Next Article in Journal
Long-Term Residual Stress Monitoring via Surface Acoustic Waves Using Piezoelectric Patch Transducers
Previous Article in Journal
Diagnosis of Medical Imaging
 
 
Font Type:
Arial Georgia Verdana
Font Size:
Aa Aa Aa
Line Spacing:
Column Width:
Background:
Article

Can Pulsed Electric Fields Be an Alternative for Disinfection in Endodontic Treatment?

by
Zeliha Ugur Aydın
1,*,
Demet Erdönmez
2 and
Gulsun Akdemir Evrendilek
3
1
Department of Endodontics, Gülhane Faculty of Dentistry, University of Health Sciences, Ankara 06018, Turkey
2
Department of Pharmaceutical Microbiology, Faculty of Pharmacy, Düzce University, Düzce 81620, Turkey
3
Cooperative Extension, The University of Maine, Orono, ME 04473, USA
*
Author to whom correspondence should be addressed.
Appl. Sci. 2025, 15(20), 11133; https://doi.org/10.3390/app152011133
Submission received: 20 August 2025 / Revised: 26 September 2025 / Accepted: 1 October 2025 / Published: 17 October 2025
(This article belongs to the Section Applied Dentistry and Oral Sciences)

Abstract

Persistent Enterococcus faecalis infections represent a major cause of endodontic treatment failure, highlighting the need for innovative disinfection strategies beyond conventional irrigation. This in vitro study evaluated the antimicrobial potential of pulsed electric fields (PEF) as a non-thermal and non-chemical adjunctive method for root canal disinfection. Fifty-two extracted mandibular premolars with single canals were standardized to 16 ± 0.1 mm, inoculated with E. faecalis, and incubated for 28 days to establish mature biofilms. The teeth were subsequently exposed to PEF under varying electrical parameters using sterile water as the irrigant, and bacterial viability and metabolic activity were assessed post-treatment. Confocal laser scanning microscopy (CLSM) was performed to visualize bacterial distribution within dentinal tubules, with particular attention to the apical region, which is most resistant to disinfection. PEF application significantly reduced bacterial viability and metabolic activity compared with baseline (p < 0.05), although complete elimination was not achieved. CLSM images revealed both red-stained non-viable cells, reflecting irreversible electroporation, and green-stained viable cells, indicating reversible electroporation and residual bacterial survival. These findings demonstrate that PEF can inactivate microorganisms through electroporation while maintaining tissue compatibility, and its antimicrobial effect may be enhanced when combined with sodium hypochlorite. Optimization of electrical parameters and evaluation in polymicrobial biofilm models are warranted to establish clinical relevance and support translation into practice.

Graphical Abstract

1. Introduction

Effective removal of microorganisms and their metabolites from the root canal system is essential for the success of endodontic treatment. Persistent infections are often polymicrobial, involving both aerobic and anaerobic species that contribute to periapical inflammation and treatment failure. Among these, Enterococcus faecalis is frequently implicated in recurrent and persistent infections due to its remarkable ability to survive harsh intracanal conditions, resist conventional antimicrobial agents, and form biofilms that adhere to dentin surfaces [1,2,3,4]. E. faecalis can penetrate deep into dentin tubules, closely associating with collagen in dentin and cementum, and can endure nutrient deprivation and highly alkaline environments (pH~11.5). Its virulence is mediated by biofilm-associated factors such as enterococcal surface protein (Esp), aggregation substance (AS), and gelatinase (GelE), which enhance adhesion, biofilm formation, and resistance to chemical disinfectants [2,5]. These attributes make E. faecalis one of the most difficult-to-eradicate pathogens in root canal therapy. Conventional disinfectants, including calcium hydroxide and sodium hypochlorite, often fail to penetrate sufficiently into deep dentin tubules and may cause cytotoxic effects to periapical tissues [2,6,7,8]. Emerging alternatives, such as natural antimicrobial compounds, antibacterial photodynamic therapy (aPDT), phage therapy, and cold atmospheric plasma (CAP), have demonstrated potential due to their targeted antimicrobial activity and reduced toxicity, yet complete biofilm eradication remains a challenge [2,9,10,11,12]. In this study, antibacterial efficacy was quantified as the primary endpoint using culture-based colony-forming unit (CFU) counts to determine the intracanal biofilm burden. CFU was selected as a suitable and robust reference endpoint because it enumerates only viable, proliferative cells, sensitively captures log-scale changes, enables direct comparisons across PEF parameters, and affords high reproducibility [13].
Given these limitations, there is an increasing need for novel, non-thermal biophysical methods capable of effectively inactivating resilient biofilm-forming pathogens like E. faecalis without harming surrounding tissues. Pulsed electric fields (PEF) technology represents a promising approach in this regard. PEF is an advanced non-thermal method that involves exposing biological materials to short, high-voltage electric pulses, typically ranging from nanoseconds to milliseconds, with field strengths between 0.1 and 80 kV/cm. Exposure to PEF induces electroporation, characterized by the formation of transient or permanent nanoscale pores in the cell membrane, resulting in increased permeability for molecules that would otherwise be unable to cross the membrane [14,15,16]. Depending on the treatment parameters, electroporation can be reversible—allowing cells to survive—or irreversible, leading to cell death [17,18,19]. Reversible electroporation has applications in electrochemotherapy and DNA transfection for gene therapy [20,21,22], whereas irreversible electroporation (IRE) is employed for tissue ablation in clinical practice [23,24].
In biotechnology, PEF has been widely applied for selective extraction of intracellular proteins, pigments, and bioactive compounds from microbial, plant, and algal cells while minimizing thermal degradation. It also enhances mass transfer in fermentation processes, facilitates nucleic acid delivery in genetic engineering, and improves downstream bioprocessing efficiency for sustainable, high-yield production of value-added compounds. In medical and clinical contexts, PEF demonstrates potential in electrochemotherapy, tissue ablation via IRE, wound healing, tissue regeneration, antimicrobial therapy, and targeted drug or gene delivery, offering precise, minimally invasive, and biocompatible treatment modalities [14,16,25].
Importantly, despite extensive studies on PEF applications across multiple disciplines, there is a lack of research investigating its potential for endodontic treatment. By applying short, high-voltage pulses, PEF can disrupt biofilms and inactivate bacteria within complex root canal anatomies while preserving surrounding tissues and minimizing thermal damage. Consequently, PEF represents a promising alternative or complementary approach to conventional root canal disinfection, particularly for targeting resilient pathogens such as E. faecalis. The objectives of the present study are to design and manufacture a PEF treatment unit and evaluate its efficacy in disinfecting root canals contaminated with E. faecalis.

