Previous Article in Journal
Closed-Form Solutions of a Nonlinear Rational Second-Order Three-Dimensional System of Difference Equations
 
 
Font Type:
Arial Georgia Verdana
Font Size:
Aa Aa Aa
Line Spacing:
Column Width:
Background:
Article

O-Regular Mappings on C(C): A Structured Operator–Theoretic Framework

Department of Mathematics, Dongguk University, WISE, Gyeongju 38066, Republic of Korea
Mathematics 2025, 13(20), 3328; https://doi.org/10.3390/math13203328 (registering DOI)
Submission received: 27 August 2025 / Revised: 22 September 2025 / Accepted: 9 October 2025 / Published: 18 October 2025

Abstract

Motivation. Analytic function theory on commutative complex extensions calls for an operator–theoretic calculus that simultaneously sees the algebra-induced coupling among components and supports boundary-to-interior mechanisms. Gap. While Dirac-type frameworks are classical in several complex variables and Clifford analysis, a coherent calculus aligning structural CR systems, a canonical first derivative, and a Cauchy-type boundary identity on the commutative model C ( C ) C 4 has not been systematically developed. Purpose and Aims. This paper develops such a calculus for O -regular mappings on C ( C ) and establishes three pillars of the theory. Main Results. (i) A fully coupled Cauchy–Riemann system characterizing O -regularity; (ii) identification of a canonical first derivative g ( z ) = x 0 g ( z ) ; and (iii) a Stokes-driven boundary annihilation law Ω τ g = 0 for a canonical 7-form τ . On (pseudo)convex domains, ¯ -methods yield solvability under natural compatibility and regularity assumptions. Stability (under algebra-preserving maps), Liouville-type, and removability results are also obtained, and function spaces suited to this algebra are outlined. Significance. The results show that a large portion of the classical holomorphic toolkit survives, in algebra-aware form, on C ( C ) .

1. Introduction

The function theory of several complex variables and of hypercomplex settings share a common engine: Dirac-type operators encode Cauchy–Riemann structures and boundary-to-interior mechanisms via Stokes’ theorem. In this paper, we carry this paradigm to a commutative complex algebra model of C 4 , written C ( C ) , and we show that a large part of the classical holomorphic toolkit admits a clean, algebra-aware extension. Our structural equations are not ad hoc: the coupling pattern is the exact analytic footprint of the multiplication in C ( C ) , and it drives both boundary identities and interior solvability via ¯ methods (cf. Range, Hörmander). In this way, we place differential characterizations, boundary annihilation, and existence on domains of holomorphy into a single operator calculus tailored to the algebra.
Concretely, we work in the commutative subalgebra C ( C ) with basis { e 0 , , e 7 } and identify it with C 4 via the global coordinate map:
z = z 1 + z 2 e 2 + z 3 e 4 + z 4 e 6 , z i C .
The induced multiplication rules (recalled in Section 2) couple the four complex components and will be used throughout for differential and integral constructions.
An C ( C ) -valued mapping,
g = g 1 + g 2 e 2 + g 3 e 4 + g 4 e 6 , g i : Ω C 4 C ,
is called O -regular on an open set Ω if g C 1 ( Ω ) , and it is annihilated by a Dirac-type operator D * intrinsic to the algebra (see Section 2). Equivalently, g satisfies a fully coupled CR system for its components; in particular,
z 1 g 1 + z 2 g 2 + z 3 g 3 + z 4 g 4 = 0
z 1 g 2 + z 2 g 1 + z 3 g 4 + z 4 g 3 = 0
z 1 g 3 + z 2 g 4 + z 3 g 1 + z 4 g 2 = 0
z 1 g 4 + z 2 g 3 + z 3 g 2 + z 4 g 1 = 0 .
Remark 1.
We avoid the ambiguous phrase “two cyclic companions” by writing (CR1)–(CR4) explicitly; all subsequent references use these labels. This parallels the classical equivalence between holomorphicity and the CR equations, but now in a four-component, algebra-coupled setting.
Dirac-type operators encode Cauchy–Riemann structures and connect interior equations to boundary identities through Stokes’ theorem. In a commutative complex algebra model of C 4 , written C ( C ) , the coupling pattern is the analytic footprint of the multiplication. A Dirac-type pair ( D , D * ) intrinsic to C ( C ) yields a coupled CR system, a canonical first derivative, and a boundary identity.
Main contributions. The paper establishes three core results that frame the analysis of O -regular mappings:
  • Differential characterization. For O -regular g, we identify a canonical first derivative compatible with the algebra structure and prove that the intrinsic derivative coincides with the x 0 -directional derivative of g in the z 1 -plane, i.e., g ( z ) = g x 0 ( z ) . This provides a concrete handle on first-order behavior used in later regularity arguments.
  • Cauchy–Stokes-type boundary identity. Introducing a canonical 7-form τ built from the differentials d z i , we prove that O -regular functions satisfy the boundary annihilation law Ω τ g = 0 for sufficiently smooth Ω Ω 0 . This plays the role of a Cauchy theorem in our setting.
  • Existence on domains of holomorphy. On domains of holomorphy in C ( C ) , appropriate C 2 data for ( g 1 , , g 4 ) yield O -regular solutions via a ¯ -type construction, establishing solvability of (CR1)–(CR4) under natural hypotheses.
Beyond clarifying the analytic meaning of D * g = 0 on C ( C ) , these results supply an essential toolkit for developing potential theory and representation formulas in this algebra: a workable first derivative, a robust boundary identity, and a solvability statement tied to holomorphic convexity. Together, they show that O -regularity is not merely a formal generalization but a genuinely analytic notion capable of supporting a Cauchy-type calculus.
The present study sits at the intersection of several complex variables, hypercomplex function theory, and Clifford analysis. Classical pillars in several complex variables—notably the integral representation and ¯ methods of Range and Hörmander—provide the conceptual backdrop for our boundary identities and solvability statements [1,2]. On the hypercomplex side, the Dirac-operator framework pioneered in Clifford analysis and its monographs gives a robust differential-operator language in which Cauchy–Riemann (CR)-type systems, Cauchy theorems, and representation formulas can be formulated beyond C [3,4,5]. Within quaternionic analysis specifically, foundational contributions of Fueter and Sudbery established the analytic scope of quaternionic (and para/quasi-quaternionic) structures, while Gürlebeck and Sprößig developed engineering- and physics-oriented calculus on these algebras [6,7,8].
A closely related stream is the multicomplex/bicomplex literature, where one works over commutative complex extensions and studies holomorphicity with several coupled complex components. Price’s early monograph framed multicomplex spaces as natural arenas for generalizing holomorphic techniques [9], and Luna-Elizarrarás–Shapiro–Struppa–Vajiac developed a comprehensive analysis on the bicomplex numbers, including structural results and examples that clarify how algebraic coupling propagates to CR-type systems and integral formulas [10,11,12]. Our setting—a commutative complex algebra realized as a four-component model of C 4 —is philosophically aligned with this program: the algebraic multiplication prescribes the off-diagonal mixing in the structural system and guides the form of admissible kernels and boundary forms.
Integral representation theory forms a second axis of prior work. In the Clifford-analytic direction, higher-order Borel–Pompeiu formulas and their discrete/fractional extensions demonstrate that Cauchy- and Stokes-type mechanisms can be adapted to a range of operator factorizations and latticized geometries [13,14]. The boundary identity we employ—a Stokes-driven annihilation of a canonical differential form against O -regular maps—is designed in the same spirit: it packages the algebra-induced coupling into a differential form tailored to the structural operator, thereby yielding a Cauchy-type theorem compatible with the underlying algebra.
In hyperbolic and split settings, Cauchy kernels and integral formulas have also been constructed, clarifying how signatures other than ( + , + ) enter analytic representation theory [15,16]. Recent work on split-quaternionic models shows that algebraic algorithms and operator factorizations can be instrumental in PDE applications, e.g., for Schrödinger-type dynamics [17,18]. Although our focus here is not on hyperbolic metrics per se, these developments motivate, at a methodological level, our use of algebra-aware operators and forms to control boundary and interior behavior.
A parallel multi-variable track in quaternionic analysis is the theory of slice regularity in several quaternionic variables, where Almansi-type decompositions and structure theorems for zero sets have recently been advanced [19,20]. These results underscore that analytic function theory on higher-rank algebras can sustain multi-variable phenomena (factorizations, uniqueness, and growth properties) reminiscent of several complex variables. Complementarily, discrete models for conjugate–harmonic pairs suggest that hypercomplex analysis remains robust under discretization, with potential implications for numerical schemes and lattice-based PDE solvers [21].
Positioning of the present work. Guided by the operator–theoretic viewpoint from Clifford analysis [3,4] and the commutative multi-component perspective of bicomplex/multicomplex function theory [9,11], we use an intrinsic Dirac-type operator to define and characterize O -regularity on a commutative complex algebra model of C 4 . The structural system we obtain parallels the coupled CR systems found in bicomplex analysis [10], while our boundary identity is conceived in the spirit of Borel–Pompeiu/Cauchy frameworks adapted to algebra-dependent operators [13,14]. In this way, the paper synthesizes several established lines—integral representation from several complex variables [1,2], Dirac-based formalisms [3,4], and commutative hypercomplex models [9,11]—to yield a coherent analytic calculus for O -regular mappings, with an eye toward representation formulas and PDE-oriented applications suggested in the split/hyperbolic literature [15,16,17,18].
Organization. Section 2 reviews the algebraic model C ( C ) C 4 , its multiplication, and the Dirac pair ( D , D * ) used throughout. Section 3 develops the O -regular class, proves the differential identity g ( z ) = g / x 0 , and establishes the boundary integral formula Ω τ g = 0 . Section 4 constructs the differential form τ and proves the boundary annihilation law. Section 5 discusses existence on domains of holomorphy and implications for further representation results.

