Sign in to use this feature.

Years

Between: -

Subjects

remove_circle_outline
remove_circle_outline
remove_circle_outline
remove_circle_outline
remove_circle_outline
remove_circle_outline
remove_circle_outline
remove_circle_outline
remove_circle_outline

Journals

remove_circle_outline
remove_circle_outline
remove_circle_outline
remove_circle_outline
remove_circle_outline
remove_circle_outline
remove_circle_outline
remove_circle_outline

Article Types

Countries / Regions

remove_circle_outline
remove_circle_outline
remove_circle_outline
remove_circle_outline

Search Results (617)

Search Parameters:
Keywords = concentration flotation

Order results
Result details
Results per page
Select all
Export citation of selected articles as:
20 pages, 4403 KB  
Article
Effects of Metal Ions on the Flotation of Fluorite and Barite: An Experimental and Mechanistic Investigation
by Ying Wei, Yuqiong Li, Yingchao Liu, Yuxin Guo, Caiyun Li and Wanglin Yang
Separations 2026, 13(3), 85; https://doi.org/10.3390/separations13030085 - 3 Mar 2026
Abstract
Fluorite (CaF2) and barite (BaSO4) commonly occur together in the same deposits. Due to their similar surface chemical properties, their flotation separation is often challenging. In flotation pulps, dissolved metal ions can further interfere with separation and exert a [...] Read more.
Fluorite (CaF2) and barite (BaSO4) commonly occur together in the same deposits. Due to their similar surface chemical properties, their flotation separation is often challenging. In flotation pulps, dissolved metal ions can further interfere with separation and exert a pronounced influence on the flotation behavior of these minerals. This study investigated the effects of metal ions frequently encountered in industrial pulps (Fe3+, Al3+, Mg2+, Ca2+, and Zn2+) on the floatability of fluorite and barite in a sodium oleate (NaOL) collector system. The aims were to clarify how metal ions affect flotation behavior and to evaluate the feasibility of enhancing fluorite–barite separation via metal-ion regulation. Flotation results showed that, in the NaOL system, the largest floatability difference between fluorite and barite occurred at pH 10. Al3+ exhibited the strongest depression on barite while only weakly affecting fluorite flotation. Fe3+ and Mg2+ caused slight depression of barite, whereas Ca2+ and high concentrations of Zn2+ (>20 mg/L) promoted barite flotation. Overall, these metal ions had little influence on fluorite flotation. Adsorption measurements indicated that Al3+ reduced NaOL adsorption by more than 40% and decreased the contact angle from 35.6° to 23.1°, resulting in a sharp loss of surface hydrophobicity. ICP adsorption tests revealed that Al3+ showed the highest uptake on barite surfaces. Density functional theory (DFT) calculations further confirmed that surface SO42− groups on barite form strong chemisorption with hydrolyzed Al species (adsorption energy: −436.19 kJ/mol), whereas only weak physisorption occurs on hydroxylated fluorite surfaces (adsorption energy: −43.73 kJ/mol). This study provides insights into the flotation separation of non-metallic minerals dominated by polar ionic bonding and offers practical guidance for efficient fluorite–barite separation under complex ionic environments. Full article
Show Figures