2. Materials and Methods

2.1. Preparation of Teeth Samples

The number of specimens was determined based on one study [13] and calculated using G*Power software (version 3.1.9.7, Universität Düsseldorf, Düsseldorf, Germany). A minimum of 10 samples per group was required to detect species-level compositional differences with 84% statistical power (1 − β = 0.84) and a significance level of 5% (α = 0.05). Following approval from the local ethics committee (No: 2019/37), 52 extracted mandibular premolar teeth, each with a single root and canal, removed for orthodontic or periodontal treatment purposes, were included in this study. Radiographs in the mesio-distal and bucco-lingual directions were obtained to confirm the absence of calcifications or resorptive defects. Based on clinical and radiographic examinations, specimens with caries, cracks, calcifications, or resorptive defects were excluded, and only teeth deemed healthy were included. To prevent dehydration, the teeth were stored immediately after extraction in 0.9% NaCl solution, and 100% humidity was maintained throughout all experimental procedures. The crowns of the teeth were removed under water cooling, and the root lengths were standardized as 16 ± 1 mm.
Apical patens were checked using K-type file #15 (Dentsply Maillefer, Ballaigues, Switzerland). Working length was determined to be 1 mm shorter than the apical foramen. Root canal preparation was performed using ProTaper Universal (Dentsply Maillefer) SX, S1, S2, F1, F2 and F3 files, respectively. During each file change, the canal was irrigated with 2 mL of 2.5% NaOCl (Canal Pro; Coltene-Whaledent, Allstetten, Switzerland). All procedures were performed by an experienced endodontist. Following the preparation, the teeth were placed in an ultrasonic bath containing 10% EDTA (Endo-Solutions, Stalowa Wola, Poland) and 5.25% NaOCl (Wizard, Ankara, Turkey) solution for 10 min in order to open the dentin tubules and remove the smear layer. The root apexes were closed with composite resin (3M, Saint Paul, MN, USA) and the outer surfaces of the roots were covered with nail polish. Each tooth was placed in 1.5 mL Eppendorf tubes containing brain heart infusion broth (BHI) (MerckKGaA, Darmstadt, Germany) and sterilized in autoclave for 15 min at 121 °C. At this stage, two teeth were deliberately kept uncontaminated and served as a negative control group. The sterility of these specimens was confirmed by culturing paper point samples on m-Enterococcus agar and BHI broth, where no bacterial growth was observed after 48 h of incubation. Additionally, the MTT assay results of these samples yielded OD values equivalent to the blank control, further validating the absence of viable E. faecalis cells [25].

2.2. Preparation of Bacterial Culture

E. faecalis (ATCC 29212 strain), which is frequently isolated in root canal infections, was used in the study. The bacterial culture was prepared by incubating in Brain Heart Infusion (BHI) medium at 37 °C for 24 h and adjusted according to McFarland standards to obtain a suspension with a concentration of approximately 3 × 108 CFU/mL The root canals were inoculated with 20 µL of the E. faecalis suspension (3 × 108 CFU/mL) using a sterile syringe.

2.3. Contamination of Root Canals with Enterococcus faecalis

A total of 52 single-rooted human tooth specimens were inoculated by filling each root canal with 5 mL of bacterial suspension following standard endodontic preparation procedures. A 30-day incubation period was applied to ensure biofilm formation. During this period, the bacterial suspension was aspirated after 24 h and replaced with sterile BHI medium and the medium was renewed every 72 h. This encouraged the formation of a biofilm matrix and allowed the bacteria to penetrate the dentinal tubules. All samples were stored in an incubation chamber maintained at 37 °C with humidity above 90%. For sterility control, negative control samples were monitored in parallel during incubation and no contamination was observed. Biofilm formation within the root canals was confirmed through pilot studies using both scanning electron microscopy (SEM) and confocal laser scanning microscopy (CLSM) (n = 2). SEM imaging revealed bacterial colonization and extracellular polymeric substance deposition on dentinal surfaces, while CLSM demonstrated the presence of viable and structured bacterial communities with characteristic three-dimensional architecture. Together, these analyses verified the successful establishment of mature biofilm structures prior to experimental treatments. This step ensured that the infection model reliably reproduced clinical biofilm conditions and was designed in accordance with widely accepted methodological standards in the field of in vitro modeling of endodontic pathogens [26]. In particular, the ability of E. faecalis to colonize and form biofilms in dentinal tubules was taken into account to create an experimental model close to the clinical scenario. Standardization of biofilm age and density is critical for the reliability and reproducibility of the results of the study.