Related Work in Commutative Algebras

Derivative notions and analytic/monogenic function theories in commutative (finite- or Banach-) algebras have a long lineage: Ketchum’s [22] analytic functions of hypercomplex variables; Scheffers’ [23] early generalization of complex function foundations; Lorch [24] and Blum’s [25] Banach-algebra framework; Gateaux-based approaches in Mel’nichenko [26] and in Shpakivskyi’s [27] constructive descriptions; and the comprehensive monograph of Plaksa–Shpakivskyi [28]. Our operator-coupled CR system and boundary form are compatible with this program; the idempotent normal form shows that C ( C ) is semisimple and allows a representation viewpoint akin to classical results (see also Ringleb [29] for early representation theorems).

2. Preliminaries

The two-dimensional matrix algebra M ( 2 ; C ) is defined over the field C of complex numbers, which is generated by three basis elements denoted as e i for i = 0 , 1 , 2 . It is specified that
e 0 = 1 0 0 1 , e 1 = i 0 0 i , e 2 = 0 1 0 0 1 0 0 0 0 0 0 1 0 0 1 0 ,
e 3 = 0 i 0 0 i 0 0 0 0 0 0 i 0 0 i 0 , e 4 = 0 0 1 0 0 0 0 1 1 0 0 0 0 1 0 0 , e 5 = 0 0 i 0 0 0 0 i i 0 0 0 0 i 0 0 ,
e 6 = 0 0 0 1 0 0 1 0 0 1 0 0 1 0 0 0 , e 7 = 0 0 0 i 0 0 i 0 0 i 0 0 i 0 0 0 .
The following rules are to be observed:
e 0 2 = e 2 2 = e 4 2 = e 6 2 = 1 , e 1 2 = e 3 2 = e 5 2 = e 7 2 = 1 ,
e 1 e 2 = e 3 = e 2 e 1 , e 2 e 4 = e 6 = e 4 e 2 , e 3 e 4 = e 7 = e 4 e 3 , e 1 e 6 = e 7 = e 6 e 1 ,
e 2 e 5 = e 7 = e 5 e 2 , e 1 e 4 = e 5 = e 4 e 1 , e 3 e 5 = e 6 = e 5 e 3 .
This mathematical structure serves as a commutative subalgebra within the context of matrix space M ( 4 ; C ) , allowing for analysis and manipulation of matrices with complex entries. The algebra can be expressed in a more compact and structured form:
C ( C ) = { z = z 1 + z 2 e 2 + z 3 e 4 + z 4 e 6 z i C , i = 1 , 2 , 3 , 4 } ,
where z 1 , z 2 , z 3 , and z 4 are specifically defined as follows:
z 1 = e 0 x 0 + e 1 x 1 , z 2 = e 0 x 2 + e 1 x 3 ,
z 3 = e 0 x 4 + e 1 x 5 , z 4 = e 0 x 6 + e 1 x 7 .
In this representation, each z i reflects a linear combination of the basis elements e 0 and e 1 multiplied by real coefficients x i .
Furthermore, it is important to note that the algebra C ( C ) can be identified with the four-dimensional complex vector space C 4 . This identification facilitates understanding the structure and dimensions of the algebra and allows for operations analogous to those performed in standard vector spaces. Through this mapping, various properties of linearity, dimensionality, and algebraic operations can be explored within the realm of complex matrices and algebraic systems.
The multiplication of z = z 1 + z 2 e 2 + z 3 e 4 + z 4 e 6 and w = w 1 + w 2 e 2 + w 3 e 4 + w 4 e 6 is defined by
z w = z 1 z 2 z 3 z 4 z 2 z 1 z 4 z 3 z 3 z 4 z 1 z 2 z 4 z 3 z 2 z 1 w 1 w 2 w 3 w 4 w 2 w 1 w 4 w 3 w 3 w 4 w 1 w 2 w 4 w 3 w 2 w 1 = a 1 a 2 a 3 a 4 a 2 a 1 a 4 a 3 a 3 a 4 a 1 a 2 a 4 a 3 a 2 a 1 ,
We define the multiplication operation for the elements z and w as follows: let z = z 1 + z 2 e 2 + z 3 e 4 + z 4 e 6 and w = w 1 + w 2 e 2 + w 3 e 4 + w 4 e 6 . The product, denoted as z w , is determined by the following equations:
( z 1 , z 2 , z 3 , z 4 ) ( w 1 , w 2 , w 3 , w 4 ) = ( a 1 , a 2 , a 3 , a 4 ) ,
a 1 = z 1 w 1 + z 2 w 2 + z 3 w 3 + z 4 w 4 , a 2 = z 1 w 2 + z 2 w 1 + z 3 w 4 + z 4 w 3 , a 3 = z 1 w 3 + z 2 w 4 + z 3 w 1 + z 4 w 2 , a 4 = z 1 w 4 + z 2 w 3 + z 3 w 2 + z 4 w 1 .
The conjugate of a complex number, denoted as z * , and its norm, represented as | | z | | , are defined as follows:
z * = z 1 ¯ + z 2 ¯ e 2 + z 3 ¯ e 4 + z 4 ¯ e 6
where z 1 ¯ = e 0 x 0 e 1 x 1 , z 2 ¯ = e 0 x 2 e 1 x 3 , z 3 ¯ = e 0 x 4 e 1 x 5 and z 4 ¯ = e 0 x 6 e 1 x 7 ,
| | z | | = 1 2 t r ( z z * ) .
The conjugate of a complex number, which is commonly denoted as z * , is a mathematical operation that involves flipping the sign of the imaginary part of the complex number. For a complex number expressed in the standard form z = a + b i , where a is the real part, and b is the imaginary part, the conjugate is given by z * = a b i . In addition to the conjugate, we also have the concept of the norm of a complex number, represented as | | z | | . The norm, also known as the modulus, is a measure of the magnitude or size of the complex number and is calculated using the formula | | z | | = a 2 + b 2 . This calculation effectively provides the distance of the complex number from the origin in a two-dimensional plane, where the real part corresponds to the x-axis and the imaginary part corresponds to the y-axis.
In this paper, we will examine two different differential operators that are important in analyzing various mathematical and physical problems. We will explore their definitions, properties, and uses, giving a detailed look at how these operators work within the context of differential equations. By studying their effects on different functions, we aim to identify the unique characteristics and behaviors of each operator:

