Sign in to use this feature.

Years

Between: -

Subjects

remove_circle_outline
remove_circle_outline
remove_circle_outline
remove_circle_outline
remove_circle_outline
remove_circle_outline
remove_circle_outline
remove_circle_outline
remove_circle_outline

Journals

remove_circle_outline
remove_circle_outline
remove_circle_outline
remove_circle_outline
remove_circle_outline
remove_circle_outline
remove_circle_outline
remove_circle_outline
remove_circle_outline
remove_circle_outline
remove_circle_outline
remove_circle_outline
remove_circle_outline
remove_circle_outline
remove_circle_outline
remove_circle_outline
remove_circle_outline
remove_circle_outline
remove_circle_outline
remove_circle_outline
remove_circle_outline
remove_circle_outline
remove_circle_outline
remove_circle_outline
remove_circle_outline
remove_circle_outline
remove_circle_outline
remove_circle_outline
remove_circle_outline
remove_circle_outline

Article Types

Countries / Regions

remove_circle_outline
remove_circle_outline
remove_circle_outline
remove_circle_outline
remove_circle_outline

Search Results (2,965)

Search Parameters:
Keywords = condensation effect

Order results
Result details
Results per page
Select all
Export citation of selected articles as:
37 pages, 8937 KB  
Article
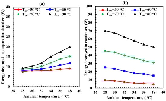
Exergy, Economic, and Environmental (3E) Analysis of a Low-Pressure Desalination Solar-Powered System Using Innovative Technology for Continuous Freshwater Productivity
by M. Salem Ahmed, Hamed Abbady, Hany A. Mohamed, Abanob G. Shahdy and A. S. A. Mohamed
Sustainability 2026, 18(3), 1271; https://doi.org/10.3390/su18031271 - 27 Jan 2026
Abstract
Recently, numerous nations have found themselves in urgent need of an effective water desalination method that utilizes less energy and addresses water scarcity. A low-pressure desalination system is an appropriate technology for many regions due to its benefits, including minimal energy usage to [...] Read more.
Recently, numerous nations have found themselves in urgent need of an effective water desalination method that utilizes less energy and addresses water scarcity. A low-pressure desalination system is an appropriate technology for many regions due to its benefits, including minimal energy usage to achieve the evaporation threshold, substantial water output, and high-quality pure water. This work primarily aims to ensure the sustainability of low-pressure solar-powered desalination technology combined with a finned natural air-cooling condenser by providing a comprehensive analysis of the exergy, economic, and environmental aspects. Furthermore, innovative technology is a pioneer in generating freshwater continuously without affecting system pressure. Ambient temperature serves as a crucial sign of climate conditions, influencing the level of freshwater productivity, particularly when utilizing a natural air-cooled condenser. Consequently, this temperature has been thoroughly investigated through experiments and exergy analysis. Under the optimal conditions for this study, hsw = 15 cm, Tsw = 80 °C, and Tamb = 28 °C, the maximum productivity and GOR were obtained as 1020 g/hr and 1.2, respectively. Exergetic efficiency can reach a maximum of 3.48%. The economic analysis of the proposed system indicates that the cost of freshwater productivity is USD 0.042 per kilogram. Furthermore, the device’s first cost recovery period is roughly 183 days or 3.6% of its lifetime. The quantity and price of diluted CO2 over the lifetime of the device are 13 tons of CO2/year and 188.5 USD/year, respectively. Full article
(This article belongs to the Section Air, Climate Change and Sustainability)
Show Figures

