Sign in to use this feature.

Years

Between: -

Subjects

remove_circle_outline
remove_circle_outline
remove_circle_outline
remove_circle_outline
remove_circle_outline
remove_circle_outline
remove_circle_outline
remove_circle_outline
remove_circle_outline

Journals

Article Types

Countries / Regions

remove_circle_outline
remove_circle_outline
remove_circle_outline
remove_circle_outline

Search Results (241)

Search Parameters:
Keywords = convective storm

Order results
Result details
Results per page
Select all
Export citation of selected articles as:
20 pages, 3113 KB  
Article
Intense Rainfall in Urban Areas: Characterization of High-Intensity Storms in the Metropolitan Area of Barcelona (2014–2022)
by Laura Esbrí, Tomeu Rigo and María del Carmen Llasat
Atmosphere 2026, 17(1), 41; https://doi.org/10.3390/atmos17010041 - 28 Dec 2025
Viewed by 51
Abstract
Urban coastal areas along the Mediterranean are exposed to short-duration convective rainfall, producing infrastructure disruptions and flood-related impacts. This study analyzes 45 rainfall episodes in the Metropolitan Area of Barcelona between 2014 and 2022, combining radar products, rain gauge observations, and urban-scale impact [...] Read more.
Urban coastal areas along the Mediterranean are exposed to short-duration convective rainfall, producing infrastructure disruptions and flood-related impacts. This study analyzes 45 rainfall episodes in the Metropolitan Area of Barcelona between 2014 and 2022, combining radar products, rain gauge observations, and urban-scale impact datasets. Storm radar tracking enabled the identification of key spatiotemporal features and assessment of short-term forecasting performance. Convective cells were typically short-lived, lasting less than 30 min in most cases. The main goal of the research has been the comparison between VIL density (DVIL) radar field and short-duration rainfall intensity provided by rain gauges. This is the first study comparing both data types, being a pioneer in this field. We have found a linear relationship between both data types, with weaker values for larger values. More persistent cells had higher DVIL values, observing a difference in behavior with a break point at 2 g/m3. The tracking and nowcasting system were evaluated based on its ability to anticipate convective precipitation. It achieved good scores values (POD of 0.73 and FAR of 0.33), considering the difficulties of tracking this type of convective system. Finally, false alarms associated with elevated DVIL values suggested the difficulty of capturing storm severity by surface-based precipitation measurements. Full article
(This article belongs to the Special Issue State-of-the-Art in Severe Weather Research)
Show Figures

Figure 1

32 pages, 8478 KB  
Article
Regionalization of Updated Intensity-Duration-Frequency Curves for Romania and the Consequences of Climate Change on Sub-Daily Rainfall
by Nicolai Sîrbu, Gabriel Racovițeanu and Radu Drobot
Climate 2026, 14(1), 7; https://doi.org/10.3390/cli14010007 - 27 Dec 2025
Viewed by 86
Abstract
Intensity–Duration–Frequency (IDF) curves are essential tools in the design of stormwater management systems and are often used over long periods without frequent updates. However, the continuous collection of rainfall data and the expansion of monitoring networks call for regular revisions of these curves. [...] Read more.
Intensity–Duration–Frequency (IDF) curves are essential tools in the design of stormwater management systems and are often used over long periods without frequent updates. However, the continuous collection of rainfall data and the expansion of monitoring networks call for regular revisions of these curves. In Romania, current engineering and hydrological practices still rely on regionalized IDF graphs developed in 1973. Given the ongoing effects of climate change—particularly the increased frequency and, more significantly, intensity of extreme rainfall events—updating these curves has become critical. Incorporating recent observations is essential not only for methodological accuracy but also to support climate-resilient infrastructure design. This study employs updated IDF curves provided by the National Administration of Meteorology, based on 30 years of precipitation records from 68 meteorological stations across Romania. The main objective is to evaluate alternative regionalization approaches—including clustering methods, geographic proximity analysis, and hourly precipitation isolines for a 1:10 Annual Exceedance Frequency—to develop a new regionalization model and the corresponding nationwide IDF relationships. A comparative analysis using raster-based regional rainfall datasets from both the 1973 and 2025 regionalizations revealed significant changes in precipitation patterns. Short-duration rainfall events (5, 10, and 30 min) have increased in intensity across most regions, while long-duration events (3, 6, 12, and 24 h) have generally decreased in magnitude in several areas. These findings highlight a growing trend toward more intense short-term convective storms, underlining the urgent need for improved flash flood prevention and urban stormwater management strategies. Full article
Show Figures

