Sign in to use this feature.

Years

Between: -

Subjects

remove_circle_outline
remove_circle_outline
remove_circle_outline
remove_circle_outline
remove_circle_outline
remove_circle_outline
remove_circle_outline
remove_circle_outline
remove_circle_outline

Journals

remove_circle_outline
remove_circle_outline
remove_circle_outline
remove_circle_outline
remove_circle_outline
remove_circle_outline
remove_circle_outline

Article Types

Countries / Regions

remove_circle_outline
remove_circle_outline
remove_circle_outline
remove_circle_outline
remove_circle_outline
remove_circle_outline

Search Results (232)

Search Parameters:
Keywords = complementary cooperation

Order results
Result details
Results per page
Select all
Export citation of selected articles as:
26 pages, 9771 KB  
Article
Driving Collaborative Governance: Simulating the Dynamic Evolution of Multi-Stakeholder Strategies in Industrial Heritage Renewal Through Policy Levers
by Zhibiao Chen and Minghua Ma
Sustainability 2026, 18(4), 1981; https://doi.org/10.3390/su18041981 (registering DOI) - 14 Feb 2026
Abstract
At the critical juncture where Chinese cities are transitioning toward intensive urban renewal and sustainable development, the revitalization and adaptive reuse of industrial heritage face a collective action dilemma stemming from the misaligned interests among three key stakeholders: the Local Government (LG), the [...] Read more.
At the critical juncture where Chinese cities are transitioning toward intensive urban renewal and sustainable development, the revitalization and adaptive reuse of industrial heritage face a collective action dilemma stemming from the misaligned interests among three key stakeholders: the Local Government (LG), the Industrial Heritage Developer (IHD), and the Neighboring Complementary Merchants (NCMs). To address this challenge, this study constructs a tripartite evolutionary game model and innovatively proposes an analytical framework of a Multi-Dimensional Policy Lever System, which integrates spatial synergy (k, w, v), economic incentives (p1, p2, q), and behavioral regulation (m, n). Numerical simulations reveal that the successful regeneration of industrial heritage does not rely on any single policy but fundamentally depends on the systematic coordination and dynamic adaptation of these three-dimensional levers. The nonlinear coupling of spatial elements forms the foundation for value leapfrogging. The economic driving force requires a critical shift from government subsidies (p) towards a market-based value capture and recycling mechanism (q). Behavioral interventions provide the necessary cognitive and normative safeguards for cooperation. The research elucidates a three-phase evolutionary pattern of the system, transitioning from a stalemate to synergy, and emphasizes the need for an adaptive and sequential combination of policies. The theoretical contribution of this study lies in providing an integrative quantitative analytical framework. Its practical significance is to offer a scientific basis for decision-makers to construct a dynamic policy toolbox and promote the sustainable collaborative governance of industrial heritage. Full article
19 pages, 3066 KB  
Article
Dubins-CPSO: A Hybrid Static–Dynamic Method for Coordinated Trajectory Planning of Multiple UAVs
by Xinyu Liu, Yu Fan and Mingrui Hao
Appl. Sci. 2026, 16(4), 1880; https://doi.org/10.3390/app16041880 - 13 Feb 2026
Viewed by 49
Abstract
For the problem of multi-UAV cooperative trajectory planning, this study proposes an integrated static–dynamic trajectory optimization method based on a Dubins-CPSO algorithm. An improved Dubins static path planning method utilizing virtual “Intermediate Points” is introduced, and the reference trajectory generated by this method [...] Read more.
For the problem of multi-UAV cooperative trajectory planning, this study proposes an integrated static–dynamic trajectory optimization method based on a Dubins-CPSO algorithm. An improved Dubins static path planning method utilizing virtual “Intermediate Points” is introduced, and the reference trajectory generated by this method is employed to design the fitness function for the CPSO algorithm. Within the CPSO-based dynamic optimization framework, real-time local trajectory adjustments are performed by incorporating the UAV’s current state and multi-dimensional physical constraints. This approach combines the high reliability and low command variation rate of conventional algorithms with the flexibility and strong disturbance robustness of intelligent algorithms, achieving complementary advantages. The result is a flight trajectory planning method that is more compatible with the physical mechanisms of the aircraft while possessing a degree of autonomy and intelligence. The simulation results demonstrate that the proposed algorithm can adapt to uncertain initial conditions in the studied scenarios. Furthermore, under interference, it exhibits superior real-time regulation capability compared with traditional algorithms alone and greater robustness and practicality than standalone intelligent algorithms. This provides a more implementable trajectory planning solution for UAVs with strict physical constraints in engineering applications. Full article
Show Figures