Figure 1

16 pages, 3976 KB  
Article
CeO2 Promoted Ni/Al2O3 Catalyst for the Enhanced Hydrogenolysis of Glucose to 1,2-Propanediol Performance
by Yu Jiang, Xiaoli Pan, Jifeng Pang, Pengfei Wu, Qinggang Liu and Mingyuan Zheng
Molecules 2026, 31(3), 420; https://doi.org/10.3390/molecules31030420 - 26 Jan 2026
Abstract
The selective hydrogenolysis of glucose into 1,2-propanediol (1,2-PG) constitutes a significant yet challenging transformation in biomass valorization, as it involves a highly coupled network of isomerization, C-C bond cleavage, and hydrogenation steps. Herein, a highly efficient Ni-CeO2 catalyst supported by basic Al [...] Read more.
The selective hydrogenolysis of glucose into 1,2-propanediol (1,2-PG) constitutes a significant yet challenging transformation in biomass valorization, as it involves a highly coupled network of isomerization, C-C bond cleavage, and hydrogenation steps. Herein, a highly efficient Ni-CeO2 catalyst supported by basic Al2O3 is developed via a urea-assisted precipitation strategy. Systematic catalytic evaluation and comprehensive characterization reveal that this synthesis method markedly enhances Ni dispersion and hydrogen activation capacity, while CeO2 modification modulates the electronic state of Ni and introduces strong Lewis basic sites associated with oxygen vacancies. The synergistic interplay between Ni and CeO2 effectively promotes glucose isomerization and retro-aldol condensation while maintaining sufficient hydrogenation activity. As a result, the optimized catalyst achieves a 1,2-PG yield of 45.1% with over 99% glucose conversion under optimal hydrothermal reaction conditions. Moreover, the catalyst exhibits relatively stable catalytic performance over four consecutive runs. This work elucidates key structure–activity relationships in multifunctional Ni-based catalysts and provides design principles for efficient biomass-derived polyol production. Full article
(This article belongs to the Section Nanochemistry)
Show Figures

Figure 1

27 pages, 2553 KB  
Article
Biotechnological Potential of Algerian Saffron Floral Residues: Recycling Phytochemicals with Antimicrobial Activity
by Nouria Meliani, Bouchra Loukidi, Larbi Belyagoubi, Nabila Belyagoubi-Benhammou, Salim Habi, Alessia D’Agostino, Antonella Canini, Saber Nahdi, Nassima Mokhtari Soulimane, Angelo Gismondi, Abdel Halim Harrath, Erdi Can Aytar and Gabriele Di Marco
Biology 2026, 15(2), 197; https://doi.org/10.3390/biology15020197 - 21 Jan 2026
Viewed by 121
Abstract
This study investigates the phytochemical profile, antioxidant capacity, and antimicrobial potential of Crocus sativus L. (saffron) tepal extracts obtained via different solvent systems. Here, a biochemical screening was performed using spectrophotometry and HPLC-DAD, while molecular docking simulations were carried out to evaluate the [...] Read more.
This study investigates the phytochemical profile, antioxidant capacity, and antimicrobial potential of Crocus sativus L. (saffron) tepal extracts obtained via different solvent systems. Here, a biochemical screening was performed using spectrophotometry and HPLC-DAD, while molecular docking simulations were carried out to evaluate the possible interactions between saffron tepal metabolites and bacterial target proteins. In parallel, antioxidant activity was assessed using radical scavenging assays, whereas antimicrobial potential (i.e., MIC, MBC, and MFC) was tested against selected bacterial strains. Results indicated that aqueous successive and crude extracts yielded the highest concentrations of polyphenols, flavonoids, and condensed tannins. In detail, HPLC-DAD analysis specifically identified significant levels of gallic acid, epicatechin, and various anthocyanins. These extracts demonstrated robust antioxidant and antimicrobial activities. This latter evidence was corroborated by the docking analyses, which revealed that chlorogenic acid and petunidin-3-glucoside exhibited high binding affinities for 2NRK and 2NZF, whereas epicatechin and pelargonidin effectively targeted 8ACR. These findings underscore the therapeutic potential of C. sativus tepals as natural bioactive agents, suggesting a promising role in overcoming antibiotic resistance and supporting their development for pharmaceutical applications. Full article
(This article belongs to the Special Issue Young Researchers in Plant Sciences)
Show Figures

