Cooperation or Non-Cooperation: Examining Impact of Spillover Effect on Community Group Buying Operational Strategy
Abstract
1. Introduction
- What operation strategy can the CGB platform choose to maximize its profit? And what are the factors that influence its decision?
- What prerequisites must be met for the community nanostore to formulate a cooperative alliance with the CGB platform?
- How do strategic interactions between the CGB platform and the community nanostore influence the equilibrium decision and optimal profit for community retail market stakeholders?
2. Literature Review
2.1. Community Group Buying (CGB)
2.2. Competition and Cooperation Between Online and Offline Channels
3. Problem Description and Basic Assumptions
4. Models and Analysis
4.1. Model N
4.2. Model C
4.2.1. Model CA
4.2.2. Model CB
5. Numerical Analysis
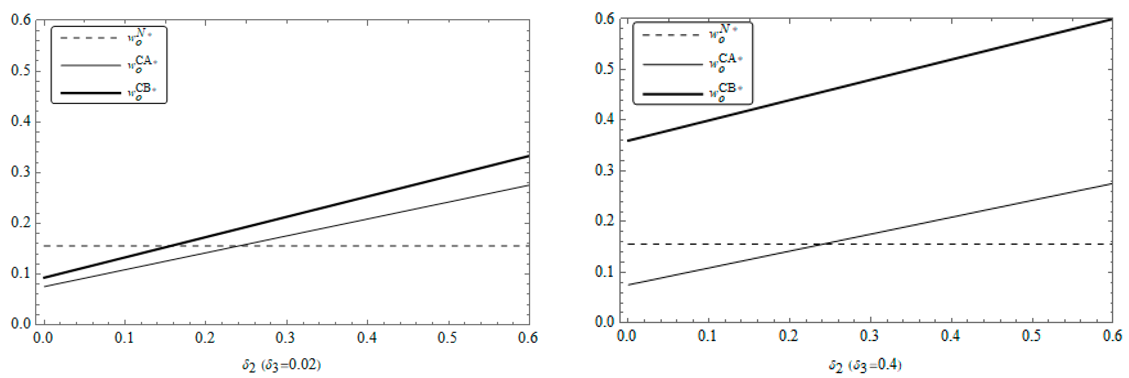
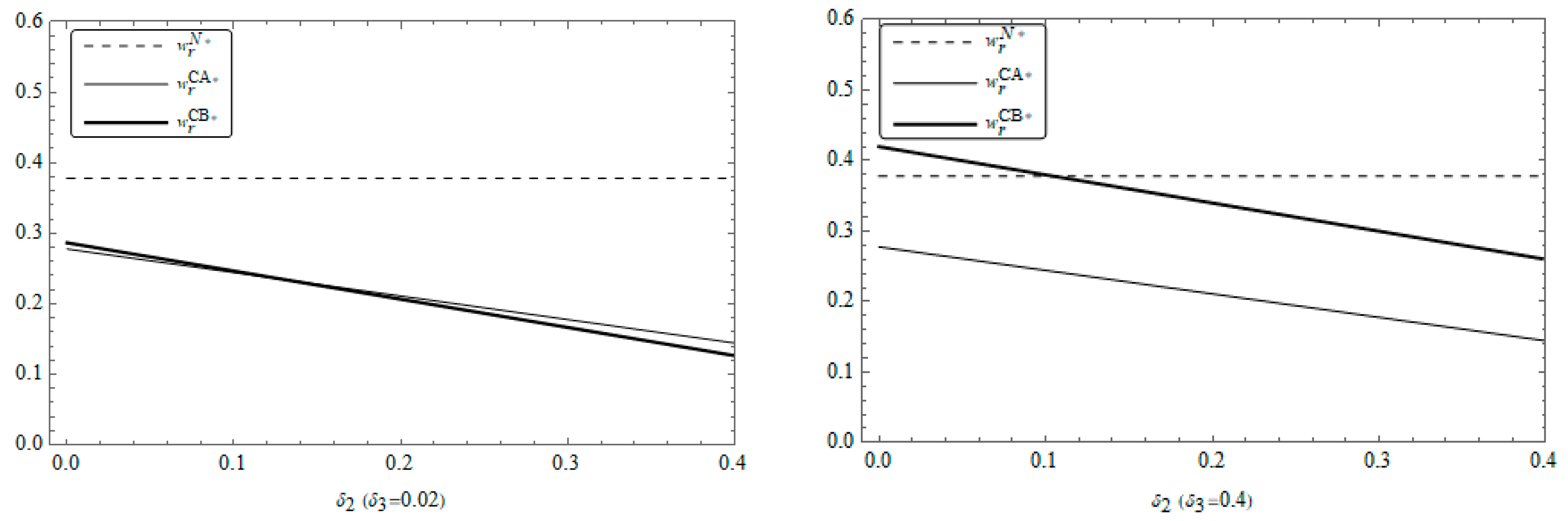
5.1. Comparison of Wholesale Prices for Suppliers in the Community Retail Market
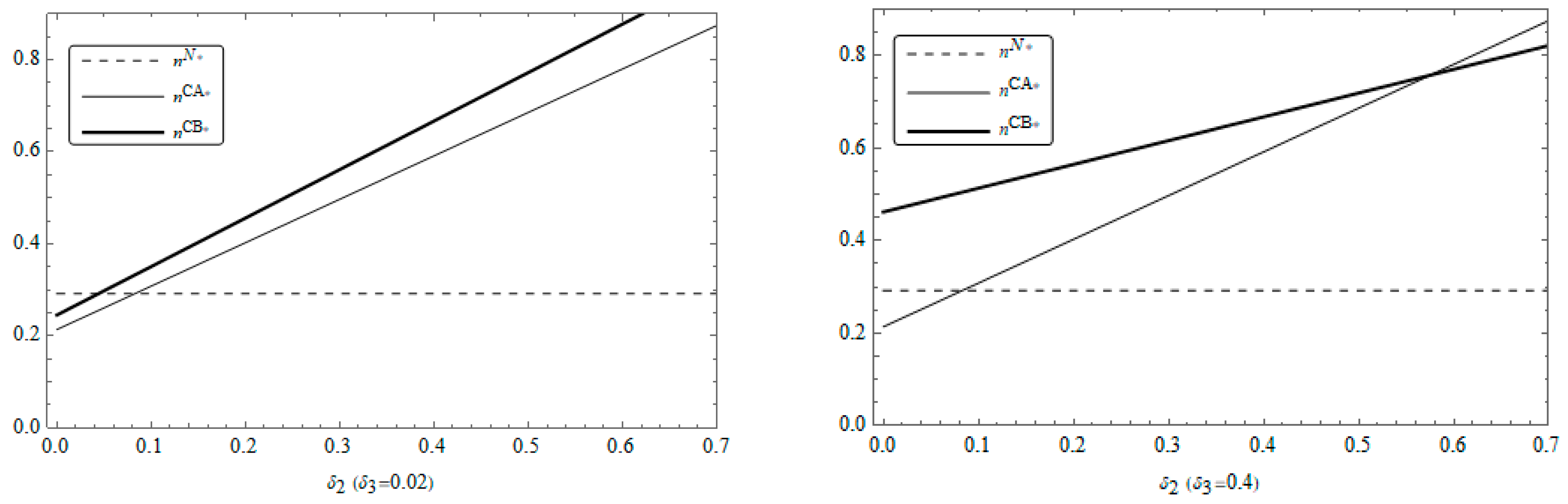
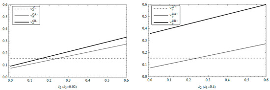