Figure 1

25 pages, 7469 KB  
Article
Global Research Trends in Air Pollution Control and Environmental Governance: A Knowledge Graph Analysis Based on CiteSpace
by Hewen Xu, Zhen Wang, Xingzhou Li, Qiurong Lei and Jing Chen
Atmosphere 2026, 17(2), 191; https://doi.org/10.3390/atmos17020191 - 12 Feb 2026
Viewed by 98
Abstract
Air pollution has become a pressing global challenge that threatens ecological security, public health, and sustainable socioeconomic development, prompting extensive academic and policy attention on air pollution control and environmental governance. To systematically clarify the knowledge structure, evolutionary trends, and interdisciplinary characteristics of [...] Read more.
Air pollution has become a pressing global challenge that threatens ecological security, public health, and sustainable socioeconomic development, prompting extensive academic and policy attention on air pollution control and environmental governance. To systematically clarify the knowledge structure, evolutionary trends, and interdisciplinary characteristics of this field, this study employs bibliometric methods combined with CiteSpace, VOSviewer, and Tableau tools for in-depth analysis of the global literature published in the last 25 years. Key dimensions including keyword clustering, co-occurrence networks, national cooperation patterns, journal co-citation relationships, and policy evaluation methodology evolution are explored. The results reveal that research output in this field has maintained sustained rapid growth, with distinct interdisciplinary integration across environmental science, economics, energy engineering, and public health. Notably, the evolutionary path of research themes presents a clear transformation: shifting from early emphasis on “emission standards” and “end-of-pipe treatment” to market-oriented policy instruments such as “carbon tax” and “carbon emission trading”, and further expanding toward systematic solutions including “green finance” and “collaborative environmental governance”. In terms of policy evaluation methodologies, there is a developmental trend from single-indicator monitoring to integrated assessment frameworks combining quasi-experimental approaches (e.g., difference-in-differences, regression discontinuity design) and multi-model coupling. Furthermore, national collaboration analysis identifies China as a core hub in the global research network, while European and American countries maintain advantages in research impact. While this observation is based on absolute metrics, a data normalization approach (e.g., by population) reveals more distinct relative differences and a complementary global dynamic: China’s scale-driven output aligns with large-scale, engineering-intensive governance challenges, whereas the markedly higher per capita research impact of Western nations reflects a deeper focus on policy innovation and systemic mechanisms. Burst term detection highlights emerging frontiers such as the “Porter hypothesis”, reflecting growing focus on the synergistic relationship between environmental regulation, green innovation, and economic development. This study also identifies critical research gaps, including insufficient attention on cross-regional pollution transport policy coordination and emergency policy evaluation under extreme weather conditions. The findings provide a comprehensive academic map of global air pollution control and environmental governance research, offering valuable insights for optimizing environmental policy design, promoting interdisciplinary collaboration, and guiding future research directions in this field. Full article
(This article belongs to the Section Air Pollution Control)
Show Figures

Graphical abstract

20 pages, 2973 KB  
Article
Can Non-Conventional Blood Biomarkers Improve Running Performance Prediction? A Proof of Concept
by Matija Dvorski, Marija Rakovac, Tomislav Kelava, Nataša Kovačić, Darja Flegar, Sara Aničić, Ivo Krešić, Ljiljana Ćulibrk, Filip Koražija, Damjan Dimnjaković and Alan Šućur
Life 2026, 16(2), 320; https://doi.org/10.3390/life16020320 - 12 Feb 2026
Viewed by 89
Abstract
Conventional measures such as maximal oxygen uptake (V˙O2max), although widely regarded as the gold standard, do not fully capture endurance performance. Therefore, this study investigated whether a 2.4 km Cooper test elicits measurable changes in blood-based biomarkers (decorin, [...] Read more.
Conventional measures such as maximal oxygen uptake (V˙O2max), although widely regarded as the gold standard, do not fully capture endurance performance. Therefore, this study investigated whether a 2.4 km Cooper test elicits measurable changes in blood-based biomarkers (decorin, hypoxanthine, N-terminal pro-B-type natriuretic peptide (NT-proBNP), brain-derived neurotrophic factor (BDNF)) and whether integrating these markers may improve performance prediction in a heterogeneous sample of runners. In this cross-sectional observational proof-of-concept study, thirty-three participants completed the 2.4 km Cooper test, with venous blood samples collected at baseline and post-test. Non-parametric statistical tests were used to assess biomarker changes (α = 0.05), with exploratory correlations evaluated using Spearman’s ρ. To examine whether blood-based biomarkers provide information beyond conventional field-based predictors, Ridge regression with leave-one-out cross-validation (LOOCV) was applied to predict 10 km race time in a subsample of 24 participants who completed a 10 km race two weeks later. The Cooper test elicited significant post-test changes in decorin, hypoxanthine, and BDNF (all p < 0.001). Higher post-test decorin (ρ = −0.44, p = 0.010) and hypoxanthine (ρ = −0.37, p = 0.034) were associated with faster Cooper test performance. In Ridge regression analysis, adding post-test decorin to conventional predictors resulted in a minor reduction of 10 km race time prediction error. This study suggests that decorin may provide complementary information to a conventional field-based test in heterogeneous recreational runners. Post-test decorin marginally contributed to 10 km race performance prediction beyond established predictors, though external validation and comparison with directly measured V˙O2max are needed before practical application can be recommended. Full article
(This article belongs to the Special Issue Advances and Applications of Sport Physiology: 2nd Edition)
Show Figures