Figure 1

29 pages, 4713 KB  
Article
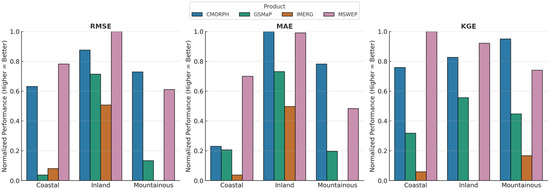
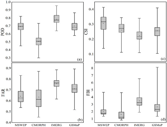
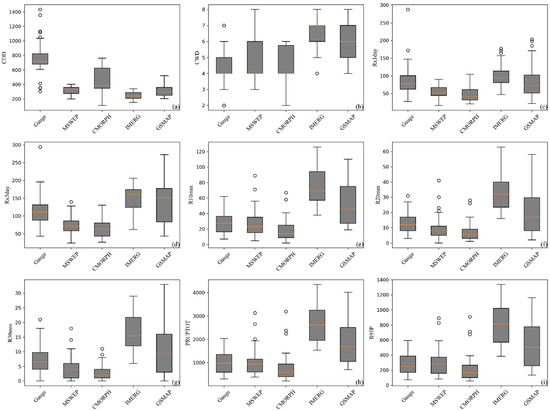
Benchmarking MSWEP Precipitation Accuracy in Arid Zones Against Traditional and Satellite Measurements
by Abdulrahman Saeed Abdelrazaq, Humaid Abdulla Alnuaimi, Faisal Baig, Mohamed Elkollaly and Mohsen Sherif
Remote Sens. 2026, 18(1), 95; https://doi.org/10.3390/rs18010095 - 26 Dec 2025
Viewed by 106
Abstract
Accurate precipitation data is vital for hydrological modeling, climate research, and water resource management, especially in arid regions like the United Arab Emirates (UAE), where rainfall is sparse and highly variable. This study assesses the performance of the Multi-Source Weighted-Ensemble Precipitation v2.8 (MSWEP) [...] Read more.
Accurate precipitation data is vital for hydrological modeling, climate research, and water resource management, especially in arid regions like the United Arab Emirates (UAE), where rainfall is sparse and highly variable. This study assesses the performance of the Multi-Source Weighted-Ensemble Precipitation v2.8 (MSWEP) dataset against ground-based gauge data and three satellite precipitation products—CMORPH, IMERG, and GSMaP—across the UAE from 2004 to 2020. Evaluation metrics include statistical, categorical, and extreme precipitation indices. MSWEP shows a moderate correlation with gauge data (mean CC = 0.62), performing better than CMORPH (0.54) but below IMERG (0.68). It also yields lower RMSE and MAE than CMORPH and GSMaP, indicating improved error metrics. However, MSWEP overestimates light rainfall and underestimates extreme events, reflected in a lower KGE (0.42) and weak performance in the 95th percentile rainfall, especially in coastal and mountainous areas. Seasonal analysis reveals overestimation in winter and underestimation during summer convective storms. While MSWEP offers strong global coverage and temporal consistency, its application in arid environments like the UAE requires bias correction. These findings highlight the need for integrating multiple datasets and regional adjustments to enhance rainfall estimation accuracy for hydrological and climate-related applications. Full article
(This article belongs to the Section Atmospheric Remote Sensing)
Show Figures

