Sign in to use this feature.

Years

Between: -

Subjects

remove_circle_outline
remove_circle_outline
remove_circle_outline
remove_circle_outline
remove_circle_outline
remove_circle_outline
remove_circle_outline
remove_circle_outline
remove_circle_outline

Journals

remove_circle_outline
remove_circle_outline
remove_circle_outline
remove_circle_outline
remove_circle_outline
remove_circle_outline
remove_circle_outline
remove_circle_outline
remove_circle_outline
remove_circle_outline
remove_circle_outline
remove_circle_outline
remove_circle_outline
remove_circle_outline
remove_circle_outline
remove_circle_outline
remove_circle_outline
remove_circle_outline
remove_circle_outline
remove_circle_outline
remove_circle_outline
remove_circle_outline
remove_circle_outline
remove_circle_outline
remove_circle_outline
remove_circle_outline
remove_circle_outline
remove_circle_outline
remove_circle_outline
remove_circle_outline
remove_circle_outline
remove_circle_outline
remove_circle_outline
remove_circle_outline
remove_circle_outline
remove_circle_outline
remove_circle_outline

Article Types

Countries / Regions

remove_circle_outline
remove_circle_outline
remove_circle_outline
remove_circle_outline
remove_circle_outline
remove_circle_outline
remove_circle_outline

Search Results (3,018)

Search Parameters:
Keywords = compatible model

Order results
Result details
Results per page
Select all
Export citation of selected articles as:
34 pages, 2571 KB  
Review
Nondestructive Quality Detection of Characteristic Fruits Based on Vis/NIR Spectroscopy: Principles, Systems, and Applications
by Chen Wang, Xiaonan Li, Zijuan Zhang, Xuan Luo, Jianrong Cai and Aichen Wang
Agriculture 2025, 15(20), 2167; https://doi.org/10.3390/agriculture15202167 (registering DOI) - 18 Oct 2025
Abstract
Nondestructive quality detection of characteristic fruits is essential for ensuring nutritional value, economic viability, and consumer safety in global supply chains, yet traditional destructive methods compromise sample integrity and scalability. Visible and near-infrared (Vis/NIR) spectroscopy offers a transformative solution by enabling rapid, non-invasive [...] Read more.
Nondestructive quality detection of characteristic fruits is essential for ensuring nutritional value, economic viability, and consumer safety in global supply chains, yet traditional destructive methods compromise sample integrity and scalability. Visible and near-infrared (Vis/NIR) spectroscopy offers a transformative solution by enabling rapid, non-invasive multi-attribute quantification through molecular overtone vibrations. This review examines recent advancements in Vis/NIR-based fruit quality detection, encompassing fundamental principles, system configurations, and detection strategies calibrated to fruit biophysical properties. Firstly, optical mechanisms and system architectures (portable, online, vehicle-mounted) are compared, emphasizing their compatibility with fruit structural complexity. Then, critical challenges arising from fruit-specific characteristics—such as rind thickness, pit interference, and spatial heterogeneity—are analyzed, highlighting their impact on spectral accuracy. Applications across diverse fruit categories (pitted, thin-rinded, and thick-rinded) are systematically reviewed, with case studies demonstrating the robust prediction of key quality indices. Subsequently, considerations in model development and validation are presented. Finally, persistent limitations in model transferability and environmental adaptability are discussed, proposing future research directions centered on integrating hyperspectral imaging, AI-driven calibration transfer, standardized spectral databases, and miniaturized, field-deployable sensors. Collectively, these methodological breakthroughs will pave the way for autonomous, next-generation quality assessment platforms, revolutionizing postharvest management for characteristic fruits. Full article
21 pages, 2677 KB  
Article
Compatibility of a Competition Model for Explaining Eye Fixation Durations During Free Viewing
by Carlos M. Gómez, María A. Altahona-Medina, Gabriela Barrera and Elena I. Rodriguez-Martínez
Entropy 2025, 27(10), 1079; https://doi.org/10.3390/e27101079 (registering DOI) - 18 Oct 2025
Abstract
Inter-saccadic times or eye fixation durations (EFDs) are relatively stable at around 250 ms, equivalent to four saccades per second. However, the mean and standard deviation are not sufficient to describe the frequency histogram distribution of EFD. The exGaussian has been proposed for [...] Read more.
Inter-saccadic times or eye fixation durations (EFDs) are relatively stable at around 250 ms, equivalent to four saccades per second. However, the mean and standard deviation are not sufficient to describe the frequency histogram distribution of EFD. The exGaussian has been proposed for fitting the EFD histograms. The present report tries to adjust a competition model (C model) between the saccadic and the fixation network to the EFD histograms. This model is at a rather conceptual level (computational level in Marr’s classification). Both models were adjusted to EFD from an open database with data of 179,473 eye fixations. The C model showed to be able, along with exGaussian model, to be compatible with explaining the EFD distributions. The two parameters of the C model can be ascribed to (i) a refractory period for new saccades modeled by a sigmoid equation (A parameter), while (ii) the ps parameter would be related to the continuous competition between the saccadic network related to the saliency map and the eye fixation network, and would be modeled through a geometric probability density function. The model suggests that competition between neural networks would be an organizational property of brain neural networks to facilitate the decision process for action and perception. In the visual scene scanning, the C model dynamic justifies the early post-saccadic stability of the foveated image, and the subsequent exploration of a broad space in the observed image. The code to extract the data and to run the model is added in the Supplementary Materials. Additionally, entropy of EFD is reported. Full article
(This article belongs to the Special Issue Dynamics in Biological and Social Networks)
Show Figures