Figure 1

16 pages, 282 KB  
Article
Enhancing Omics Analyses Through Coalitional Games and Shapley Values
by Eva Vargas, Inés de la Torre and Francisco J. Esteban
Methods Protoc. 2026, 9(1), 25; https://doi.org/10.3390/mps9010025 - 12 Feb 2026
Viewed by 138
Abstract
We describe a comprehensive methodology for the application of game theory to omics data analysis, with a particular focus on coalitional games and Shapley values. This approach evaluates the cooperative distribution of genes within high-dimensional transcriptomics datasets, providing a complementary perspective to conventional [...] Read more.
We describe a comprehensive methodology for the application of game theory to omics data analysis, with a particular focus on coalitional games and Shapley values. This approach evaluates the cooperative distribution of genes within high-dimensional transcriptomics datasets, providing a complementary perspective to conventional statistical methods. We present the mathematical framework, implementation details, and references for applications that demonstrate its ability to improve the detection of biologically meaningful signals that may not be explicitly modeled by many conventional statistical methods. Our results highlight the potential of coalitional game theory as a powerful tool for enhancing reproducibility and interpretability in omics research, opening new perspectives in systems biology and precision medicine. Full article
(This article belongs to the Special Issue Feature Papers in Methods and Protocols 2025)
27 pages, 749 KB  
Article
A Data-Driven Multimodal Method for Early Detection of Coordinated Abnormal Behaviors in Live-Streaming Platforms
by Jingwen Luo, Pinrui Zhu, Yiyan Wang, Zilin Xiao, Jingqi Li, Xuebei Kong and Yan Zhan
Electronics 2026, 15(4), 769; https://doi.org/10.3390/electronics15040769 - 11 Feb 2026
Viewed by 68
Abstract
With the rapid growth of live-streaming e-commerce and digital marketing, abnormal marketing behaviors have become increasingly concealed, coordinated, and intertwined across heterogeneous data modalities, posing substantial challenges to data-driven platform governance and early risk identification. Existing approaches often fail to jointly model cross-modal [...] Read more.
With the rapid growth of live-streaming e-commerce and digital marketing, abnormal marketing behaviors have become increasingly concealed, coordinated, and intertwined across heterogeneous data modalities, posing substantial challenges to data-driven platform governance and early risk identification. Existing approaches often fail to jointly model cross-modal temporal semantics, the gradual evolution of weak abnormal signals, and organized group-level manipulation. To address these challenges, a data-driven multimodal abnormal behavior detection framework, termed MM-FGDNet, is proposed for large-scale live-streaming environments. The framework models abnormal behaviors from two complementary perspectives, namely temporal evolution and cooperative group structure. A cross-modal temporal alignment module first maps video, text, audio, and user behavioral signals into a unified temporal semantic space, alleviating temporal misalignment and semantic inconsistency across modalities. Building upon this representation, a temporal fraud pattern modeling module captures the progressive transition of abnormal behaviors from early incipient stages to abrupt outbreaks, while a cooperative manipulation detection module explicitly identifies coordinated interactions formed by organized user groups and automated accounts. Extensive experiments on real-world multi-platform live-streaming e-commerce datasets demonstrate that MM-FGDNet consistently outperforms representative baseline methods, achieving an AUC of 0.927 and an F1 score of 0.847, with precision and recall reaching 0.861 and 0.834, respectively, while substantially reducing false alarm rates. Moreover, the proposed framework attains an Early Detection Score of 0.689. This metric serves as a critical benchmark for operational viability, quantifying the system’s capacity to shift platform governance from passive remediation to proactive prevention. It confirms the reliable identification of the “weak-signal” stage—rigorously defined as the incipient phase where subtle, synchronized deviations in interaction rhythms manifest prior to traffic inflation outbreaks—thereby providing the necessary time window for preemptive intervention against coordinated manipulation. Ablation studies further validate the independent contributions of each core module, and cross-domain generalization experiments confirm stable performance across new streamers, new product categories, and new platforms. Overall, MM-FGDNet provides an effective and scalable data-driven artificial intelligence solution for early detection of coordinated abnormal behaviors in live-streaming systems. Full article
Show Figures