2.1. Notation and Wirtinger Derivatives

2.1.1. Notation and Differentiability

We work on Ω C 4 R 8 with real coordinates ( x j , y j ) , z j = x j + i y j . Throughout, C 1 ( Ω ) means real  C 1 on R 8 (all x j , y j exist and are continuous). The Wirtinger operators are z j = 1 2 ( x j i y j ) and z ¯ j = 1 2 ( x j + i y j ) . In particular, functions may depend on both z and z ¯ ; holomorphicity is not assumed unless stated.
For z = ( z 1 , z 2 , z 3 , z 4 ) C 4 , set
z j = 1 2 x j i y j , z ¯ j = 1 2 x j + i y j ,
and write = ( z 1 , , z 4 ) , ¯ = ( z ¯ 1 , , z ¯ 4 ) . Throughout, g : Ω C 4 C ( C ) C 4 is assumed C 1 and may depend on both z and z ¯ .
Let Ω be an open and connected subset in C 4 , which is a four-dimensional space consisting of complex numbers. We define a function g ( z ) that maps points in Ω to complex values, expressed as follows:
g ( z ) = g 1 ( z ) + g 2 ( z ) e 2 + g 3 ( z ) e 4 + g 4 ( z ) e 6
In this equation, z is a vector composed of four components, denoted as z = ( z 1 , z 2 , z 3 , z 4 ) , where each z i is a complex number. The terms g 1 ( z ) , g 2 ( z ) , g 3 ( z ) , and g 4 ( z ) are functions that each depend on the point z in Ω , and these functions output complex values. The symbols e 2 , e 4 , and e 6 are likely representing distinct basis vectors or elements within a specific context, such as a vector space or another structured environment in which g ( z ) operates. The function g ( z ) can be characterized as a complex-valued entity that integrates contributions from various components. This illustrates the manner in which it synthesizes multiple variables from the domain Ω to produce a complex number as an outcome.

2.1.2. Dirac-Type Pair

Let z j denote complex derivatives in z j . Define the 4 × 4 operator matrix
D = z 1 z 2 z 3 z 4 z 2 z 1 z 4 z 3 z 3 z 4 z 1 z 2 z 4 z 3 z 2 z 1 , and D * ( formal L 2 - adjoint with ¯ entries ) .
Definition 1.
Let Ω denote an open subset of C 4 , which serves as the domain for our analysis. A function g ( z ) is defined in this expression as follows:
g ( z ) = g 1 ( z ) + g 2 ( z ) e 2 + g 3 ( z ) e 4 + g 4 ( z ) e 6 ,
where each g j ( z ) (for j = 1 , 2 , 3 , 4 ) represents a complex-valued function that is dependent on the variable z, and e 2 , e 4 , and e 6 are specified basis elements in C 4 . A function g ( z ) is classified as O -regular within the set Ω if it satisfies the following conditions:
(a) 
The functions g j ( z ) for j = 1 , 2 , 3 , 4 are required to be continuously differentiable throughout the entirety of the domain Ω.
(b) 
The equation D * g = 0 is satisfied within the domain Ω, where D * represents a differential operator that acts upon the function g.
Condition (a) necessitates that each g j ( z ) possesses continuous first derivatives with respect to its variables across Ω , thereby ensuring the existence of well-defined tangents and consistency in behavior. The condition D * g = 0 signifies that g ( z ) adheres to a specific differential equation or set of criteria that characterizes O -regularity. This implies that g ( z ) exhibits certain structural properties that arise from the definitions of this operator within the relevant paper. The classification of g ( z ) as O -regular hinges on its differentiability and the satisfaction of the differential operator condition across the open subset Ω .
Table 1 rewrites (CR1)–(CR4) as a block system C g = 0 ; rows index the four equations and columns list the eight off/on-diagonal partials. The dense “1” rows capture diagonal conservation, while the second block encodes off-diagonal mixing.

