Sign in to use this feature.

Years

Between: -

Subjects

remove_circle_outline
remove_circle_outline
remove_circle_outline
remove_circle_outline
remove_circle_outline
remove_circle_outline
remove_circle_outline
remove_circle_outline
remove_circle_outline

Journals

remove_circle_outline
remove_circle_outline
remove_circle_outline
remove_circle_outline
remove_circle_outline
remove_circle_outline

Article Types

Countries / Regions

remove_circle_outline
remove_circle_outline
remove_circle_outline
remove_circle_outline

Search Results (259)

Search Parameters:
Keywords = contour fitting

Order results
Result details
Results per page
Select all
Export citation of selected articles as:
23 pages, 5960 KB  
Article
Rapid Calibration of DEM Parameters for Corn Straw–Pig Manure Mixtures Under Variable Moisture Content for Composting Applications
by Lingqiang Kong, Jun Du, Liqiong Yang, Xiaofu Yao, Xuan Hu, Hongjie Yin and Xiaoyu Tang
Agriculture 2026, 16(5), 612; https://doi.org/10.3390/agriculture16050612 - 6 Mar 2026
Viewed by 229
Abstract
Moisture content varies continuously during aerobic composting, which changes material flowability and can limit the use of a single set of discrete element method (DEM) parameters. To address this issue for a multi-component corn straw–pig manure mixture, we developed a rapid calibration workflow [...] Read more.
Moisture content varies continuously during aerobic composting, which changes material flowability and can limit the use of a single set of discrete element method (DEM) parameters. To address this issue for a multi-component corn straw–pig manure mixture, we developed a rapid calibration workflow covering a moisture content range of 29–80%. Angle of repose (AoR) images were obtained using a cylinder-lifting test. To improve robustness for irregular pile contours, we proposed an AoR extraction method that combines LOESS smoothing with least-squares line fitting. Key DEM contact parameters affecting AoR were screened using a Plackett–Burman design, and their effective ranges were refined using a steepest-ascent test. A Box–Behnken design was then used to establish a response surface linking AoR to the significant DEM parameters. In addition, a polynomial relationship between moisture content and AoR was fitted and coupled with the AoR-parameter response surface to predict key DEM parameters directly from moisture content. Validation results showed that the predicted AoR exhibited a relative error below 10% across the tested moisture contents. An independent baffle-lifting validation test yielded a relative error below 5%. Overall, this workflow provided a practical strategy for setting DEM simulations of composting feedstocks under variable moisture content and supports numerical analysis and structural optimization of composting-related machinery. Full article
(This article belongs to the Section Agricultural Technology)
Show Figures

Figure 1

21 pages, 3931 KB  
Article
Vehicle Speed Estimation Using Infrastructure-Mounted LiDAR via Rectangle Edge Matching
by Injun Hong and Manbok Park
Appl. Sci. 2026, 16(5), 2513; https://doi.org/10.3390/app16052513 - 5 Mar 2026
Viewed by 216
Abstract
Smart transportation infrastructure is increasingly deployed, and cooperative perception using stationary Light Detection and Ranging (LiDAR) sensors installed at intersections and along roadsides is becoming more important. However, infrastructure LiDAR often suffers from sparse point-cloud data (PCD) at long ranges and frequent occlusions, [...] Read more.
Smart transportation infrastructure is increasingly deployed, and cooperative perception using stationary Light Detection and Ranging (LiDAR) sensors installed at intersections and along roadsides is becoming more important. However, infrastructure LiDAR often suffers from sparse point-cloud data (PCD) at long ranges and frequent occlusions, which can degrade the stability of inter-frame displacement and speed estimation. This paper proposes a real-time vehicle speed estimation method that operates robustly under sparse and partially observed conditions. The proposed approach extracts boundary points from clustered vehicle PCD and removes outliers, and then fits a 2D rectangle to the vehicle contour via Gauss–Newton optimization by minimizing distance-based residuals between boundary points and rectangle edges. To further improve robustness, we incorporate Hessian augmentation terms that account for boundary states and size variations, thereby alleviating excessive boundary violations and abnormal deformation of the width and height parameters during iterations. Next, from the fitted rectangles in consecutive frames, we construct a nearest corner with respect to the LiDAR origin and an auxiliary point, and perform 2D SVD-based alignment using only these two representative points. This enables efficient computation of inter-frame displacement and speed without full point-cloud registration (e.g., iterative closest point (ICP)). Experiments conducted at an intersection in K-City (Hwaseong, Republic of Korea) using a 40-channel LiDAR, a test vehicle (Genesis G70), and a real-time kinematic (RTK) system (MRP-2000) show that the proposed method stably preserves representative points and fits rectangles, even in sparse regions where only about two LiDAR rings are observed. Using CAN-based vehicle speed as the reference, the proposed method achieves an MAE of 0.76–1.37 kph and an RMSE of 0.90–1.58 kph over the tested speed settings (30, 50, and 70 kph, as well as high speed (~90 kph)) and trajectory scenarios. Furthermore, per-object processing-time measurements confirm the real-time feasibility of the proposed algorithm. Full article
Show Figures