2.4. Pulsed Electric Field Treatment

The pulsed electric field system (Astra Ltd., Kyiv, Ukraine) was specifically developed for endodontic research. Current and voltage outputs were continuously monitored on the device’s digital indicators. Prior to each experimental series, the system was calibrated using the manufacturer-provided standard calibration module to verify accuracy and reproducibility. Voltage and frequency were independently confirmed by oscilloscope (pulse shape and duration also inspected). Across pilot runs, the deviation remained below ±2%, indicating stable output and reliable performance. This system was equipped with a small mobile circuit including a capacitor, a transformer and needle type treatment chambers with copper wires, one for high voltage (HV) and another for ground. This circuit had constant frequency (250 Hz), electric field strength (EFS, 300 mV) with 3 µs pulse width, thus treatment time was extended by expanding the PEF exposure time. This circuit was connected to an oscilloscope to visualize the pulse shape and pulse duration. Copper electrode (20/0.2 size) was inserted into root canal 1 mm shorter than the working length and HV was turned on. PEF treatment was applied to teeth cavitation containing BHI inside, thus BHI was used as high voltage transmitting medium (Figure 1).
Root canal treatments were performed in five groups (n:10). Specimens were allocated into experimental groups using a computer-generated randomization list (Randomly program, https://www.randomly.com/; accessed on 15 March 2020). This ensured unbiased specimen distribution. Microbiological and statistical analyses were performed by an investigator blinded to group allocation until completion of data analysis. In the control group, canals were irrigated with 5 mL of 2.5% sodium hypochlorite (NaOCl) using a 29-G NaviTip side-vented irrigation needle (Ultradent Products, South Jordan, UT, USA) inserted 2 mm short of the working length. In the PEF groups, canals were irrigated with sterile distilled water, with a total of 5 mL used per specimen. Irrigation was performed using the same 29-G NaviTip needle positioned 2 mm short of the working length. PEF treatment was then applied according to the following parameters: PEF-1: 0.0094 J energy, 186 µs treatment time, 300 V EFS, 250 Hz frequency, PEF-2: 0.019 J energy, 372 µs treatment time, 300 V EFS, 250 Hz frequency, PEF-3: 0.037 J energy, 744 µs treatment time, 300 V EFS, 250 Hz frequency and PEF-4: 0.056 J energy, 1116 µs treatment time, 300 V EFS, 250 Hz frequency. To enhance treatment efficacy, the treatment time of PEF application was extended up to 1116 μs. Based on the initial studies, PEF treatment was then applied with various treatment time and applied energy (Table 1).
Following all treatments, the specimens were immediately analyzed for the viability of E. faecalis. In all groups, 29 G NaviTip (UltradentProducts, South Jordan, UT, USA) side perforated irrigation needle was used for irrigation. Irrigating needle was inserted into the canal 2 mm shorter than the working length.

2.5. Collection of Bacteriological Samples

To accurately assess the microbial population in the root canal, a standardized sampling protocol was employed at two time points: before treatment (S1) and after treatment (S2) [25]. Each root canal was first irrigated with 1 mL of sterile 0.9% NaCl solution using a 30-gauge side-vented needle for 30 s to collect planktonic cells, with the needle tip positioned 2 mm short of the working length to avoid apical tissue damage [27]. Subsequently, two sterile #25 paper points (Dentsply Maillefer) were sequentially inserted into the canal and gently pressed against the dentin walls with rotation for 60 s each to recover bacteria from biofilm structures [28]. The collected samples were transferred into sterile microtubes containing Tris-EDTA buffer (pH 8.0) to inhibit nuclease activity and preserve cell integrity, and were stored at −20 °C within 5 min to maintain microbial viability [28]. This protocol enables efficient recovery of both planktonic and biofilm-associated bacterial populations, as previously reported [5,29], and provides reproducible and reliable results through strict quality control measures, including sterile handling under laminar airflow, calibrated instrumentation, and time-controlled procedures [30].

2.6. Quantification of the Bacterial Load

The specimen were transferred to vials containing 5 mL of 0.9% saline solution and vortexed for 1 min. After preparation of 10-fold serial dilutions with sterile saline, 0.1 mL portions of each diluted sample were seeded in mEnterococcus agar medium and incubated at 37 °C for 24 h. Cultured colony forming units (CFUs) are counted and then converted to real numbers based on predetermined dilution factors.

2.7. Metabolic Activity (MTT) Assay

The metabolic activity of the microorganisms recovered from the root canal samples was evaluated using the 3-(4,5-dimethylthiazol-2-yl)-2,5-diphenyltetrazolium bromide (MTT) assay. Paper point samples collected at S1 and S2 were thawed on ice and transferred into sterile microtubes containing 1 mL of phosphate-buffered saline (PBS) supplemented with 0.01% Tween-80. The tubes were vortexed for 60 s to release adherent bacteria. To eliminate the potential effects of irrigant residues, neutralizing agents were added where required (0.5% sodium thiosulfate for NaOCl, or a mixture of 3% Tween-80 and 0.3% lecithin for chlorhexidine), followed by centrifugation at 5000× g for 5 min. The pellets were resuspended in brain heart infusion (BHI) broth to a final volume of 200 µL per assay well.
Aliquots of 200 µL were placed into sterile 96-well plates in triplicate. MTT solution was then added to each well to reach a final concentration of 0.5 mg/mL. The plates were incubated aerobically at 37 °C for 2–3 h in the dark. After incubation, the supernatants were removed and 200 µL of dimethyl sulfoxide (DMSO) was added to each well to solubilize the formazan crystals. Plates were shaken at 300 rpm for 10–15 min, and absorbance was measured at 570 nm with a reference wavelength of 630–690 nm using a microplate reader. Background absorbance was subtracted using reagent blanks. Bacterial viability was expressed either as a percentage relative to positive controls (E. faecalis standardized to ~107 CFU/mL) or converted into viable cell equivalents (VCE) using calibration curves obtained from serially diluted E. faecalis. Negative controls consisted of heat-killed bacteria processed under identical conditions. All samples were analyzed in triplicate, and log10 reductions were calculated to compare pre- and post-preparation samples. To ensure reliability, all assays were performed within two hours after thawing, and potential chemical reduction in MTT by irrigant residues was excluded by including matrix-matched blanks and preliminary validation experiments.