Figure 1

20 pages, 9486 KB  
Review
A Review of Micro-Nanobubbles Applications in Fine-Grained Mineral Flotation
by Hefu Li, Youfeng Lu, Hui Li and Wei Xiao
Minerals 2026, 16(3), 271; https://doi.org/10.3390/min16030271 - 28 Feb 2026
Viewed by 108
Abstract
Micro-nanobubbles have emerged as a transformative technology in mineral flotation, offering superior performance in the recovery of fine-grained minerals. Conventional flotation processes often struggle with low recovery rates due to inefficient particle–bubble interactions and the formation of slimes, which increase pulp viscosity and [...] Read more.
Micro-nanobubbles have emerged as a transformative technology in mineral flotation, offering superior performance in the recovery of fine-grained minerals. Conventional flotation processes often struggle with low recovery rates due to inefficient particle–bubble interactions and the formation of slimes, which increase pulp viscosity and reduce selectivity. Micro-nanobubbles, characterized by their smaller size, larger specific surface area, and high stability, overcome these limitations by enhancing collision efficiency, promoting particle aggregation through the “bubble bridge” effect, and improving flotation recovery rates and concentrate quality. This review systematically examines the generation mechanisms of micro-nanobubbles, critically appraises their laboratory and industrial applications through specific case studies, and elucidates their fundamental roles in enhancing fine-grained mineral recovery by increasing collision-attachment efficiency and promoting hydrophobic aggregation. Additionally, the study highlights real-world application cases and discusses future directions for optimizing micro-nanobubbles flotation technology through equipment improvements, process integration, and synergies with emerging techniques. The findings underscore the potential of micro-nanobubbles to revolutionize mineral processing by increasing recovery efficiency, reducing reagent usage, and enhancing sustainability. Full article
(This article belongs to the Special Issue Advances in Fine Particles and Bubbles Flotation, 2nd Edition)
Show Figures

Graphical abstract

21 pages, 2814 KB  
Article
Integrating Coagulation and Flotation via Hydrodynamic Cavitation: The Key Role of Venturi Divergent Angle for Humic Substance Removal
by Fausto de Souza Pagan, Marcos Vinícius Mateus, Thiago Vinicius Ribeiro Soeira, Mário Sérgio da Luz, Deusmaque Carneiro Ferreira, Rodrigo Moruzzi, André Luiz Andrade Simões and Julio Cesar de Souza Inácio Gonçalves
Clean Technol. 2026, 8(2), 27; https://doi.org/10.3390/cleantechnol8020027 - 26 Feb 2026
Viewed by 254
Abstract
Humic substances (HSs) pose a significant challenge to safe drinking-water production due to their ubiquity, limited removal by conventional methods, and their role in forming toxic disinfection by-products, reinforcing the need for more efficient, energy-favorable, and scalable treatment technologies. This study developed and [...] Read more.
Humic substances (HSs) pose a significant challenge to safe drinking-water production due to their ubiquity, limited removal by conventional methods, and their role in forming toxic disinfection by-products, reinforcing the need for more efficient, energy-favorable, and scalable treatment technologies. This study developed and evaluated a compact hydrodynamic cavitation (HC) system that simultaneously induces coagulation and generates microbubbles for flotation-based HS removal. For the first time, HC is explored as a multifunctional unit capable of integrating rapid mixing, coagulant destabilization, and flotation within a single device. Optimal coagulation conditions were established at pH 5.0 and 9.5 mg L−1 of ferric chloride. Process optimization using a Rotated Central Composite Design demonstrated that inlet pressure, flotation time, and initial HS concentration were the dominant operational factors, enabling the HC system to achieve a maximum removal efficiency of 81.9%. Five Venturi geometries with divergent angles of 4°, 8°, 11°, 14°, and 90° were investigated, with the 8° Venturi exhibiting superior performance due to stable microbubble formation and effective coagulant dispersion, as confirmed by CFD analyses. Comparative tests with a conventional Flotest unit showed that achieving similar efficiencies required at least 30% saturated water. In contrast, the HC system delivered equivalent removal in continuous flow without external air saturation. These findings demonstrate the potential of HC as an integrated coagulation–flotation core and highlight its promise as a compact, energy-efficient, and scalable technology for natural organic matter removal in water treatment. Full article
Show Figures