Figure 1

28 pages, 6534 KB  
Article
Multi-Parameter and Multi-Layer Observations of Electromagnetic Precursors to a Huge Hokkaido Earthquake (M = 6.7) on 5 September, 2018, and Lithosphere–Atmosphere–Ionosphere Coupling Channel
by Masashi Hayakawa, Maria Solovieva, Galina Kopylova, Shinji Hirooka, Sudipta Sasmal, Kousik Nanda, Shih-Sian Yang, Koichiro Michimoto and Hide’aki Hinata
Atmosphere 2025, 16(12), 1372; https://doi.org/10.3390/atmos16121372 - 3 Dec 2025
Viewed by 325
Abstract
A series of multi-parameter, multi-layer observations was conducted to study possible electromagnetic precursors associated with the M 6.7 earthquake that struck Iburi, Hokkaido, Japan, at 18:07:59 UT on 5 September 2018. The most significant observation is seismogenic lower-ionospheric perturbations in the propagation anomalies [...] Read more.
A series of multi-parameter, multi-layer observations was conducted to study possible electromagnetic precursors associated with the M 6.7 earthquake that struck Iburi, Hokkaido, Japan, at 18:07:59 UT on 5 September 2018. The most significant observation is seismogenic lower-ionospheric perturbations in the propagation anomalies of sub-ionospheric VLF/LF signals recorded in Japan and Russia. Other substantial observations include the GIM-TEC irregularities, the intensification of stratospheric atmospheric gravity waves (AGWs), and the satellite and ground monitoring of air temperature (T), relative humidity (RH), atmospheric chemical potential (ACP), and surface latent heat flux (SLHF). We have found that there were very remarkable VLF/LF anomalies indicative of lower-ionospheric perturbations observed on 4 and 5 September just before the EQ date and even after it from the observations in Japan and Russia. In particular, the anomaly was detected for a particular propagation path from the JJY transmitter (Fukushima) to a VLF station at Wakkanai one day before the EQ, i.e., on 4 September, and is objectively confirmed by machine/deep learning analysis. An anomaly in TEC occurred only on 5 September, but it is unclear whether it is related to a pre-EQ effect or a minor geomagnetic storm. We attempted to determine whether any seismo-related atmospheric gravity wave (AGW) activity occurred in the stratosphere. Although numerous anomalies were detected, they are most likely associated with convective weather phenomena, including a typhoon. Finally, the Earth’s surface parameters based on satellite monitoring seem to indicate some anomalies from 29 August to 3, 4, and 5 September, a few days prior to EQ data, but the ground-based observation close to the EQ epicenter has indicated a clear T/RH and ACP on 2 September with fair weather, but no significant data on subsequent days because of severe meteorological activities. By integrating multi-layer observations, the LAIC (lithosphere–atmosphere–ionosphere coupling) process for the Hokkaido earthquake appears to follow a slow diffusion-type channel, where ionospheric perturbations arise a few days after ground thermal anomalies. This study also provides integrated evidence linking concurrent lower-ionospheric, atmospheric, and surface thermal anomalies, emphasizing the diagnostic value of such multi-parameter observations in understanding EQ-associated precursor signatures. Full article
Show Figures