Figure 1

19 pages, 1323 KB  
Article
Exploring the Dynamics of Quinoa Adoption: Insights from Rehamna and Oriental Regions in Morocco
by Ilham Abidi, Rachid Hamimaz, Loubna Belqadi and Si Bennasseur Alaoui
Sustainability 2026, 18(4), 1838; https://doi.org/10.3390/su18041838 - 11 Feb 2026
Viewed by 91
Abstract
Morocco is increasingly vulnerable to climate change, as reflected by recurrent droughts and rising soil and groundwater salinization, which threaten staple crops and rural livelihoods. In this context, the introduction of drought- and salinity-tolerant crops such as quinoa represents a strategic option for [...] Read more.
Morocco is increasingly vulnerable to climate change, as reflected by recurrent droughts and rising soil and groundwater salinization, which threaten staple crops and rural livelihoods. In this context, the introduction of drought- and salinity-tolerant crops such as quinoa represents a strategic option for enhancing agricultural resilience and supporting sustainable rural development. This study analyzes quinoa adoption in two contrasting Moroccan regions, Rehamna and the Oriental, with the aim of determining key socio-economic, institutional, and environmental drivers. Field surveys were conducted to collect data on farmers’ personal characteristics, farm attributes, and access to resources related to quinoa cultivation, including water, information, and credit. Data analysis combined descriptive statistics, a binary logistic regression model (Logit), Factorial Analysis for Mixed Data (FAMD), and Hierarchical Cluster Analysis (HCPC) to identify adoption determinants and explore heterogeneity among farmers. The results reveal both common factors and region-specific dynamics shaping quinoa adoption. Cooperative membership emerges as a central determinant in both regions, facilitating access to information, collective learning, and market integration, with a stronger effect observed in the Oriental region. Water scarcity appears as a critical constraint, particularly in Rehamna. Adoption pathways also differ across regions, with a higher prevalence of direct adoption among farmers in the Oriental. Interpreted through the lens of innovation diffusion and multidimensional sustainability, the findings show that quinoa adoption is not merely a technical choice but a socio-economic adaptation strategy. Quinoa should therefore be considered a complementary crop within diversified farming systems, contributing to environmental resilience, income diversification, and social inclusion. These results provide relevant insights for the design of policies aimed at promoting sustainable agricultural innovation in marginal environments. Full article
Show Figures