5.2. Comparison of Service Level and Market Share of the Community Nanostore
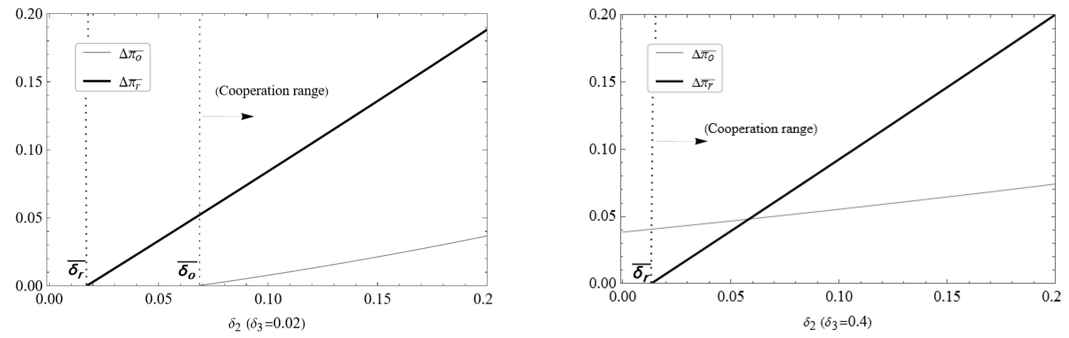
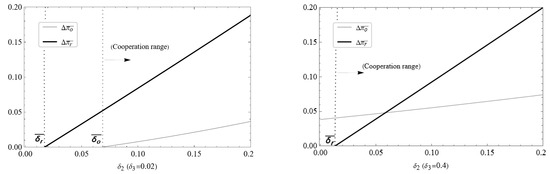
5.3. Comparison of Cooperation Range Between the CGB Platform and the Community Nanostore
6. Conclusions
6.1. Main Conclusions
6.2. Theoretical Contributions
6.3. Management Implications
6.4. Research Limitations
Author Contributions
Funding
Institutional Review Board Statement
Informed Consent Statement
Data Availability Statement
Acknowledgments
Conflicts of Interest
Appendix A
References
- Lan, C.; Yu, X. Revenue Sharing-Commission Coordination Contract for Community Group Buying Supply Chain Considering Promotion Effort. Alex. Eng. J. 2022, 61, 2739–2748. [Google Scholar] [CrossRef]
- Wang, Y.; Song, H. A Game Theoretic Strategic Model for Understanding the Online-Offline Competition and Fairness Concern Under Community Group Buying. J. Ind. Manag. Optim. 2023, 19, 1670–1696. [Google Scholar] [CrossRef]
- Li, C.; Shi, X. Optimisation of Multi-Level Logistics Network for Agricultural Products under Community Group Buying Model. Int. J. Syst. Sci. Oper. Logist. 2023, 10, 2276414. [Google Scholar] [CrossRef]
- Lu, S.; Ahn, J. The Impacts of Relational Benefits on the Behavior of Customers in Online Community-Based Group Buying. Total Qual. Manag. Bus. Excell. 2025, 36, 553–571. [Google Scholar] [CrossRef]
- China Fresh E-commerce & Community Group Purchase Market Data Report of 2023. Available online: https://www.100ec.cn/zt/2023sxsqscbg/ (accessed on 5 February 2025).
- 2025 Community Chain Industry Market Research and Analysis: Comprehensive Insights into Community Chain Development Trends. Available online: https://www.chinairn.com/news/20250328/142620881.shtml (accessed on 23 May 2025).
- The Development Trend, Growth, Scale and Share of the Group-Buying Market in Uruguay. Available online: https://www.zcqtz.com/news/2935294.html (accessed on 3 May 2025).
- Community Group Buying Market Size, Growth, Market Overview and Forecasts. Available online: https://www.verifiedmarketreports.com/zh/product/community-group-buying-market/ (accessed on 3 May 2025).