Figure 1

17 pages, 340 KB  
Article
O-Regular Mappings on C(C): A Structured Operator–Theoretic Framework
by Ji Eun Kim
Mathematics 2025, 13(20), 3328; https://doi.org/10.3390/math13203328 (registering DOI) - 18 Oct 2025
Abstract
Motivation. Analytic function theory on commutative complex extensions calls for an operator–theoretic calculus that simultaneously sees the algebra-induced coupling among components and supports boundary-to-interior mechanisms. Gap. While Dirac-type frameworks are classical in several complex variables and Clifford analysis, a coherent calculus aligning structural [...] Read more.
Motivation. Analytic function theory on commutative complex extensions calls for an operator–theoretic calculus that simultaneously sees the algebra-induced coupling among components and supports boundary-to-interior mechanisms. Gap. While Dirac-type frameworks are classical in several complex variables and Clifford analysis, a coherent calculus aligning structural CR systems, a canonical first derivative, and a Cauchy-type boundary identity on the commutative model C(C)C4 has not been systematically developed. Purpose and Aims. This paper develops such a calculus for O-regular mappings on C(C) and establishes three pillars of the theory. Main Results. (i) A fully coupled Cauchy–Riemann system characterizing O-regularity; (ii) identification of a canonical first derivative g(z)=x0g(z); and (iii) a Stokes-driven boundary annihilation law Ωτg=0 for a canonical 7-form τ. On (pseudo)convex domains, ¯-methods yield solvability under natural compatibility and regularity assumptions. Stability (under algebra-preserving maps), Liouville-type, and removability results are also obtained, and function spaces suited to this algebra are outlined. Significance. The results show that a large portion of the classical holomorphic toolkit survives, in algebra-aware form, on C(C). Full article
Show Figures