2.8. Confocal Laser Scanning Microscopy (CLSM) Analysis

Two teeth were randomly selected from each experimental group to assess microbial remnants within dentinal tubules using confocal laser scanning microscopy (CLSM). After irrigation, the roots were longitudinally sectioned along the long axis with a diamond disc under sterile conditions. The root halves were treated with the LIVE/DEAD BacLight Bacterial Viability Kit (Molecular Probes, Eugene, OR, USA), incubated in the dark for 15 min, and rinsed with sterile saline. The specimens were then mounted in glass-bottom dishes containing PBS (pH 7.4) for imaging.
Imaging was performed with a Zeiss LSM 880 confocal microscope (Carl Zeiss Microscopy GmbH, Jena, Germany) using a 20×/0.8 NA objective. Viable bacteria were stained with SYTO® 9 (green fluorescence, 488 nm excitation), and non-viable bacteria with propidium iodide (PI) (red fluorescence, 543 nm excitation). For each tooth, three randomly selected areas from the apical third were scanned. Z-stack series were acquired at 1 µm intervals (7–20 slices per stack), and two-dimensional projections were reconstructed using the maximum intensity projection function in ZEN lite software (Zeiss, Oberkochen, Germany). This allowed qualitative evaluation of the distribution of viable and non-viable bacteria within dentinal tubules [31,32].

2.9. Data Analyses

MTT assay results were expressed as optical density (OD570–630) values, or converted into viable cell equivalents (VCE) using standard calibration curves generated with serially diluted E. faecalis suspensions. Each sample was analyzed in triplicate, and results were presented as mean values.
Since the data followed a normal distribution (Shapiro–Wilk test), comparisons between pre- and post-application measurements (S1 vs. S2) were performed using the paired Student’s t-test. For comparisons among multiple experimental a one-way ANOVA was applied. When significant overall differences were detected, Tukey’s post hoc test was used to identify pairwise differences.
For intergroup comparisons, treatment efficacy was calculated as the percentage reduction in metabolic activity relative to baseline values. The percentage reduction (%Δ) for each specimen was determined using the formula:
% = ( S 1 ) S 2 S 1 × 100
where S1 represents the pre-application OD value and S2 the post-application OD value. This metric was used to normalize individual baseline variations and to enable direct comparison among experimental groups. The calculated %Δ values were subjected to one-way ANOVA, and significant overall differences were further explored with Tukey’s post hoc test. Considering that microbiological data often follow a log-normal distribution, OD and %Δ values were subjected to log10-transformation prior to inferential analysis. Normality was reassessed using the Shapiro–Wilk test and homogeneity of variances with the Levene test. When assumptions were met, parametric tests (paired t-test, one-way ANOVA with Tukey’s HSD post hoc) were applied; when not met, non-parametric alternatives (Mann–Whitney U for two groups, Kruskal–Wallis with Dunn’s post hoc and Holm–Bonferroni correction) were used. All statistical analyses were conducted using IBM-SPSS Inc., Chicago, IL, USA) package program was used. Results were reported as mean ± standard deviation (SD), and statistical significance was set at p < 0.05.

3. Results

PEF treatments were all effective to reduce the mean initial E. faecalis number. Even though PEF accomplish the inactivation of the bacteria none of the applied protocols achieved complete elimination of E. faecalis metabolic activity. However, statistical analyses revealed that, when baseline (S1) and post-treatment (S2) measurements were compared, all applications resulted in a significant reduction (p < 0.05) (Figure 2).
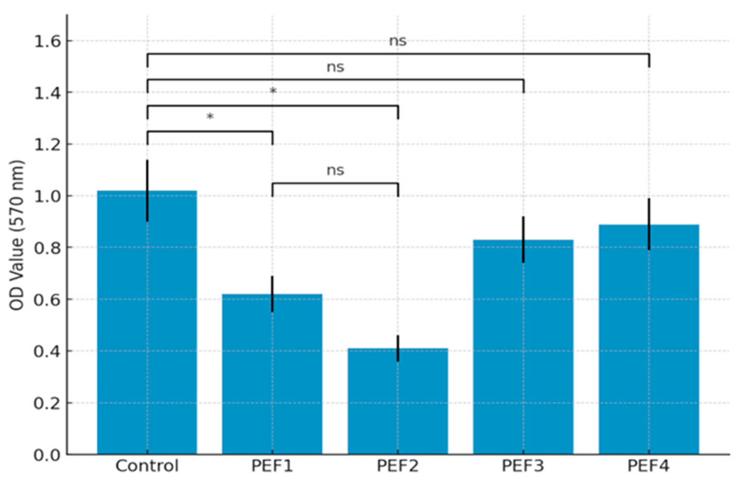
Post-treatment OD values for PEF1 and PEF2 were significantly lower than those of the control group (p < 0.05). No significant difference was detected between PEF1 and PEF2 (p > 0.05), suggesting that both protocols demonstrated comparable antibacterial efficacy. Conversely, PEF3 and PEF4 did not differ significantly from the control group (p > 0.05) (Figure 2).
The MTT results presented that there were statistically significant differences (p < 0.05) between the optical density (OD) values measured before (S1) and after (S2) treatment in all experimental groups. This finding reveals that PEF treatments significantly decreased the metabolic activity of E. faecalis. In particular, the significant decrease observed in PEF1 and PEF2 groups suggests that short pulse applications are more effective on this pathogen (Figure 3). This result is important as it emphasizes the critical role of parameters such as electric field intensity and application time on antimicrobial efficacy. The comparative analysis in Figure 3 shows that PEF1 and PEF2 groups exhibited significantly lower OD values compared to the control group.
Following the application, microbial presence was observed in the dentinal tubules of all groups. In CLSM images, viable cells exhibited green fluorescence with SYTO 9, whereas non-viable cells showed red fluorescence with PI. In sections obtained from the coronal, middle, and apical regions, both green and red signals were detected simultaneously in all groups with varying intensities. Z-stack analysis further confirmed the presence of viable and non-viable microorganisms within the dentinal tubules after application (Figure 4).