Graphical abstract

18 pages, 8098 KB  
Article
Triamcinolone Modulates Chondrocyte Biomechanics and Calcium-Dependent Mechanosensitivity
by Chen Liang, Sina Jud, Sandra Frantz, Rosa Riester, Marina Danalache and Felix Umrath
Int. J. Mol. Sci. 2026, 27(2), 1055; https://doi.org/10.3390/ijms27021055 - 21 Jan 2026
Viewed by 70
Abstract
Glucocorticoids are widely applied intra-articularly to alleviate inflammation and pain in osteoarthritis (OA). However, repeated administration and high local concentrations can lead to crystal deposition on the cartilage surface, contributing to chondrocyte damage and extracellular matrix (ECM) degradation, potentially accelerating OA progression. Calcium-dependent [...] Read more.
Glucocorticoids are widely applied intra-articularly to alleviate inflammation and pain in osteoarthritis (OA). However, repeated administration and high local concentrations can lead to crystal deposition on the cartilage surface, contributing to chondrocyte damage and extracellular matrix (ECM) degradation, potentially accelerating OA progression. Calcium-dependent mechanosensors play a critical role in mediating catabolic responses in chondrocytes, but it remains unclear whether glucocorticoids affect chondrocyte mechanosensitivity or biomechanical properties. This in vitro study examined the dose-dependent effects of triamcinolone acetonide (TA) on chondrocyte biomechanics and mechanosensitivity. Primary human chondrocytes (N = 23) were cultured for one week with TA (2 µM–2 mM) or control medium. Cytoskeletal organization was visualized by F-actin staining (N = 6), and cellular elasticity (N = 5) was quantified via atomic force microscopy (AFM). Mechanotransduction was analyzed by Ca2+ imaging (Fluo-4 AM) upon AFM-based indentation (500 nN). Expression of matrix-related and mechanosensitive genes (N = 9) was assessed by qPCR. TA exposure induced a concentration-dependent reorganization of the F-actin cytoskeleton, pronounced at 0.2 mM, accompanied by a significant increase in the elastic modulus (p < 0.001). TA further augmented Ca2+ fluorescence intensity under basal conditions and during mechanical stimulation. Blocking cationic mechanosensitive channels with GsMtx4 (N = 3) markedly reduced the TA-evoked Ca2+ influx (p < 0.0001). Significant reduction in MMP1 was observed on the transcriptional level (N = 9) after TA-treatment (p < 0.05). In summary, TA enhances chondrocyte stiffness through cytoskeletal condensation and amplifies Ca2+-dependent mechanotransduction but reduces MMP1 expression, indicating a dual biomechanical response of chondrocytes to OA under exposure of potent corticosteroid. Full article
(This article belongs to the Special Issue New Insights into Intercellular Communication and Signal Transduction)
Show Figures

Figure 1

20 pages, 4640 KB  
Article
Cooperative Effect of Ammonium Polyphosphate and Talcum for Enhancing Fire-Proofing Performance of Silicone Rubber-Based Insulators via Formation of a HIGH-Strength Barrier Layer
by Dong Zhao, Yihan Jiang, Yong Fang, Tingwei Wang and Yucai Shen
Polymers 2026, 18(2), 283; https://doi.org/10.3390/polym18020283 - 20 Jan 2026
Viewed by 815
Abstract
Enhancing the flame retardancy of polymeric materials by adding only eco-friendly ammonium polyphosphate (APP) while simultaneously maintaining high-temperature resistance has become a challenge. Talcum has been introduced as a cooperative agent into the silicone rubber/APP system to investigate the effect of talcum on [...] Read more.
Enhancing the flame retardancy of polymeric materials by adding only eco-friendly ammonium polyphosphate (APP) while simultaneously maintaining high-temperature resistance has become a challenge. Talcum has been introduced as a cooperative agent into the silicone rubber/APP system to investigate the effect of talcum on flame retardancy, thermal stability, and high-temperature resistance. The machining process induces the orientation of talcum in the system. The ceramifiable silicone rubber blends containing oriented talcum (e.g., sample SA6T4) exhibited superb flame retardancy, including an LOI of 29.4%, a UL-94 rating of V-0, and a peak heat release rate (PHRR) of 250.2 kW·m−2. More importantly, the blends present excellent thermal stability and high-temperature resistance, characterized by outstanding self-supporting properties and dimensional stability. Based on the structural analysis of the blends and their residues, the made of action for the improved flame retardancy may be attributed to the formation of a compact barrier layer. This layer is formed by oriented talcum platelets combined with phosphoric acid, from the thermal decomposition of APP, promoting crosslinking, thereby achieving a good inhibition barrier to inhibit heat feedback from the condensation zone. The excellent thermal stability and high-temperature resistance of the ceramifiable silicone rubber blends may be ascribed to a cooperative effect between APP and talcum at high temperatures, which facilitates the formation of ceramic structures. The novel ceramifiable silicone rubber composite has potential applications as flame-retardant sealing components for rail transit equipment and encapsulation materials for new energy battery modules. Full article
(This article belongs to the Special Issue Challenges and Innovations in Fire Safety Polymeric Materials)
Show Figures