Figure 1

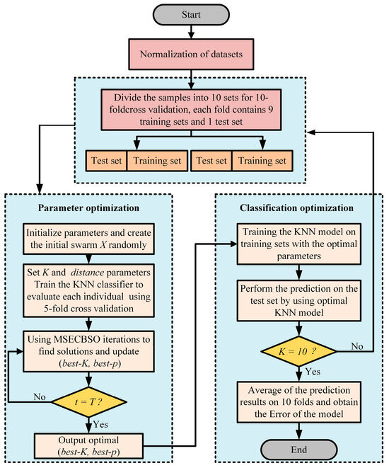
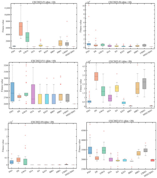
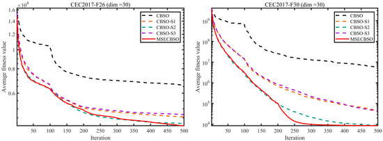
43 pages, 22770 KB  
Article
Multi-Strategy Enhanced Connected Banking System Optimizer for Global Optimization and Corporate Bankruptcy Forecasting
by Yaozhong Zhang and Xiao Yang
Mathematics 2026, 14(4), 618; https://doi.org/10.3390/math14040618 - 10 Feb 2026
Viewed by 115
Abstract
Metaheuristic optimization algorithms are widely employed to address complex nonlinear and multimodal optimization problems due to their flexibility and strong global search capability. However, the original Connected Banking System Optimizer (CBSO) still exhibits several inherent limitations when handling high-dimensional and highly complex search [...] Read more.
Metaheuristic optimization algorithms are widely employed to address complex nonlinear and multimodal optimization problems due to their flexibility and strong global search capability. However, the original Connected Banking System Optimizer (CBSO) still exhibits several inherent limitations when handling high-dimensional and highly complex search spaces, including excessive dependence on single global-best guidance, rapid loss of population diversity, weak exploitation ability in later iterations, and inefficient boundary handling. These deficiencies often lead to premature convergence and unstable optimization performance. To overcome these drawbacks, this paper proposes a Multi-Strategy Enhanced Connected Banking System Optimizer (MSECBSO) by systematically enhancing the CBSO framework through multiple complementary mechanisms. First, a multi-elite cooperative guidance strategy is introduced to aggregate information from several high-quality individuals, thereby mitigating search-direction bias and improving population diversity. Second, an embedded differential evolution search strategy is incorporated to strengthen local exploitation accuracy and enhance the ability to escape from local optima. Third, a soft boundary rebound mechanism is designed to replace rigid boundary truncation, improving search stability and preventing boundary aggregation. The proposed MSECBSO is extensively evaluated on the CEC2017 and CEC2022 benchmark suites under different dimensional settings and is statistically compared with nine state-of-the-art metaheuristic algorithms. Experimental results demonstrate that MSECBSO achieves superior convergence accuracy, robustness, and stability across unimodal, multimodal, hybrid, and composition functions. In terms of computational complexity, MSECBSO retains the same order of time complexity as the original CBSO, namely O(N×D×T), while introducing only a marginal increase in constant computational overhead. The space complexity remains O(N×D), indicating good scalability for high-dimensional optimization problems. Furthermore, MSECBSO is applied to corporate bankruptcy forecasting by optimizing the hyperparameters of a K-nearest neighbors (KNN) classifier. The resulting MSECBSO-KNN model achieves higher prediction accuracy and stronger stability than competing optimization-based KNN models, confirming the effectiveness and practical applicability of the proposed algorithm in real-world classification tasks. Full article
(This article belongs to the Special Issue Advances in Metaheuristic Optimization Algorithms)
Show Figures

Figure 1

23 pages, 989 KB  
Review
Sustainable Livestock Farming in Chile: Challenges and Opportunities
by Rodrigo Morales, María Eugenia Martínez, Marion Rodríguez, Ignacio Beltrán and Christian Hepp
Sustainability 2026, 18(3), 1626; https://doi.org/10.3390/su18031626 - 5 Feb 2026
Viewed by 218
Abstract
Chile’s livestock industry faces growing demands for emissions reduction, animal welfare, and value creation, while continuing to play a key role in rural food security and pasture-based production systems. In light of Chile’s varied agroclimatic conditions, a diminishing national herd, and shifting market [...] Read more.
Chile’s livestock industry faces growing demands for emissions reduction, animal welfare, and value creation, while continuing to play a key role in rural food security and pasture-based production systems. In light of Chile’s varied agroclimatic conditions, a diminishing national herd, and shifting market signals, such as alternative proteins and distinctive meat products, this narrative review explores four complementary transition pathways: sustainable intensification, organic and agroecological systems, heritage livestock, and regenerative practices. We map the structural challenges, including grazing dairy and beef herds, fragmented producer organization, and the absence of unified, farm-scale greenhouse-gas measurements. We assess the management strategies that have the strongest support; viz., efficiency gains at the animal/herd level, adaptive grazing and silvopastoral designs, nutrient cycling via manure management and local by-products, and welfare frameworks that are aligned with national law and World Organisation for Animal Health guidance. Heritage systems (e.g., Chilota sheep breed in the Chiloé archipelago) provide resilience, cultural identity, and low-input baselines for stepwise transitions. Regenerative procedures can improve soil function and drought buffering but require context-specific designs and credible outcome-based verification to avoid greenwashing. Key enabling policies include coordinated certification and labeling covering animal welfare and origin. Additional elements are cooperative and territorial governance, targeted R&D and extension services for smallholders, and a transparent, standardized greenhouse-gas measurement framework linking farm-level actions to national inventories. Chile’s pathway is not a single model but a practical combination shaped by regional conditions that can deliver long-term economic sustainability, ecosystem services, and nutrition. Full article
(This article belongs to the Special Issue Sustainable Animal Production and Livestock Practices)
Show Figures