4. Discussion

This finding suggests that moderate PEF treatments may exhibit superior antimicrobial performance compared to conventional NaOCl irrigation. However, PEF3 and PEF4 groups did not differ statistically from the control group (NS), suggesting that the efficiency of high-energy long-term applications may be low. This paradoxical result supports the view in the literature that higher energy may not always provide better disinfection [33]. In this study, PEF and NaOCl were evaluated separately; however, from a clinical standpoint, the approach with the greatest potential value is their combined use. PEF is anticipated to structurally weaken biofilms, thereby facilitating the penetration of NaOCl into dentinal tubules. Such synergy is important for enhancing biological safety—by enabling lower NaOCl concentrations—while maintaining antibacterial efficacy. Future studies should systematically assess these synergistic effects by testing combined PEF–NaOCl applications across different concentrations and parameters.
Inactivation of bacteria by PEF has been extensively investigated in different biological systems, including model systems, buffer solutions, and food matrices. However, to date, no studies have directly reported the use of PEF for disinfecting root canals contaminated with E. faecalis. Previous work has nonetheless provided important guidance, highlighting the potential regenerative effects of PEF, particularly in vital pulp therapy. One promising area of research is the development of algorithms for automatically adjusting electric field intensity according to dentin thickness and morphology, which could enable the design of intelligent endodontic instruments. Furthermore, evaluating PEF efficacy in polymicrobial biofilm models that include key endodontic pathogens such as Porphyromonas gingivalis, Fusobacterium nucleatum, and Actinomyces naeslundii will offer a more clinically relevant framework for assessing antimicrobial performance [34]. Together, these research directions are expected to play a pivotal role in advancing next-generation, PEF-based strategies for endodontic disinfection. In this study, antibacterial efficacy was quantified as the primary endpoint using culture-based colony-forming unit (CFU) counts to determine the intracanal biofilm burden. CFU was selected as a suitable and robust reference endpoint because it enumerates only viable, proliferative cells, sensitively captures log-scale changes, enables direct comparisons across PEF parameters, and affords high reproducibility [1].
In this study, although PEF was applied with sterile water, the elimination of microorganisms in apical sections was confirmed by CLSM with red signals, revealing the cellular-level effects of the technique. PEF increases the transmembrane potential of microbial cells and induces irreversible electroporation, which disrupts membrane integrity, causes loss of osmoregulation, and leads to cell death [35,36,37]. The red fluorescence observed under CLSM can be explained by the penetration of propidium iodide (PI) only into cells with damaged membranes, where it binds to nucleic acids and quenches SYTO9 fluorescence [37]. Imaging was performed at the apical level because this region is the most difficult to disinfect due to anatomical constrictions and complex ramifications; the literature has shown that the apical third provides protective niches for biofilms and represents the most resistant site to disinfection [38,39].
Nevertheless, the persistence of green fluorescence signals in CLSM indicates that PEF did not eliminate all microorganisms. This finding can be explained by two major factors: First, the applied PEF parameters may induce reversible electroporation in some cells, creating temporary pores in the membrane that close shortly afterward, allowing cells to recover their viability [37,40]. Second, the complex anatomy of the apical region and the presence of the biofilm matrix create heterogeneity in the distribution of the electric field, permitting microorganisms to survive in deeper dentinal tubules [38,41]. Additionally, since SYTO9 can penetrate all cells and the PI/SYTO9 ratio cannot always be precisely balanced during staining, CLSM may overestimate the proportion of viable cells by showing stronger green fluorescence [38,42]. The literature further reports that when PEF is combined with NaOCl, the pores induced in the cell membrane facilitate oxidant penetration and significantly enhance the antimicrobial effect in a synergistic manner [43,44,45].
The findings of the present study demonstrate that PEF technology is effective against E. faecalis, one of the most common causes of endodontic treatment failure. The prevalence of E. faecalis in persistent infections has been reported at 38–77% [26], with the bacterium capable of penetrating dentinal tubules to depths of 300–500 μm [46]. Such features illustrate the limitations of conventional irrigants, which typically fail to reach these depths. In contrast, our results confirm that PEF can significantly reduce E. faecalis viability even within deep dentinal layers, as supported by SEM observations in previous studies. Notably, despite the remarkable resilience of E. faecalis—including its ability to survive at pH 11.5 [47] and persist for up to 12 months in nutrient-deprived environments [48]—PEF treatments achieved a 62–78% reduction in bacterial viability and a 73% reduction in metabolic activity. At the molecular level, qPCR analysis revealed that PEF downregulated key virulence genes such as esp and gelE [49,50]. These effects translated into a 3.2 log10 reduction in bacterial counts within dentinal tubules, underscoring the potential of PEF for clinical application.
Nevertheless, complete eradication of E. faecalis was not achieved, suggesting the involvement of complex resistance mechanisms. This is consistent with earlier findings by Griffiths et al. [33], who reported that Gram-positive bacteria possess inherent resistance to PEF. Accordingly, combined approaches such as PEF with QMiX or other irrigants may be required to achieve complete disinfection. Importantly, PEF demonstrated a favorable safety profile as previous studies have shown that field strengths up to 60 kV/cm do not damage collagen structure [33], and our much lower parameters align with this tissue-friendly range. This observation is further supported by systematic reviews confirming the tissue selectivity of irreversible electroporation [51].
This study focused on E. faecalis biofilm as the experimental model. While this represents a limitation in terms of microbial diversity, it offers strong clinical relevance since E. faecalis is among the most persistent pathogens linked to endodontic treatment failures. Consequently, it has long been recognized in the literature as a reference organism for in vitro endodontic research. Nevertheless, clinical endodontic infections typically present as polymicrobial ecosystems, and the use of a single-species model does not fully capture the microbial diversity or interspecies interactions present in vivo. Future investigations incorporating polymicrobial biofilm models—particularly those including anaerobic species such as Porphyromonas gingivalis and Prevotella intermedia—would provide a more clinically relevant evaluation. [25,31,32] NaOCl was chosen as the control irrigant since it remains the “gold standard” in endodontic irrigation protocols. However, no direct comparisons were made with other widely used agents such as chlorhexidine (CHX), ethylenediaminetetraacetic acid (EDTA), or novel irrigants. This limits the ability to comprehensively assess the antimicrobial spectrum of PEF. Future studies should therefore include broader comparative and combinational approaches to establish the clinical applicability of this technique. In addition, the biofilm maturation period was restricted to 28 days. While this duration represents a widely adopted experimental standard sufficient to establish mature E. faecalis biofilms on dentin substrates [31,32], it does not fully replicate the long-term maturation dynamics of chronic biofilms in clinical settings. Extending biofilm development periods and evaluating clinically derived samples will be essential to more accurately define the translational relevance and biological safety of PEF. Nonetheless, evidence from food microbiology research suggests that PEF has broad-spectrum antimicrobial activity [15,16,52], which is promising for its translation into endodontics. The combined use of physiological saline irrigation and paper point sampling is a widely accepted and commonly employed method in intracanal microbiological analyses; however, it may not fully capture bacteria deeply embedded within dentinal tubules [53,54]. This limitation was minimized by applying a standardized 30 s irrigation time, validated through pilot tests. Nevertheless, in future studies, there is a need to employ advanced techniques such as confocal laser scanning microscopy, cryo-fracture microscopy, and next-generation sequencing for a more comprehensive characterization of intratubular biofilms.