Figure 1

20 pages, 3659 KB  
Article
Metabolites Fingerprinting Variations and Chemotaxonomy of Related South African Hypoxis Species
by Kokoette Bassey
Diversity 2025, 17(10), 729; https://doi.org/10.3390/d17100729 - 17 Oct 2025
Abstract
Hypoxis hemerocallidea (Hypoxidaece) is thoroughly researched and well documented for its plethora of anecdotal and scientifically backed pharmacological potentials. Its anecdotal uses and pharmacological activities are attributed to its extract’s inherent bioactive compounds like hypoxoside, rooperol, and β-sitosterol. This study aimed at conducting [...] Read more.
Hypoxis hemerocallidea (Hypoxidaece) is thoroughly researched and well documented for its plethora of anecdotal and scientifically backed pharmacological potentials. Its anecdotal uses and pharmacological activities are attributed to its extract’s inherent bioactive compounds like hypoxoside, rooperol, and β-sitosterol. This study aimed at conducting a targeted and holistic phytochemical profiling of variations in Hypoxis hemerocallidea (H. hemerocallidea) and related species. The chemotaxonomic classifications of H. hemerocallidea and seven other related species were also carried out to avert the possibility of over harvesting H. hemerocallidea and the encouragement of species inter-change. The plant extracts were analysed with reverse phase ultra-pure liquid chromatography quadrupole time-of-flight mass spectrometry and gas chromatography, as well as high-performance thin-layer chromatography. The generated chromatographic data were made compatible for chemometric computation using Principal Component Analysis (PCA) and Orthogonal Partial Least Squares Discriminant Analysis (OPLS-DA) models. The results obtained unveil orcinol glycoside, curculigoside C, hypoxoside, dehydroxyhypoxoside, bisdehydroxy hypoxoside, hemerocalloside, galpinoside, cholchicoside, geraniol glycoside, β-sitosterol, oleic acid, and 2-hydroxyethyl linoleate as target phytochemicals that define the profiles of the Hypoxis species. In addition, three distinct chemotypes defined by hemerocalloside, galpinoside, and colchicoside, respectively, were observed, as well as holistic variations in all secondary metabolites. Due to similarities in the phytochemical constituents of selected species, species inter-change seems imminent if further research confirms the findings of this study. Full article
(This article belongs to the Section Chemical Diversity and Chemical Ecology)
Show Figures