Figure 1

27 pages, 1784 KB  
Review
From Waste to Resource: Critical Mineral Recovery and Environmental Impact Mitigation in Copper Smelting Slag
by Aleksandar N. Nikoloski, Pritam Singh and Tina Chanda Phiri
Minerals 2026, 16(2), 206; https://doi.org/10.3390/min16020206 - 17 Feb 2026
Viewed by 287
Abstract
Copper and cobalt are critically important metals for the transition to renewable energy and various aspects of modern life. Their production from primary sources, ores, necessitates metallurgical separation from the unwanted host materials, resulting in the generation of a huge amount of waste. [...] Read more.
Copper and cobalt are critically important metals for the transition to renewable energy and various aspects of modern life. Their production from primary sources, ores, necessitates metallurgical separation from the unwanted host materials, resulting in the generation of a huge amount of waste. Copper smelting slag is one of these metallurgical wastes, with 39 million tonnes of slag generated and discarded globally each year. These massive amounts of slag occupy a considerable and growing land footprint, often close to residential areas, and present a hazard that potentially releases contaminants into the environment. On the other hand, they also represent a material that often contains a significant residual amount of valuable copper and cobalt. To better understand and address the challenge of reducing the adverse impacts of the waste, as well as the possible commercial opportunity the contained critical metals present, this study reviews global smelting slag production over the last 25 years, its composition, and technical reprocessing options. A summary of the chemical and mineralogical characterization of the copper slag from diverse research is thus provided, as well as a comprehensive overview of the processing strategies for metal recovery from copper slag, such as flotation, pyrometallurgy, and hydrometallurgy. The study demonstrates that a huge amount of smelting slag has been produced, with great variation and complexity, which represents a major potential resource for cobalt and copper metals. The chemical and mineralogical composition of smelting slag varies from location to location, depending on the properties of the feed concentrate, type of fluxes, furnace type, and cooling rates employed during and after the smelting processes. The overview of the production trends and reprocessing techniques shows that while some notable effective options exist or are emerging, further research is needed into the reprocessing of smelting slag waste in order to create economic value, improve energy efficiency in metal production, increase critical metal supply, and reduce negative environmental impacts. Full article
Show Figures

Figure 1

23 pages, 4268 KB  
Article
Enhanced Rougher Recovery of Ultrafine Molybdenum Tailings Using a Novel Pilot-Scale Turbulent Micro-Vortex Mineralizer
by Yande Chao, Zhiyang Li, Juntao Chen, Hao Xue, Jianguo Yang, Bin Lin, Bolong Zhang, Haijun Zhang and Hainan Wang
Minerals 2026, 16(2), 201; https://doi.org/10.3390/min16020201 - 14 Feb 2026
Viewed by 264
Abstract
Constrained by the low grade and poor floatability of the run-of-mine ore, the beneficiation of porphyry-type copper–molybdenum sulfide ores generates large quantities of molybdenum tailings, leading to significant environmental risks and resource losses and necessitating urgent recovery and reutilization. In this study, a [...] Read more.
Constrained by the low grade and poor floatability of the run-of-mine ore, the beneficiation of porphyry-type copper–molybdenum sulfide ores generates large quantities of molybdenum tailings, leading to significant environmental risks and resource losses and necessitating urgent recovery and reutilization. In this study, a representative sample of molybdenum tailings with a Mo grade of 0.354% was investigated to analyze its process mineralogy. The results show that molybdenite predominantly exists as fine, flaky particles intimately intergrown with quartz, pyrite, and aluminosilicate minerals, exhibiting an extremely low degree of liberation and an overall ultrafine particle size. Laboratory flotation tests show that the flotation kinetics conform to a first-order model; however, a considerable amount of molybdenum remains in the tailings, indicating that the mineralization process needs to be intensified. Through structural optimization and confined-space design, a vortex-based mineralization reactor was developed. Computational fluid dynamics simulations demonstrate that the mineralizer can generate flow fields with high turbulence intensity and dissipation rates and can induce high-energy, small-scale micro-vortices. On this basis, a semi-industrial rougher flotation system was established by coupling the developed mineralizer with a flotation column. Under optimized operating conditions, namely a feed pressure of 0.06 MPa and an impeller frequency of 20 Hz, single-stage treatment of the tailings produced molybdenum concentrates with a grade of 1.90% and a recovery of 81.29%, while the Mo grade of the tailings was reduced to 0.08%. The results are markedly superior to those obtained using a conventional laboratory flotation cell, demonstrating a substantial enhancement in mineralization efficiency and molybdenum recovery. The proposed approach, therefore, provides a practical reference for the flotation recovery of molybdenum tailings as well as other micro-fine, low-grade metal tailings. Full article
(This article belongs to the Special Issue Kinetic Characterization and Its Applications in Mineral Processing)
Show Figures