Figure 1

32 pages, 13104 KB  
Article
Synoptic-Scale Forcing and Its Role in a Rare Severe Rainfall Event over the UAE: A Case Study of 15–16 April 2024
by Noor AlShamsi, Ahmed Al Kaabi, Abdulla Al Mandous, Omar Al Yazeedi, Alya Al Mazrouei, Micheal Weston, Andrew VanderMerwe, Mahmoud Hussein, Esra AlNaqbi, Ahmad Al Kamali, Sufian Farah, Mahra Al Ghafli and Brandt Maxwell
Atmosphere 2025, 16(11), 1267; https://doi.org/10.3390/atmos16111267 - 7 Nov 2025
Viewed by 1186
Abstract
An intense rainfall event affected the United Arab Emirates (UAE) between 15 and 16 April 2024. This study investigated the atmospheric conditions responsible for the formation of large convective storms during this period. Specifically, we analyzed the atmospheric dynamics and large-scale flow that [...] Read more.
An intense rainfall event affected the United Arab Emirates (UAE) between 15 and 16 April 2024. This study investigated the atmospheric conditions responsible for the formation of large convective storms during this period. Specifically, we analyzed the atmospheric dynamics and large-scale flow that led to the development of a cut-off low-pressure system (COL) over the Arabian Peninsula on 15 April 2024, triggering a two-day period of intense precipitation over the UAE. Our findings indicate that the storms were driven by upper-air instability, a prolonged moisture influx from the monsoon system into the UAE, and the presence of a surface front. Some regions recorded over 200 mm of precipitation within this period, resulting in flash floods, infrastructure disruptions, and significant impacts on the local population. The unusual development of the rainfall event was linked to the displacement of the subtropical jet (STJ), which facilitated the formation and intensification of a COL traversing the region. Full article
(This article belongs to the Section Meteorology)
Show Figures

Figure 1

32 pages, 6068 KB  
Article
Curved Geometries in Persistent Homology: From Euclidean to AdS Metrics in Bow Echo Dynamics
by Hélène Canot, Philippe Durand and Emmanuel Frenod
Int. J. Topol. 2025, 2(4), 19; https://doi.org/10.3390/ijt2040019 - 4 Nov 2025
Viewed by 441
Abstract
We propose a geometry topological framework to analyze storm dynamics by coupling persistent homology with Anti-de Sitter (AdS)-inspired metrics. On radar images of a bow echo event, we compare Euclidean distance with three compressive AdS metrics (α = 0.01, 0.1, 0.3) via [...] Read more.
We propose a geometry topological framework to analyze storm dynamics by coupling persistent homology with Anti-de Sitter (AdS)-inspired metrics. On radar images of a bow echo event, we compare Euclidean distance with three compressive AdS metrics (α = 0.01, 0.1, 0.3) via time-resolved H1 persistence diagrams for the arc and its internal cells. The moderate curvature setting (α=0.1) offers the best trade-off: it suppresses spurious cycles, preserves salient features, and stabilizes lifetime distributions. Consistently, the arc exhibits longer, more dispersed cycles (large-scale organizer), while cells show shorter, localized patterns (confined convection). Cross-correlations of H1 lifetimes reveal a temporal asymmetry: arc activation precedes cell activation. A differential indicator Δ(t) based on Wasserstein distances quantifies this divergence and aligns with the visual onset in radar, suggesting early warning potential. Results are demonstrated on a rapid Corsica bow echo; broader validation remains future work. Full article
(This article belongs to the Special Issue Feature Papers in Topology and Its Applications)
Show Figures

Figure 1

17 pages, 2813 KB  
Article
Projected Convective Storm Environment in the Australian Region from Two Downscaling Ensemble Systems Under the SRES-A2/RCP8.5 Scenarios
by Kevin K. W. Cheung, Fei Ji, Jason P. Evans, Nidhi Nishant, Nicholas Herold, Giovanni di Virgilio, Kathleen Beyer and Matthew L. Riley
Climate 2025, 13(11), 229; https://doi.org/10.3390/cli13110229 - 4 Nov 2025
Viewed by 841
Abstract
Local thunderstorms are among the major meteorological hazards in the Australian region. These storms inherently have compound impacts, including hail, flash floods, and wind gusts, and consistently cause some of the highest insured losses. Studies on the climate change impact on local storms [...] Read more.
Local thunderstorms are among the major meteorological hazards in the Australian region. These storms inherently have compound impacts, including hail, flash floods, and wind gusts, and consistently cause some of the highest insured losses. Studies on the climate change impact on local storms face the challenges of unreliable storm climatology and uncertainties in the numerical modeling of physical processes. In this study we have adopted an approach to examining the ingredients of severe storm development based on regional climate simulations. We examined two generations of NARCliM datasets (NSW and Australian Regional Climate Modeling). Projected changes in convective indices for the latter half of the twenty-first century indicate an environment more conducive to thunderstorm development, primarily due to enhanced atmospheric instability, despite a concurrent increase in convective inhibition. A measure that combines the dynamic factor of vertical wind shear further shows that the potential storm days will increase substantially, such as a doubling of days with storms during summer, under the influence of climate change over tropical, eastern, and southeastern Australia. The storm season in a year is also expected to elongate. These projections imply increasing thunderstorm-related hazards in the future, including hail, flood, and high winds. Full article
(This article belongs to the Special Issue Recent Climate Change Impacts in Australia)
Show Figures