- Sun, S.; Zhang, B. Operation Strategies for Nanostore in Community Group Buying. Omega 2022, 110, 102636. [Google Scholar] [CrossRef]
- Ge, J.; Honhon, D.; Fransoo, J.C.; Zhao, L. Manufacturer Competition in the Nanostore Retail Channel. Eur. J. Oper. Res. 2020, 286, 360–374. [Google Scholar] [CrossRef]
- Liu, L.; Yan, Y.; Tian, X.; Jiang, Z. Impact of Text and Image Information on Community Group Buying Performance: Empirical Evidence from Convenience Chain Stores. Sustainability 2024, 16, 4344. [Google Scholar] [CrossRef]
- Tian, X.; Jiang, H.; Zhao, X. Product Assortment and Online Sales in Community Group-Buying Channel: Evidence from a Convenience Store Chain. J. Retail. Consum. Serv. 2024, 79, 103838. [Google Scholar] [CrossRef]
- Yu, B.; Shan, W.; Sheu, J.-B.; Diabat, A. Branch-and-Price for a Combined Order Selection and Distribution Problem in Online Community Group-Buying of Perishable Products. Transp. Res. B Methodol. 2022, 158, 341–373. [Google Scholar] [CrossRef]
- Liu, Z.; Niu, Y.; Guo, C.; Jia, S. A Vehicle Routing Optimization Model for Community Group Buying Considering Carbon Emissions and Total Distribution Costs. Energies 2023, 16, 931. [Google Scholar] [CrossRef]
- Hongsuchon, T.; Li, J. Accessing the Influence of Consumer Participation on Purchase Intention Toward Community Group Buying Platform. Front. Psychol. 2022, 13, 887959. [Google Scholar] [CrossRef] [PubMed]
- Guan, Z.; Shi, X.; Ying, H.; Xue, R.; Qiao, X. An Empirical Study on Traditional Offline Retailer’s Switching Intention towards Community-Based Group Buying Program: A Push-Pull-Mooring Model. Electron. Mark. 2024, 34, 18. [Google Scholar] [CrossRef]
- Shu, L.; Li, X.; Liang, X. Optimal Strategies for Nanostores under Competition in Community Group Buying. Kybernetes 2023, 53, 2723–2748. [Google Scholar] [CrossRef]
- Zhang, N.; Yu, L.; Liu, K.; Ye, Z.; Jia, M. “Store Strategy”: A New Omni-Channel Strategy in Community Group Buying. Manag. Decis. Econ. 2024, 46, 1358–1372. [Google Scholar] [CrossRef]
- Dong, S.; Qin, Z.; Yan, Y. Effects of Online-to-Offline Spillovers on Pricing and Quality Strategies of Competing Firms. Int. J. Prod. Econ. 2022, 244, 108376. [Google Scholar] [CrossRef]
- Yang, W.; Govindan, K.; Zhang, J. Spillover Effects of Live Streaming Selling in a Dual-Channel Supply Chain. Transp. Res. E Logist. Transp. Rev. 2023, 180, 103298. [Google Scholar] [CrossRef]
- Wang, K.; Lin, J.; Liu, G.; Liu, Q. Strategic Introduction of Logistics Retail and Finance under Competition and Channel Spillover. Transp. Res. E Logist. Transp. Rev. 2022, 165, 102863. [Google Scholar] [CrossRef]
- Zhen, X.; Xu, S.; Li, Y.; Shi, D. When and How Should a Retailer Use Third-Party Platform Channels? The Impact of Spillover Effects. Eur. J. Oper. Res. 2022, 301, 624–637. [Google Scholar] [CrossRef]
- Han, K.; Chang, Y.B.; Hahn, J. Information Technology Spillover and Productivity: The Role of Information Technology Intensity and Competition. J. Manag. Inf. Syst. 2011, 28, 115–146. [Google Scholar] [CrossRef]
- Wu, X.; Zhang, F.; Zhou, Y. Brand Spillover as a Marketing Strategy. Manag. Sci. 2022, 68, 5348–5363. [Google Scholar] [CrossRef]
- Yan, R.; Pei, Z. The Strategic Value of Cooperative Advertising in the Dual-Channel Competition. Int. J. Electron. Commer. 2015, 19, 118–143. [Google Scholar] [CrossRef]
- Liu, W.; Liang, Y.; Tang, O.; Ma, X. Channel Competition and Collaboration in the Presence of Hybrid. Transp. Res. E Logist. Transp. Rev. 2022, 160, 102658. [Google Scholar] [CrossRef]