Figure 1

11 pages, 2162 KB  
Article
Assessment of a Novel Switchable Frother, TransfoamerTM, to Improve Flotation Performance at Caserones Concentrator
by Nicolas Miranda, Freddy Alcorta, Ricardo Rubio, Juan Pablo Vergara-Meruane and Miguel Maldonado Saavedra
Minerals 2026, 16(2), 200; https://doi.org/10.3390/min16020200 - 14 Feb 2026
Viewed by 211
Abstract
Frother chemistry strongly influences gas dispersion, froth stability, water recovery, and selectivity in flotation circuits; however, conventional frothers may exhibit excessive persistence and partitioning under alkaline conditions, impairing downstream cleaning performance. This study evaluates a novel switchable frother chemistry (TransfoamerTM) designed [...] Read more.
Frother chemistry strongly influences gas dispersion, froth stability, water recovery, and selectivity in flotation circuits; however, conventional frothers may exhibit excessive persistence and partitioning under alkaline conditions, impairing downstream cleaning performance. This study evaluates a novel switchable frother chemistry (TransfoamerTM) designed to achieve the benefits of strong frothing in the rougher stage while reducing the selectivity losses associated with high frother concentrations in the cleaner stages. Laboratory column tests, batch flotation experiments, and an industrial evaluation at the Caserones concentrator were conducted to characterize frother behavior in terms of gas holdup, foam height, water carrying rate, and persistence. The results showed that the TransfoamerTM behaved as a strong frother under mildly alkaline conditions, providing gas dispersion comparable to conventional strong frothers. As pH increased, a distinct switching behavior was observed, characterized by reduced gas holdup, foam height, water recovery, and persistence, in contrast to traditional alcohol- and polyglycol-type frothers. Batch flotation tests and plant trials confirmed that combining MIBC with TransformerTM T-100 improved rougher copper recovery without compromising circuit selectivity. Full article
Show Figures

Figure 1

16 pages, 2809 KB  
Article
Optimization of Operating Variables of Molybdenite Column Flotation Using Factorial Design and Statistical Techniques
by Oyunbileg Purev and Chul-Hyun Park
Minerals 2026, 16(2), 192; https://doi.org/10.3390/min16020192 - 11 Feb 2026
Viewed by 237
Abstract
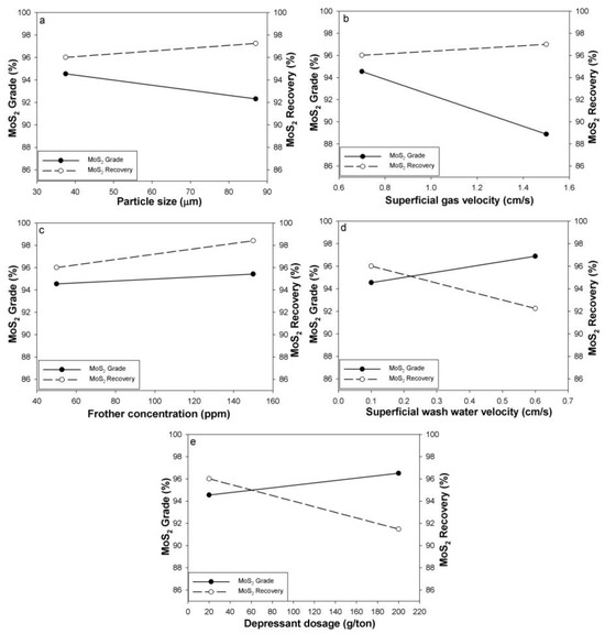
In this study, column flotation was used to recover high-grade molybdenite (MoS2) concentrate. Factorial design and statistical analysis were used to evaluate the relationships between the main variables affecting separation efficiency. The main variables were particle size (A), superficial gas velocity [...] Read more.
In this study, column flotation was used to recover high-grade molybdenite (MoS2) concentrate. Factorial design and statistical analysis were used to evaluate the relationships between the main variables affecting separation efficiency. The main variables were particle size (A), superficial gas velocity (E), depressant dosage (B), superficial wash water velocity (C), and frother concentration (D). MoS2 grades and recovery of 96.4% and 95.7%, respectively, were obtained under the optimized conditions. ANOVA results indicated that the primary variables affecting the MoS2 grade were in the following order: E > A > B > C. The interaction terms of AE and CE were identified as critical factors. The main variables affecting the MoS2 recovery were in the following order: C > B > D > E > A. The interactions of BC, BD, and CD were found to be significant. Furthermore, empirical model equations were derived to predict the grade (G) and recovery (R) based on column flotation variables. The optimal conditions were identified as A: 37.5 µm, B: 200 g/ton, C: 0.1 cm/s, D: 150 ppm, and E: 0.7 cm/s. Full article
(This article belongs to the Section Mineral Processing and Extractive Metallurgy)
Show Figures