Figure 1

17 pages, 986 KB  
Article
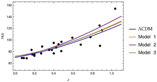
Interacting Ricci-Type Holographic Dark Energy and Dark Sector Couplings
by Carlos Rodriguez-Benites, Sergio Santa-María, Nelson Mechán-Zurita, Kenyi Llauce-Baldera, Arnhol Campos-Bocanegra, Cristhian Nunura-Cotrina, Manuel Gonzales-Hernandez, Vaukelyn Viloria-León, Moises Barrios-Cespedes, Fredy Medina-Gamboa and Antonio Rivasplata-Mendoza
Physics 2026, 8(1), 24; https://doi.org/10.3390/physics8010024 - 1 Mar 2026
Viewed by 291
Abstract
We investigate cosmological scenarios in a spatially flat Friedmann–Lemaître–Robertson–Walker (FLRW) universe containing Ricci-type holographic dark energy within the framework of general relativity. The cosmic fluid is composed of baryonic matter, radiation, cold dark matter, and dark energy. We consider three phenomenological interaction schemes [...] Read more.
We investigate cosmological scenarios in a spatially flat Friedmann–Lemaître–Robertson–Walker (FLRW) universe containing Ricci-type holographic dark energy within the framework of general relativity. The cosmic fluid is composed of baryonic matter, radiation, cold dark matter, and dark energy. We consider three phenomenological interaction schemes in the dark sector and derive analytic expressions for the standard cosmological quantities in each case. Using observational data from cosmic chronometers and Type Ia supernovae (Pantheon sample), we constrain the parameters of the interacting models and determine their best-fit values. Finally, we compare the interacting holographic scenarios with the concordance ΛCDM (Λ cold dark matter) model at the background level, displaying contour plots for the cosmological and interaction parameters and discussing the performance of the models in light of earlier results in the literature. Full article
(This article belongs to the Special Issue Beyond the Standard Models of Physics and Cosmology: 2nd Edition)
Show Figures

Figure 1

18 pages, 5454 KB  
Article
A Fast Image Segmentation Algorithm Based on Grayscale Morphological Edge Differential Fitting Model
by Jian Su
Symmetry 2026, 18(3), 425; https://doi.org/10.3390/sym18030425 - 28 Feb 2026
Viewed by 214
Abstract
Current image segmentation methods often suffer from issues such as low accuracy, slow processing speed, and inadequate robustness when dealing with images with inhomogeneous noise and intensity. To resolve these issues, we propose a fast image segmentation algorithm based on a grayscale morphological [...] Read more.
Current image segmentation methods often suffer from issues such as low accuracy, slow processing speed, and inadequate robustness when dealing with images with inhomogeneous noise and intensity. To resolve these issues, we propose a fast image segmentation algorithm based on a grayscale morphological edge differential fitting model. By utilizing morphological erosion and dilation operations, our model matches the differential image intensity inside and outside the contour. The grayscale morphological operator extracts local image information, which can effectively segment images with intensity inhomogeneity. Since the edge differential fitting function is replaced by the image grayscale morphology, it reduces the need for updates during level set evolution, thereby lowering the CPU runtime and complexity. Experimental results indicate that our model demonstrates fair robustness to noise interference and initial contours. Compared with active contour models (ACMs) and deep learning methods, our model exhibits superior segmentation accuracy while remaining robust to initial contours. Full article
(This article belongs to the Section Computer)
Show Figures