Figure 1

19 pages, 3096 KB  
Article
Preliminary Assessment of Mycobiome at Former Quarry Site That Hosts a Diverse and Abundant Orchid Population
by Viswambharan Sarasan, Dean Williams and Zoe Ringwood
Microorganisms 2025, 13(10), 2390; https://doi.org/10.3390/microorganisms13102390 - 17 Oct 2025
Abstract
Former quarries offer unique opportunities for biodiversity restoration, yet their potential for orchid meadow creation remains underexplored. This study screened soils to study whether these habitats harbour key orchid-compatible fungi essential for orchid colonisation. We conducted comparative analyses of fungal community composition across [...] Read more.
Former quarries offer unique opportunities for biodiversity restoration, yet their potential for orchid meadow creation remains underexplored. This study screened soils to study whether these habitats harbour key orchid-compatible fungi essential for orchid colonisation. We conducted comparative analyses of fungal community composition across restored quarry sites using alpha and beta diversity metrics, NMDS ordinations, and regression models linking orchid abundance with fungal diversity. Using soil metabarcoding across four restored sites, the results showed that orchid abundance strongly correlated with fungal diversity, including mycorrhizal families such as Sebacinaceae and Thelephoraceae. The gorge-based site supported the highest orchid density and richest fungal assemblage. These findings demonstrate that former quarries can sustain the fungal networks required for orchid recruitment, providing a foundation for large-scale restoration strategies. Association analysis revealed that orchid abundance, though on a limited scale, is a strong predictor of fungal diversity, indicating that denser orchid populations support richer fungal communities. Despite its limited scale, this study demonstrates that former quarries can provide both the physical conditions and the fungal networks necessary for orchid establishment, offering a practical model for restoring orchid-rich meadows and enhancing biodiversity in former quarries. Full article
(This article belongs to the Section Plant Microbe Interactions)
24 pages, 26149 KB  
Article
An Open-Source 3D Bioprinter Using Direct Light Processing for Tissue Engineering Applications
by Daniel Sanchez-Garcia, Anuar Giménez-El-Amrani, Armando Gonzalez-Muñoz and Andres Sanz-Garcia
Inventions 2025, 10(5), 92; https://doi.org/10.3390/inventions10050092 - 17 Oct 2025
Abstract
The demand for organ transplantation continues to rise worldwide, intensifying the gap between supply and demand and driving research in tissue engineering (TE). Bioprinting, particularly light-based vat photopolymerization (VP) methods such as digital light processing (DLP), has emerged as a promising strategy to [...] Read more.
The demand for organ transplantation continues to rise worldwide, intensifying the gap between supply and demand and driving research in tissue engineering (TE). Bioprinting, particularly light-based vat photopolymerization (VP) methods such as digital light processing (DLP), has emerged as a promising strategy to fabricate complex, cell-compatible tissue constructs with high precision. In this study, we developed an open-source, bottom-up DLP bioprinter designed to provide a cost-effective and modular alternative to commercial systems. The device was built from commercially available components and custom-fabricated parts, with tolerance allocation and deviation analyses applied to ensure structural reliability. Mechanical and optical subsystems were modeled and validated, and the control architecture was implemented on the Arduino platform with a custom Python-based graphical interface. The system achieved a theoretical Z-axis resolution of 1 μm and a vertical travel range of 50 mm, with accuracy and repeatability comparable to research-grade bioprinters. Initial printing trials using polyethylene glycol diacrylate (PEGDA) hydrogels demonstrated high-fidelity microfluidic constructs with adequate dimensional precision. Collectively, these results validate the functionality of the proposed system and highlight its potential as a flexible, precise, and cost-effective platform that is also easy to customize to advance the democratization of biofabrication in TE. Full article
(This article belongs to the Section Inventions and Innovation in Advanced Manufacturing)
14 pages, 2098 KB  
Article
Can Pulsed Electric Fields Be an Alternative for Disinfection in Endodontic Treatment?
by Zeliha Ugur Aydın, Demet Erdönmez and Gulsun Akdemir Evrendilek
Appl. Sci. 2025, 15(20), 11133; https://doi.org/10.3390/app152011133 - 17 Oct 2025
Viewed by 27
Abstract
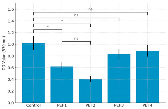
Persistent Enterococcus faecalis infections represent a major cause of endodontic treatment failure, highlighting the need for innovative disinfection strategies beyond conventional irrigation. This in vitro study evaluated the antimicrobial potential of pulsed electric fields (PEF) as a non-thermal and non-chemical adjunctive method for [...] Read more.
Persistent Enterococcus faecalis infections represent a major cause of endodontic treatment failure, highlighting the need for innovative disinfection strategies beyond conventional irrigation. This in vitro study evaluated the antimicrobial potential of pulsed electric fields (PEF) as a non-thermal and non-chemical adjunctive method for root canal disinfection. Fifty-two extracted mandibular premolars with single canals were standardized to 16 ± 0.1 mm, inoculated with E. faecalis, and incubated for 28 days to establish mature biofilms. The teeth were subsequently exposed to PEF under varying electrical parameters using sterile water as the irrigant, and bacterial viability and metabolic activity were assessed post-treatment. Confocal laser scanning microscopy (CLSM) was performed to visualize bacterial distribution within dentinal tubules, with particular attention to the apical region, which is most resistant to disinfection. PEF application significantly reduced bacterial viability and metabolic activity compared with baseline (p < 0.05), although complete elimination was not achieved. CLSM images revealed both red-stained non-viable cells, reflecting irreversible electroporation, and green-stained viable cells, indicating reversible electroporation and residual bacterial survival. These findings demonstrate that PEF can inactivate microorganisms through electroporation while maintaining tissue compatibility, and its antimicrobial effect may be enhanced when combined with sodium hypochlorite. Optimization of electrical parameters and evaluation in polymicrobial biofilm models are warranted to establish clinical relevance and support translation into practice. Full article
(This article belongs to the Section Applied Dentistry and Oral Sciences)
Show Figures

Graphical abstract

22 pages, 6448 KB  
Article
The Design and Application of a Digital Portable Acoustic Teaching System
by Xiuquan Li, Guochao Tu, Qingzhao Kong, Lin Chen, Xin Zhang and Ruiyan Wang
Buildings 2025, 15(20), 3736; https://doi.org/10.3390/buildings15203736 - 17 Oct 2025
Viewed by 139
Abstract
To address the limitations of traditional acoustic experimental equipment, such as large volume, discrete modules, and complex operation, this paper proposes and implements a set of digital portable acoustic teaching systems. The hardware component is based on an FPGA, enabling a highly integrated [...] Read more.
To address the limitations of traditional acoustic experimental equipment, such as large volume, discrete modules, and complex operation, this paper proposes and implements a set of digital portable acoustic teaching systems. The hardware component is based on an FPGA, enabling a highly integrated design for signal source excitation and multi-channel synchronous acquisition. It supports the output of various signals, including pulses, sine waves, chirps, and arbitrary waveforms. The software component is developed based on the Qt framework, offering cross-platform compatibility and excellent graphical interaction capabilities. It supports signal configuration, data acquisition, real-time processing, result visualization, and historical playback, establishing a closed-loop experimental workflow of signal excitation–synchronous acquisition–real-time processing–data storage–result visualization. The system supports both local USB connection and remote TCP operation modes, accommodating scenarios such as real-time classroom experiments and cross-regional collaborative teaching. The verification results of three typical experiments, namely, multi-media sound velocity measurement, TDOA hydrophone positioning, and remote acoustic detection, demonstrate that the system performs well in terms of measurement accuracy, positioning stability, and the feasibility of remote detection. This study demonstrates the technical advantages and engineering adaptability of a digital teaching platform in acoustic experimental education. It provides a scalable system solution for cross-regional hybrid teaching models and practice-oriented education under the framework of emerging engineering disciplines. Future work will focus on expanding experimental scenarios, enhancing system intelligence, and improving multi-user collaboration capabilities, aiming to develop a more comprehensive and efficient platform to support acoustic teaching. Full article
Show Figures