Figure 1

14 pages, 935 KB  
Article
Clinical Impact of Ultrafast Cranial MRI Implementation in Children Under Six Years of Age
by Rastislav Pjontek, Hani Ridwan, Benedikt Kremer, Michael Veldeman, Dimah Hasan, Martin Häusler, Martin Wiesmann, Hans Clusmann and Hussam Hamou
J. Clin. Med. 2026, 15(3), 1242; https://doi.org/10.3390/jcm15031242 - 4 Feb 2026
Viewed by 306
Abstract
Background: Young children requiring neurosurgical care frequently undergo repeated neuroimaging. Whereas CT involves exposure to ionizing radiation, conventional MRI is time-consuming and often necessitates sedation in non-cooperative children. To address these limitations, ultrafast cranial MRI (UF-MRI) based on T2-HASTE sequences was implemented [...] Read more.
Background: Young children requiring neurosurgical care frequently undergo repeated neuroimaging. Whereas CT involves exposure to ionizing radiation, conventional MRI is time-consuming and often necessitates sedation in non-cooperative children. To address these limitations, ultrafast cranial MRI (UF-MRI) based on T2-HASTE sequences was implemented at our institution in 2019 for selected indications. The aim of this study was to evaluate the real-world implementation of UF-MRI in children younger than six years of age. Methods: We retrospectively analyzed cranial MRI examinations consisting exclusively of ultrafast sequences performed between July 2019 and December 2024 in children younger than six years. Clinical settings, diagnostic adequacy, immediate consequences for patient management, and the impact on MRI and CT utilization were systematically assessed. Results: A total of 404 UF-MRI examinations were performed in 198 inpatients and outpatients (mean age: 2 years 2 months) without the need for dedicated anesthesia team support solely for imaging. Only one examination (0.2%) required same-day repetition after mild oral sedation. In 20 patients (5.0%), UF-MRI was supplemented by conventional MRI under anesthesia, most commonly for preoperative planning. Immediate clinical consequences included no change in management in 54.5% of examinations, early follow-up in 22.8%, shunt valve adjustment in 11.6%, neurosurgical intervention in 7.7%, and other measures in 5.0%. UF-MRI accounted for 24.5% of all cranial MRI examinations in this age group and was associated with a 41% reduction in CT utilization compared with the corresponding period prior to UF-MRI implementation. Conclusions: In routine clinical practice, UF-MRI provides rapid, clinically sufficient neuroimaging in young children without the need for sedation or exposure to ionizing radiation. Its implementation significantly streamlines imaging workflows, optimizes resources utilization, reduces the need for CT, and supports timely clinical decision-making, underscoring its value as a complementary imaging modality in pediatric neuroimaging. Full article
Show Figures

Figure 1

11 pages, 1471 KB  
Article
PIM1 and PIM3 Kinases Suppress HIV-1 Protein Expression and Particle Production Through Distinct Roles
by Khanh Quoc Tran, Bao Quoc Le, Takaaki Koma, Naoya Doi, Tomoyuki Kondo, Nanako Komoda, Mei Udagawa, Nozomi Okumura, Chisato Gotoda, Mari Nagasaka, Takumi Ichinomiya, Yuma Inamoto, Akio Adachi and Masako Nomaguchi
Pathogens 2026, 15(2), 167; https://doi.org/10.3390/pathogens15020167 - 4 Feb 2026
Viewed by 300
Abstract
PIM kinases (PIM1, PIM2, PIM3) are serine/threonine kinases implicated in infection and reactivation of various viruses, but their roles in HIV-1 gene expression and particle production remain unclear. We examined their impact on HIV-1 and related viruses using co-transfection systems. PIM1 and PIM3, [...] Read more.
PIM kinases (PIM1, PIM2, PIM3) are serine/threonine kinases implicated in infection and reactivation of various viruses, but their roles in HIV-1 gene expression and particle production remain unclear. We examined their impact on HIV-1 and related viruses using co-transfection systems. PIM1 and PIM3, but not PIM2, markedly suppressed HIV-1 virion production without affecting infectivity. This inhibitory effect extended to transmitted/founder HIV-1 clones and SIV, indicating broad activity across lentiviruses. Kinase-dead mutants failed to reduce virion production, confirming the requirement for catalytic activity. Our data suggest that PIM1 and PIM3 act at distinct steps of HIV-1 gene expression: PIM1 reduces transcription, whereas PIM3 acts post-transcriptionally to diminish viral protein expression. Co-expression of PIM1 and PIM3 further enhanced suppression, suggesting complementary functions. Both kinases also inhibited expression from non-LTR promoters, implying involvement of general cellular factors. These findings reveal distinct and cooperative actions of PIM1 and PIM3 in limiting HIV-1 particle production, providing new insights into host kinase-mediated regulation of viral gene expression. Full article
(This article belongs to the Section Viral Pathogens)
Show Figures