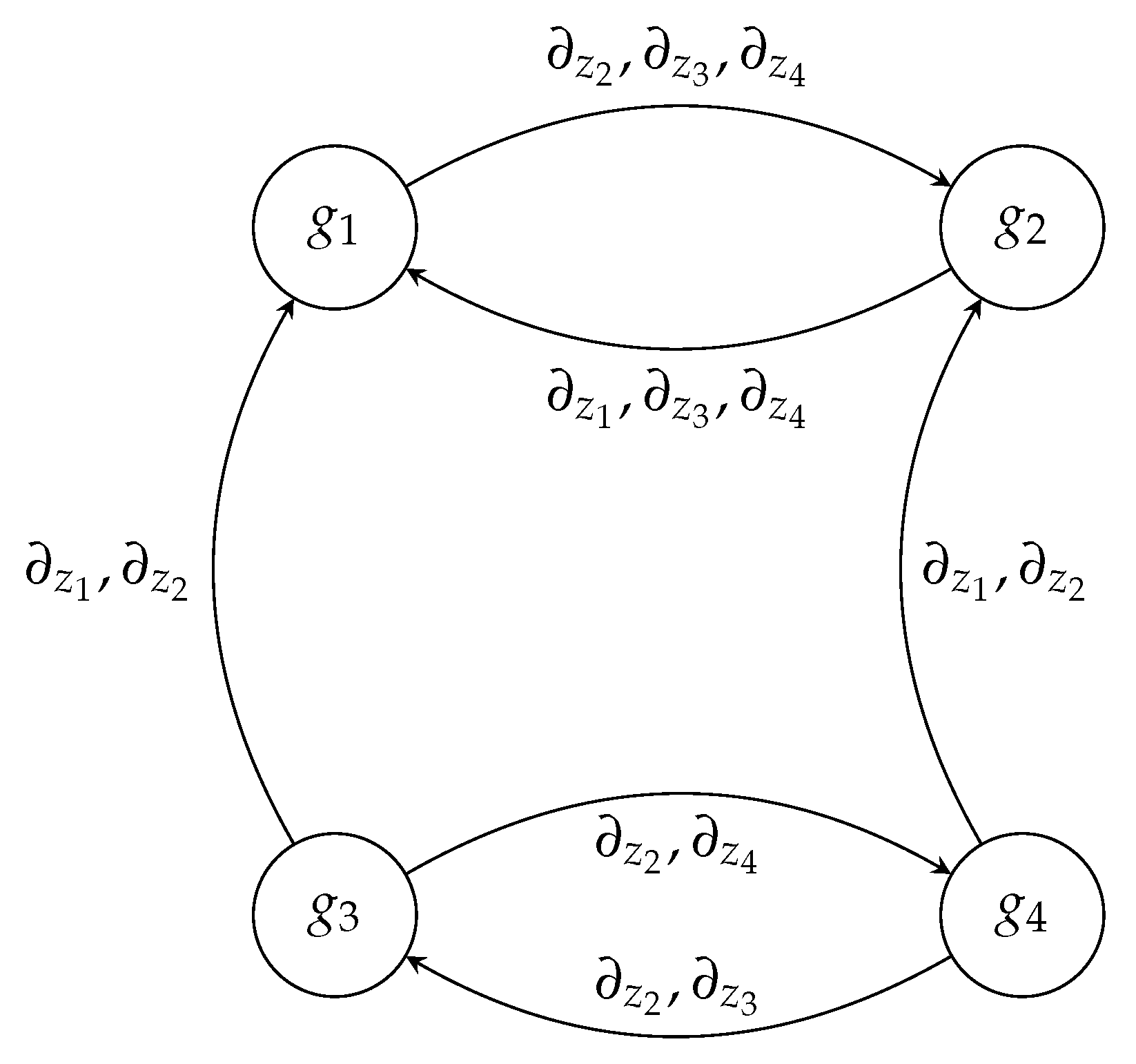
2.1.3. Interpreting Figure 1

Edges label which derivatives link which components: for instance, g 1 and g 2 couple through z 1 , z 3 , z 4 , while g 3 and g 4 interact via z 2 , z 4 . This picture is a faithful reflection of the algebraic product (CR1)–(CR4).
Figure 1. Off-diagonal couplings dictated by the product in C ( C ) in the CR system.
Figure 1. Off-diagonal couplings dictated by the product in C ( C ) in the CR system.
Mathematics 13 03328 g001

2.1.4. Canonical Derivative

We adopt the canonical first derivative g ( z ) : = x 0 g ( z ) , i.e., the x 0 -directional derivative in the z 1 -plane, which matches the intrinsic derivative under O -regularity and is stable under algebra-preserving affine changes.
Proposition 1
(Equivalent product presentation). For u , v C 4 C ( C ) , the algebra productis equivalently given by
u v = ( u · v ) 1 + ( u · e 2 v ) e 2 + ( u · e 4 v ) e 4 + ( u · e 6 v ) e 6 ,
i.e., u v = { u · v , u · e 2 v , u · e 4 v , u · e 2 e 4 v } in the ( 1 , e 2 , e 4 , e 6 ) -basis. This makes commutativity immediate from the symmetry of e 2 , e 4 , e 6 .
Sketch of proof. 
Expand both definitions on the basis { 1 , e 2 , e 4 , e 6 } and compare coefficients. The off-diagonal couplings are identical by the symmetry relations among e 2 , e 4 , e 6 , hence, the two products coincide. □
Proposition 2
(Idempotent normal form of C ( C ) ). Let
I 1 = 1 4 ( e 0 + e 2 + e 4 + e 6 ) , I 2 = 1 4 ( e 0 e 2 e 4 + e 6 ) ,
I 3 = 1 4 ( e 0 e 2 + e 4 e 6 ) , I 4 = 1 4 ( e 0 + e 2 e 4 e 6 ) .
Then I k 2 = I k , I k I = 0 ( k ), k I k = e 0 , and the map
Φ : z = z 1 + z 2 e 2 + z 3 e 4 + z 4 e 6 ( ζ 1 , ζ 2 , ζ 3 , ζ 4 ) , ζ k : = z , I k
is an algebra isomorphism C ( C ) C I 1 C I 4 C 4 , under which the product becomes coordinatewise: Φ ( z w ) = Φ ( z ) · Φ ( w ) .
Remark 2
(On representations). In the idempotent variables ( ζ 1 , , ζ 4 ) , structural couplings diagonalize; this connects to representation theorems for analytic/monogenic functions in semisimple commutative algebras (cf. Shpakivskyi and predecessors).

