Sign in to use this feature.

Years

Between: -

Subjects

remove_circle_outline
remove_circle_outline
remove_circle_outline
remove_circle_outline
remove_circle_outline
remove_circle_outline
remove_circle_outline
remove_circle_outline
remove_circle_outline

Journals

remove_circle_outline
remove_circle_outline
remove_circle_outline
remove_circle_outline
remove_circle_outline
remove_circle_outline
remove_circle_outline
remove_circle_outline
remove_circle_outline
remove_circle_outline

Article Types

Countries / Regions

remove_circle_outline
remove_circle_outline
remove_circle_outline
remove_circle_outline
remove_circle_outline
remove_circle_outline

Search Results (606)

Search Parameters:
Keywords = complex projective space

Order results
Result details
Results per page
Select all
Export citation of selected articles as:
22 pages, 2688 KB  
Article
SOP: Selective Orthogonal Projection for Composed Image Retrieval
by Su Cheng and Guoyang Liu
Sensors 2026, 26(5), 1621; https://doi.org/10.3390/s26051621 - 4 Mar 2026
Abstract
The proliferation of intelligent sensor networks in urban surveillance and remote sensing has triggered the explosive growth of unstructured visual sensor data. Accurately retrieving targets from these massive streams based on complex cross-modal user intents remains a critical bottleneck for efficient intelligent perception. [...] Read more.
The proliferation of intelligent sensor networks in urban surveillance and remote sensing has triggered the explosive growth of unstructured visual sensor data. Accurately retrieving targets from these massive streams based on complex cross-modal user intents remains a critical bottleneck for efficient intelligent perception. Composed Image Retrieval (CIR) addresses this by enabling retrieval via a multi-modal query that combines a reference image with semantic control signals. However, existing methods often struggle with abstract instructions in real-world scenarios. Consequently, models often suffer from feature distribution shifts due to focus ambiguity, as well as semantic erosion caused by highly entangled visual and textual features. To address these challenges, we propose a geometry-based Selective Orthogonal Projection Network (SOP). First, the Selective Focus Recovery module quantifies instruction uncertainty via information entropy and calibrates shifted query features to the true target distribution using structural consistency regularization. Second, to ensure data fidelity, we introduce Orthogonal Subspace Projectionand Geometric Composition Fidelity. These mechanisms employ Gram–Schmidt orthogonalization to decouple features into a constant visual base and an orthogonal modification increment, restricting semantic modifications to the null space. Extensive experiments on FashionIQ, Shoes, and CIRR datasets demonstrate that SOP significantly outperforms SOTA methods, offering a novel solution for efficient large-scale sensor data retrieval and analysis. Full article
(This article belongs to the Section Intelligent Sensors)
Show Figures

Figure 1

16 pages, 2080 KB  
Article
Lidar–Vision Depth Fusion for Robust Loop Closure Detection in SLAM Systems
by Bingzhuo Liu, Panlong Wu, Rongting Chen, Yidan Zheng and Mengyu Li
Machines 2026, 14(3), 282; https://doi.org/10.3390/machines14030282 - 3 Mar 2026
Viewed by 57
Abstract
Loop Closure Detection (LCD) is a key component of Simultaneous Localization and Mapping (SLAM) systems, responsible for correcting odometric drift and maintaining global consistency in localization and mapping. However, single-modality LCD methods suffer from inherent limitations: LiDAR-based approaches are affected by point cloud [...] Read more.
Loop Closure Detection (LCD) is a key component of Simultaneous Localization and Mapping (SLAM) systems, responsible for correcting odometric drift and maintaining global consistency in localization and mapping. However, single-modality LCD methods suffer from inherent limitations: LiDAR-based approaches are affected by point cloud sparsity, limiting feature representation in unstructured environments, while vision-based methods are sensitive to illumination and weather variations, reducing robustness. To address these issues, this paper presents a LiDAR–vision multimodal fusion LCD algorithm. Spatiotemporal alignment between LiDAR point clouds and images is achieved through extrinsic calibration and timestamp interpolation to ensure cross-modal consistency. Harris corner detection and BRIEF descriptors are employed to extract visual features, and a LiDAR-projected sparse depth map is used to complete depth information, mapping 2D features into 3D space. A hybrid feature representation is then constructed by fusing LiDAR geometric triangle descriptors with visual BRIEF descriptors, enabling efficient loop candidate retrieval via hash indexing. Finally, an improved RANSAC algorithm performs geometric verification to enhance the robustness of relative pose estimation. Experiments on the KITTI and NCLT datasets show that the proposed method achieves average F1 scores of 85.28% and 77.63%, respectively, outperforming both unimodal and existing multimodal approaches. When integrated into a SLAM framework, it reduces the Absolute Error (ATE) RMSE by 11.2–16.4% compared with LiDAR-only methods, demonstrating improved loop detection accuracy and overall system robustness in complex environments. Full article
Show Figures