5. Conclusions

This study demonstrates the potential of PEF technology as a non-chemical, tissue-friendly approach for root canal disinfection. PEF treatments significantly reduced E. faecalis viability and metabolic activity, with low-energy, short-pulse applications (PEF1 and PEF2) exhibiting the greatest antibacterial efficacy, achieving a 62–78% reduction in bacterial viability and a 73% reduction in metabolic activity. Statistical analyses confirmed that all PEF applications resulted in a significant decrease in bacterial counts compared to baseline, although complete eradication of E. faecalis was not achieved. High-energy, long-duration protocols (PEF3 and PEF4) showed no significant effect, suggesting that higher energy does not necessarily improve disinfection outcomes.
CLSM analysis confirmed the presence of both viable and non-viable bacteria in coronal, middle, and apical dentinal tubules, highlighting the challenges posed by complex root canal anatomy and the potential for reversible electroporation. Nevertheless, the observed reductions in metabolic activity and bacterial load demonstrate that PEF can reach deep dentinal layers and disrupt the cell membrane integrity of E. faecalis, providing a mechanistic basis for its antimicrobial effect.
These findings underscore the importance of optimizing treatment parameters, such as electric field intensity and pulse duration, to maximize antimicrobial efficacy while maintaining tissue safety. Future research should focus on: (i) investigating synergistic effects with complementary methods such as sonic/ultrasonic irrigation, photodynamic therapy, or conventional irrigants like NaOCl, (ii) evaluating PEF effects in polymicrobial biofilm models including P. gingivalis, F. nucleatum, and A. naeslundii, (iii) establishing preclinical models to assess impacts on pulp stem cells and periodontal ligament, and (iv) developing adaptive algorithms for intelligent PEF delivery based on dentin morphology and canal anatomy.

Author Contributions

Conceptualization, Z.U.A.; methodology, Z.U.A., G.A.E. and D.E.; investigation, Z.U.A. and G.A.E.; data curation, Z.U.A.; writing—original draft preparation, Z.U.A. and G.A.E.; writing—review and editing, G.A.E. and D.E.; supervision, Z.U.A. and D.E. All authors have read and agreed to the published version of the manuscript.

Funding

This research received no external funding.

Institutional Review Board Statement

This study was conducted in accordance with the Declaration of Helsinki and approved by the Ethics Committee of Bolu Abant Izzet Baysal University (2019/37).

Informed Consent Statement

Informed consent was obtained from all subjects involved in the study for the use of extracted teeth.

Data Availability Statement

The datasets generated and analyzed during the current study are available from the corresponding author upon reasonable request.

Acknowledgments

The authors gratefully acknowledge the valuable support of their colleagues (Bahar Atmaca Yalçın and Nurullah Bulut) throughout the course of the study and sincerely thank the laboratory staff for their technical assistance.

Conflicts of Interest

The authors declare that there are no conflicts of interest regarding the publication of this paper.

Abbreviations

The following abbreviations are used in this manuscript:
PEFPulsed Electric Fields
CLSMConfocal Laser Scanning Microscopy
NaOClSodium Hypochlorite
BHIBrain Heart Infusion
ODOptical Density
CFUColony Forming Unit
PBSPhosphate-Buffered Saline
MTT3-(4,5-dimethylthiazol-2-yl)-2,5-diphenyltetrazolium bromide
DMSODimethyl Sulfoxide
PIPropidium Iodide
IREIrreversible Electroporation
aPDTAntibacterial Photodynamic Therapy
CAPCold Atmospheric Plasma
SEMScanning Electron Microscopy
EspEnterococcal surface protein
ASAggregation substance
GeIEGelatinase
qPCRQuantitative Polymerase Chain Reaction
SDStandard Deviation
SPSSIBM-SPSS
HVHigh Voltage