Figure 1

27 pages, 658 KB  
Review
Theoretical, Technical, and Analytical Foundations of Task-Based and Resting-State Functional Magnetic Resonance Imaging (fMRI)—A Narrative Review
by Natalia Anna Koc, Maurycy Rakowski, Anna Dębska, Bartosz Szmyd, Agata Zawadzka, Karol Zaczkowski, Małgorzata Podstawka, Dagmara Wilmańska, Adam Dobek, Ludomir Stefańczyk, Dariusz Jan Jaskólski and Karol Wiśniewski
Biomedicines 2026, 14(2), 333; https://doi.org/10.3390/biomedicines14020333 - 31 Jan 2026
Viewed by 339
Abstract
Functional magnetic resonance imaging (fMRI) is a valuable tool for presurgical brain mapping, traditionally implemented with task-based paradigms (tb-fMRI) that measure blood oxygenation level-dependent (BOLD) signal changes during controlled motor or cognitive tasks. Tb-fMRI is a well-established tool for non-invasive localization of cortical [...] Read more.
Functional magnetic resonance imaging (fMRI) is a valuable tool for presurgical brain mapping, traditionally implemented with task-based paradigms (tb-fMRI) that measure blood oxygenation level-dependent (BOLD) signal changes during controlled motor or cognitive tasks. Tb-fMRI is a well-established tool for non-invasive localization of cortical eloquent areas, yet its dependence on patient cooperation and intact cognition limits use in individuals with aphasia, cognitive impairment, or in pediatric and other vulnerable populations. Resting-state fMRI (rs-fMRI) provides a task-free alternative by leveraging spontaneous low-frequency BOLD fluctuations to delineate intrinsic functional networks, including motor and language systems that show good spatial concordance with tb-fMRI and with direct cortical stimulation. This narrative review outlines the methodological foundations of tb-fMRI and rs-fMRI, comparing acquisition protocols, preprocessing and denoising pipelines, analytic approaches, and validation strategies relevant to presurgical planning. Particular emphasis is given to the technical and physiological foundations of BOLD imaging, statistical modeling, and the influence of motion, noise, and standardization on data reliability. Emerging evidence indicates that rs-fMRI can reliably expand mapping to patients with limited task compliance and may serve as a robust complementary modality in complex clinical contexts, though its methodological heterogeneity and absence of unified practice guidelines currently constrain widespread adoption. Future advances in harmonized preprocessing, multicenter validation, and integration with connectomics and machine learning frameworks are likely to be critical for translating rs-fMRI into routine, reliable presurgical workflows. Full article
Show Figures

Figure 1

8 pages, 553 KB  
Communication
Weaving Vectorial Responses: Magnetorheological Fibrous Materials for Programmable Sensing and Actuation
by Yunfei Tang and Jianmin Li
Sensors 2026, 26(3), 865; https://doi.org/10.3390/s26030865 - 28 Jan 2026
Viewed by 182
Abstract
Magnetorheological (MR) materials, with the ability of vectorial response, offer exciting opportunities for next-generation wearables and soft robotic systems. Although some existing MR materials and fiber designs can produce directional responses, they typically rely on strategies—such as hard-magnetic loading or pre-magnetization—that constrain safety [...] Read more.
Magnetorheological (MR) materials, with the ability of vectorial response, offer exciting opportunities for next-generation wearables and soft robotic systems. Although some existing MR materials and fiber designs can produce directional responses, they typically rely on strategies—such as hard-magnetic loading or pre-magnetization—that constrain safety and large-scale manufacturability. This Communication highlights a paradigm-shifting advance reported by Pu et al., that a soft-magnetic fibrous architecture achieves genuine vector-stimuli-responsiveness under low, safe magnetic fields without pre-magnetization. We articulate the great breakthrough of this work through a hierarchical design framework, demonstrating how the synergistic innovation at the material (magnetic dipole aligned in low-density polyethylene), fiber (drawing-induced magnetic easy axis), yarn (twist-induced cooperative effects), and fabric (vertical or horizontal magnetic field response capability) levels collectively resolves the longstanding trade-offs between performance, manufacturability, and safety. As a result, this strategy demonstrates strong universality in terms of materials, although only the carbonyl iron particles were used. This approach not only enables programmable bending, stiffening, shear, and compression in textiles but also establishes a versatile platform for magneto-programmable systems. Furthermore, we delineate the critical challenges and future trajectories—from theoretical modeling and integration of complementary stimuli to the development of three-dimensional textile architectures—that this new platform opens for the fields of haptics, soft robotics, and adaptive wearables. Full article
Show Figures