Figure 1

17 pages, 2407 KB  
Article
Oil- and Fuel-Resistant Rubber for Pressure Hoses Containing Carbon-Based Technological Waste as a Filler
by Abdirakym Nakyp, Elena Cherezova, Yulia Karaseva, Kanat Beknazarov, Rustam Tokpayev, Svetoslav Volfson and Mikhail Nauryzbayev
Polymers 2026, 18(3), 330; https://doi.org/10.3390/polym18030330 - 26 Jan 2026
Cited by 1 | Viewed by 350
Abstract
Carbon-enriched concentrates based on shungite ore from rare-metal mining waste were obtained, and their effect on the properties of oil- and fuel-resistant carbon-black-filled rubber used for the production of pressure hoses was investigated. The shungite concentrates were produced by flotation followed by acid [...] Read more.
Carbon-enriched concentrates based on shungite ore from rare-metal mining waste were obtained, and their effect on the properties of oil- and fuel-resistant carbon-black-filled rubber used for the production of pressure hoses was investigated. The shungite concentrates were produced by flotation followed by acid activation. A blend of nitrile butadiene rubber and butadiene–α-methylstyrene rubber was used as the elastomeric base. Carbon black was partially replaced with shungite fillers (5–15 phr). The presence of shungite was found to prolong both the scorch time and the optimum cure time of the rubber compounds, likely due to oxide impurities that interfere with the vulcanization activation process. Replacing carbon black with shungite ore and its flotation concentrate in the rubber formulations resulted in a decrease in Mooney viscosity compared to the samples without shungite fillers. Acid-activated shungite concentrate at contents above 5 phr increases the viscosity of the rubber compound. It was found that acid-activated shungite concentrate provides high tensile strength and excellent thermo-oxidative stability of the rubber, whereas the use of shungite ore above 5 phr reduces the tensile strength and causes significant changes in tensile properties upon thermo-oxidation. When exposed in oil, rubbers containing shungite fillers retain their mechanical properties, with the best resistance in hydrocarbon media observed for the rubber filled with acid-activated shungite concentrate. Full article
(This article belongs to the Special Issue Advances in Functional Rubber and Elastomer Composites, 3rd Edition)
Show Figures