Figure 1

24 pages, 26775 KB  
Article
Robust Synthesis Weather Radar from Satellite Imagery: A Light/Dark Classification and Dual-Path Processing Approach
by Wei Zhang, Hongbo Ma, Yanhai Gan, Junyu Dong, Renbo Pang, Xiaojiang Song, Cong Liu and Hongmei Liu
Remote Sens. 2025, 17(21), 3609; https://doi.org/10.3390/rs17213609 - 31 Oct 2025
Viewed by 569
Abstract
Weather radar reflectivity plays a critical role in precipitation estimation and convective storm identification. However, due to terrain limitations and the uneven spatial distribution of radar stations, oceanic regions have long suffered from a lack of radar observations, resulting in extensive monitoring gaps. [...] Read more.
Weather radar reflectivity plays a critical role in precipitation estimation and convective storm identification. However, due to terrain limitations and the uneven spatial distribution of radar stations, oceanic regions have long suffered from a lack of radar observations, resulting in extensive monitoring gaps. Geostationary meteorological satellites have wide-area coverage and near-real-time observation capability, offering a viable solution for synthesizing radar reflectivity in these regions. Most previous synthesis studies have adopted fixed time-window data partitioning, which introduces significant noise into visible-light observations under large-scale, low-illumination conditions, thereby degrading synthesis quality. To address this issue, we propose an integrated deep-learning method that combines illumination-based classification and reflectivity synthesis to enhance the accuracy of radar reflectivity synthesis from geostationary meteorological satellites. This approach integrates a classification network with a synthesis network. First, visible-light observations from the Himawari-8 satellite are classified based on illumination conditions to separate valid signals from noise; then, noise-free infrared observations and multimodal fused data are fed into dedicated synthesis networks to generate composite reflectivity products. In experiments, the proposed method outperformed the baseline approach in regions with strong convection (≥35 dBZ), with a 9.5% improvement in the critical success index, a 7.5% increase in the probability of detection, and a 6.1% reduction in the false alarm rate. Additional experiments confirmed the applicability and robustness of the method across various complex scenarios. Full article
Show Figures

Figure 1

21 pages, 3633 KB  
Article
Development and Evaluation of Dimensionless Design Storm Hyetographs for Southwestern Saudi Arabia in a Hyper-Arid Climate
by Raied Alharbi
Atmosphere 2025, 16(11), 1237; https://doi.org/10.3390/atmos16111237 - 27 Oct 2025
Viewed by 945
Abstract
Design storm hyetographs are essential inputs for hydrological modeling and flood risk assessment, yet their applicability in hyper-arid climates remains poorly constrained. In Saudi Arabia, engineers have frequently relied on imported synthetic profiles—such as such as the Natural Resources Conservation Service (NRCS; formerly [...] Read more.
Design storm hyetographs are essential inputs for hydrological modeling and flood risk assessment, yet their applicability in hyper-arid climates remains poorly constrained. In Saudi Arabia, engineers have frequently relied on imported synthetic profiles—such as such as the Natural Resources Conservation Service (NRCS; formerly the Soil Conservation Service, SCS) Type II curve—which were originally derived from temperate regions and may misrepresent the temporal structure of local storms. This study develops dimensionless design storm hyetographs for the southwestern provinces of Saudi Arabia (Asir, Al-Baha, Makkah, and Jazan) using a dataset of 8923 storms recorded at 152 rain gauges between 2017 and 2024. Storms were classified into four duration groups (<3 h, 3–6 h, 6–12 h, and 12–24 h), normalized by depth and duration, and analyzed through Huff quartiles, Euler Type II, Alternating Block Method (ABM), and NRCS Type II. Model–data evaluation using root-mean-square error (RMSE) identified Huff Q1 as the most representative profile for short and intermediate storms, while Huff Q2 best captured longer events. The optimized profiles consistently reproduced the strong front-loaded character of Saudi convective rainfall and outperformed existing synthetic hyetographs. These findings provide robust, locally calibrated design storms for flood modeling and infrastructure design in arid regions. The methodology is transferable to other data-scarce environments where standard profiles may misrepresent storm dynamics. Full article
(This article belongs to the Special Issue Advances in Rainfall-Induced Hazard Research (2nd Edition))
Show Figures