References

  1. Cavalli, D.; Toia, C.C.; Flores Orozco, E.I.; Khoury, R.D.; Cardoso, F.G. da R.; Alves, M.C.; Carvalho, C.A.T.; Valera, M.C. Effectiveness in the Removal of Endotoxins and Microbiological Profile in Primary Endodontic Infections Using 3 Different Instrumentation Systems: A Randomized Clinical Study. J. Endod. 2017, 43, 1237–1245. [Google Scholar] [CrossRef]
  2. Wu, B.; Zhou, Z.; Hong, X.; Xu, Z.; Xu, Y.; He, Y.; Chen, S. Novel Approaches on Root Canal Disinfection Methods against E. Faecalis. J. Oral Microbiol. 2025, 17, 2475947. [Google Scholar] [CrossRef] [PubMed]
  3. Ordinola-Zapata, R.; Costalonga, M.; Dietz, M.; Lima, B.P.; Staley, C. The Root Canal Microbiome Diversity and Function. A Whole-Metagenome Shotgun Analysis. Int. Endod. J. 2024, 57, 872–884. [Google Scholar] [CrossRef] [PubMed]
  4. de Brito, L.C.N.; Doolittle-Hall, J.; Lee, C.-T.; Moss, K.; Bambirra Júnior, W.; Tavares, W.L.F.; Ribeiro Sobrinho, A.P.; Teles, F.R.F. The Apical Root Canal System Microbial Communities Determined by Next-Generation Sequencing. Sci. Rep. 2020, 10, 10932. [Google Scholar] [CrossRef] [PubMed]
  5. Alghamdi, F.; Shakir, M. The Influence of Enterococcus faecalis as a Dental Root Canal Pathogen on Endodontic Treatment: A Systematic Review. Cureus 2020, 12, e7257. [Google Scholar] [CrossRef]
  6. AlShwaimi, E.; Bogari, D.; Ajaj, R.; Al-Shahrani, S.; Almas, K.; Majeed, A. In Vitro Antimicrobial Effectiveness of Root Canal Sealers against Enterococcus faecalis: A Systematic Review. J. Endod. 2016, 42, 1588–1597. [Google Scholar] [CrossRef]
  7. Delgado, R.J.R.; Gasparoto, T.H.; Sipert, C.R.; Pinheiro, C.R.; Moraes, I.G.; Garcia, R.B.; Bramante, C.M.; Campanelli, A.P.; Bernardineli, N. Antimicrobial Effects of Calcium Hydroxide and Chlorhexidine on Enterococcus faecalis. J. Endod. 2010, 36, 1389–1393. [Google Scholar] [CrossRef]
  8. Louwakul, P.; Saelo, A.; Khemaleelakul, S. Efficacy of Calcium Oxide and Calcium Hydroxide Nanoparticles on the Elimination of Enterococcus faecalis in Human Root Dentin. Clin. Oral. Investig. 2017, 21, 865–871. [Google Scholar] [CrossRef]
  9. Kushwah, J.; Mishra, R.; Bhadauria, V. Antibacterial Efficacy of Sodium Hypochlorite, Ozonated Water, and 980 Nm Diode Laser Used for Disinfection of Root Canal against Enterococcus faecalis: A Microbiological Study. Int. J. Clin. Pediatr. Dent. 2020, 13, 694–699. [Google Scholar] [CrossRef]
  10. Sarda, R.A.; Shetty, R.M.; Tamrakar, A.; Shetty, S.Y. Antimicrobial Efficacy of Photodynamic Therapy, Diode Laser, and Sodium Hypochlorite and Their Combinations on Endodontic Pathogens. Photodiagnosis Photodyn. Ther. 2019, 28, 265–272. [Google Scholar] [CrossRef]
  11. Borzini, L.; Condò, R.; De Dominicis, P.; Casaglia, A.; Cerroni, L. Root Canal Irrigation: Chemical Agents and Plant Extracts Against Enterococcus faecalis. Open Dent. J. 2016, 10, 692–703. [Google Scholar] [CrossRef]
  12. Khalifa, L.; Shlezinger, M.; Beyth, S.; Houri-Haddad, Y.; Coppenhagen-Glazer, S.; Beyth, N.; Hazan, R. Phage Therapy against Enterococcus faecalis in Dental Root Canals. J. Oral Microbiol. 2016, 8, 32157. [Google Scholar] [CrossRef]
  13. Al Wadei, M.H.D.; Ahmed, S.Z.; Almoallim, M.H.; Towaireet, F.M.; Hamad, T.; Agwan, M.A.; Niazi, F.H.; Noushad, M. Universal adhesive fortified with inorganic nanoparticles on dentin affected by caries: A comprehensive study utilizing SEM, EDX, micro-tensile bond strength and antimicrobial effectiveness. Microsc. Res. Tech. 2025, 88, 1848–1857. [Google Scholar] [CrossRef]
  14. Evrendilek, G.A. Pulsed Electric Field Treatment for Beverage Production and Preservation. In Handbook of Electroporation; Miklavcic, D., Ed.; Springer International Publishing: Cham, Switzerland, 2017; ISBN 978-3-319-32886-7. [Google Scholar] [CrossRef]
  15. Barba, F.J.; Parniakov, O.; Pereira, S.A.; Wiktor, A.; Grimi, N.; Boussetta, N.; Saraiva, J.A.; Raso, J.; Martin-Belloso, O.; Witrowa-Rajchert, D.; et al. Current Applications and New Opportunities for the Use of Pulsed Electric Fields in Food Science and Industry. Food Res. Int. 2015, 77, 773–798. [Google Scholar] [CrossRef]
  16. Akdemir Evrendilek, G. Chapter 14—Pulsed Electric Field Processing: Food Pasteurization, Tissue Treatment, and Seed Disinfection. In Food Packaging and Preservation; Jaiswal, A.K., Shankar, S., Eds.; Academic Press: London, UK, 2024; ISBN 978-0-323-90044-7. [Google Scholar]
  17. Chopinet, L.; Rols, M.-P. Nanosecond Electric Pulses: A Mini-Review of the Present State of the Art. Bioelectrochemistry 2015, 103, 2–6. [Google Scholar] [CrossRef] [PubMed]
  18. Chudasama, M.; Singh, D.K.; Pradhan, R.C. Review on Electroporation Mechanisms for PEF-Assisted Extraction and Microbial Inactivation. Food Eng. Rev. 2025, 17, 706–726. [Google Scholar] [CrossRef]