Graphical abstract

18 pages, 2811 KB  
Article
Study on Occurrence States of Low-Grade Cu-Zn in Iron Tailings and Changes in Production Flowsheet
by Zhenhong Liao, Wenhao Jia, Junkai Luo, Xiang Wang and Wen Chen
Minerals 2026, 16(2), 131; https://doi.org/10.3390/min16020131 - 26 Jan 2026
Viewed by 230
Abstract
Copper (Cu) and zinc (Zn) are critical for global high-tech industries and national economic security. With high-grade mineral depletion, recycling valuable metals from iron ore tailings has become a sustainable solution. A Peruvian mining company’s iron ore tailing reprocessing faces a severe challenge: [...] Read more.
Copper (Cu) and zinc (Zn) are critical for global high-tech industries and national economic security. With high-grade mineral depletion, recycling valuable metals from iron ore tailings has become a sustainable solution. A Peruvian mining company’s iron ore tailing reprocessing faces a severe challenge: surging lead (Pb) content due to increased excavation depth has rendered the original Cu-Zn bulk flotation flowsheet ineffective, causing excessive impurities in concentrates. This study first characterized the occurrence states of Cu, Pb, and Zn via multi-analytical techniques. A novel Cu-Pb-Zn iso-flotation process with step-by-step depression, coupled with optimized reagents, was proposed. It abandons initial CuSO4 activation to reduce separation difficulty and uses targeted depressants for efficient impurity removal. Closed-circuit tests yielded a Cu concentrate (26.57% grade, 56.08% recovery) with Pb/Zn contents reduced to 2.97%/9.80%, and a Zn concentrate (44.95% grade, 75.56% recovery) with Cu/Pb controlled at 1.15%/8.31%. Experimental results demonstrate that this new flowsheet effectively mitigates the impact of high Pb content, restoring production efficiencies and offering a valuable precedent for industrial process modification. Full article
(This article belongs to the Section Mineral Processing and Extractive Metallurgy)
Show Figures

Figure 1

3 pages, 142 KB  
Editorial
Surface Chemistry and Reagents in Flotation
by Shiva Mohammadi-Jam
Minerals 2026, 16(2), 128; https://doi.org/10.3390/min16020128 - 25 Jan 2026
Viewed by 262
Abstract
For over a century, froth flotation has been a cornerstone of the global mining industry, responsible for concentrating base-metal sulfide ores and underpinning the production of copper, zinc, lead, nickel, and associated metals worldwide [...] Full article
(This article belongs to the Special Issue Surface Chemistry and Reagents in Flotation)
16 pages, 6513 KB  
Article
Comparative Analysis of Industrial Fused Magnesia from Natural and Flotation-Processed Magnesite: Associations Among CaO/SiO2 Ratio, Silicate Phase Formation, and Microcracking
by Chunyan Wang, Jian Luan, Zhitao Yang, Qigang Ma, Gang Wang and Ximin Zang
Materials 2026, 19(3), 463; https://doi.org/10.3390/ma19030463 - 23 Jan 2026
Viewed by 285
Abstract
In view of the depletion of high-grade magnesite resources in China, this study presents a comparative analysis of two industrial fused magnesia products produced via a flotation–fusion route. A low-grade magnesite (DSQLM-3, MgO 41.48 wt.%) was upgraded by reverse flotation to a concentrate [...] Read more.
In view of the depletion of high-grade magnesite resources in China, this study presents a comparative analysis of two industrial fused magnesia products produced via a flotation–fusion route. A low-grade magnesite (DSQLM-3, MgO 41.48 wt.%) was upgraded by reverse flotation to a concentrate (FDSQLM-3, MgO 47.55 wt.%) with >97% SiO2 removal. Two fused magnesia samples (FM-1 from natural high-grade ore DSQLM-1; FFM-3 from concentrate FDSQLM-3) were produced under identical arc-furnace melting (2800 °C, 4 h), followed by natural cooling. Although FFM-3 showed higher MgO (97.61 vs. 97.25 wt.%), its bulk density was comparable to FM-1 (3.45 vs. 3.46 g/cm3). XRD/Rietveld refinement and SEM-EDS indicated that CMS dominated the Ca–silicate assemblage in FM-1, whereas β/γ-C2S was observed in FFM-3, coinciding with a higher CaO/SiO2 (C/S) ratio (2.85 vs. 0.68). Image analysis further showed higher grain boundary microcrack metrics in FFM-3. These observations are consistent with reports in the literature stating that the β → γ transformation of C2S during cooling involves ~12% volume expansion that can contribute to cracking; however, cooling history and composition were not independently controlled in this industrial comparison, so the relationships are interpreted as data-supported associations rather than isolated causality. The results suggest that beneficiation strategies may benefit from managing residual oxide balance (especially C/S ratio) in addition to reducing total impurities. Mechanical and thermomechanical properties were not measured and should be evaluated in future work. Full article
(This article belongs to the Section Advanced and Functional Ceramics and Glasses)
Show Figures