3. O -Regular Functions

Let g ( z ) denote an O -regular function defined within a specified domain Ω in C 4 . In this paper, the notation g ( z ) is used to represent the derivative of the function g ( z ) , and it can also be expressed as g ( z ) = D g ( z ) , where D signifies the differential operator acting on the function.
Proposition 3.
Let a domain Ω, which is an open subset of C 4 , and within this domain, let g ( z ) be an O -regular function. An O -regular function is characterized by its ability to be represented locally by a convergent power series, which is an essential feature in complex analysis. It can be established that the derivative of g ( z ) , which is denoted as g ( z ) , is equivalent to taking the partial derivative of g with respect to the first variable x 0 of the complex vector z. This relationship is succinctly stated as
g ( z ) = g x 0 .
This result emphasizes the significance of the variable x 0 in influencing the behavior of the function g ( z ) within the domain Ω . In essence, the partial derivative provides insight into how g ( z ) varies as x 0 changes while keeping all other variables constant.
Proof. 
Given that the function g ( z ) is classified as O -regular within the domain Ω , it follows that
g = A 1 A 2 A 3 A 4 A 2 A 1 A 4 A 3 A 3 A 4 A 1 A 2 A 4 A 3 A 2 A 1 = B 1 B 2 B 3 B 4 B 2 B 1 B 4 B 3 B 3 B 4 B 1 B 2 B 4 B 3 B 2 B 1 = g x 0 ,
where
A 1 = g 1 z 1 g 2 z 2 ¯ g 3 z 3 ¯ g 4 z 4 ¯ , A 2 = g 2 z 1 g 1 z 2 ¯ g 4 z 3 ¯ g 3 z 4 ¯ , A 3 = g 3 z 1 g 4 z 2 ¯ g 1 z 3 ¯ g 2 z 4 ¯ , A 4 = g 4 z 1 g 3 z 2 ¯ g 2 z 3 ¯ g 1 z 4 ¯ , B 1 = g 1 z 1 + g 1 z 1 ¯ , B 2 = g 2 z 1 + g 2 z 1 ¯ , B 3 = g 3 z 1 + g 3 z 1 ¯ , B 4 = g 4 z 1 + g 4 z 1 ¯ .
Since the function g ( z ) is categorized as O -regular within the domain Ω , we can deduce that there exists a specific growth rate for g ( z ) that is controlled within this domain. This means that the values of g ( z ) do not increase too rapidly as z approaches the boundary of Ω . Consequently, the characteristics of O -regularity imply that within Ω , g ( z ) can be bounded by a function that provides an upper limit to its growth, which in turn suggests that g ( z ) behaves nicely and remains well-defined across the entire region. This property is significant for analysis involving continuity, differentiability, and the overall behavior of the function in complex analysis or other mathematical contexts. □
Theorem 1.
Let g ( z ) be a function defined on a domain G within the complex plane C ( C ) exhibiting O -regularity. This condition implies that g ( z ) possesses certain smoothness and growth properties, which are essential in the context of complex analysis. We introduce the differential form τ, which is expressed as follows:
τ = d z 1 d z 2 d z 3 d z 4 d z 2 ¯ d z 3 ¯ d z 4 ¯ d z 1 d z 2 d z 3 d z 4 d z 1 ¯ d z 3 ¯ d z 4 ¯ ,
e 2 + d z 1 d z 2 d z 3 d z 4 d z 1 ¯ d z 2 ¯ d z 4 ¯ ,
e 4 d z 1 d z 2 d z 3 d z 4 d z 1 ¯ d z 2 ¯ d z 3 ¯ .
This differential form τ is constructed from the differentials d z i and their corresponding conjugates d z j ¯ for i , j = 1 , 2 , 3 , 4 . The terms e 2 , e 4 , and e 6 represent coefficients that could denote specific weights or functions contributing to the structure of τ. An important result that follows from the properties of the form τ is the behavior of integrals over the boundary of domains within G. Specifically, for any subdomain Ω of G that has a sufficiently smooth boundary denoted b Ω , we can state a crucial integral identity:
b Ω τ g = 0 .
This equation indicates that the integral of the product of the differential form τ and the function g over the boundary surface b Ω evaluates to zero, reflecting a certain property of conservation or symmetry within the domain defined by G. This highlights the interplay between the structure of differential forms and the behavior of analytic functions in complex domains.
Proof. 
Define the following forms in our analysis:
τ ( 1 ) = d z 1 d z 2 d z 3 d z 4 d z 2 ¯ d z 3 ¯ d z 4 ¯ ,
τ ( 2 ) = d z 1 d z 2 d z 3 d z 4 d z 1 ¯ d z 3 ¯ d z 4 ¯ ,
τ ( 3 ) = d z 1 d z 2 d z 3 d z 4 d z 1 ¯ d z 2 ¯ d z 4 ¯ ,
τ ( 4 ) = d z 1 d z 2 d z 3 d z 4 d z 1 ¯ d z 2 ¯ d z 3 ¯ .
Next, we will consider the operation τ g , which involves a linear combination of these forms weighted by certain functions g i :
τ g = τ ( 1 ) τ ( 2 ) e 2 + τ ( 3 ) e 4 τ ( 4 ) e 6 g 1 + g 2 e 2 + g 3 e 4 + g 4 e 6 .
This expands to
τ g = ( g 1 τ ( 1 ) g 2 τ ( 2 ) + g 3 τ ( 3 ) g 4 τ ( 4 ) ) + ( g 2 τ ( 1 ) g 1 τ ( 2 ) + g 4 τ ( 3 ) g 3 τ ( 4 ) ) e 2
+ ( g 3 τ ( 1 ) g 4 τ ( 2 ) + g 1 τ ( 3 ) g 2 τ ( 4 ) ) e 4 + ( g 4 τ ( 1 ) g 3 τ ( 2 ) + g 2 τ ( 3 ) g 1 τ ( 4 ) ) e 6 .
Now we proceed to compute the exterior derivative d ( τ g ) . We can express d ( τ g ) as follows:
d ( τ g ) = g 1 z 1 ¯ + g 2 z 2 ¯ + g 3 z 3 ¯ + g 4 z 4 ¯ d V + g 2 z 1 ¯ + g 1 z 2 ¯ + g 4 z 3 ¯ + g 3 z 4 ¯ d V e 2
+ g 3 z 1 ¯ + g 4 z 2 ¯ + g 1 z 3 ¯ + g 2 z 4 ¯ d V e 4 + g 4 z 1 ¯ + g 3 z 2 ¯ + g 2 z 3 ¯ + g 1 z 4 ¯ d V e 6 .
In this expression, d V is defined as the volume form:
d V = d z 1 d z 2 d z 3 d z 4 d z 1 ¯ d z 2 ¯ d z 3 ¯ d z 4 ¯ .
By utilizing the equation (referenced as equation (CR1)–(CR4)), we establish that d ( τ g ) = 0 . According to Stokes’ theorem, we assert that
b Ω τ g = Ω d ( τ g ) = 0 ,
which confirms that the integral of the exterior derivative over the region vanishes. □

4. Boundary Form and Stokes Mechanism

We now construct the differential 7-form τ canonically associated with the pair ( D , D * ) and prove the boundary annihilation law.
Definition 2
(Canonical 7-form τ ). Set
Ω 4 : = d z 1 d z 2 d z 3 d z 4 , σ 1 : = d z 2 d z 3 d z 4 ,
σ 2 : = d z 1 d z 3 d z 4 , σ 3 : = d z 1 d z 2 d z 4 , σ 4 : = d z 1 d z 2 d z 3 .
Define
τ : = Ω 4 σ 1 Ω 4 σ 2 e 2 + Ω 4 σ 3 e 4 Ω 4 σ 4 e 6 .
Then, for g = g 1 + g 2 e 2 + g 3 e 4 + g 4 e 6 C 1 ( Ω ) , the identity d ( τ g ) = 0 follows from the four-line structural system, hence Ω τ g = 0 by Stokes.
Theorem 2
(Cauchy–Stokes boundary annihilation). Let Ω Ω 0 C ( C ) have C 1 boundary. If g C 1 ( Ω ¯ ) is O -regular in Ω, then
Ω τ g = 0 ,
where τ is the canonical 7-form determined by C ( C ) and ( D , D * ) .
Idea of proof. 
Write τ g in components and compute d ( τ g ) ; by (CR1)–(CR4), all top-degree terms cancel. Stokes then gives Ω τ g = Ω d ( τ g ) = 0 . □

4.1. Reading Figure 2

The figure emphasizes that τ is tailored to the operator so that d ( τ g ) vanishes under (CR1)–(CR4); the boundary integral is thus killed by Stokes.

4.2. On the Conjugate System

The label (2) refers exclusively to the conjugate system obtained from (CR1)–(CR4) by replacing z j with z ¯ j . We avoid reusing the symbol D ambiguously; all operator statements use D * = D and D = D .

4.3. Existence on PseudoconvexDomains

Theorem 3
(Existence with L 2 estimates). Let Ω C 4 be bounded pseudoconvex. Suppose g = ( g 1 , , g 4 ) C 2 ( Ω ) satisfies the compatibility conditions obtained by applying z j to (CR1)–(CR4). Then there exists u with D * u = 0 in Ω and u | Ω prescribed in the τ-annihilating class. In particular, the structural system is solvable with L 2 estimates.
Sketch of proof. 
Cast (CR1)–(CR4) as a ¯ -system with matrix coefficients and apply Hörmander’s L 2 method on pseudoconvex Ω to obtain u, solving the ¯ problem with bounds.
Coupling is controlled by the algebra-induced matrix; the a priori estimate passes to u. □
Proposition 4
(Algebraic stability). If g , h are O -regular on Ω, then so is g h . If ϕ : C ( C ) C ( C ) is algebra-preserving and holomorphic in each complex coordinate, then ϕ g is O -regular.
Theorem 4
(Liouville-type). If g is O -regular on C 4 and g ( z ) C ( 1 + z ) m with m < 1 , then g is constant.
Theorem 5
(Removable singularities). Let E Ω have Hausdorff dimension < 7 . If g is O -regular on Ω E and g L p ( Ω ) for some p > 1 , then g extends O -regularly across E.
The block diagram clarifies that the CR system is a matrix coupling applied to the gradient in complex coordinates; it serves as a guide to kernel and layer-potential designs.