Figure 1

31 pages, 11349 KB  
Article
Recognition, Localization and 3D Geometric Morphology Calculation of Microblind Holes in Complex Backgrounds Based on the Improved YOLOv11 Network and AVC Algorithm
by Chengfen Zhang, Dong Xia, Ruizhao Chen, Qunfeng Niu, Tao Wang and Li Wang
J. Imaging 2026, 12(3), 96; https://doi.org/10.3390/jimaging12030096 - 24 Feb 2026
Viewed by 308
Abstract
Microblind hole processing quality inspection, especially accurately identifying microblind hole contour features and precisely detecting 3D and morphological parameters, has always been challenging, especially for accurately identifying those of different sizes, depths, and contour features simultaneously. This poses a great challenge for identifying [...] Read more.
Microblind hole processing quality inspection, especially accurately identifying microblind hole contour features and precisely detecting 3D and morphological parameters, has always been challenging, especially for accurately identifying those of different sizes, depths, and contour features simultaneously. This poses a great challenge for identifying and localizing microblind hole contours based on machine vision and accurately calculating three-dimensional parameters. This study takes cigarette microblind holes (diameter of 0.1–0.2 mm, depth of approximately 35 µm) as the research object. It focuses on solving two major challenges: recognizing and localizing microblind hole contours in complex texture backgrounds and accurately calculating their 3D geometric morphology. An improved YOLOv11s model is proposed for microblind hole image multiobject detection with complex texture backgrounds to extract their features completely. An Area–Volume Computation (AVC) algorithm, which utilizes discrete integral estimation and curve-fitting principles, is also proposed for computing their surface area and volume. The experimental results show that the precision, recall, mAP@0.5, mAP@0.5:0.95, and prediction time of the improved YOLOv11 network are 0.915, 0.948, 0.925, 0.615, and 1.27 ms, respectively. The relative errors (REs) of the surface area and volume calculation of the microblind holes are 5.236% and 3.964%, respectively. The proposed method achieves microblind hole recognition, localization and 3D morphology calculation accuracy, meeting cigarette on-site inspection criteria. Additionally, a reference for detecting other similar objects in complex texture backgrounds and accurately calculating 3D tasks is provided. Full article
(This article belongs to the Topic Computer Vision and Image Processing, 3rd Edition)
Show Figures