Figure 1

27 pages, 2569 KB  
Article
A Combined Kalman Filter–LSTM to Forecast Downside Risk of BWP/USD Returns: A Bottom-Up Hierarchical Approach
by Katleho Makatjane and Diteboho Xaba
Forecasting 2026, 8(2), 21; https://doi.org/10.3390/forecast8020021 - 2 Mar 2026
Viewed by 142
Abstract
This paper offers a hybrid forecasting approach that merges a local-level state space Kalman filter with a Long-Short-Term Memory (LSTM) neural network to assess the downside risk of the Botswana Pula versus the US Dollar (BWP/USD). Inspired by the inability of conventional econometric [...] Read more.
This paper offers a hybrid forecasting approach that merges a local-level state space Kalman filter with a Long-Short-Term Memory (LSTM) neural network to assess the downside risk of the Botswana Pula versus the US Dollar (BWP/USD). Inspired by the inability of conventional econometric models to capture complex latent structural shifts and nonlinear patterns, our architecure uses a bottom-up hierarchical methodology in which the smoothed level component of the exchange rate is isolated by the Kalman filter and subsequently fed into the LSTM architecture. Three key indicators for assessing downside risk—Maximum Drawdown (MDD), Conditional Drawdown-at-Risk (CDaR), and Downside Deviation—are used to assess model performance across various time-frames (7, 30, 90, 180, and 240 days). As confirmed by Kupiec and Christoffersen’s backtesting processes, the findings show a high degree of alignment between projected and actual values, with negligible downside deviation bias and robust calibration. Moreover, global economic and geopolitical shocks, such as the COVID-19 pandemic, the Russia–Ukraine conflict, and the 2015–2016 Shanghai Stock Exchange crash, are important factors that influence exchange rate volatility, according to explainable artificial intelligence techniques, particularly SHAP (SHapley Additive exPlanations) analysis. Downside risk is also greatly increased by regional currency links, especially the impact of the ZAR/BWP exchange rate. On the other hand, domestic temporal variables, such as week, quarter, and month, have very little impact. These results emphasise how Botswana’s currency rate is structurally vulnerable to external shocks and how crucial it is to include both global and regional considerations in risk analysis. The research concludes that the accuracy and transparency of projections for exchange rate risk significantly improve when practical filtering is combined with deep learning and explainable AI. To improve macroeconomic resilience and guide successful financial risk management plans in emerging market environments, policymakers are advised to employ AI-driven forecasting techniques, enhance regional monetary coordination, and set up real-set learning systems. Full article
(This article belongs to the Section AI Forecasting)
Show Figures