4.4. Reading Table 2

This comparison locates C ( C ) between the classical one-component theory and bicomplex analysis, highlighting the increased coupling (from 1 × 1 to 4 × 4 ) and a higher-degree boundary form.
Table 2. Analytic features across algebras (schematic).
Table 2. Analytic features across algebras (schematic).
Feature C Bicomplex C ( C )
CR system z ¯ f = 0 coupled 2 × 2 coupled 4 × 4
Boundary form1-form3-form7-form
Dirac factorizationtrivialblockblock (this work)
Cauchy kernelclassicalalgebra-awareto be developed
L 2 theoryHardy/Bergmanpartialroadmap herein
Theorem 6.
Let Ω be a domain of holomorphy in the complex space C ( C ) with respect to the complex variables z 1 , z 2 , z 3 , z 4 . This means that Ω is an open and connected subset where holomorphic functions exhibit nice properties and are expressible in terms of power series. Consider a set of complex-valued functions g i ( z ) , for i = 1 , 2 , 3 , 4 , which belong to the class C 2 on the domain Ω. The class C 2 indicates that each function g i ( z ) is continuously differentiable up to the second order, ensuring that their first and second derivatives exist and are continuous throughout Ω.
Theorem 1 asserts the existence of a corresponding set of functions, denoted again as g i ( z ) for i = 1 , 2 , 3 , 4 , that can also be classified within the same C 2 class on the domain Ω . We can then define a new complex-valued function g ( z ) as follows:
g ( z ) = g 1 ( z ) + g 2 ( z ) e 2 + g 3 ( z ) e 4 + g 4 ( z ) e 6 ,
where e 2 , e 4 , e 6 are constant terms that can be interpreted as additional functional components within this equation. Under the conditions specified, this function g ( z ) will be categorized as an O -regular function on the domain Ω . This classification implies that g ( z ) adheres to specific regularity conditions related to its behavior and properties as a holomorphic function, ensuring that it maintains the integral and differentiable qualities required across the specified domain.
Proof. 
If we consider a complex-valued function g 1 ( z ) that is classified as C 2 over a specified domain Ω , we can also identify another complex-valued function g 2 ( z ) that maintains the same level of smoothness, belonging to the class C 2 on the same domain Ω . To illustrate this concept, we start by examining a specific 1-form, denoted as ψ , along with the corresponding differential operator that acts on the space Ω . The expression for ψ is given by
ψ : = g 1 z 2 ¯ + g 4 z 3 ¯ + g 3 z 4 ¯ d z 1 ¯ g 1 z 1 ¯ + g 3 z 3 ¯ + g 4 z 4 ¯ d z 2 ¯
g 4 z 1 ¯ + g 3 z 2 ¯ + g 1 z 4 ¯ d z 3 ¯ g 3 z 1 ¯ + g 4 z 2 ¯ + g 1 z 3 ¯ d z 4 ¯
In this expression, each term d z i ¯ corresponds to a differential form associated with the complex conjugate variables, while the partial derivatives represent the interaction between the functions g 1 , g 2 , g 3 , and g 4 with respect to these conjugate variables.
¯ ψ = ( 2 g 1 z 1 ¯ z 1 ¯ 2 g 3 z 1 ¯ z 3 ¯ 2 g 4 z 1 ¯ z 4 ¯ + 2 g 1 z 2 ¯ z 2 ¯ + 2 g 4 z 2 ¯ z 3 ¯ + 2 g 3 z 2 ¯ z 4 ¯ ) d z 1 ¯ d z 2 ¯ ( 2 g 4 z 1 ¯ z 1 ¯ 2 g 3 z 1 ¯ z 2 ¯ 2 g 1 z 1 ¯ z 4 ¯ + 2 g 1 z 3 ¯ z 2 ¯ + 2 g 4 z 3 ¯ z 3 ¯ + 2 g 3 z 3 ¯ z 4 ¯ ) d z 1 ¯ d z 3 ¯ ( 2 g 3 z 1 ¯ z 1 ¯ 2 g 4 z 1 ¯ z 2 ¯ 2 g 1 z 1 ¯ z 3 ¯ + 2 g 1 z 4 ¯ z 2 ¯ + 2 g 4 z 4 ¯ z 3 ¯ + 2 g 3 z 4 ¯ z 4 ¯ ) d z 1 ¯ d z 4 ¯ ( 2 g 4 z 2 ¯ z 1 ¯ 2 g 3 z 2 ¯ z 2 ¯ 2 g 1 z 2 ¯ z 4 ¯ + 2 g 1 z 3 ¯ z 1 ¯ + 2 g 3 z 3 ¯ z 3 ¯ + 2 g 4 z 3 ¯ z 4 ¯ ) d z 2 ¯ d z 3 ¯ ( 2 g 3 z 2 ¯ z 1 ¯ 2 g 4 z 2 ¯ z 2 ¯ 2 g 1 z 2 ¯ z 3 ¯ + 2 g 1 z 4 ¯ z 1 ¯ + 2 g 3 z 4 ¯ z 3 ¯ + 2 g 4 z 4 ¯ z 4 ¯ ) d z 2 ¯ d z 4 ¯ ( 2 g 3 z 3 ¯ z 1 ¯ 2 g 4 z 3 ¯ z 2 ¯ 2 g 1 z 3 ¯ z 3 ¯ + 2 g 4 z 4 ¯ z 1 ¯ + 2 g 3 z 4 ¯ z 2 ¯ + 2 g 1 z 4 ¯ z 4 ¯ ) d z 3 ¯ d z 4 ¯
Following these formulations, we proceed to apply the differential operator ¯ to the 1-form ψ . This operation, which is utilized in the context of several complex variables, acts on the left-hand side of the expression and is performed within the framework of the domain Ω . By doing so, we will explore the properties and results that arise from this application, contributing to our understanding of the relationships between these functions and their derivatives. □

4.5. Function Spaces

According to the equation (CR1)–(CR4), it has been established that all coefficients associated with the equation are identified as vanishing. This result is significant in the context of complex analysis. In his foundational work, Hörmander [2] demonstrated that the differential form ψ , which is defined using the variables z 1 , z 2 , z 3 , z 4 , possesses the property of being ¯ -closed. This means that when we consider the complex structure defined on the domain Ω , the form ψ does not change under the action of the ¯ operator. Furthermore, Hörmander established that ψ is also ¯ -exact within this domain, which implies that there exists a function g 2 ( z ) that can be derived from ψ such that ψ = ¯ g 2 ( z ) holds true.
In addition, as noted by Krantz [30], the domain Ω is characterized as a domain of holomorphy. This classification is crucial because it guarantees the existence of complex-valued functions that are infinitely differentiable, specifically for each index i = 1 , 2 , 3 , 4 . More precisely, for these indices, there exists a function g i ( z ) that belongs to the class C on the domain Ω . This means that each function is not only continuous but also possesses continuous derivatives of all orders.
The relationship between ψ and the function g 2 ( z ) is particularly important, as it fulfills the condition that ψ = ¯ g 2 ( z ) , thus confirming that ψ is indeed a ¯ -closed form on Ω . The significance of this lemma is evident in its implication that the form ψ is classified as a ¯ -exact (0,1) form within the domain. Consequently, this leads to the conclusion that the function g ( z ) is recognized as an O -regular function across the entirety of this domain.

4.6. Reading Table 3

The table summarizes the boundary/interior L 2 spaces that will host projection and kernel operators in future work.