Figure 1

33 pages, 2049 KB  
Article
Hybrid MICO-LAC Segmentation with Panoptic Tumor Instance Analysis for Dense Breast Mammograms
by Razia Jamil, Min Dong, Orken Mamyrbayev and Ainur Akhmediyarova
J. Imaging 2026, 12(3), 95; https://doi.org/10.3390/jimaging12030095 - 24 Feb 2026
Viewed by 261
Abstract
This study proposes a clinically driven hybrid segmentation framework for dense breast tissue analysis in mammographic images, addressing persistent challenges associated with intensity inhomogeneity, low-contrast, and complex tumor morphology. The framework integrates Multiplicative Intrinsic Component Optimization (MICO_2D) for bias field correction, followed by [...] Read more.
This study proposes a clinically driven hybrid segmentation framework for dense breast tissue analysis in mammographic images, addressing persistent challenges associated with intensity inhomogeneity, low-contrast, and complex tumor morphology. The framework integrates Multiplicative Intrinsic Component Optimization (MICO_2D) for bias field correction, followed by a distance-regularized multiphase Vese–Chan level-set model for coarse global tumor segmentation. To achieve precise boundary delineation, a localized refinement stage is employed using Localized Active Contours (LAC) with Local Image Fitting (LIF) energy, supported by Gaussian regularization to ensure smooth and coherent boundaries in regions with ambiguous tissue transitions. Building upon the refined semantic tumor mask, the framework further incorporates a panoptic-style tumor instance segmentation stage, enabling the decomposition of connected tumor regions into distinct anatomical instances, which were evaluated on both MIAS and INBreast mammography datasets to demonstrate generalizability. This extension facilitates detailed structural analysis of tumor multiplicity and spatial organization, enhancing interpretability beyond conventional pixel wise segmentation. Experiments conducted on Cranio-Caudal (CC) and Medio-Lateral Oblique (MLO) mammographic views demonstrate competitive performance relative to baseline U-Net and advanced deep learning fusion architectures, including multi-scale and multi-view networks, while offering improved interpretability and robustness. Quantitative evaluation using overlap-related metrics shows strong spatial agreement between predicted and reference segmentations, with per-image Dice Similarity Coefficient (DSC) and Intersection over Union (IoU) distributions reported to ensure reproducibility. Descriptive per-image analysis, supported by bootstrap-based confidence intervals and paired comparisons, indicates consistent performance improvements across images. Robustness analysis under realistic perturbations, including noise, contrast degradation, blur, and rotation, demonstrates stable performance across varying imaging conditions. Furthermore, feature space visualizations using t-SNE and UMAP reveal clear separability between cancerous and non-cancerous tissue regions, highlighting the discriminative capability of the proposed framework. Overall, the results demonstrate the effectiveness, robustness, and clinical motivation of this hybrid panoptic framework for comprehensive dense breast tumor analysis in mammography, while emphasizing reproducibility and conservative statistical assessment. Full article
(This article belongs to the Special Issue Current Progress in Medical Image Segmentation)
Show Figures

Figure 1

32 pages, 7073 KB  
Article
Crack Contour Modeling Based on a Metaheuristic Algorithm and Micro-Laser Line Projection
by J. Apolinar Muñoz Rodríguez
Biomimetics 2026, 11(2), 102; https://doi.org/10.3390/biomimetics11020102 - 2 Feb 2026
Viewed by 387
Abstract
Currently, bio-inspired metaheuristic algorithms play an important role in computer vision for assessing surface cracks. Also, manufacturing industries need non-destructive technologies based on biomimetics theory for characterizing micro-crack contours to determine surface quality. In this way, it is necessary to develop bio-inspired algorithms [...] Read more.
Currently, bio-inspired metaheuristic algorithms play an important role in computer vision for assessing surface cracks. Also, manufacturing industries need non-destructive technologies based on biomimetics theory for characterizing micro-crack contours to determine surface quality. In this way, it is necessary to develop bio-inspired algorithms to construct crack contour models for determining crack regions through an optical microscope system. In this study, a metaheuristic genetic algorithm is implemented to build crack contour models by means of Bezier functions and crack coordinates. The contour modeling is performed by a microscope vision system based on micro-laser line scanning, which provides the crack coordinates through a broken laser line in the crack region. Thus, the metaheuristic algorithm builds the crack contour model by fitting the Bezier functions toward the crack topography. At this stage, an objective function moves the Bezier functions toward the crack topography via control points. The proposed technique provides micro-scale crack contours with a relative error smaller than 2%. Thus, the proposed crack contour modeling enhances the traditional crack contour inspection based on microscope image processing. This contribution is supported by a comparison between the proposed technique and the crack characterization performed via conventional image processing algorithms. Full article
Show Figures