- Song, H.; Wang, R.; Tang, Y. Competition or Cooperation: Strategy Analysis for a Social Commerce Platform. Eur. J. Oper. Res. 2024, 318, 560–574. [Google Scholar] [CrossRef]
- Wang, R.; Nan, G.; Kou, G.; Li, M. Separation or Integration: The Game between Retailers with Online and Offline Channels. Eur. J. Oper. Res. 2023, 307, 1348–1359. [Google Scholar] [CrossRef]
- Yu, J.; Ren, Y.; Zhou, C. Strategic Interactions in Omnichannel Retailing: Analyzing Brand Competition and Optimal Strategy Selection. J. Theor. Appl. Electron. Commer. Res. 2024, 19, 2557–2581. [Google Scholar] [CrossRef]
- Song, W.; Yuan, S.; Yang, Y.; He, C. A Study of Community Group Purchasing Vehicle Routing Problems Considering Service Time Windows. Sustainability 2022, 14, 6968. [Google Scholar] [CrossRef]
- Xu, S.; Ou, X.; Govindan, K.; Chen, M.; Yang, W. An Adaptive Genetic Hyper-Heuristic Algorithm for a Two-Echelon Vehicle Routing Problem with Dual-Customer Satisfaction in Community Group-Buying. Transp. Res. E Logist. Transp. Rev. 2025, 194, 103874. [Google Scholar] [CrossRef]
- Xu, X.; Hu, Z. Effect of Introducing Virtual Community and Community Group Buying on Customer’s Perceived Value and Loyalty Behavior: A Convenience Store-Based Perspective. Front. Psychol. 2022, 13, 989463. [Google Scholar] [CrossRef]
- David, A.; Adida, E. Competition and Coordination in a Two-Channel Supply Chain. Prod. Oper. Manag. 2015, 24, 1358–1370. [Google Scholar] [CrossRef]
- Lei, B.; Li, G.; Cheng, T.C.E. Friend or Foe? Examining Local Service Sharing between Offline Stores and e-Tailers. Omega 2024, 123, 102988. [Google Scholar] [CrossRef]
- Li, J.; Konus, U.; Langerak, F.; Weggeman, M.C.D.P. Customer Channel Migration and Firm Choice: The Effects of Cross-Channel Competition. Int. J. Electron. Commer. 2017, 21, 8–42. [Google Scholar] [CrossRef][Green Version]
- Tang, Y.; Sethi, S.P.; Wang, Y. Games of Supplier Encroachment Channel Selection and E-tailer’s Information Sharing. Prod. Oper. Manag. 2023, 32, 3650–3664. [Google Scholar] [CrossRef]
- Zhang, Y.; Hezarkhani, B. Competition in Dual-Channel Supply Chains: The Manufacturers’ Channel Selection. Eur. J. Oper. Res. 2021, 291, 244–262. [Google Scholar] [CrossRef]
- Sun, S.; Liu, T. Pricing and Sales-Effort Coordination Facing Free Riding Behaviors between a Brick-and-Mortar Retailer and a Platform Store Owned by the Manufacturer. Transp. Res. E Logist. Transp. Rev. 2023, 179, 103285. [Google Scholar] [CrossRef]
- Liu, C.; Dan, B.; Zhang, X.; Zhang, H. Composite Contracts for Dual-Channel Supply Chain Coordination with the Existence of Service Free Riding. J. Theor. Appl. Electron. Commer. Res. 2022, 17, 789–808. [Google Scholar] [CrossRef]
- Li, Y.; Chu, M.; Bai, X. To Fight or Not? Product Introduction and Channel Selection in the Presence of a Platform’s Private Label. Transp. Res. E Logist. Transp. Rev. 2024, 181, 103373. [Google Scholar] [CrossRef]
- Kim, J.-C.; Chun, S.-H. Cannibalization and Competition Effects on a Manufacturer’s Retail Channel Strategies: Implications on an Omni-Channel Business Model. Decis. Support Syst. 2018, 109, 5–14. [Google Scholar] [CrossRef]
- Tang, P.; Chen, J.; Raghunathan, S. Physical Stores as Warehouses for Online Channels: Implications for Channel Choices Under Competition. Inf. Syst. Res. 2023, 34, 1554–1581. [Google Scholar] [CrossRef]