Graphical abstract

14 pages, 1664 KB  
Article
Effect of Moderate Level (2.5%) of Tannic Acid and Tannivin (Quebracho Tannins) on the Time Course of Rumen Fermentation of Total Mixed Ration In Vitro
by Ludmila Křížová, Vladimír Králik, Kateřina Dadáková, Petr Malý, Lucie Ondrová and Tomáš Kašparovský
Ruminants 2026, 6(1), 6; https://doi.org/10.3390/ruminants6010006 - 20 Jan 2026
Viewed by 104
Abstract
Tannins are known for their ability to modify digestion and reduce CH4 emissions in ruminants. Novel forages able to tolerate water deficits often contain low-to-moderate levels of dietary tannins. The aim of the study was to compare the effect of tannic acid [...] Read more.
Tannins are known for their ability to modify digestion and reduce CH4 emissions in ruminants. Novel forages able to tolerate water deficits often contain low-to-moderate levels of dietary tannins. The aim of the study was to compare the effect of tannic acid (hydrolysable tannin, HT) and Tannivin (quebracho, condensed tannins, CTs) added to a total mixed ration at a concentration of 2.5% on rumen fermentation over time using in vitro methods. The substrates were incubated with buffered rumen fluid at 39 °C for 0, 3, 6, 12, 24, and 48 h to study dry matter (DM) degradability, tannin disappearance, utilizable protein (uCP), and rumen fermentation parameters. In parallel, gas production was measured using the ANKOM-RF Gas Production System. Gas composition was determined after 24 and 48 h of incubation. DM degradability was influenced by the incubation time (p < 0.001), reaching approximately 50% after 48 h, with a similar course of degradability for both tannin types. Tannin disappearance was significantly influenced by the type of tannins and the incubation time (both p < 0.001), reaching 50% in HTs and 39% in CTs within the first 6 h of fermentation. Production of individual and total VFA and uCP increased during incubation (p < 0.001) but were not influenced by the tannin type. However, the formation of uCP was relatively stable over time. Ammonia-N production increased during the first 12 h of fermentation with both tannin types and the increase continued with HTs (p < 0.001). Gas and methane production increased during fermentation and the increase was more substantial in HTs (p < 0.001). Our results suggest that at moderate concentrations, tannins mainly affect protein metabolism, with a minor effect on rumen fermentation. Full article
Show Figures

Figure 1

23 pages, 6563 KB  
Article
Sorption-Mediated Carbon Stabilization and Bacterial Assembly Regulated by Biochar Derived from Invasive Solanum rostratum in China
by Lei Song, Peifeng Xu, Xiaorong Zhang and Zongqiang Gong
Soil Syst. 2026, 10(1), 16; https://doi.org/10.3390/soilsystems10010016 - 18 Jan 2026
Viewed by 113
Abstract
The surface chemistry of biochar plays a pivotal role in the adsorption and stabilization of soil organic carbon (SOC); however, sorption-mediated mechanisms remain insufficiently understood for biochars derived from invasive plants. In this study, Solanum rostratum biomass, an aggressive invasive weed in northern [...] Read more.
The surface chemistry of biochar plays a pivotal role in the adsorption and stabilization of soil organic carbon (SOC); however, sorption-mediated mechanisms remain insufficiently understood for biochars derived from invasive plants. In this study, Solanum rostratum biomass, an aggressive invasive weed in northern China, was pyrolyzed at 400–600 °C in 2023 to produce biochars with varying surface functionalities and structural features. FTIR, Raman, XPS, and SEM analyses revealed that increasing pyrolysis temperature led to decreased oxygen-containing functional groups and enhanced aromatic condensation, reflecting a transition from hydrogen bonding to π–π and hydrophobic sorption mechanisms. Soil incubation experiments using sandy loam soil showed that biochar produced at 500 °C significantly increased the stable carbon pool (SCP) to 52.4%, compared to 30.6% in unamended soils. It also reduced cumulative CO2 release from 1.74 mg g−1 to 1.21 mg g−1 soil, indicating improved carbon retention. Bacterial 16S rRNA gene sequencing revealed that biochar amendments significantly altered community composition and increased deterministic assembly, particularly under 500 °C biochar, suggesting a sorption-driven niche filtering effect. These findings demonstrate that S. rostratum-derived biochar, especially at intermediate pyrolysis temperatures, enhances both carbon sequestration and microbial habitat structure. This has direct implications for improving degraded soils in arid farming regions, offering a dual strategy for invasive biomass management and climate-resilient agriculture. Full article
(This article belongs to the Special Issue Adsorption Processes in Soils and Sediments)
Show Figures