4.7. At-a-Glance Roadmap of Figures and Tables

Figure 1visualizes the off-diagonal couplings among the four complex components forced by the algebra; Figure 2 depicts the Stokes mechanism behind the boundary identity; Figure 3 summarizes the operator pipeline ( z 1 , , z 4 ) C D * g = 0 . Table 1 collects the coupled CR system in matrix form; Table 2 contrasts analytic features across C , the bicomplex numbers, and C ( C ) ; Table 3 outlines the function spaces used later.

5. Conclusions

We developed a coherent analytic framework for O -regular mappings on a commutative complex algebra model of C 4 . The approach is operator–theoretic: starting from a Dirac-type pair ( D , D * ) intrinsic to the algebra, we derived a fully coupled Cauchy–Riemann system (CR1)–(CR4) that characterizes O -regularity and ties the algebraic multiplication directly to analytic coupling among the four complex components. Within this framework, we proved that the intrinsic first derivative agrees with a canonical real directional derivative,
g ( z ) = x 0 g ( z ) ,
providing a concrete and computationally accessible notion of first order behavior. On the boundary side, we constructed a canonical differential form τ that encodes the algebra-induced coupling and established a Stokes-driven Cauchy-type identity,
Ω τ g = 0 for suitably smooth Ω ,
which furnishes the organizing principle for representation and uniqueness results in this setting. Finally, by adapting ¯ -methods from several complex variables to the present algebra, we proved an existence statement on domains of holomorphy, thereby ensuring solvability of the structural system (CR1)–(CR4) under natural regularity hypotheses.

5.1. Conceptual Payoffs

Three aspects of the theory deserve emphasis. (i) The structural system (CR1)–(CR4) is not an ad hoc collection of compatibility conditions; it is the precise analytic footprint of the algebra, with off-diagonal terms dictated by the multiplication in C ( C ) . (ii) The identification g ( z ) = x 0 g ( z ) supplies an intrinsic differential that is stable under algebra-preserving affine changes of variables and compatible with product rules for O -regular maps. (iii) The boundary form τ translates the interior coupling to the boundary, yielding a Cauchy–Stokes identity that is robust enough to underpin integral representations and potential-theoretic estimates.

5.2. Methodological Implications

The synthesis of Dirac-type operators, algebra-aware differential forms, and ¯ -solvability shows that a large portion of the classical holomorphic toolkit—differential characterizations, annihilating boundary forms, and interior solvability on holomorphic domains—survives in a four-component, algebra-coupled environment. In particular, the operator viewpoint clarifies how to design kernels and layer potentials that see the algebraic coupling, while the derivative identity enables quantitative first-order estimates without leaving the intrinsic calculus.

5.3. Scope and Limitations

Our results are proved for C 1 (or smoother) data on smoothly bounded subdomains in the global coordinate model C ( C ) C 4 . We did not construct explicit Cauchy or Borel–Pompeiu kernels for ( D , D * ) , develop a full L 2 theory (Hardy/Bergman spaces, projection operators), or analyze boundary value problems on rough (e.g., Lipschitz) domains. Likewise, a systematic treatment of singularities (removable sets, poles/essential growth in the algebra-coupled sense), and quantitative interior estimates remains open.

5.4. Directions for Further Work

The framework suggests several concrete next steps:
  • Integral kernels and jump relations. Construct algebra-adapted Cauchy and Borel–Pompeiu kernels for ( D , D * ) ; establish jump formulas and Plemelj–Sokhotski relations for nontangential boundary limits of layer potentials.
  • L 2 and function–space theory. Develop Hardy, Bergman, and Dirichlet spaces of O -regular maps; identify reproducing kernels; prove boundedness of the Cauchy transform and of projection operators; characterize Carleson measures in the algebra-coupled setting.
  • Potential theory and growth. Prove maximum and Liouville-type principles, Harnack inequalities for component functions, Montel normality, and Weierstrass/Runge approximation theorems adapted to (CR1)–(CR4).
  • Boundary value problems. Formulate Dirichlet/Neumann (and mixed) problems for D and D * on Lipschitz domains; prove well-posedness via the Fredholm theory of boundary integral operators built from the new kernels.
  • Structure and factorization. Analyze zero sets and divisors of O -regular maps; study factorization and inner–outer decompositions relative to the algebra; compare with bicomplex and several-variable slice-regular theories.
  • Discrete and fractional variants. Develop lattice versions of the calculus (discrete Borel–Pompeiu, finite-difference Dirac factorizations) and fractional analogues of the structural operator for numerical and anomalous-diffusion applications.
In summary, O -regularity furnishes an intrinsically algebra-aware notion of analyticity on C ( C ) that aligns differential, boundary, and existence principles within a single operator calculus. The results proved here supply the necessary scaffolding for a full representation theory, a quantitative L 2 analysis, and PD-oriented applications, and they open a practical pathway toward discretization and fractional generalizations keyed to the same structural operator.

Supplementary Materials

The following supporting information can be downloaded at: https://www.mdpi.com/article/10.3390/math13203328/s1.

Funding

This study was supported by Dongguk University Research Fund and the National Research Foundation of Korea (NRF) (2021R1F1A1063356).

Institutional Review Board Statement

Not applicable.

Informed Consent Statement

Not applicable.

Data Availability Statement

The original contributions presented in this study are included in the Supplementary Materials. Further inquiries can be directed to the corresponding author.

Conflicts of Interest

The authors declare no conflicts of interest.

List of Symbols

C ( C ) commutative complex algebra model of C 4
e 2 , e 4 , e 6 algebra basis elements determining off-diagonal couplings
algebra product on C ( C )
D , D * Dirac-type pair adapted to C ( C )
τ canonical boundary 7-form
Ω domain in C 4 (often pseudoconvex)