- Fan, T.; Wang, L.; Song, Y. Impact of Live Commerce Spillover Effect on Supply Chain Decisions. Ind. Manag. Data Syst. 2022, 122, 1109–1127. [Google Scholar] [CrossRef]
- Niu, B.; Yu, X.; Li, Q.; Wang, Y. Gains and Losses of Key Opinion Leaders’ Product Promotion in Livestream E-Commerce. Omega 2023, 117, 102846. [Google Scholar] [CrossRef]
- Liu, J. Quality-Differentiated Distribution Strategies between Live Streaming and Online Channels. J. Retail. Consum. Serv. 2025, 82, 104056. [Google Scholar] [CrossRef]
- Hu, B.; Mai, Y.; Pekeč, S. Managing Innovation Spillover in Outsourcing. Prod. Oper. Manag. 2020, 29, 2252–2267. [Google Scholar] [CrossRef]
- Song, W.; Chen, J.; Li, W. Spillover Effect of Consumer Awareness on Third Parties’ Selling Strategies and Retailers’ Platform Openness. Inf. Syst. Res. 2021, 32, 172–193. [Google Scholar] [CrossRef]
- Wu, H.; Li, G.; Zheng, H.; Zhang, X. Contingent Channel Strategies for Combating Brand Spillover in a Co-Opetitive Supply Chain. Transp. Res. E Logist. Transp. Rev. 2022, 164, 102830. [Google Scholar] [CrossRef]
- Chen, L. Analysis of Online Platforms’ Free Trial Strategies for Digital Content Subscription. J. Theor. Appl. Electron. Commer. Res. 2023, 18, 2107–2124. [Google Scholar] [CrossRef]
- Huang, L. Channel Strategies for Competing Retailers: Whether and When to Introduce Live Stream? Eur. J. Oper. Res. 2024, 312, 413–426. [Google Scholar] [CrossRef]
- Wang, X.; Han, X.; Chen, Y. Optimal Manufacturer Strategy for Live-Stream Selling and Product Quality. Electron. Commer. Res. Appl. 2024, 64, 101372. [Google Scholar] [CrossRef]
- Xie, J.; Zhu, W.; Wei, L.; Liang, L. Platform Competition with Partial Multi-Homing: When Both Same-Side and Cross-Side Network Effects Exist. Int. J. Prod. Econ. 2021, 233, 108016. [Google Scholar] [CrossRef]
- Li, G.; Li, L.; Sun, J. Pricing and Service Effort Strategy in a Dual-Channel Supply Chain with Showrooming Effect. Transp. Res. E Logist. Transp. Rev. 2019, 126, 32–48. [Google Scholar] [CrossRef]
- Qin, X.; Liu, Z.; Tian, L. The Strategic Analysis of Logistics Service Sharing in an E-Commerce Platform. Omega 2020, 92, 102153. [Google Scholar] [CrossRef]
- Zhang, T.; Choi, T.-M.; Cheng, T.-C. Competitive Pricing and Product Strategies in the Presence of Consumers’ Social Comparisons. Eur. J. Oper. Res. 2024, 312, 573–586. [Google Scholar] [CrossRef]
- The Decline of Group Leaders: Plummeting Commissions and the Phase-Out of Leaders in Community Group Buying. Available online: https://news.qq.com/rain/a/20221017A08FUH00 (accessed on 7 February 2025).
- Gao, F.; Agrawal, V.V.; Cui, S. The Effect of Multichannel and Omnichannel Retailing on Physical Stores. Manag. Sci. 2022, 68, 809–826. [Google Scholar] [CrossRef]
- Nageswaran, L.; Cho, S.-H.; Scheller-Wolf, A. Consumer Return Policies in Omnichannel Operations. Manag. Sci. 2020, 66, 5558–5575. [Google Scholar] [CrossRef]
- Yang, L.; Li, X.; Xia, Y.; Aneja, Y.P. Returns Operations in Omnichannel Retailing with Buy-Online-and-Return-to-Store. Omega 2023, 119, 102874. [Google Scholar] [CrossRef]
- Yan, S.; Archibald, T.W.; Han, X.; Bian, Y. Whether to Adopt “Buy Online and Return to Store” Strategy in a Competitive Market? Eur. J. Oper. Res. 2022, 301, 974–986. [Google Scholar] [CrossRef]
- Xia, J.; Niu, W. Adding Clicks to Bricks: An Analysis of Supplier Encroachment under Service Spillovers. Electron. Commer. Res. Appl. 2019, 37, 100876. [Google Scholar] [CrossRef]