Graphical abstract

23 pages, 359 KB  
Article
Effect of Freeze Drying, Hot Air Drying, and Hot Air Drying Preceded by Freezing on Phytochemical Composition, Antioxidant Capacity, and Technological Properties of Mango Peels
by Sara Marçal, Ana A. Vilas-Boas, Débora A. Campos and Manuela Pintado
Foods 2026, 15(2), 333; https://doi.org/10.3390/foods15020333 - 16 Jan 2026
Viewed by 198
Abstract
Mango peels have great potential for upcycling in the food industry. This study addressed important knowledge gaps regarding mango peel drying, namely, the effect of drying on mango peels’ bound phenolics, and the impact of prior freezing on the composition of hot air-dried [...] Read more.
Mango peels have great potential for upcycling in the food industry. This study addressed important knowledge gaps regarding mango peel drying, namely, the effect of drying on mango peels’ bound phenolics, and the impact of prior freezing on the composition of hot air-dried mango peels. Hence, the effect of freeze drying (FD) (0.10 mbar; −63 °C (condenser temperature); 25 °C (shelf temperature); 96 h), hot air drying (HAD) (65 °C; 48 h), and HAD preceded by freezing (FZ + HAD) (−20 °C; 30 days) on mango peels’ composition, antioxidant capacity, and technological properties was evaluated. Drying did not affect fiber content; however, it caused slight modifications in carbohydrate composition of fiber. Regarding antioxidant compounds, FD, HAD, and FZ + HAD reduced vitamin C by 9%, 53%, and 71%, respectively. FD preserved all free phenolics, while HAD and FZ + HAD decreased most of them, with reductions ranging from 20 to 42% and 17 to 71%, respectively. However, FD, HAD, and FZ + HAD reduced 9, 2, and 6 of the 10 bound phenolics identified, respectively, and decreased their antioxidant capacity. Finally, all identified carotenoids were reduced by FZ + HAD, whereas FD and HAD decreased only violaxanthin. Regarding technological properties, FD showed the highest and lowest oil and water absorption capacities. In conclusion, these findings demonstrated that prior freezing exacerbated the loss of antioxidants during HAD. Full article
Show Figures

Graphical abstract

14 pages, 382 KB  
Article
Grape Pomace as a Replacement for Soybean Hulls in Corn Silage-Based Diets for Dairy Cows
by António J. M. Fonseca and Ana R. J. Cabrita
Vet. Sci. 2026, 13(1), 87; https://doi.org/10.3390/vetsci13010087 - 15 Jan 2026
Viewed by 185
Abstract
This study evaluated the effects of replacing soybean hulls with dried grape pomace (DGP) on feed intake, milk production and composition, and rumen N degradability in dairy cows. A 3 × 3 Latin square design was used with three rumen-fistulated Holstein cows, three [...] Read more.
This study evaluated the effects of replacing soybean hulls with dried grape pomace (DGP) on feed intake, milk production and composition, and rumen N degradability in dairy cows. A 3 × 3 Latin square design was used with three rumen-fistulated Holstein cows, three corn silage-based diets containing 0%, 3%, or 6% of DGP, and three 23-day periods. Measurements were taken from days 15 to 21, with in situ incubations of two protein sources during the last 2 days. At trial end, cows continued on experimental diets to determine the degradability of soybean hulls and DGP. Compared to soybean hulls, DGP presented higher fiber content and lower in situ rumen dry matter and N degradability. Condensed tannin disappearance from DGP increased over time, reaching almost 50% after 48 h. Diet did not affect feed intake, milk production, and composition, except for milk urea N and ruminal total short-chain fatty acids concentration, which showed a quadratic response, suggesting both imbalances between fermentable energy and rumen degradable protein and potential effects of DGP bioactive compounds on rumen function. The N degradation rate of rapeseed meal was unaffected, but soybean meal degradability tended to increase with higher DGP inclusion. This was also detected when combining protein sources across diets. Although DGP influenced rumen function, further research integrating omics and detailed microbiota profiling is needed. Overall, despite its low energy content and rumen degradability, DGP comprises a sustainable feed resource for high-producing animals, supporting circular economy approaches and mitigating the environmental impacts of grape pomace disposal. Full article
(This article belongs to the Section Nutritional and Metabolic Diseases in Veterinary Medicine)
Show Figures