Figure 1

33 pages, 11255 KB  
Article
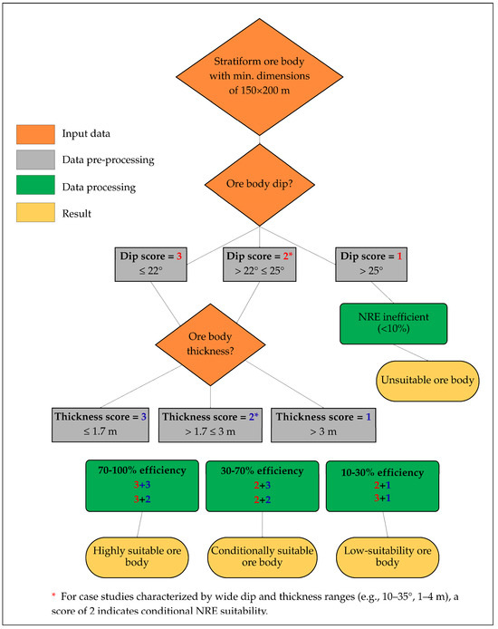
The Suitability of Stratiform Ore Deposits for the Narrow Reef Mining Equipment Method: Geological, Morphological, and Economic Criteria
by Ema Vokić, Sibila Borojević Šoštarić, Vječislav Bohanek and Paulo Pleše
Minerals 2026, 16(3), 250; https://doi.org/10.3390/min16030250 - 27 Feb 2026
Viewed by 153
Abstract
Thin, stratiform ore bodies pose persistent challenges for conventional underground mining due to limited thickness, high ore-grade dilution, and restricted operating space. This study introduces a morphology-based scoring framework for assessing the suitability of ore deposits for the Narrow Reef Mining Equipment method—an [...] Read more.
Thin, stratiform ore bodies pose persistent challenges for conventional underground mining due to limited thickness, high ore-grade dilution, and restricted operating space. This study introduces a morphology-based scoring framework for assessing the suitability of ore deposits for the Narrow Reef Mining Equipment method—an ultra-low-profile mechanized technique designed for stoping width up to 1.7 m and inclination up to 22°. A dataset comprising 178 ore deposits/mines was evaluated using integrated geological, morphological, and economic criteria. The results demonstrate that NRE suitability is primarily controlled by ore morphology, which is governed by the genetic model. The highest compatibility is associated with stratiform mineralization formed in layered mafic–ultramafic intrusions (e.g., Bushveld Complex, Great Dyke) and sediment-hosted stratiform copper and gold deposits developed along laterally extensive depositional or redox-controlled interfaces (e.g., Kupferschiefer, Witwatersrand). Although genetic origin defines deposit-scale suitability, secondary geological disturbances—post-genetic tectonism and hydrothermal overprinting—restrict NRE applicability to individual ore bodies within otherwise favourable deposits. By formalizing ore body dip and thickness into standardized efficiency and suitability classes, the proposed scoring system provides a reproducible early-stage geological screening methodology for evaluating NRE applicability during initial mine project development. Economic evaluation based on data from the Unki Mine provides operational validation of the proposed scoring framework and demonstrates that NRE increases monthly output at reduced stoping widths while maintaining ore grades and improving operational safety compared to conventional methods. Full article
(This article belongs to the Section Mineral Exploration Methods and Applications)
Show Figures

Figure 1

36 pages, 13034 KB  
Article
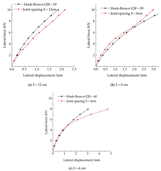
Experimental Study on Lateral Bearing Capacity of Rock-Socketed Piles in Jointed Rock
by Feng Xu, Guoliang Dai, Weiming Gong, Xueying Yang and Xueliang Zhao
Appl. Sci. 2026, 16(5), 2270; https://doi.org/10.3390/app16052270 - 26 Feb 2026
Viewed by 109
Abstract
Rock-socketed piles have been widely adopted in engineering projects with complex geological conditions due to their high load-bearing capacity. However, the joints in rock masses significantly impact the lateral load-bearing performance of pile foundations. The inherent nonlinearity and heterogeneity of rock materials, combined [...] Read more.
Rock-socketed piles have been widely adopted in engineering projects with complex geological conditions due to their high load-bearing capacity. However, the joints in rock masses significantly impact the lateral load-bearing performance of pile foundations. The inherent nonlinearity and heterogeneity of rock materials, combined with the limitations of field testing, make it challenging for existing calculation methods to accurately assess this influence. To address this issue, this study proposes a novel laboratory model testing method designed to simulate jointed rock masses and elucidate their impact mechanisms on the lateral load-bearing capacity of rock-socketed piles. First, through a combination of literature review and numerical analysis, we investigated the control parameters of the joint (spacing and inclination angle) on rock strength, identifying key input parameters in the Hoek–Brown criterion. Based on these findings, artificial rock samples were used to simulate real rock masses with different joint characteristics, and systematic lateral load-bearing model tests were conducted. Subsequently, the experimental results validated the refined numerical model, which was then applied for mechanism extension analysis. The results demonstrate that rock strength exhibits significant structural effects: strength peaks when joint planes are parallel to the direction of maximum principal stress, while it reaches its minimum when the angle between them is 30° to 45°. The lateral displacement at pile tops decreases with increasing joint spacing, while the initial stiffness of the load–displacement curve increases accordingly. The proposed experimental method provides a reliable technical approach for studying the lateral response of rock-socketed piles in jointed rock masses. These findings hold important theoretical value and engineering reference significance for enhancing understanding of the lateral load-bearing mechanisms of rock-socketed piles in jointed rock masses, as well as guiding their practical design and construction. Full article
(This article belongs to the Section Civil Engineering)
Show Figures