Graphical abstract

21 pages, 4110 KB  
Article
Sustainable Lithium Recovery from Biotite Waste of Nepheline Syenite via Magnetic Separation and Flotation with MLA-Based Mineralogical Characterization
by Zeynep Üçerler-Çamur, Ozgul Keles and Murat Olgaç Kangal
Minerals 2026, 16(1), 95; https://doi.org/10.3390/min16010095 - 19 Jan 2026
Viewed by 380
Abstract
This study investigated lithium beneficiation from nepheline syenite ore containing 242.57 ppm Li, identifying biotite as the primary lithium-bearing mineral. A high-intensity dry magnetic separation produced a pre-concentrate assaying at approximately 850–1000 ppm Li, and flotation tests were conducted on both the run-of-mine [...] Read more.
This study investigated lithium beneficiation from nepheline syenite ore containing 242.57 ppm Li, identifying biotite as the primary lithium-bearing mineral. A high-intensity dry magnetic separation produced a pre-concentrate assaying at approximately 850–1000 ppm Li, and flotation tests were conducted on both the run-of-mine ore and this magnetic product. Flotation performance was systematically evaluated using two top sizes (−500 and −300 µm), six size fractions (−500 + 75, −500 + 53, −500 + 38, −300 + 75, −300 + 53, −300 + 38 µm), four pH values (2.5, 4.0, 6.5, 9.5), and three collectors (DAHC, Derna 7, and Der A4). Among the reagents, Der A4 yielded the most promising results. Optimization using sodium silicate as a depressant demonstrated that, at 20 g/t Der A4, 500 g/t Na2SiO3, and pH 4.0, the −300 + 75 µm fraction of the run-of-mine ore reached approximately 5300 ppm Li. Applying the same parameters to the magnetic pre-concentrate resulted in a 6326.46 ppm Li concentrate with roughly 80% of flotation recovery. Mineralogical characterization using MLA, XRD, modal mineralogy, and SEM-EDS confirmed that the optimized product consisted predominantly of biotite, accompanied by K-feldspar, nepheline, and albite. Liberation results showed high liberation levels and the free surface, supporting the efficiency of combining magnetic separation with flotation for upgrading nepheline syenite as a potential lithium resource. Full article
(This article belongs to the Section Mineral Processing and Extractive Metallurgy)
Show Figures

Figure 1

15 pages, 3299 KB  
Article
Oil-Coated Bubble Flotation for Separating Hydrophilic Particles from Water
by Songcheng Wang, Xue Zong, Xiaotang Du, Sven H. Behrens and J. Carson Meredith
Recycling 2026, 11(1), 12; https://doi.org/10.3390/recycling11010012 - 9 Jan 2026
Viewed by 438
Abstract
Froth flotation is a widely used method for the selective separation of particulates from aqueous dispersions or slurries. This technology is based on the attachment of sufficiently hydrophobic particles to the air–water interface of gas bubbles. However, when the target particles are strongly [...] Read more.
Froth flotation is a widely used method for the selective separation of particulates from aqueous dispersions or slurries. This technology is based on the attachment of sufficiently hydrophobic particles to the air–water interface of gas bubbles. However, when the target particles are strongly hydrophilic, the requirement of hydrophobicity limits the effectiveness of conventional froth flotation. A prominent example is the deinking step in paper recycling, where modern hydrophilic inkjet inks are difficult to remove by flotation. In this study, we evaluated oil-coated bubble flotation as an alternative to conventional air flotation for removing inkjet ink from pulped newsprint. We examined the effects of oil type, salt type and concentration, and pH on deinking efficiency. Compared with traditional air flotation, oil-coated bubble flotation produced substantial improvements in standard performance metrics, including ISO brightness, effective residual ink concentration (ERIC), and the fiber retention of recycled paper pads. Full article
(This article belongs to the Topic Converting and Recycling of Waste Materials)
Show Figures

