alvarado-Hernández, Elena Mihalcea, Omar Jimenez, Rogelio Macías, Luis Olmos, Enrique A. López-Baltazar, Santiago Guevara-Martinez and José Lemus-Ruiz
Materials 2023, 16(12), 4372; https://doi.org/10.3390/ma16124372 - 14 Jun 2023
Cited by 3 | Viewed by 1860
Abstract
This work reports on the fabrication of a novel two-layer material composed of a porous tantalum core and a dense Ti6Al4V (Ti64) shell by powder metallurgy. The porous core was obtained by mixing Ta particles and salt space-holders to create large pores, the [...] Read more.
This work reports on the fabrication of a novel two-layer material composed of a porous tantalum core and a dense Ti6Al4V (Ti64) shell by powder metallurgy. The porous core was obtained by mixing Ta particles and salt space-holders to create large pores, the green compact was obtained by pressing. The sintering behavior of the two-layer sample was studied by dilatometry. The interface bonding between the Ti64 and Ta layers was analyzed by SEM, and the pore characteristics were analyzed by computed microtomography. Images showed that two distinct layers were obtained with a bonding achieved by the solid-state diffusion of Ta particles into Ti64 during sintering. The formation of β-Ti and α′ martensitic phases confirmed the diffusion of Ta. The pore size distribution was in the size range of 80 to 500 µm, and a permeability value of 6 × 10−10 m2 was close to the trabecular bones one. The mechanical properties of the component were dominated mainly by the porous layer, and Young’s modulus of 16 GPa was in the range of bones. Additionally, the density of this material (6 g/cm3) was much lower than the one of pure Ta, which helps to reduce the weight for the desired applications. These results indicate that structurally hybridized materials, also known as composites, with specific property profiles can improve the response to osseointegration for bone implant applications. Full article
Show Figures

Figure 1

15 pages, 10351 KB  
Article
Extrusion-Based Additive Manufacturing of the Ti6Al4V Alloy Parts
by Maksim Krinitcyn, Alexandr Pervikov, Natalya Svarovskaya, Alexandr Lozhkomoev and Marat Lerner
Coatings 2023, 13(6), 1067; https://doi.org/10.3390/coatings13061067 - 8 Jun 2023
Cited by 2 | Viewed by 2655
Abstract
The paper shows the possibility of synthesizing microparticles coated with nanoparticles by electric explosion of a wire made of Ti-6Al-4V alloy. Particles in which the core is a microparticle and the shell of a nanoparticle can provide effective sliding of the microparticles relative [...] Read more.
The paper shows the possibility of synthesizing microparticles coated with nanoparticles by electric explosion of a wire made of Ti-6Al-4V alloy. Particles in which the core is a microparticle and the shell of a nanoparticle can provide effective sliding of the microparticles relative to each other and are promising for obtaining flowable metal-polymer compositions filled with powder up to 70 vol.%. Such compositions are promising feedstocks for the additive molding of complex metal parts, for example, customized implants from the Ti-6Al-4V alloy, by material extrusion. The article describes the properties of feedstock based on micro- and nanoparticles of the Ti-6Al-4V alloy, the microstructure and some mechanical properties of sintered samples. The structure, bending strength and Vickers hardness of additively formed samples sintered at a temperature of 1200 °C was investigated. Full article
(This article belongs to the Special Issue Protective Composite Coatings: Implementation, Structure, Properties)
Show Figures

Figure 1

21 pages, 10286 KB  
Article
Hybrid Materials with Antimicrobial Properties Based on Hyperbranched Polyaminopropylalkoxysiloxanes Embedded with Ag Nanoparticles
by Alexander Vasil’kov, Dmitry Migulin, Alexander Naumkin, Ilya Volkov, Ivan Butenko, Alexandre Golub, Vera Sadykova and Aziz Muzafarov
Pharmaceutics 2023, 15(3), 809; https://doi.org/10.3390/pharmaceutics15030809 - 2 Mar 2023
Cited by 12 | Viewed by 2579
Abstract
New hybrid materials based on Ag nanoparticles stabilized by a polyaminopropylalkoxysiloxane hyperbranched polymer matrix were prepared. The Ag nanoparticles were synthesized in 2-propanol by metal vapor synthesis (MVS) and incorporated into the polymer matrix using metal-containing organosol. MVS is based on the interaction [...] Read more.
New hybrid materials based on Ag nanoparticles stabilized by a polyaminopropylalkoxysiloxane hyperbranched polymer matrix were prepared. The Ag nanoparticles were synthesized in 2-propanol by metal vapor synthesis (MVS) and incorporated into the polymer matrix using metal-containing organosol. MVS is based on the interaction of extremely reactive atomic metals formed by evaporation in high vacuum (10−4–10−5 Torr) with organic substances during their co-condensation on the cooled walls of a reaction vessel. Polyaminopropylsiloxanes with hyperbranched molecular architectures were obtained in the process of heterofunctional polycondensation of the corresponding AB2-type monosodiumoxoorganodialkoxysilanes derived from the commercially available aminopropyltrialkoxysilanes. The nanocomposites were characterized using transmission (TEM) and scanning (SEM) electron microscopy, X-ray photoelectron spectroscopy (XPS), powder X-ray diffraction (PXRD) and Fourier-transform infrared spectroscopy (FTIR). TEM images show that Ag nanoparticles stabilized in the polymer matrix have an average size of 5.3 nm. In the Ag-containing composite, the metal nanoparticles have a “core-shell” structure, in which the “core” and “shell” represent the M0 and Mδ+ states, respectively. Nanocomposites based on silver nanoparticles stabilized with amine-containing polyorganosiloxane polymers showed antimicrobial activity against Bacillus subtilis and Escherichia coli. Full article
Show Figures

Figure 1

Back to TopTop