Figure 1

33 pages, 7219 KB  
Article
Parkification as Process: Mapping Ripple Effects in Post-Industrial Mill Landscapes
by Kawthar Alrayyan and Averi Brice
Land 2026, 15(3), 373; https://doi.org/10.3390/land15030373 - 26 Feb 2026
Viewed by 224
Abstract
This study examines the ripple effects of parkification, the transformation of post-industrial landscapes into public parks and green infrastructure, in Greenville at the Upper State region of South Carolina. As many Southern mill towns contend with industrial decline, environmental degradation, and complex land-use [...] Read more.
This study examines the ripple effects of parkification, the transformation of post-industrial landscapes into public parks and green infrastructure, in Greenville at the Upper State region of South Carolina. As many Southern mill towns contend with industrial decline, environmental degradation, and complex land-use legacies, parkification has emerged as a pragmatic response to constraint rather than a conventional redevelopment strategy. Framed as a process rather than an isolated design outcome, parkification is understood here as a generative mechanism that produces cumulative spatial, ecological, and institutional change beyond individual project boundaries. Using a mixed-methods approach that integrates spatial and temporal mapping, archival research, site analysis, and semi-structured interviews with key stakeholders and decision-makers, this study traces how parkification unfolds across time and scale. Three interconnected case studies in Greenville, Falls Park on the Reedy, Conestee Nature Preserve, and the Swamp Rabbit Trail, are examined to address how post-industrial parkification contributes to greenway network formation and broader urban–regional transformation in the American South. The findings reveal that parkification consistently emerged from conditions of environmental constraint, including contamination, flooding, infrastructural legacies, and limited redevelopment feasibility. Early parkification projects functioned as generative landscape nodes that catalyzed the expansion of green space and connectivity rather than remaining isolated amenities. By establishing visible, accessible, and publicly valued landscapes, these projects enabled the extension of trails, river corridors, and preserved infrastructures, contributing to the formation of an interconnected regional greenway system. Institutional alignment among civic organizations, public agencies, and landscape professionals further supported the scaling and replication of parkification. Together, these findings position parkification as a process-based landscape strategy capable of driving the spread of green areas and long-term urban connectivity in post-industrial regions. Full article
Show Figures

Figure 1

54 pages, 2092 KB  
Article
Shared Autoencoder-Based Unified Intrusion Detection Across Heterogeneous Datasets for Binary and Multi-Class Classification Using a Hybrid CNN–DNN Model
by Hesham Kamal and Maggie Mashaly
Mach. Learn. Knowl. Extr. 2026, 8(2), 53; https://doi.org/10.3390/make8020053 - 22 Feb 2026
Viewed by 212
Abstract
As network environments become increasingly interconnected, ensuring robust cyber-security has become critical, particularly with the growing sophistication of modern cyber threats. Intrusion detection systems (IDSs) play a vital role in identifying and mitigating unauthorized or malicious activities; however, conventional machine learning-based IDSs often [...] Read more.
As network environments become increasingly interconnected, ensuring robust cyber-security has become critical, particularly with the growing sophistication of modern cyber threats. Intrusion detection systems (IDSs) play a vital role in identifying and mitigating unauthorized or malicious activities; however, conventional machine learning-based IDSs often rely on handcrafted features and are limited in their ability to detect diverse attack types across disparate network domains. To address these limitations, this paper introduces a novel unified intrusion detection framework that implements “Structural Dualism” to integrate three heterogeneous benchmark datasets (CSE-CIC-IDS2018, NF-BoT-IoT-v2, and IoT-23) into a harmonized, protocol-agnostic representation. The framework employs a shared autoencoder architecture with dataset-specific projection layers to learn a unified latent manifold. This 15-dimensional space captures the underlying semantics of attack patterns (e.g., volumetric vs. signaling) across multiple domains, while dataset-specific decoders preserve reconstruction fidelity through alternating multi-domain training. To identify complex micro-signatures within this manifold, the framework utilizes a synergistic hybrid convolutional neural network–deep neural network (CNN–DNN) classifier, where the CNN extracts spatial latent patterns and the DNN performs global classification across twenty-five distinct classes. Class imbalance is addressed through resampling strategies such as adaptive synthetic sampling (ADASYN) and edited nearest neighbors (ENN). Experimental results demonstrate remarkable performance, achieving 99.76% accuracy for binary classification and 99.54% accuracy for multi-class classification on the merged dataset, with strong generalization confirmed on individual datasets. These findings indicate that the shared autoencoder-based CNN–DNN framework, through its unique feature alignment and spatial extraction capabilities, significantly strengthens intrusion detection across diverse and heterogeneous environments. Full article
Show Figures