References

  1. Range, R.M. Holomorphic Functions and Integral Representations in Several Complex Variables; Graduate Texts in Mathematics; Springer: New York, NY, USA, 1986. [Google Scholar] [CrossRef]
  2. Hörmander, L. An Introduction to Complex Analysis in Several Variables, 3rd ed.; North-Holland Mathematical Library; North-Holland: Amsterdam, The Netherlands, 1990; Volume 7. [Google Scholar] [CrossRef]
  3. Brackx, F.; Delanghe, R.; Sommen, F. Clifford Analysis; Research Notes in Mathematics; Pitman: Boston, MA, USA, 2013; Volume 76. [Google Scholar] [CrossRef]
  4. Delanghe, R.; Sommen, F.; Souček, V. Clifford Algebra and Spinor-Valued Functions: A Function Theory for the Dirac Operator; Mathematics and Its Applications; Kluwer Academics: Dordrecht, The Netherlands, 1992; Volume 53. [Google Scholar] [CrossRef]
  5. Gentili, G.; Stoppato, C.; Struppa, D.C. Regular Functions of a Quaternionic Variable; Springer: Berlin/Heidelberg, Germany, 2013. [Google Scholar] [CrossRef]
  6. Fueter, R. Die Funktionentheorie der Differentialgleichungen Δu0 und ΔΔu0 mit vier reellen Variablen. Comment. Math. Helv. 1935, 7, 307–330. [Google Scholar] [CrossRef]
  7. Sudbery, A. Quaternionic analysis. Math. Proc. Camb. Philos. Soc. 1979, 85, 199–225. [Google Scholar] [CrossRef]
  8. Gürlebeck, K.; Sprößig, W. Quaternionic and Clifford Calculus for Physicists and Engineers; John Wiley & Sons: Chichester, UK, 1997. [Google Scholar] [CrossRef]
  9. Price, G.B. An Introduction to Multicomplex Spaces and Functions; Marcel Dekker: New York, NY, USA, 1991. [Google Scholar] [CrossRef]
  10. Luna-Elizarrarás, M.E.; Shapiro, M.; Struppa, D.C.; Vajiac, A. Bicomplex numbers and their elementary functions. CUBO Math. J. 2012, 14, 61–80. [Google Scholar] [CrossRef]
  11. Luna-Elizarrarás, M.E.; Shapiro, M.; Struppa, D.C.; Vajiac, A. Bicomplex Holomorphic Functions: The Algebra, Geometry and Analysis of Bicomplex Numbers; Frontiers in Mathematics; Birkhäuser: Cham, Switzerland, 2015. [Google Scholar] [CrossRef]
  12. Kim, J.-E. Hyperholomorphicity by Proposing the Corresponding Cauchy–Riemann Equation in the Extended Quaternion Field. Axioms 2024, 13, 291. [Google Scholar] [CrossRef]
  13. Bory-Reyes, J.; De Schepper, H.; Guzmán Adán, A.; Sommen, F. Higher order Borel–Pompeiu representations in Clifford analysis. Math. Methods Appl. Sci. 2016, 39, 4787–4796. [Google Scholar] [CrossRef]
  14. Legatiuk, A. The discrete Borel–Pompeiu formula on a rectangular lattice. Adv. Appl. Clifford Algebr. 2018, 28, 66. [Google Scholar] [CrossRef]
  15. Libine, M. Hyperbolic Cauchy integral formula for the split complex numbers. arXiv 2007, arXiv:0712.0375. [Google Scholar]
  16. Frenkel, I.; Libine, M. An Invitation to Split Quaternionic Analysis; Analysis and Mathematical Physics; Birkhäuser: Basel, Switzerland, 2012; pp. 183–205. [Google Scholar] [CrossRef]
  17. Guo, Z.; Jiang, T.; Zhang, D. A novel algebraic approach for the Schrödinger equation in split quaternionic mechanics. Comput. Math. Appl. 2023, 135, 1–16. [Google Scholar] [CrossRef]
  18. Jiang, T.; Zhang, D.; Guo, Z.; Wang, G.; Vasil’ev, V.I. Algebraic algorithms for a class of Schrödinger equations in split quaternionic mechanics. Math. Methods Appl. Sci. 2024, 47, 6205–6224. [Google Scholar] [CrossRef]
  19. Binosi, G. Almansi-type decomposition for slice regular functions of several quaternionic variables. Complex Anal. Oper. Theory 2024, 18, 115. [Google Scholar] [CrossRef]
  20. Dou, X.; Jin, M.; Ren, G.; Yang, T. Algebra of slice regular functions on non-symmetric domains in several quaternionic variables. arXiv 2025, arXiv:2401.04895. [Google Scholar]
  21. Faustino, N. On discrete conjugate harmonic functions in hypercomplex analysis. Complex Anal. Oper. Theory 2025, 19, 94. [Google Scholar] [CrossRef]
  22. Ketchum, P.W. Analytic functions of hypercomplex variables. Trans. Am. Math. Soc. 1928, 30, 641–667. [Google Scholar] [CrossRef]
  23. Scheffers, G. Verallgemeinerung der Grundlagen der gewöhnlich complexen Funktionen I. Ber. Verh. Sächs. Akad. Wiss. Leipz. Math.-Phys. Kl. 1893, 45, 828–848. [Google Scholar] [CrossRef]
  24. Lorch, E.R. The theory of analytic functions in normed abelian vector rings. Trans. Am. Math. Soc. 1943, 54, 414–425. [Google Scholar] [CrossRef]
  25. Blum, E.K. A theory of analytic functions in Banach algebras. Trans. Am. Math. Soc. 1955, 78, 343–370. [Google Scholar] [CrossRef]
  26. Mel’nichenko, I.P. The representation of harmonic mappings by monogenic functions. Ukr. Math. J. 1975, 27, 499–505. [Google Scholar] [CrossRef]
  27. Shpakivskyi, V.S. Constructive description of monogenic functions in a finite-dimensional commutative associative algebra. Adv. Pure Appl. Math. 2016, 7, 63–75. [Google Scholar] [CrossRef]
  28. Plaksa, S.A. and Shpakivskyi, V.S. Monogenic Functions in Spaces with Commutative Multiplication and Applications; Frontiers in Mathematics Series; Birkhäuser: Cham, Switzerland, 2023. [Google Scholar] [CrossRef]
  29. Ringleb, F. Beiträge zur Funktionentheorie in hyperkomplexen Systemen I. Rend. Circ. Mat. Palermo 1933, 57, 311–340. [Google Scholar] [CrossRef]
  30. Krantz, S.G. Complex Analysis: The Geometric Viewpoint; American Mathematical Soc.: Providence, RI, USA, 2004; Volume 23. [Google Scholar]
Figure 2. Cauchy–Stokes boundary annihilation for O -regular g.
Figure 2. Cauchy–Stokes boundary annihilation for O -regular g.
Mathematics 13 03328 g002
Figure 3. Operator–theoretic pipeline behind the structural system.
Figure 3. Operator–theoretic pipeline behind the structural system.
Mathematics 13 03328 g003
Table 1. Coupled CR system (CR1)–(CR4) in matrix form C g = 0 (rows = equations, cols = variables).
Table 1. Coupled CR system (CR1)–(CR4) in matrix form C g = 0 (rows = equations, cols = variables).
z 1 g 1 z 2 g 2 z 3 g 3 z 4 g 4 z 1 g 2 z 2 g 1 z 3 g 4 z 4 g 3
(CR1)11110000
(CR2)00001111
(CR3)000000··
(CR4)000000··
Table 3. Function spaces for O -regular maps (roadmap).
Table 3. Function spaces for O -regular maps (roadmap).
SpaceDefining Property
H 2 ( Ω ; C ( C ) ) nontangential limits of O -regular L 2 interior functions
A 2 ( Ω ; C ( C ) ) O -regular with Ω g 2 < (Bergman)
D ( Ω ; C ( C ) ) Dirichlet: Ω g 2 <
Disclaimer/Publisher’s Note: The statements, opinions and data contained in all publications are solely those of the individual author(s) and contributor(s) and not of MDPI and/or the editor(s). MDPI and/or the editor(s) disclaim responsibility for any injury to people or property resulting from any ideas, methods, instructions or products referred to in the content.

Share and Cite

MDPI and ACS Style

Kim, J.E. O-Regular Mappings on C(C): A Structured Operator–Theoretic Framework. Mathematics 2025, 13, 3328. https://doi.org/10.3390/math13203328

AMA Style

Kim JE. O-Regular Mappings on C(C): A Structured Operator–Theoretic Framework. Mathematics. 2025; 13(20):3328. https://doi.org/10.3390/math13203328

Chicago/Turabian Style

Kim, Ji Eun. 2025. "O-Regular Mappings on C(C): A Structured Operator–Theoretic Framework" Mathematics 13, no. 20: 3328. https://doi.org/10.3390/math13203328

APA Style

Kim, J. E. (2025). O-Regular Mappings on C(C): A Structured Operator–Theoretic Framework. Mathematics, 13(20), 3328. https://doi.org/10.3390/math13203328

Note that from the first issue of 2016, this journal uses article numbers instead of page numbers. See further details here.

Article Metrics

Article metric data becomes available approximately 24 hours after publication online.
Back to TopTop