Figure 1

19 pages, 4319 KB  
Article
Numerical Simulation of Tritiated Water Transfer by Moist Air in Nuclear Power Station
by Yifan Cheng, Xi Xu, Kefeng Lyu, Yang Li, Kun Hu, Yongfang Xia and Xudan Ma
Processes 2026, 14(2), 286; https://doi.org/10.3390/pr14020286 - 14 Jan 2026
Viewed by 164
Abstract
This study investigates the dispersion and condensation behavior of tritiated water vapor released into the atmosphere using moist air as a carrier, with an emphasis on safety optimization for nuclear power plant effluent discharge. A coupled heat and mass transfer model was developed [...] Read more.
This study investigates the dispersion and condensation behavior of tritiated water vapor released into the atmosphere using moist air as a carrier, with an emphasis on safety optimization for nuclear power plant effluent discharge. A coupled heat and mass transfer model was developed and implemented in CFD simulations to analyze the evolution of temperature and relative humidity during the mixing of exhaust moist air with ambient air. The effects of key atmospheric and operational parameters—including the ambient wind speed, turbulence intensity, ambient temperature, relative humidity, and exhaust velocity—were systematically examined. The results indicate that the temperature difference between the exhaust gas and ambient air is the primary factor governing condensation risk. Low wind speeds and weak turbulence favor near-field humidity accumulation, while higher wind speeds and turbulence intensities enhance mixing and dilution, thereby reducing local humidity peaks but extending the downwind impact range. Increasing exhaust velocity strengthens plume rise and long-range transport due to enhanced momentum and latent heat release, mitigating accumulation near the chimney outlet. Furthermore, high ambient temperatures significantly increase the air’s moisture-holding capacity, allowing higher exhaust humidity without inducing condensation. Full article
(This article belongs to the Section Process Safety and Risk Management)
Show Figures

Figure 1

22 pages, 8822 KB  
Article
Potential Recovery and Recycling of Condensate Water from Atlas Copco ZR315 FF Industrial Air Compressors
by Ali Benmoussa, Zakaria Chalhe, Benaissa Elfahime and Mohammed Radouani
Inventions 2026, 11(1), 10; https://doi.org/10.3390/inventions11010010 - 14 Jan 2026
Viewed by 229
Abstract
This research examines the feasibility of recovering and recycling condensate water, a waste byproduct generated by Atlas Copco ZR315 FF industrial air compressors utilizing oil-free rotary screw technology with integrated dryers. Given the growing severity of global water scarcity, finding alternative water sources [...] Read more.
This research examines the feasibility of recovering and recycling condensate water, a waste byproduct generated by Atlas Copco ZR315 FF industrial air compressors utilizing oil-free rotary screw technology with integrated dryers. Given the growing severity of global water scarcity, finding alternative water sources is essential for sustainable industrial practices. This study specifically evaluates the potential of capturing and treating compressed air condensate as a viable method for water recovery. The investigation analyzes both the quantity and quality of condensate water produced by the ZR315 FF unit. It contrasts this recovery approach with traditional water production methods, such as desalination and atmospheric water generation (AWG) via dehumidification. The findings demonstrate that recovering condensate water from industrial air compressors is a cost-effective and energy-efficient substitute for conventional water production, especially in water-stressed areas like Morocco. The results show a significant opportunity to reduce industrial water usage and provide a sustainable source of process water. This research therefore supports the application of circular economy principles in industrial water management and offers practical solutions for overcoming water scarcity challenges within manufacturing environments. Full article
Show Figures