Figure 1

7 pages, 1917 KB  
Proceeding Paper
Supercell Thunderstorms on September 7, 2024, in Greece: Documentation and Predictability
by Maria Christodoulou, Ioannis Tegoulias and Ioannis Pytharoulis
Environ. Earth Sci. Proc. 2025, 35(1), 58; https://doi.org/10.3390/eesp2025035058 - 30 Sep 2025
Viewed by 618
Abstract
On September 7, 2024, a deep convection event was observed in Northern and Central Greece, and based on radar data analysis, three supercells were identified. One of these, the most intense with maximum radar reflectivity of 68 dBZ, had a lifetime of almost [...] Read more.
On September 7, 2024, a deep convection event was observed in Northern and Central Greece, and based on radar data analysis, three supercells were identified. One of these, the most intense with maximum radar reflectivity of 68 dBZ, had a lifetime of almost 7 h and covered a distance of more than 200 km, producing damaging winds and large hail along its track. The goal of this study was to analyze this case using radar data and to evaluate the predictability of such a high-impact event using a numerical weather prediction model. The Weather Research and Forecasting (ARW-WRF) model was used to perform an array of simulations, and using multiple initialization times, the influence of lead time was examined. Furthermore, the dependence of the results on the choice of parameterization scheme used in the model is assessed below. The model performed satisfactorily in predicting intense storm activity, without reaching the extreme values observed by the radar. Full article
Show Figures

Figure 1

18 pages, 1128 KB  
Article
Mathematical Formulation of Intensity–Duration–Frequency Curves and Their Hydrological Risk Implications in Civil Engineering Design
by Alfonso Gutierrez-Lopez and Roberto Rico Ramirez
AppliedMath 2025, 5(3), 125; https://doi.org/10.3390/appliedmath5030125 - 19 Sep 2025
Viewed by 1542
Abstract
Intensity–duration–frequency (IDF) curves, which relate rainfall intensity (i), storm duration (d), and return period (T), are cornerstone tools for planning, designing, and operating hydraulic works. Since Sherman’s pioneering formulation in 1931, many modern implementations have systematically omitted the duration-shifting parameter C, [...] Read more.
Intensity–duration–frequency (IDF) curves, which relate rainfall intensity (i), storm duration (d), and return period (T), are cornerstone tools for planning, designing, and operating hydraulic works. Since Sherman’s pioneering formulation in 1931, many modern implementations have systematically omitted the duration-shifting parameter C, causing predicted intensities to diverge to infinity as d0. This mathematical paradox becomes especially problematic under extreme hydrological regimes and convective storms exceeding 300 mm/h, where an accurate curve fit is critical. Here, we first review conventional IDF curve fitting techniques and their limitations. We then introduce IDF-GtzLo, a novel, intuitive formulation that reinstates and calibrates C directly from observed storm statistics, ensuring finite intensities for all durations. Applied to 36 automatic weather stations across Mexico, our method reduces the root mean square error by 23 % compared to the classical model. By eliminating the infinite intensity paradox and improving statistical performance, IDF-GtzLo offers a more reliable foundation for hydrological risk assessment and the design of infrastructure resilient to climate-driven extremes. Full article
Show Figures