Figure 1

14 pages, 961 KB  
Article
Enhanced Degradation of Petroleum and Chlorinated Hydrocarbons by a Dual-Bacteria System
by Haochen Zhang, Yibin Yang, Haishan Qi, Juncheng Liu and Xiaoqiang Jia
Toxics 2026, 14(2), 119; https://doi.org/10.3390/toxics14020119 - 27 Jan 2026
Viewed by 251
Abstract
In this study, the gradient pressure enrichment method was first used to screen out an environmental bacterium with the degradation ability of typical petroleum hydrocarbons such as phenanthrene and n-hexadecane, identified as Pseudomonas and named TB-1, from soil samples collected from 9 crude [...] Read more.
In this study, the gradient pressure enrichment method was first used to screen out an environmental bacterium with the degradation ability of typical petroleum hydrocarbons such as phenanthrene and n-hexadecane, identified as Pseudomonas and named TB-1, from soil samples collected from 9 crude oil-contaminated sites; then, enhanced degradation of mixed organic pollutants, including petroleum and chlorinated hydrocarbons which are commonly coexistent, was achieved by a dual-bacteria system, with the addition of a laboratory storage strain Pseudomonas BL5. The degradation rate of phenanthrene and n-hexadecane by the dual-bacteria system was lower compared with the single bacterium Pseudomonas TB-1 under the tested conditions: phenanthrene degradation decreased from 44.2% to 23.1%, and n-hexadecane degradation decreased from 77.9% to 54.7% at a pollutant concentration of 100 mg/L after 7 days of cultivation. In contrast, the degradation ability of the dual-bacteria system against the mixed pollutants composed of petroleum and chlorinated hydrocarbons was good, with a degradation rate of 82.2% for phenanthrene, 89.2% for n-hexadecane, 73.1% for p-chlorobenzene, and 95.7% for dichloroethane with each concentration of 100 mg/L after 7 days. These results indicate that, although the dual-bacteria system does not enhance degradation under single-hydrocarbon conditions, its performance under chemically complex co-contamination suggests a potential cooperative or complementary interaction between the two strains. Such interactions are proposed here as a working hypothesis rather than a confirmed mechanism. Overall, the defined dual-Pseudomonas system shows promising potential for the treatment of environments co-contaminated with petroleum and chlorinated hydrocarbons. Full article
Show Figures

Graphical abstract

22 pages, 2025 KB  
Article
Vision-Based Unmanned Aerial Vehicle Swarm Cooperation and Online Point-Cloud Registration for Global Localization in Global Navigation Satellite System-Intermittent Environments
by Gonzalo Garcia and Azim Eskandarian
Drones 2026, 10(1), 65; https://doi.org/10.3390/drones10010065 - 19 Jan 2026
Viewed by 323
Abstract
Reliable autonomy for drones operating in GNSS-intermittent or denied environments requires both stable inter-vehicle coordination and a shared global understanding of the environment. This paper presents a unified vision-based framework in which UAVs use biologically inspired swarm behaviors together with online monocular point-cloud [...] Read more.
Reliable autonomy for drones operating in GNSS-intermittent or denied environments requires both stable inter-vehicle coordination and a shared global understanding of the environment. This paper presents a unified vision-based framework in which UAVs use biologically inspired swarm behaviors together with online monocular point-cloud registration to achieve real-time global localization. First, we apply a passive-perception strategy, bird-inspired drone swarm-keeping, enabling each UAV to estimate the relative motion and proximity of its neighbors using only monocular visual cues. This decentralized mechanism provides cohesive and collision-free group motion without GNSS, active ranging, or explicit communication. Second, we integrate this capability with a cooperative mapping pipeline in which one or more drones acting as global anchors generate a globally referenced monocular SLAM map. Vehicles lacking global positioning progressively align their locally generated point clouds to this shared global reference using an iterative registration strategy, allowing them to infer consistent global poses online. Other autonomous vehicles optionally contribute complementary viewpoints, but UAVs remain the core autonomous agents driving both mapping and coordination due to their privileged visual perspective. Experimental validation in simulation and indoor testbeds with drones demonstrates that the integrated system maintains swarm cohesion, improves spatial alignment by more than a factor of four over baseline monocular SLAM, and preserves reliable global localization throughout extended GNSS outages. The results highlight a scalable, lightweight, and vision-based approach to resilient UAV autonomy in tunnels, industrial environments, and other GNSS-challenged settings. Full article
Show Figures

Figure 1

Back to TopTop