Graphical abstract

24 pages, 3305 KB  
Article
A Refined Method for Inspecting the Verticality of Thin Tower Structures Using the Marching Square Algorithm
by Mingduan Zhou, Guanxiu Wu, Yuhan Qin, Zihan Zhou, Qiao Song, Shiqi Lin, Lu Qin, Peng Yan and Shufa Li
Buildings 2026, 16(3), 604; https://doi.org/10.3390/buildings16030604 - 2 Feb 2026
Viewed by 310
Abstract
Conducting regular verticality inspections for thin tower structures is essential for ensuring structural safety, extending service life, and optimizing operation and maintenance strategies. However, the traditional theodolite inspection method, as a commonly used technique for verticality assessment, still has certain limitations, including strict [...] Read more.
Conducting regular verticality inspections for thin tower structures is essential for ensuring structural safety, extending service life, and optimizing operation and maintenance strategies. However, the traditional theodolite inspection method, as a commonly used technique for verticality assessment, still has certain limitations, including strict requirements for station setup, the need for high-altitude contact-based operations, and difficulty in accurately resolving the tilt azimuth of the central axis. More importantly, the conventional method provides insufficient understanding of the overall verticality geometric characteristics of thin tower structures, particularly lacking in systematic approaches for characterizing the axis morphology under non-contact, full three-dimensional (3D) perception conditions. Therefore, this study proposes a refined method for inspecting the verticality of thin tower structures using the Marching Square algorithm. The tower body of a tower crane was selected as the experimental subject. Firstly, ground-based LiDAR was employed to scan and acquire the raw point cloud data of the tower crane. After point cloud registration and denoising, high-precision and valid point cloud data of the tower body were obtained. Secondly, a cross-sectional slicing segmentation strategy was designed for the point cloud of the tower body standard sections, and a slice-polygon-contour extraction method based on the Marching Square algorithm was proposed to extract the contour vertices and compute the coordinates of the contour centroids. Finally, a spatial line-fitting algorithm based on the least squares method was proposed to fit a 3D line to the coordinates of the contour centroids, thereby determining the direction vector of the central axis. The direction vector was then subjected to vector operations with the x-axis and z-axis in the station-center space coordinate system to derive the tilt azimuth and tilt angle of the central axis, thereby providing the verticality inspection results of the tower crane. The experimental results indicate that the four cross-section slicing segmentation schemes designed using the proposed method in this study yielded tower crane verticality values of 2.45‰, 2.35‰, 2.20‰, and 2.18‰. All verticality values meet the verticality requirement of no more than 4‰ specified in GB/T 5031-2019 (Tower Cranes). This verifies that the proposed method is feasible and effective, providing a novel, high-precision, and non-contact inspection method for inspecting the anti-overturning stability of thin tower structures. Full article
Show Figures

Figure 1

21 pages, 7016 KB  
Article
Oriented Object Detection in Wood Defect with Improved YOLOv11
by Fengling Xia, Haoran Yi, Xiao Chen, Wenjun Wang, Haotian Wu and Dehao Kong
Forests 2026, 17(2), 194; https://doi.org/10.3390/f17020194 - 1 Feb 2026
Viewed by 364
Abstract
Effective detection of wood defects is essential for maximizing wood use in a sustainable industry. However, traditional methods often struggle with complex textures and irregular shapes. This work introduces MSFE-YOLOv11-OBB, an advanced framework for oriented object detection. To tackle localization and scale challenges, [...] Read more.
Effective detection of wood defects is essential for maximizing wood use in a sustainable industry. However, traditional methods often struggle with complex textures and irregular shapes. This work introduces MSFE-YOLOv11-OBB, an advanced framework for oriented object detection. To tackle localization and scale challenges, we propose several key innovations: (1) a Recalibration Feature Pyramid Network (FPN) with attention modules to enhance contour accuracy, (2) a CSP-PTB module that integrates CNN-based local features with transformer-based global reasoning to create a more robust pattern representation, and (3) an LSRFAConv module designed to capture subtle structural cues, improving the detection of tiny cracks. Experimental results on an industrial dataset show that our model achieves an mAP@50 of 76.2%, improving over the baseline by 4.7% while maintaining a real-time speed of 86.99 FPS. Comparative analyses confirm superior boundary fitting and multiscale recognition capabilities. By effectively characterizing defect orientation and geometry, this framework offers an intelligent, high-precision solution for automated wood detection, significantly enhancing industrial processing efficiency and resource sustainability. Full article
Show Figures