Figure 1

7 pages, 916 KB  
Proceeding Paper
Orographic Effect’s Correlation with Convection During a Low-Pressure System Passage over Greece in September 2023
by Sotirios T. Arsenis, Ioannis Samos and Panagiotis T. Nastos
Environ. Earth Sci. Proc. 2025, 35(1), 37; https://doi.org/10.3390/eesp2025035037 - 17 Sep 2025
Viewed by 530
Abstract
Extreme rainfall events are frequently associated with regions of complex topography, where terrain-induced convergence and uplift enhance storm development. Understanding the interaction between surface relief and atmospheric dynamics is essential for improving severe weather forecasting and hazard mitigation. Storm “Daniel”, which affected Greece [...] Read more.
Extreme rainfall events are frequently associated with regions of complex topography, where terrain-induced convergence and uplift enhance storm development. Understanding the interaction between surface relief and atmospheric dynamics is essential for improving severe weather forecasting and hazard mitigation. Storm “Daniel”, which affected Greece from 4–7 September 2023, produced extreme rainfall and widespread flooding in the Thessaly region—a landscape characterized by significant elevation gradients. This study investigates the spatial relationship between lightning activity and terrain elevation, aiming to assess whether deep convection was preferentially triggered over mountainous regions or followed specific orographic patterns. High-resolution elevation data (SRTM 1 Arc-Second Global DEM) were used to calculate the mean elevation around each lightning strike across four spatial scales (2 km, 5 km, 10 km, and 20 km). Statistical analysis, including correlation coefficients and third-degree polynomial regression, revealed a non-linear relationship, with a distinct peak in lightning frequency at mid-elevations (~200–400 m). These findings suggest that topographic features at local scales can significantly modulate convective initiation, likely due to a combination of mechanical uplift and favorable thermodynamic conditions. The study integrates geospatial techniques and statistical modeling to provide quantitative insights into how terrain influences the formation, location, and intensity of thunderstorms during high-impact weather events. Full article
Show Figures

Figure 1

6 pages, 1569 KB  
Proceeding Paper
The Extreme Storm over the Cyclades on 31 March 2025: The Role of Warmer Sea Surface Temperatures in the Intensification of the Event
by Theodoros H. Kondilis and Sotirios T. Arsenis
Environ. Earth Sci. Proc. 2025, 35(1), 27; https://doi.org/10.3390/eesp2025035027 - 12 Sep 2025
Viewed by 868
Abstract
On 31 March 2025, a severe thunderstorm system affected the Cyclades region, causing extensive flash floods on the islands of Paros and Mykonos and leading to significant material damage. This study investigates the meteorological characteristics of the event and focuses on the potential [...] Read more.
On 31 March 2025, a severe thunderstorm system affected the Cyclades region, causing extensive flash floods on the islands of Paros and Mykonos and leading to significant material damage. This study investigates the meteorological characteristics of the event and focuses on the potential role of elevated sea surface temperatures (SSTs) in intensifying the storm’s severity. The analysis is centered on the broader Aegean region (geographic extent: 41.25° N, 21.83° E to 34.30° N, 28.51° E), utilizing ERA5 reanalysis data from ECMWF. These data provide high-resolution information on the atmospheric and ocean surface conditions during the event. The primary research objective is to explore how warmer SSTs may have contributed to enhanced moisture in the lower troposphere and increased energy availability for convective storm development. The theoretical background and a preliminary data exploration suggest that elevated SSTs likely favored increased evaporation, enhanced low-level moisture transport, and greater atmospheric instability, leading to the development of deep convective clouds. This, in turn, may have intensified precipitation rates and elevated the flood risk. This study aims to contribute to a better understanding of the mechanisms behind such extreme weather events, particularly in island environments, and to explore the sea’s potential catalytic role under a changing climate. Full article
Show Figures