Figure 1

22 pages, 9522 KB  
Article
Advancing FDM 3D Printing Simulations: From G-Code Conversion to Precision Modelling in Abaqus
by Taoufik Hachimi, Fouad Ait Hmazi, Fatima Ezzahra Arhouni, Hajar Rejdali, Yahya Riyad and Fatima Majid
J. Manuf. Mater. Process. 2025, 9(10), 338; https://doi.org/10.3390/jmmp9100338 - 16 Oct 2025
Viewed by 234
Abstract
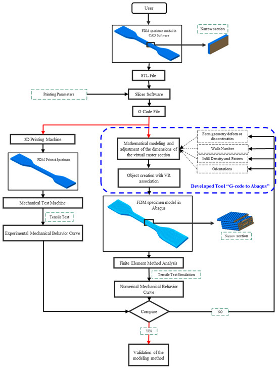
This study presents a newly developed program that seamlessly converts G-code into formats compatible with Abaqus, enabling precise finite element simulations for FDM 3D printing. The tool operates on a two-pronged framework: a mathematical model incorporating key print parameters (layer thickness, extrusion temperature, [...] Read more.
This study presents a newly developed program that seamlessly converts G-code into formats compatible with Abaqus, enabling precise finite element simulations for FDM 3D printing. The tool operates on a two-pronged framework: a mathematical model incorporating key print parameters (layer thickness, extrusion temperature, print speed, and raster width) and a shape generator managing geometric parameters (fill density, pattern, and raster orientation). Initially, a predefined virtual section, based on predetermined dimensions, enhanced the correlation between experimental results and simulations. Subsequently, a corrected virtual section, derived from the mathematical model using the Box–Behnken methodology, improves accuracy, achieving a virtual thickness error of 1.06% and a width error of 8%. The model is validated through tensile testing of ASTM D638 specimens at 0°, 45°, and 90° orientations, using adaptive C3D4 mesh elements (0.35–0.6 mm). Results demonstrate that the corrected cross-section significantly improved simulation accuracy, reaching correlations above 95% in the elastic zone and 90% in the elastoplastic zone across all orientations. By optimizing the workflow from design to manufacturing, this program offers substantial benefits for the aerospace, medical, and automotive sectors, enhancing both the efficiency of the printing process and the reliability of simulations. Full article
Show Figures