- Xue, M.; Zhang, J.; Zhu, G. Quantity Decision Timing with Spillover Effect and Asymmetric Demand Information. Transp. Res. E Logist. Transp. Rev. 2020, 142, 102048. [Google Scholar] [CrossRef]






| Literature | CGB | Channel Interaction | Spillover Effect | ||
|---|---|---|---|---|---|
| Competition | Cooperation | Unidirectional | Bidirectional | ||
| [12,13,15] | ✓ | ||||
| [2] | ✓ | ✓ | |||
| [9,17,18] | ✓ | ✓ | ✓ | ||
| [37] | ✓ | ||||
| [23,24,47] | ✓ | ✓ | |||
| [21,29] | ✓ | ✓ | ✓ | ||
| [26,45] | ✓ | ✓ | |||
| This paper | ✓ | ✓ | ✓ | ✓ | |
| Symbols | Meanings |
|---|---|
| Identifiers of retailers (: the CGB platform; : the community nanostore) | |
| : supplier of : supplier of ) | |
| Basic utility obtained by community residents through purchasing unit goods | |
| The retail price of the retailer | |
| Wholesale price set by supplier | |
| The service level of the community nanostore | |
| ↗ | ↘ | ↗ | ↗ | ↗ | ↗ | ↘ |
| Type of Pick-Up Points | Key Features | Advantages | Disadvantages |
|---|---|---|---|
| Community Nanostores | Leverage existing stores for pick-up |
|
|
| Express Delivery Hubs | Integrated with courier stations (e.g., Cainiao) |
|
|
| Property Management Centers | Managed by property staff and pick-up in designated areas |
|
|
| Community Households (Consumer End) | Operated by group leaders at home |
|
|
| Community Merchants (Business End) | Partnered with local businesses (e.g., restaurants, pharmacies) |
|
|
| Smart Lockers | Unattended lockers and QR code or app-based access |
|
|
| ↗ | ↗ | ↗ | ||||
| ↘ | ↘ | ↘ | ↘ | ↘() |
| ↗ | ↘ | ↗ | ↘ | ↗ | ↗ | ↘ | ↗ | ↘ | ↗() |
| ↗ | ↗ | ↗ | ||||||||
| ↗ | ↘ | ↗ | ↗ | ↘ | ↗ | ↗ | ↗ | ↘ | ↗() |
| ↗ | ↗ | ↗ | ||||
| ↗() | ↗() | ↗() |
Disclaimer/Publisher’s Note: The statements, opinions and data contained in all publications are solely those of the individual author(s) and contributor(s) and not of MDPI and/or the editor(s). MDPI and/or the editor(s) disclaim responsibility for any injury to people or property resulting from any ideas, methods, instructions or products referred to in the content. |
© 2025 by the authors. Licensee MDPI, Basel, Switzerland. This article is an open access article distributed under the terms and conditions of the Creative Commons Attribution (CC BY) license (https://creativecommons.org/licenses/by/4.0/).
Share and Cite
Zheng, J.; Wang, Y.; Chen, Y.; Wen, Y. Cooperation or Non-Cooperation: Examining Impact of Spillover Effect on Community Group Buying Operational Strategy. J. Theor. Appl. Electron. Commer. Res. 2025, 20, 140. https://doi.org/10.3390/jtaer20020140
Zheng J, Wang Y, Chen Y, Wen Y. Cooperation or Non-Cooperation: Examining Impact of Spillover Effect on Community Group Buying Operational Strategy. Journal of Theoretical and Applied Electronic Commerce Research. 2025; 20(2):140. https://doi.org/10.3390/jtaer20020140
Chicago/Turabian StyleZheng, Jing, Yong Wang, Yue Chen, and Yue Wen. 2025. "Cooperation or Non-Cooperation: Examining Impact of Spillover Effect on Community Group Buying Operational Strategy" Journal of Theoretical and Applied Electronic Commerce Research 20, no. 2: 140. https://doi.org/10.3390/jtaer20020140
APA StyleZheng, J., Wang, Y., Chen, Y., & Wen, Y. (2025). Cooperation or Non-Cooperation: Examining Impact of Spillover Effect on Community Group Buying Operational Strategy. Journal of Theoretical and Applied Electronic Commerce Research, 20(2), 140. https://doi.org/10.3390/jtaer20020140