Graphical abstract

13 pages, 3936 KB  
Article
Comparative Analysis of Selective Mining and XRT Sensor-Based Sorting for Copper Ore Pre-Concentration: Preliminary Studies Assessing Method Potential
by Jakub Progorowicz, Jakub Kurty, Michal Marcin, Martin Sisol and Anna Romańska
Sensors 2026, 26(1), 261; https://doi.org/10.3390/s26010261 - 1 Jan 2026
Viewed by 456
Abstract
This study evaluates sensor-based pre-concentration using XRT technology as an alternative to selective mining for low-grade European copper ores (0.48% Cu), addressing the need for sustainable beneficiation amid declining ore grades and environmental pressures in green mining initiatives. Copper ore samples from Złote [...] Read more.
This study evaluates sensor-based pre-concentration using XRT technology as an alternative to selective mining for low-grade European copper ores (0.48% Cu), addressing the need for sustainable beneficiation amid declining ore grades and environmental pressures in green mining initiatives. Copper ore samples from Złote Hory mine (Czech Republic) were selectively extracted, mixed (1:1:1 ore 8–16 mm/ore 16–32 mm/waste rock 8–32 mm), and analyzed on Comex’s LSX-MAX laboratory sorter with dual-energy XRT sensors, calibrated for maximum product recovery via density-based classification into High-Density (product) and Low-Density (waste) fractions. Sorting achieved a 1:1 product-to-waste mass split from feed (Cu = 0.5%, 100% mass), yielding pre-concentrate at 0.91% Cu (52.08% mass yield, 95.67% recovery) and waste at 0.04% Cu (47.92% mass, 4.33% loss)—a 1.82x grade upgrade superior to mixed feed and 1.42x superior to selective mining (0.64% Cu at 66.21% yield). Combined approaches promise further optimization; future work will assess downstream grinding/flotation impacts, industrial scaling, and economic/environmental benefits. Full article
(This article belongs to the Collection 3D Imaging and Sensing System)
Show Figures

Figure 1

18 pages, 2694 KB  
Article
Physicochemical Characteristics of Copper Smelting Slags from Kazakhstan and Their Potential for Secondary Resource Recovery
by Damir Kurmangaliyev and Saule Abdulina
Processes 2026, 14(1), 113; https://doi.org/10.3390/pr14010113 - 29 Dec 2025
Viewed by 456
Abstract
The depletion of the mineral resource base is inevitable. Therefore, it is necessary to adapt and expand the resource base by incorporating non-traditional copper sources in production. Slag samples from the Balkhash Copper Smelting Plant (Kazakhstan) were analyzed for phase composition, microstructure, and [...] Read more.
The depletion of the mineral resource base is inevitable. Therefore, it is necessary to adapt and expand the resource base by incorporating non-traditional copper sources in production. Slag samples from the Balkhash Copper Smelting Plant (Kazakhstan) were analyzed for phase composition, microstructure, and metal distribution using X-ray diffraction (XRD), scanning electron microscopy (SEM), and chemical and granulometric methods. The slags are characterized by a fayalite structure with a high content of FeO (35–45%) and SiO2 (25–35%). Sample composition was determined as 0.7–0.8% Cu, 0.39–0.43% Pb, 2.53% Zn, 0.075 g/t Au, and 2.6 g/t Ag. Mineralogical and granulometric analysis revealed a uniform distribution of iron and slag-forming components (SiO2, Al2O3, etc.) across the fractions. In contrast, non-ferrous and precious metals concentrated in the fine classes. Laboratory tests confirmed that the fine dissemination of valuable components led to low efficiency in magnetic and gravity separation, necessitating specific preliminary slag preparation to improve recovery. Flotation tests showed improved recovery, yielding copper concentrates with 4.57% copper content when the material was crushed to 80–90% of the −0.074 mm class. The research creates a basis for the development of environmentally safe and resource-saving technologies and provides initial data for future recovery technologies. Full article
(This article belongs to the Section Chemical Processes and Systems)
Show Figures

Figure 1

Back to TopTop