Figure 1

24 pages, 7600 KB  
Article
Integrated Study of Morphology and Viscoelastic Properties in the MG-63 Cancer Cell Line
by Guadalupe Vázquez-Cisneros, Daniel F. Zambrano-Gutierrez, Grecia C. Duque-Gimenez, Alejandro Flores-Mayorga, Diana G. Zárate-Triviño, Cristina Rodríguez-Padilla, Marco A. Bedolla, Jorge Luis Menchaca, Juan Gabriel Avina-Cervantes and Maricela Rodríguez-Nieto
Technologies 2026, 14(1), 60; https://doi.org/10.3390/technologies14010060 - 14 Jan 2026
Viewed by 456
Abstract
Cell morphology and its mechanical properties are crucial factors in cancer development, affecting migration, invasiveness, and the potential risk of metastasis. However, most studies address these aspects separately, limiting the understanding of how morphological complexity relates to cellular mechanics. This work presents an [...] Read more.
Cell morphology and its mechanical properties are crucial factors in cancer development, affecting migration, invasiveness, and the potential risk of metastasis. However, most studies address these aspects separately, limiting the understanding of how morphological complexity relates to cellular mechanics. This work presents an integrated approach that simultaneously quantifies morphology and viscoelasticity in the human osteosarcoma cell line MG-63. Stress–relaxation experiments and optical imaging of the same cells were performed using a custom-built system that couples Atomic Force Microscopy (AFM) with an inverted optical microscope. Morphometric parameters were extracted from cell contours, while viscoelastic properties were obtained by fitting AFM data to the Fractional Kelvin (FK) and Fractional Zener (FZ) models. Among the morphological descriptors, the Shape Complexity (SC) was proposed. It is derived from the Lobe Contribution Elliptical Fourier Analysis (LOCO-EFA), which captures fine-scale contour features overlooked by conventional metrics. Experimental results show that, in MG-63 cells, higher SC values are associated with greater stiffness, indicating a correlation between cell shape complexity and cell stiffness. Furthermore, loading-rate analysis shows that the FZ model captures strain-rate-dependent stiffening more effectively than the FK model. This methodology provides a first approach to jointly analyzing quantitative morphological parameters and mechanical properties, underlining the importance of combined studies to achieve a comprehensive understanding of cell behavior. Full article
Show Figures

Figure 1

14 pages, 17578 KB  
Article
A Two-Stage High-Precision Recognition and Localization Framework for Key Components on Industrial PCBs
by Li Wang, Liu Ouyang, Huiying Weng, Xiang Chen, Anna Wang and Kexin Zhang
Mathematics 2026, 14(1), 4; https://doi.org/10.3390/math14010004 - 19 Dec 2025
Viewed by 461
Abstract
Precise recognition and localization of electronic components on printed circuit boards (PCBs) are crucial for industrial automation tasks, including robotic disassembly, high-precision assembly, and quality inspection. However, strong visual interference from silkscreen characters, copper traces, solder pads, and densely packed small components often [...] Read more.
Precise recognition and localization of electronic components on printed circuit boards (PCBs) are crucial for industrial automation tasks, including robotic disassembly, high-precision assembly, and quality inspection. However, strong visual interference from silkscreen characters, copper traces, solder pads, and densely packed small components often degrades the accuracy of deep learning-based detectors, particularly under complex industrial imaging conditions. This paper presents a two-stage, coarse-to-fine PCB component localization framework based on an optimized YOLOv11 architecture and a sub-pixel geometric refinement module. The proposed method enhances the backbone with a Convolutional Block Attention Module (CBAM) to suppress background noise and strengthen discriminative features. It also integrates a tiny-object detection branch and a weighted Bi-directional Feature Pyramid Network (BiFPN) for more effective multi-scale feature fusion, and it employs a customized hybrid loss with vertex-offset supervision to enable pose-aware bounding box regression. In the second stage, the coarse predictions guide contour-based sub-pixel fitting using template geometry to achieve industrial-grade precision. Experiments show significant improvements over baseline YOLOv11, particularly for small and densely arranged components, indicating that the proposed approach meets the stringent requirements of industrial robotic disassembly. Full article
(This article belongs to the Special Issue Complex Process Modeling and Control Based on AI Technology)
Show Figures