Figure 1

24 pages, 1952 KB  
Article
Multi-Stakeholder Agile Governance Mechanism of AI Based on Credit Entropy
by Lei Cheng, Wenjing Chen, Ruoyu Li and Chen Zhang
Sustainability 2025, 17(20), 9196; https://doi.org/10.3390/su17209196 (registering DOI) - 16 Oct 2025
Viewed by 121
Abstract
Driven by the rapid evolution of AI technology, compatible management mechanisms have become a systematic project involving the participation of multiple stakeholders. However, constrained by the rigidity and lag of traditional laws, the “one-size-fits-all” regulatory model will exacerbate the vulnerability of the complex [...] Read more.
Driven by the rapid evolution of AI technology, compatible management mechanisms have become a systematic project involving the participation of multiple stakeholders. However, constrained by the rigidity and lag of traditional laws, the “one-size-fits-all” regulatory model will exacerbate the vulnerability of the complex system of AI governance, hinder the sustainable evolution of the AI ecosystem that relies on the dynamic balance between innovation and responsibility, and ultimately fall into the dilemma of “chaos when laissez-faire, stagnation when over-regulated”. To address this challenge, this study takes the multi-stakeholder collaborative mechanism co-established by governments, enterprises, and third-party technical audit institutions as its research object and centers on the issue of “strategic fluctuations” caused by key factor disturbances. From the perspective of the full life cycle of technological development, the study integrates the historical compliance performance of stakeholders and develops a nonlinear dynamic reward and punishment mechanism based on Credit Entropy. Through evolutionary game simulation, it further examines this mechanism as a realization path to promote the transformation from passive campaign-style AI supervision to agile governance of AI, which is characterized by rapid response and minimal intervention, thereby laying a foundation for the sustainable development of AI technology that aligns with long-term social well-being, resource efficiency, and inclusive growth. Finally, the study puts forward specific governance suggestions, such as setting access thresholds for third-party institutions and strengthening their independence and professionalism, to ensure that the iterative development of AI makes positive contributions to the sustainability of socio-technical systems. Full article
Show Figures

Figure 1

23 pages, 2529 KB  
Article
Image Representation-Driven Knowledge Distillation for Improved Time-Series Interpretation on Wearable Sensor Data
by Jae Chan Jeong, Matthew P. Buman, Pavan Turaga and Eun Som Jeon
Sensors 2025, 25(20), 6396; https://doi.org/10.3390/s25206396 - 16 Oct 2025
Viewed by 250
Abstract
With the increased demand for wearable sensors, image representations—such as persistence images and Gramian angular fields—transformed from time-series data have been investigated to address challenges in wearables arising from physiological variations, sensor noise, and limitations in capturing contextual information. To preserve the lightweight [...] Read more.
With the increased demand for wearable sensors, image representations—such as persistence images and Gramian angular fields—transformed from time-series data have been investigated to address challenges in wearables arising from physiological variations, sensor noise, and limitations in capturing contextual information. To preserve the lightweight structural design of models, knowledge distillation (KD) has also been employed alongside image representations during training to distill smaller and more efficient models. Although image representations play a key role in providing richer and more informative features in training a model, their effectiveness within the KD framework has not been thoroughly explored. In this paper, we focus on image representation-driven KD to investigate whether these representations can provide useful knowledge leading to improved time-series interpretation in activity classification tasks. We explore the benefits of integrating image representations into KD, and we analyze the interplay between representation richness and model compactness with different combinations of teacher and student networks. We also introduce diverse KD strategies to utilize image representations, and we demonstrate the strategies with various perspectives, such as analysis of noises, generalizability, and compatibility, across datasets of varying scales to obtain comprehensive and insightful observations. These offer valuable insights for designing efficient and high-performance wearable sensor-based systems. Full article
(This article belongs to the Special Issue Wearable Sensors for Continuous Health Monitoring and Analysis)
Show Figures

Figure 1

27 pages, 43811 KB  
Article
Development of a Chestnut Shell Bio-Adsorbent for Cationic Pollutants: Encapsulation in an Alginate Carrier for Application in a Flow System
by Atef Aljnin, Gorica Cvijanović, Bojan Stojadinović, Milutin Milosavljević, Katarina Simić, Aleksandar D. Marinković and Nataša Đ. Knežević
Processes 2025, 13(10), 3314; https://doi.org/10.3390/pr13103314 - 16 Oct 2025
Viewed by 108
Abstract
Melanin-based biosorbents (MiCS), derived from chestnut shells, were encapsulated in sodium alginate to obtain MiCS@Alg, useful in a column adsorption study. MiCS contains various acidic surface groups able to participate in the removal of cationic pollutants from aqueous solutions. The MiCS and MiCS@Alg [...] Read more.
Melanin-based biosorbents (MiCS), derived from chestnut shells, were encapsulated in sodium alginate to obtain MiCS@Alg, useful in a column adsorption study. MiCS contains various acidic surface groups able to participate in the removal of cationic pollutants from aqueous solutions. The MiCS and MiCS@Alg were characterized by Fourier-transform Infrared Spectroscopy (FTIR), Scanning Electron Microscopy (SEM), and Dynamic Light Scattering (DLS), while zeta potential and particle size analyses were performed to gain deeper insight into surface charge behavior. Batch adsorption experiments were carried out at three different temperatures, demonstrating that the adsorption kinetics followed a pseudo-second-order (PSO) model and that the Freundlich model best described the equilibrium data. The process was found to be endothermic and spontaneous, with maximum adsorption capacities of 300.2 mg g−1 (BR2), 201.5 mg g−1 (BY28) and 73.08 mg g−1 (NH3) on MiCS, and 189.3 mg g−1 (BR2), 117.1 mg g−1 (BY28) and 50.06 mg g−1 (NH3) on MiCS@Alg at 45 °C and compared with the unmodified chestnut shell. The MiCS and MiCS@Alg exhibited good adsorption performance, improved environmental compatibility, and greater reusability. Overall, these results highlight MiCS@Alg as a cost-effective, sustainable, and highly promising novel biosorbent for the removal of cationic pollutants (BR2, BY28, and NH3) from water. Full article
Show Figures