Figure 1

25 pages, 4142 KB  
Article
Puerarin-Loaded Proniosomal Gel: Formulation, Characterization, In Vitro Antimelanoma Cytotoxic Potential, and In Ovo Irritation Assessment
by Sergio Liga, Andra Tămaș, Raluca Vodă, Gerlinde Rusu, Ioan Bîtcan, Vlad Socoliuc, Raluca Pop, Diana Haj Ali, Iasmina-Alexandra Predescu, Cristina Adriana Dehelean and Francisc Péter
Gels 2026, 12(1), 72; https://doi.org/10.3390/gels12010072 - 13 Jan 2026
Viewed by 254
Abstract
Puerarin is a naturally occurring isoflavone with reported anticancer activity, yet its topical translation is constrained by limited stability and suboptimal dermal delivery. A Puerarin-loaded proniosomal gel was developed as a potential dermal delivery platform, and we performed an initial assessment of its [...] Read more.
Puerarin is a naturally occurring isoflavone with reported anticancer activity, yet its topical translation is constrained by limited stability and suboptimal dermal delivery. A Puerarin-loaded proniosomal gel was developed as a potential dermal delivery platform, and we performed an initial assessment of its antimelanoma activity and safety. The gel was produced by coacervation–phase separation using Span 60, Tween 80, phosphatidylcholine, and cholesterol. Physicochemical characterization included pH, entrapment efficiency, rheology, FTIR, DSC, and vesicle properties (DLS, PDI, ζ-potential). In silico geometry optimization and docking were carried out for melanoma-associated targets (MITF and DNMT3B). Biological effects were investigated in vitro on A375 melanoma cells using MTT, morphological analysis, and nuclear/mitochondrial staining, while irritation potential was evaluated in ovo by HET-CAM. The optimized formulation exhibited a skin-compatible pH and an entrapment efficiency of 62 ± 0.26%. DLS indicated a multimodal population, with a major number-weighted vesicle population in the 100–200 nm range, and a ζ-potential of −34.9 ± 0.14 mV. FTIR and DSC supported component incorporation without evidence of chemical incompatibility. The gel showed non-Newtonian, pseudoplastic, thixotropic flow, which is advantageous for topical use. Docking predicted meaningful affinities of Puerarin toward MITF and DNMT3B. The formulation reduced A375 viability in a dose-dependent manner (to 44.66% at 200 µg/mL) and, at higher concentrations, produced nuclear condensation and disruption of the mitochondrial network. HET-CAM classified the gel as non-irritant. The Puerarin-loaded proniosomal gel represents a promising topical platform with preliminary in vitro antimelanoma cytotoxic potential, warranting additional studies to validate skin delivery, efficacy, and safety. Full article
(This article belongs to the Special Issue Natural Bioactive Compounds and Gels)
Show Figures

Figure 1

16 pages, 591 KB  
Review
Antioxidant and Health-Related Effects of Tannins: From Agri-Food By-Products to Human and Animal Health
by Luca Camarda, Roberta Budriesi, Ivan Corazza, Maria Frosini, Carla Marzetti and Laura Beatrice Mattioli
Antioxidants 2026, 15(1), 104; https://doi.org/10.3390/antiox15010104 - 13 Jan 2026
Viewed by 289
Abstract
Background: Agri-food by-products are increasingly recognized as valuable sources of tannins, whose antioxidant properties represent the primary driver of their biological activity across human and animal health. The strong redox-modulating capacity of condensed and hydrolysable tannins provides a unifying mechanistic explanation for their [...] Read more.
Background: Agri-food by-products are increasingly recognized as valuable sources of tannins, whose antioxidant properties represent the primary driver of their biological activity across human and animal health. The strong redox-modulating capacity of condensed and hydrolysable tannins provides a unifying mechanistic explanation for their effects on inflammation, metabolism, gut integrity and neuroprotection. Methods: This narrative review synthesizes evidence obtained through a structured literature search across major databases, selecting studies that investigated antioxidant mechanisms of tannin-rich matrices from plant- and processing-derived residues. Results: Condensed tannins, particularly proanthocyanidins, consistently display potent antioxidant activity through radical scavenging, metal chelation and activation of endogenous defenses, thereby underpinning their anti-inflammatory, anti-ischemic, neuroprotective and metabolic actions. Hydrolysable tannins similarly exert strong antioxidative effects that support antimicrobial activity, enzyme modulation and protection against neuroinflammation. In animals, the antioxidant capacity of tannins translates into improved oxidative balance, enhanced immune status, reduced tissue damage, better feed efficiency and mitigation of oxidative stress-linked methane emission pathways. Conclusions: Antioxidant activity emerges as the central, cross-species mechanism through which tannins mediate diverse health benefits. Tannin-rich agri-food by-products therefore represent promising sustainable antioxidant resources, although their efficacy remains influenced by tannin class, degree of polymerization and dosage, warranting further mechanistic and translational research. Full article
Show Figures