Figure 1

20 pages, 1247 KB  
Article
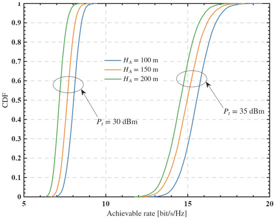
Geometrical-Based Modeling for Aerial Intelligent Reflecting Surface-Based MIMO Channels
by Zhangfeng Ma, Shuaiqiang Lu, Yifei Peng, Jianhua Zhou, Jianming Xu, Gaofeng Luo and Meimei Luo
Electronics 2026, 15(4), 875; https://doi.org/10.3390/electronics15040875 - 19 Feb 2026
Viewed by 207
Abstract
Traditional multiple-input multiple-output (MIMO) systems are confronted with significant challenges in realizing ubiquitous connectivity for sixth-generation (6G) networks, particularly in environments characterized by severe signal blockage and dynamic co-mobility. While aerial intelligent reflecting surfaces (AIRS) offer a promising paradigm to address these difficulties, [...] Read more.
Traditional multiple-input multiple-output (MIMO) systems are confronted with significant challenges in realizing ubiquitous connectivity for sixth-generation (6G) networks, particularly in environments characterized by severe signal blockage and dynamic co-mobility. While aerial intelligent reflecting surfaces (AIRS) offer a promising paradigm to address these difficulties, the existing channel models often fail to capture fast channel changes, thereby leading to inefficient phase optimization in time-varying scenarios. To address these limitations, a geometric MIMO channel model is proposed for AIRS-assisted communications. This model comprises an indirect link from the base station (BS) via the AIRS to the receiver (Rx) and a direct BS-Rx link, whose direct propagation environment is rigorously characterized by a one-cylinder model specifically designed to tackle the complexities of dynamic co-mobility and intricate propagation. A joint optimization problem is formulated to maximize the achievable rate by optimizing the transmitted signal’s covariance matrix and the AIRS phase shift. Subsequently, an iterative algorithm employing the projected gradient method (PGM) is proposed for its solution, which is tailored for efficient operation in time-varying environments. Furthermore, expressions for the space–time correlation function and Doppler power spectrum are derived to evaluate the overall channel properties. Significant enhancements in achievable rates are demonstrated by AIRS, with substantial gains being observed even for a small number of reflecting elements. Consequently, crucial guidance for the design of robust AIRS-assisted MIMO systems is provided by these findings, and the broad applicability of the proposed algorithm is thereby confirmed. Full article
Show Figures

Figure 1

30 pages, 6106 KB  
Article
From Geometry to HBIM: Documenting Grey Heritage Through Matta-Clark’s Architectural Cuts
by Irene M. Quesada-Granja, Joaquín A. López-Davó, Manuel J. Carretero-Ayuso and Antonio Jiménez-Delgado
Appl. Sci. 2026, 16(4), 2060; https://doi.org/10.3390/app16042060 - 19 Feb 2026
Viewed by 198
Abstract
Patrimoni grigi (grey heritage) refers to abandoned, neglected or obsolete buildings within contemporary urban contexts. These structures are often difficult to document and study because they are damaged, incomplete or hard to access. This article presents a simple and clear methodological approach for [...] Read more.
Patrimoni grigi (grey heritage) refers to abandoned, neglected or obsolete buildings within contemporary urban contexts. These structures are often difficult to document and study because they are damaged, incomplete or hard to access. This article presents a simple and clear methodological approach for analysing these buildings through geometric study, drawing on concepts related to HBIM (Heritage Building Information Modelling). The method is illustrated through several case studies related to the work of Gordon Matta-Clark, an artist who created cuts and openings in abandoned buildings. His interventions provide complex spatial scenarios that allow the analysis of hidden spaces, structural elements and geometric relationships within these constructions. By reconstructing these works through analytical representations, including exploded axonometric views, orthographic projections and axonometric diagrams, this study shows how geometric analysis can support the interpretation and organisation of fragmentary spatial information. The proposed approach contributes to the preparation of digital models in contexts where direct measurement or laser scanning is not possible, operating as an early-stage interpretative and pre-documentation workflow within HBIM environments. Overall, the article contributes to current discussions on grey heritage by offering a practical and reproducible approach for analysing degraded or inaccessible buildings documented primarily through visual resources. Full article
(This article belongs to the Special Issue Heritage Buildings: Latest Advances and Prospects)
Show Figures