Figure 1

23 pages, 7965 KB  
Article
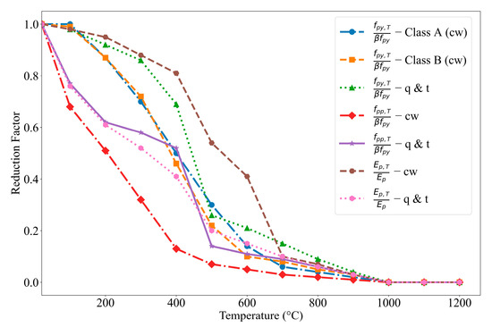
Rational Approach for Evaluating Fire Resistance of Prestressed Concrete Beams Strengthened with Fiber-Reinforced Polymers
by Venkatesh Kodur, Tejeswar Rayala and Hee Sun Kim
Polymers 2025, 17(20), 2773; https://doi.org/10.3390/polym17202773 - 16 Oct 2025
Viewed by 124
Abstract
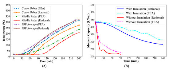
A rational approach is proposed for evaluating the fire resistance of fiber-reinforced polymers (FRP)-strengthened prestressed concrete (PC) beams. This approach expands on conventional fire design principles for PC beams, while incorporating the effects of FRP reinforcement and fire insulation into strength calculations under [...] Read more.
A rational approach is proposed for evaluating the fire resistance of fiber-reinforced polymers (FRP)-strengthened prestressed concrete (PC) beams. This approach expands on conventional fire design principles for PC beams, while incorporating the effects of FRP reinforcement and fire insulation into strength calculations under fire exposure. Simplified equations are utilized to evaluate the cross-sectional temperature distribution in fire-exposed FRP-strengthened PC beams, considering both insulated and uninsulated scenarios. These cross-sectional temperature profiles are then utilized to evaluate the reductions in the strengths of concrete, steel, and FRP based on their temperature-dependent mechanical properties. The moment capacity of the FRP-strengthened PC beams is determined at various fire exposure durations by applying force equilibrium and strain compatibility principles, assuming a full bond with no relative slip between the FRP and the concrete interface under fire exposure. The critical strength limit state is applied at each time interval to determine the failure state of the FRP-strengthened PC beam, with the final time to failure considered to be the fire resistance of the beam. The proposed approach is validated by comparing its results with available test data from FRP-strengthened reinforced concrete (RC) beams. The validated model is applied to evaluate critical parameters governing the fire resistance of FRP-strengthened PC beam. The results show that, without fire insulation, FRP-strengthened PC beams undergo a significant reduction in moment capacity early into fire exposure and fail within 75 min due to the rapid strength degradation of both the CFRP and the prestressing steel. In contrast, the application of 25 mm thick fire insulation allows these beams to retain a substantial portion of their load-bearing capacity for up to 3 h of fire exposure. Full article
(This article belongs to the Section Polymer Composites and Nanocomposites)
Show Figures