Figure 1

19 pages, 3566 KB  
Article
Assessment of the Calculation Methods for Circle Diameter According to Arc Length, Form Deviations, and Instrument Error: A Cosine Function Simulation Approach
by Lidia Smyczyńska, Bartosz Gapiński and Michał Jakubowicz
Appl. Sci. 2025, 15(24), 13104; https://doi.org/10.3390/app152413104 - 12 Dec 2025
Viewed by 524
Abstract
Coordinate measuring techniques are essential for determining the diameter and roundness of circular features, yet measurements based on short arc segments remain highly sensitive to form deviations, sampling strategy, and instrument error. With the increasing demands placed on metrology, the choice of suitable [...] Read more.
Coordinate measuring techniques are essential for determining the diameter and roundness of circular features, yet measurements based on short arc segments remain highly sensitive to form deviations, sampling strategy, and instrument error. With the increasing demands placed on metrology, the choice of suitable data calculation and analysis methods becomes crucial for reliable interpretation of results. This study presents a simulation-based analysis of diameter evaluation for an oval-shaped profile, considering different levels of form deviation, three orientations of the contour peak, and the presence of random measurement error. The analysis includes both complete contours and partial arc segments and evaluates four reference-circle-fitting methods (LSCI, MZCI, MICI, MCCI). The results show that shortening the measured arc increases the influence of local geometric irregularities and random error on the obtained diameter values. The fitting methods behave differently under these conditions: LSCI is strongly affected by the orientation of the deformation peak, while MICI and MCCI provide reliable results only for sufficiently long arcs. MZCI consistently delivers the most stable performance when only fragmentary data are available. These findings indicate that both the choice of reference method and the selection of an adequate arc length are crucial for ensuring reliable and meaningful diameter assessment. Full article
(This article belongs to the Special Issue Recent Advances and Future Challenges in Manufacturing Metrology)
Show Figures

Figure 1

16 pages, 2083 KB  
Article
A Corrosion Segmentation Method for Substation Equipment Based on Improved TransU-Net and Multimodal Feature Fusion
by Hailong Guo, Guangqi Lu, Jiuyu Guo, Zhixin Li, Xuan Wang and Zhenbing Zhao
Electronics 2025, 14(23), 4688; https://doi.org/10.3390/electronics14234688 - 28 Nov 2025
Cited by 2 | Viewed by 444
Abstract
Substation equipment operating in harsh environments is highly susceptible to corrosion, yet conventional image segmentation methods often fail to achieve precise delineation of corroded regions. Here, we propose an enhanced TransU-Net-based approach for corrosion segmentation. Deformable convolution is incorporated into the encoder to [...] Read more.
Substation equipment operating in harsh environments is highly susceptible to corrosion, yet conventional image segmentation methods often fail to achieve precise delineation of corroded regions. Here, we propose an enhanced TransU-Net-based approach for corrosion segmentation. Deformable convolution is incorporated into the encoder to strengthen the model’s capacity to represent irregular corrosion morphologies. A composite color–texture fusion module is developed to jointly exploit color information from HSV and Lab spaces together with multi-scale texture features. In addition, a Shape-IoU loss function is introduced to refine boundary fitting and improve contour accuracy. Experimental evaluations demonstrate that the proposed method consistently outperforms state-of-the-art models across multiple metrics, achieving an Intersection over Union (IoU) of 75.42% and a Recall (PA) of 83.14%. These results confirm that the model substantially enhances corrosion recognition accuracy and edge integrity under complex background conditions, offering a promising strategy for intelligent maintenance of substation infrastructure. Full article
(This article belongs to the Special Issue Applications of Artificial Intelligence in Electric Power Systems)
Show Figures