Figure 1

20 pages, 8416 KB  
Article
Extreme Short-Duration Rainfall and Urban Flood Hazard: Case Studies of Convective Events in Warsaw and Zamość, Poland
by Bartłomiej Pietras and Robert Pyrc
Water 2025, 17(18), 2671; https://doi.org/10.3390/w17182671 - 9 Sep 2025
Viewed by 1940
Abstract
This study investigates two extreme convective rainfall events that struck Poland in August 2024, affecting Warsaw (Okęcie) on 19 August and Zamość on 21 August. The aim is to evaluate the meteorological background, intensity, and spatial characteristics of these short-duration storms. We used [...] Read more.
This study investigates two extreme convective rainfall events that struck Poland in August 2024, affecting Warsaw (Okęcie) on 19 August and Zamość on 21 August. The aim is to evaluate the meteorological background, intensity, and spatial characteristics of these short-duration storms. We used high-resolution meteorological observations, radar imagery, and satellite data provided by the Institute of Meteorology and Water Management (IMGW-PIB). The storms were analyzed using temporal rainfall profiles, Chomicz α index classification, and comparison with World Meteorological Organization (WMO) thresholds for extreme precipitation. Both events exceeded national and international criteria for torrential rainfall. In Zamość, over 88.3 mm of rain fell within one hour, and 131.3 mm within three hours—ranking this episode among the most intense short-duration rainfall events in the region. Convective organization patterns, including multicellular clustering and convective training, were identified as key factors enhancing rainfall intensity. The results demonstrate the diagnostic value of combining national indices with global benchmarks in rainfall assessment. These findings support further integration of convection-permitting models and real-time nowcasting into urban hydrometeorological warning systems. Full article
(This article belongs to the Section Water and Climate Change)
Show Figures

Figure 1

16 pages, 9656 KB  
Article
Diurnal Analysis of Nor’westers over Gangetic West Bengal as Observed from Weather Radar
by Bibraj Raj, Swaroop Sahoo, N. Puviarasan and V. Chandrasekar
Atmosphere 2025, 16(8), 989; https://doi.org/10.3390/atmos16080989 - 20 Aug 2025
Viewed by 956
Abstract
Intense thunderstorms known as Nor’westers develop in the Eastern and North Eastern parts of India and Bangladesh before the monsoon season (March to May). The associated severe weather can cause extensive damage to property and livestock. This study uses the pre-monsoon volumetric data [...] Read more.
Intense thunderstorms known as Nor’westers develop in the Eastern and North Eastern parts of India and Bangladesh before the monsoon season (March to May). The associated severe weather can cause extensive damage to property and livestock. This study uses the pre-monsoon volumetric data of S-band radar from 2013 to 2018 located in Kolkata to investigate the diurnal variation in the characteristics of the storms over Gangetic West Bengal. The cell initiation, echo top heights, maximum reflectivity, and core convective area are determined by using a flexible feature tracking algorithm (PyFLEXTRKR). The variation of the parameters in diurnal scale is examined from 211,503 individual cell tracks. The distribution of the severe weather phenomena based on radar based thresholds in spatial and temporal scale is also determined. The results show that new cell initiation peaks in the late evening and early morning, displaying bimodal variability. Most of these cells have a short lifespan of 0 to 3 h, with fewer than 5 percent of storms lasting beyond 3 h. The occurrence of hail is much greater in the afternoon due to intense surface heating than at other times. In contrast, the occurrence of lightning is higher in the late evening hours when the cell initiation reaches its peak. The convective rains are generally accompanied by lightning, exhibiting a similar diurnal temporal variability but are more widespread. The findings will assist operational weather forecasters in identifying locations that need targeted observation at certain times of the day to enhance the accuracy of severe weather nowcasting. Full article
(This article belongs to the Section Meteorology)
Show Figures

Figure 1

Back to TopTop