Figure 1

23 pages, 4481 KB  
Article
PathSelect: Dynamic Token Condensation and Hierarchical Attention for Accelerated T2I Diffusion
by Yan Fu, Gaolin Ye, Ou Ye, Ting Hou and Ruimin Dai
Electronics 2026, 15(2), 342; https://doi.org/10.3390/electronics15020342 - 13 Jan 2026
Viewed by 158
Abstract
Recent advancements in large language models (LLMs) have significantly improved text-to-image (T2I) generation, enabling systems to produce visually compelling and semantically meaningful images. However, preserving fine-grained semantic consistency in generated images, particularly in response to complex and region-specific textual prompts, remains a key [...] Read more.
Recent advancements in large language models (LLMs) have significantly improved text-to-image (T2I) generation, enabling systems to produce visually compelling and semantically meaningful images. However, preserving fine-grained semantic consistency in generated images, particularly in response to complex and region-specific textual prompts, remains a key challenge. In this work, we propose a context-aware hierarchical agent mechanism that integrates a semantic condensation strategy to enhance attention efficiency and maintain critical visual-textual alignment. By dynamically fusing contextual information, the method effectively balances computational efficiency and ensures semantic alignment with textual descriptions. Experimental results demonstrate improved visual coherence and semantic consistency across diverse prompts, validated through quantitative metrics and qualitative analysis. Our contributions include: (i) introducing a novel semantic condensation strategy that enhances attention efficiency while preserving critical feature information; (ii) developing a new hierarchical agent attention mechanism to enhance computation efficiency; (iii) designing an iterative feedback method based on CLIP Score to improve image diversity and overall quality. Full article
(This article belongs to the Section Artificial Intelligence)
Show Figures

Figure 1

22 pages, 4486 KB  
Article
Astaxanthin as a Natural Photoprotective Agent: In Vitro and In Silico Approach to Explore a Multi-Targeted Compound
by Aida Lahmar, Balkis Abdelaziz, Nahla Gouader, Abir Salek, Imen Waer and Leila Chekir Ghedira
Sci. Pharm. 2026, 94(1), 8; https://doi.org/10.3390/scipharm94010008 - 13 Jan 2026
Viewed by 259
Abstract
Ultraviolet B radiation is a major cause of skin aging, cellular senescence, and inflammaging, mediated by the excessive production of reactive oxygen species (ROS) and induction of apoptosis. This study evaluated the photo-protective effects of astaxanthin, one of the strongest natural antioxidants, in [...] Read more.
Ultraviolet B radiation is a major cause of skin aging, cellular senescence, and inflammaging, mediated by the excessive production of reactive oxygen species (ROS) and induction of apoptosis. This study evaluated the photo-protective effects of astaxanthin, one of the strongest natural antioxidants, in UVB-treated keratinocytes. The antioxidant capacity of astaxanthin was evaluated using ABTS, DPPH, and NBT/riboflavin/SOD assays. HaCaT cells were exposed to 30 mJ/cm2 of UVB radiation. Photoprotective effects and accumulated ROS were evaluated in UVB-irradiated HaCaT cells by MTT and DCFH-DA assays. Nitric oxide levels were quantified using the Griess reagent. Apoptosis was assessed by dual staining using acridine orange/ethidium bromide, lysosomal integrity by acridine orange uptake, and cell migration by scratch assay. Cell adhesion was assessed on ECM-coated Nunc plates. Finally, we formulated a 0.5% astaxanthin-enriched cream. Astaxanthin mitigated UVB-induced damage by reducing intracellular ROS levels by 3.7-fold, decreasing nitric oxide production to 29.8 ± 7.7% at the highest concentration, and maintaining lysosomal integrity. The carotenoid significantly enhanced cell viability, increasing it from 60.64 ± 8.3% in UV-treated cells to 102.1 ± 3.22% at 40 µM. Moreover, treated cells showed a significant reduction (p < 0.001) in the apoptotic rate (37.7 ± 3.1 vs. 87.7 ± 3.8 in UVB-irradiated cells, as evidenced by reduced chromatin condensation and nuclear fragmentation. Astaxanthin also enhanced tissue repair, as evidenced by increased cell migration and adhesion to several extracellular matrix (ECM) proteins (poly-L-lysine, laminin, fibrinogen, vitronectin and collagen I). In silico molecular docking predicted strong binding affinities between astaxanthin and key cellular targets, including JAK2 (−9.9 kcal/mol, highest affinity), STAT3, FAK, COX-2, NF-k-B, MMP2, and MMP9. The formulated cream demonstrated an in vitro SPF of 7.2 ± 2.5. Astaxanthin acts as a multifunctional photoprotective compound, providing a strong rationale for its incorporation into cosmetic and dermatological formulations, as further supported by the successful formulation and in vitro SPF estimation of an astaxanthin-enriched cream. Full article
Show Figures

Figure 1

Back to TopTop