Figure 1

28 pages, 4441 KB  
Article
Automated 3D Building Model Reconstruction from Satellite Images Using Two-Stage Polygon Decomposition and Adaptive Roof Fitting
by Shuting Yang, Hao Chen and Puxi Huang
Remote Sens. 2025, 17(23), 3832; https://doi.org/10.3390/rs17233832 - 27 Nov 2025
Viewed by 971
Abstract
Digital surface models (DSMs) derived from high-resolution satellite imagery often contain mismatches, voids, and coarse building geometry, limiting their suitability for accurate and standardized 3D reconstruction. The scarcity of finely annotated samples further constrains generalization to complex structures. To address these challenges, an [...] Read more.
Digital surface models (DSMs) derived from high-resolution satellite imagery often contain mismatches, voids, and coarse building geometry, limiting their suitability for accurate and standardized 3D reconstruction. The scarcity of finely annotated samples further constrains generalization to complex structures. To address these challenges, an automated building reconstruction method based on two-stage polygon decomposition and adaptive roof fitting is proposed. Building polygons are first extracted and standardized to preserve primary contours while improving geometric regularity. A two-stage decomposition is then applied. In the first stage, polygons are coarsely decomposed, and redundant rectangles are removed by analyzing containment relationships. In the second stage, non-flat regions are identified and further decomposed to accommodate complex building connections. For 3D model fitting, flat-roof buildings are reconstructed by integrating structural analysis of DSM elevation distributions with adaptive rooftop partitioning, which enables accurate modeling of complex flat structures with auxiliary components. For non-flat roofs, a representative parameter space is defined and explored through systematic search and optimization to obtain precise fits. Finally, intersecting primitives are normalized and optimally merged to ensure structural coherence and standardized representation. Experiments on the US3D, MVS3D, and Beijing-3 datasets demonstrate that the proposed method achieves higher geometric accuracy and more standardized models, with an average IOU3 of 91.26%, RMSE of 0.78 m, and MHE of 0.22 m. Full article
Show Figures

Graphical abstract

17 pages, 4405 KB  
Article
A Pre-Measurement Device for Contour Measurement Path Planning of Complex Small Workpieces
by Lei Liu, Zexiao Li and Xiaodong Zhang
Photonics 2025, 12(11), 1140; https://doi.org/10.3390/photonics12111140 - 18 Nov 2025
Viewed by 429
Abstract
Small overall dimensions, intricate geometries, and discontinuous local surface normals characterize complex small workpieces. These features impose stringent requirements on the alignment accuracy of the workpieces when using a profilometer for three-dimensional surface measurement. This paper presents a pre-measurement method based on a [...] Read more.
Small overall dimensions, intricate geometries, and discontinuous local surface normals characterize complex small workpieces. These features impose stringent requirements on the alignment accuracy of the workpieces when using a profilometer for three-dimensional surface measurement. This paper presents a pre-measurement method based on a reverse projection algorithm. By capturing shadow contours from multiple viewing angles, the three-dimensional pointcloud of the workpiece can be reconstructed. The reconstructed pointcloud is then used to analyze the workpiece pose and guide the path planning of a point-scanning profilometer. Experimental results show that, for a standard sphere with a radius of 12,703 mm, the measured results of the proposed measurement device achieve a fitted radius deviation of 1.8 μm when measuring 70% of the area of the spherical surface. This accuracy meets the precision requirement for guiding the path planning of the profilometer. Furthermore, the measured results from the device are employed to correct the scanning path of a five-axis profilometer for complex workpieces, such as cross-cylinder workpieces, without the need for manual pose adjustment or high-precision fixtures. Full article
Show Figures

Figure 1

Back to TopTop