Figure 1

28 pages, 6502 KB  
Article
Energy Conservation and Production Efficiency Enhancement in Herbal Medicine Extraction: Self-Adaptive Decision-Making Boiling Judgment via Acoustic Emission Technology
by Jing Lan, Hao Fu, Haibin Qu and Xingchu Gong
Pharmaceuticals 2025, 18(10), 1556; https://doi.org/10.3390/ph18101556 - 16 Oct 2025
Viewed by 154
Abstract
Background: Accurately detecting the onset of saturated boiling in herbal medicine extraction processes is critical for improving production efficiency and reducing energy consumption. However, the traditional monitoring methods based on temperature suffer from time delays. To address the challenge, acoustic emission (AE) signals [...] Read more.
Background: Accurately detecting the onset of saturated boiling in herbal medicine extraction processes is critical for improving production efficiency and reducing energy consumption. However, the traditional monitoring methods based on temperature suffer from time delays. To address the challenge, acoustic emission (AE) signals were used in this study owing to its sensitivity to bubble behavior. Methods: An AE signal acquisition system was constructed for herbal extraction monitoring. Characteristics of AE signals at different boiling stages were analyzed in pure water systems with and without herbs. The performance of AE-based and temperature-based recognition of boiling stages was compared. To enhance applicability in different herb extraction systems, multivariate statistical analysis was adopted to compress spectral–frequency information into Hotelling’s T2 and SPE statistics. For real-time monitoring, a self-adaptive decision-making boiling judgment method (BoilStart) was proposed. To evaluate the robustness, the performance of BoilStart under different conditions was investigated, including extraction system mass and heating medium temperature. Furthermore, BoilStart was applied to a lab-scale extraction process of Dabuyin Wan, which is a practical formulation, to assess its performance in energy conservation and efficiency improvement. Results: AE signal in the 75–100 kHz frequency band could reflect the boiling states of herbal medicine extraction. It was more sensitive to the onset of saturated boiling than the temperature signal. Compared with SPE, Hotelling’s T2 was identified as the optimal indicator with higher accuracy. BoilStart could adaptively monitor saturated boiling across diverse herbal systems. The absolute error of BoilStart’s boiling determination ranged from 1.5 min to 2.0 min. The increasing-temperature time was reduced by about 22–36%. For the extraction process of Dabuyin Wan, after adopting BoilStart, the increasing-temperature time was reduced by about 29%, and the corresponding energy consumption was lowered by about 26%. Conclusions: The first AE-based method for precise boiling state detection in herbal extraction was established. BoilStart’s model-free adaptability met industrial demands for multi-herb compatibility. This offered a practical solution to shorten ineffective heating phases and reduce energy consumption. Full article
(This article belongs to the Section Pharmaceutical Technology)
Show Figures

Graphical abstract

27 pages, 1503 KB  
Systematic Review
Application of Building Information Modeling for Energy Efficiency: A Systematic Review
by Tongrui Zhang, Xiaofei Yang, Zhenzhen Wu, Guoliang Zhai, Dat Tien Doan, Qingwei Sun and Hui Gao
Buildings 2025, 15(20), 3722; https://doi.org/10.3390/buildings15203722 - 16 Oct 2025
Viewed by 245
Abstract
As global warming worsens, reducing energy use is becoming increasingly crucial. In recent years, 34% of the world’s energy use has been consumed by buildings. Therefore, improving building energy efficiency is essential for halting climate change and promoting sustainability. In this regard, Building [...] Read more.
As global warming worsens, reducing energy use is becoming increasingly crucial. In recent years, 34% of the world’s energy use has been consumed by buildings. Therefore, improving building energy efficiency is essential for halting climate change and promoting sustainability. In this regard, Building Information Modeling (BIM) is steadily emerging as a valuable tool for promoting energy efficiency. This research adopts a systematic review approach, and 87 articles were included for review. This research identified seven areas in which BIM plays a role in energy efficiency. For each area, workflows for the adoption of BIM were explored. Meanwhile, the advantages and disadvantages of each adoption of BIM were critically examined. In conclusion, visualization is the most helpful feature of BIM and is beneficial for almost all applications. In addition, software compatibility issues and high initial setup costs are the most common drawbacks of adopting BIM. This research makes several contributions to the literature. First, the results of this study help provide a better understanding of the importance of BIM in energy efficiency improvement. Secondly, our research supplements the energy field that identifies seven BIM use categories. Thirdly, this article critically examines the use of BIM in the building energy field. Full article
(This article belongs to the Section Building Energy, Physics, Environment, and Systems)
Show Figures

Figure 1

Back to TopTop