Figure 1

21 pages, 7758 KB  
Article
Comparative Selection of Staggered Jacking Schemes for a Large-Span Double-Layer Space Frame: A Case Study of the Han Culture Museum Grand Hall
by Xiangwei Zhang, Zheng Yang, Jianbo Ren, Yanchao Yue, Yuanyuan Dong, Jiaguo Zhang, Haibin Guan, Chenlu Liu, Li Cui and Jianjun Ma
Buildings 2026, 16(4), 791; https://doi.org/10.3390/buildings16040791 - 14 Feb 2026
Viewed by 231
Abstract
Focusing on the construction of a 58-m-diameter double-layer steel space frame dome at the Han Culture Museum Assembly Hall, this study addresses scheme selection and safety control challenges in staggered jacking of large-span spatial structures. A three-dimensional finite element model in MIDAS Gen [...] Read more.
Focusing on the construction of a 58-m-diameter double-layer steel space frame dome at the Han Culture Museum Assembly Hall, this study addresses scheme selection and safety control challenges in staggered jacking of large-span spatial structures. A three-dimensional finite element model in MIDAS Gen simulated the three-stage jacking process to compare three temporary support layouts. Numerical evaluation metrics included maximum vertical displacements, peak internal forces, the proportion of members undergoing stress state transitions, and spatio-temporal evolution of stress concentrations. Scheme B demonstrated superior performance, reducing peak vertical displacement by 44% under critical conditions, lowering peak stresses, and enabling more uniform internal force redistribution—effectively mitigating tension–compression cycling and buckling risks. Crucially, only nodal displacements and support elevations were monitored in situ using a 3D system based on magnetic prisms and total stations; no strain or force measurements were conducted due to practical constraints during construction. Monitoring data show good agreement with simulated displacements and support elevations under Scheme B, validating the model’s deformation response. However, localized deviations—including a 29 mm deflection discrepancy and elevation errors up to 28 mm—reveal the influence of uneven boundary conditions, with potential implications for long-term structural behavior. The findings confirm that numerical predictions of deformation are reliable, while internal forces remain unvalidated by field data. The integrated approach of “scheme comparison–construction simulation–full-process displacement monitoring” proves effective for safety control and decision-making in complex jacking operations, offering a transferable framework for similar large-span double-layer space frame projects. Full article
(This article belongs to the Section Building Structures)
Show Figures

Figure 1

25 pages, 6514 KB  
Article
An Optimization-Based Method for Relative Pose Estimation for Collaborating UAVs Using Observed Predefined Trajectories
by Guven Cetinkaya and Yakup Genc
Drones 2026, 10(2), 135; https://doi.org/10.3390/drones10020135 - 14 Feb 2026
Viewed by 325
Abstract
Accurate relative pose estimation between unmanned aerial vehicles (UAVs) is a key requirement for cooperative navigation, formation control, and swarm operation in GNSS-denied environments. In multi-UAV systems, monocular vision is attractive due to its low weight and power requirements; however, bearing-only measurements can [...] Read more.
Accurate relative pose estimation between unmanned aerial vehicles (UAVs) is a key requirement for cooperative navigation, formation control, and swarm operation in GNSS-denied environments. In multi-UAV systems, monocular vision is attractive due to its low weight and power requirements; however, bearing-only measurements can lead to angular ambiguities, particularly under symmetric or planar target motion. This paper presents a geometric framework for monocular relative pose estimation using observed known motion patterns, rather than relying on complex distributed system architectures. The method exploits trajectory-induced geometric constraints by back-projecting the observed image-plane trajectory of a target UAV into three-dimensional space and tracing rays from the camera center toward a geometrically parameterized reference trajectory. Relative pose parameters are refined through nonlinear optimization using Levenberg–Marquardt, enabling accurate estimation under noisy conditions. Beyond the estimation framework, the influence of cooperative trajectory geometry on angular observability is investigated through simulation experiments. The results indicate that planar collaborative motion may induce angular ambiguity despite numerical convergence, whereas introducing modest out-of-plane excitation through three-dimensional trajectories significantly improves observability. In addition to simulation-based evaluation, a limited real-world flight experiment is conducted to qualitatively validate the observed ambiguity patterns under practical sensing conditions. In particular, three-dimensional eight-shaped trajectories are shown to significantly suppress large angular outliers and improve estimation robustness without increasing computational complexity, providing validated guidance for active trajectory design to ensure observability in vision-based aerial scenarios. Full article
(This article belongs to the Section Artificial Intelligence in Drones (AID))
Show Figures

Figure 1

24 pages, 3411 KB  
Article
Radar Target Detection Within Nonhomogeneous Sea Clutter via MSP-MIG Detectors
by Jiayi Chen, Xiaoqiang Hua, Yongqiang Cheng, Hao Wu, Zheng Yang and Hongqiang Wang
Remote Sens. 2026, 18(4), 583; https://doi.org/10.3390/rs18040583 - 13 Feb 2026
Viewed by 242
Abstract
Subspace decomposition is a widely adopted approach for mitigating clutter interference in complex sea clutter scenarios. Based on the subspace decomposition principle, this paper expands the method to manifold space and presents a set of matrix information geometry (MIG) detectors with manifold subspace [...] Read more.
Subspace decomposition is a widely adopted approach for mitigating clutter interference in complex sea clutter scenarios. Based on the subspace decomposition principle, this paper expands the method to manifold space and presents a set of matrix information geometry (MIG) detectors with manifold subspace projection (MSP) for handling the target detection problem in nonhomogeneous sea clutter. According to the general method, the sample data are modeled as Hermitian positive-definite (HPD) matrices, and the clutter covariance matrix is estimated as the geometric mean of secondary HPD matrices. Through subspace projection, we map the HPD matrices onto a submanifold to enhance target–clutter separability. Three MSP-MIG detectors are put forward in line with different geometric measures. The experimental results show that our MSP-MIG detectors perform better than both traditional detectors and their non-MSP counterparts in nonhomogeneous sea clutter environment. Full article
Show Figures

Figure 1

24 pages, 63699 KB  
Article
Optimal Water Resource Allocation Under Policy-Driven Rigid Constraints: A Case Study of the Yellow River Great Bend
by Zhenhua Han, Rui Jiao, Yanfei Zhang and Yaru Feng
Land 2026, 15(2), 318; https://doi.org/10.3390/land15020318 - 13 Feb 2026
Viewed by 221
Abstract
The “Great Bend” of the Yellow River, a region characterized by the tension between ecological fragility and economic growth, faces dual pressures from physical water scarcity and stringent policy redlines. Traditional allocation models often struggle to operationalize the rigid boundaries of the “Four [...] Read more.
The “Great Bend” of the Yellow River, a region characterized by the tension between ecological fragility and economic growth, faces dual pressures from physical water scarcity and stringent policy redlines. Traditional allocation models often struggle to operationalize the rigid boundaries of the “Four Determinants” policy (water determines production, city, land, and population) and suffer from computational inefficiencies under high-dimensional non-linear constraints. To address these issues, this study proposes a policy-driven “Four-Determinant, Three-Multiple” (FDTM) rigid constraint optimization framework. First, a multi-level boundary system is constructed based on water-carrying capacity, thereby converting the policy into dynamic interaction constraints among industry, city, land, and population. Second, to overcome potential computational bottlenecks, an Improved Adaptive Cheetah Optimization Algorithm (IA-COA) is developed. By integrating chaos mapping initialization and an adaptive penalty function mechanism, the algorithm exhibits enhanced global search capability and convergence speed within confined search spaces. Using Baotou City as a representative case study, the model simulates scenarios for the 2030 planning horizon. The results indicate that (i) the integration of rigid constraints effectively identifies development bottlenecks, capping projected water demand at 1.075 × 109 m3 and preventing ecological overdraft despite a 5.15% theoretical deficit; (ii) through IA-COA optimization, a balanced trade-off between economic benefits and ecological security is achieved. The comprehensive water supply guarantee rate increased to over 90%, and satisfaction levels for all sectors exceeded 0.8, demonstrating improved allocation efficiency. This study elucidates the marginal transformation mechanism of the water–economy–ecology nexus under rigid constraints and demonstrates the applicability of IA-COA in solving complex basin allocation problems constrained by strict boundaries. It provides a methodological reference for sustainable water management in similar resource-stressed arid regions. Full article
(This article belongs to the Section Land, Soil and Water)
Show Figures

Figure 1

19 pages, 2008 KB  
Article
Convex Hull-Based Topic Similarity Mapping in Multidimensional Data
by Matúš Pohorenec, Vladislav Vavrák, Annamária Behúnová, Marcel Behún and Michal Ennert
Information 2026, 17(2), 180; https://doi.org/10.3390/info17020180 - 10 Feb 2026
Viewed by 210
Abstract
This research presents a large-scale thematic analysis of 66,002 Slovak university thesis abstracts, aimed at identifying, categorizing, and visualizing research trends across multiple academic disciplines. Using BERTopic for unsupervised topic modeling with K-Means clustering, 3000 distinct thematic clusters were extracted through rigorous coherence [...] Read more.
This research presents a large-scale thematic analysis of 66,002 Slovak university thesis abstracts, aimed at identifying, categorizing, and visualizing research trends across multiple academic disciplines. Using BERTopic for unsupervised topic modeling with K-Means clustering, 3000 distinct thematic clusters were extracted through rigorous coherence optimization, with each topic characterized by representative keywords derived from class-based TF-IDF weighting. Text embeddings were generated using SlovakBERT-STS, a domain-adapted Slovak BERT model fine-tuned for semantic textual similarity, producing 768-dimensional vectors that enable precise computation of cosine similarity between topics, resulting in a 3000 × 3000 topic similarity matrix. The optimal topic count was determined through systematic evaluation of K values ranging from 1000 to 10,000, with K = 3000 identified as the optimal configuration based on coherence elbow analysis, yielding a mean coherence score of 0.433. Thematic relationships were visualized through Multidimensional Scaling (MDS) projection to 3-D space, where convex hull geometries reveal semantic boundaries and topic separability. The methodology incorporates dynamic stopword filtering, Stanza-based lemmatization for Slovak morphology, and UMAP dimensionality reduction, achieving a balanced distribution of approximately 22 abstracts per topic. Results demonstrate that fine-grained topic models with 3000 clusters can extract meaningful semantic structure from multi-domain, morphologically complex Slovak academic corpora, despite inherent coherence constraints. The reproducible pipeline provides a framework for large-scale topic discovery, coherence-driven optimization, and geometric visualization of thematic relationships in academic text collections. Full article
(This article belongs to the Section Artificial Intelligence)
Show Figures

Graphical abstract

12 pages, 296 KB  
Article
PHYSICAL SPACE AND ABSTRACT SPACES—Klein Space, Poincaré Space and the Stereographic Projection
by Tiberiu Tudor
Photonics 2026, 13(2), 153; https://doi.org/10.3390/photonics13020153 - 4 Feb 2026
Viewed by 298
Abstract
In this paper we compare the rotation of a rigid body in the real three-dimensional Euclidean space E3 and its representation in the complex plane (Klein space), on one hand, with the transformation of polarization states of light (SOPs) by the phase-shifters [...] Read more.
In this paper we compare the rotation of a rigid body in the real three-dimensional Euclidean space E3 and its representation in the complex plane (Klein space), on one hand, with the transformation of polarization states of light (SOPs) by the phase-shifters figured in the complex plane and on the Poincaré sphere, on the other hand. Both the Klein space, in classical mechanics, and the Poincaré sphere, in polarization theory, are abstract spaces, whose construction is based on the classical stereographical projection between Riemann sphere and the simple complex plane C1. They are classical abstract spaces, even if they have been largely used for representing quantum spinorial physical realities too. At the interface of classical/quantum physics persist some misaperceptions about what is intrinsically of quantum origin and nature, and what is imported from the classical domain. In this context we examine some misunderstandings that take place in the field of these spaces. I shall focus on the double angle relationship between the rotation of representative points of the SOPs on the Poincaré sphere with respect to the corresponding rotations of the azimuthal and ellipticity angles of the “form of the SOPs”, at a transformation of state given by a phase shifter. This is a classical result, that is transferred on the sphere from the complex plane, on the basis of the stereographic bijective connection between the points on the sphere and those in the complex plane. In any textbook of quantum mechanics “the double angle/half angle problem” is presented as a pure quantum spinorial one, avoiding its classical face and origin. A quantum spinorial approach, obviously, recovers the classical results, together with the specific spinorial ones, but with regards to the double angle/half angle issue it is superfluous. We shall also briefly examine the classical and quantum spinorial content of what we know today under the global name of Pauli spin matrices. Often in papers or textbooks of physics the results are presented in a mélange in which it is difficult to establish from which point on one needs to appeal to spinorial or quantum aspects. Full article
Back to TopTop