  19. Arroyo, C.; Eslami, S.; Brunton, N.P.; Arimi, J.M.; Noci, F.; Lyng, J.G. An Assessment of the Impact of Pulsed Electric Fields Processing Factors on Oxidation, Color, Texture, and Sensory Attributes of Turkey Breast Meat. Poult. Sci. 2015, 94, 1088–1095. [Google Scholar] [CrossRef]
  20. Yin, W.-Z.; Xu, J.-X.; Xu, J.; Lu, G.; Liu, H. Synchronous Nanowire-Assisted Electroporation and Peracetic Acid Oxidation to Inhibit VBNC Cells Formation: Reversible Electroporation Pores Reinforce Permeation of Peracetic Acid for Cellular Destruction. J. Hazard. Mater. 2025, 496, 139405. [Google Scholar] [CrossRef]
  21. Kougkolos, G.; Laudebat, L.; Dinculescu, S.; Simon, J.; Golzio, M.; Valdez-Nava, Z.; Flahaut, E. Skin Electroporation for Transdermal Drug Delivery: Electrical Measurements, Numerical Model and Molecule Delivery. J. Control. Release 2024, 367, 235–247. [Google Scholar] [CrossRef]
  22. Novickij, V.; Grainys, A.; Lastauskienė, E.; Kananavičiūtė, R.; Pamedytytė, D.; Kalėdienė, L.; Novickij, J.; Miklavčič, D. Pulsed Electromagnetic Field Assisted in Vitro Electroporation: A Pilot Study. Sci. Rep. 2016, 6, 33537. [Google Scholar] [CrossRef]
  23. Vallin, J.R.; Azarin, S.M. Leveraging the Immunological Impacts of Irreversible Electroporation as a New Frontier for Cancer Therapy. Annu. Rev. Chem. Biomol. Eng. 2025, 16, 169–193. [Google Scholar] [CrossRef]
  24. Nafie, E.H.O.; Pastori, C.; Neal, R.E. Evaluating the Immune Response in a Murine Cancer Model between Irreversible Electroporation and an Advanced Biphasic Pulsed Electric Field Technology. Front. Oncol. 2025, 15, 1592610. [Google Scholar] [CrossRef]
  25. Sandhu, S.V.; Tiwari, R.; Bhullar, R.K.; Bansal, H.; Bhandari, R.; Kakkar, T.; Bhusri, R. Sterilization of Extracted Human Teeth: A Comparative Analysis. J. Oral Biol. Craniofacial Res. 2012, 2, 170–175. [Google Scholar] [CrossRef] [PubMed]
  26. Siqueira, J.F., Jr.; Rôças, I.N. Present Status and Future Directions in Endodontic Microbiology. Endod. Top. 2014, 30, 3–22. [Google Scholar] [CrossRef]
  27. Rexford, A.M. Biodegradability of Resilon, a Resin Based Root Canal Obturating Material, by Typical Endodontic Pathogens. Master’s Thesis, Indiana University, Bloomington, IN, USA, 2012. [Google Scholar]
  28. Zehnder, M.; Schmidlin, P.; Sener, B.; Waltimo, T. Chelation in Root Canal Therapy Reconsidered. J. Endod. 2005, 31, 817–820. [Google Scholar] [CrossRef] [PubMed]
  29. Vianna, M.E.; Horz, H.P.; Gomes, B.P.F.A.; Conrads, G. In Vivo Evaluation of Microbial Reduction after Chemo-Mechanical Preparation of Human Root Canals Containing Necrotic Pulp Tissue. Int. Endod. J. 2006, 39, 484–492. [Google Scholar] [CrossRef] [PubMed]
  30. Shen, Y.; Stojicic, S.; Haapasalo, M. Antimicrobial Efficacy of Chlorhexidine against Bacteria in Biofilms at Different Stages of Development. J. Endod. 2011, 37, 657–661. [Google Scholar] [CrossRef]
  31. Doğan Çankaya, T.; Uğur Aydın, Z.; Erdönmez, D. The Effect of the Enzymes Trypsin and DNase I on the Antimicrobial Efficiency of Root Canal Irrigation Solutions. Odontology 2024, 112, 929–937. [Google Scholar] [CrossRef]
  32. Akdere, S.K.; Aydin, Z.U.; Erdönmez, D. Antimicrobial Effectiveness of Different Irrigation Activation Techniques on Teeth with Artificial Internal Root Resorption and Contaminated with Enterococcus faecalis: A Confocal Laser Scanning, Icroscopy Analysis. Lasers Med. Sci. 2023, 38, 89. [Google Scholar] [CrossRef]
  33. Griffiths, S.; Smith, S.; MacGregor, S.J.; Anderson, J.G.; Van Der Walle, C.; Beveridge, J.R.; Helen Grant, M. Pulsed Electric Field Treatment as a Potential Method for Microbial Inactivation in Scaffold Materials for Tissue Engineering: The Inactivation of Bacteria in Collagen Gel. J. Appl. Microbiol. 2008, 105, 963–969. [Google Scholar] [CrossRef]
  34. Tay, F.R.; Gu, L.; Schoeffel, G.J.; Wimmer, C.; Susin, L.; Zhang, K.; Arun, S.N.; Kim, J.; Looney, S.W.; Pashley, D.H. Effect of Vapor Lock on Root Canal Debridement by Using a Side-Vented Needle for Positive-Pressure Irrigant Delivery. J. Endod. 2010, 36, 745–750. [Google Scholar] [CrossRef]
  35. Naskar, S.; Chandan; Baskaran, D.; Roy Choudhury, A.N.; Chatterjee, S.; Karunakaran, S.; Murthy, B.V.S.; Basu, B. Dosimetry of Pulsed Magnetic Field towards Attaining Bacteriostatic Effect on Enterococcus faecalis: Implications for Endodontic Therapy. Int. Endod. J. 2021, 54, 1878–1891. [Google Scholar] [CrossRef]
  36. Garner, A.L. Pulsed Electric Field Inactivation of Microorganisms: From Fundamental Biophysics to Synergistic Treatments. Appl. Microbiol. Biotechnol. 2019, 103, 7917–7929. [Google Scholar] [CrossRef]
  37. Furukawa, T.; Ueno, T.; Nozaki, M.; Yoshida, A.; Amarasiri, M.; Sei, K. Usefulness of Pulsed Electric Field Application as an Inactivation Technology for Plant Pathogenic Bacteria in Hydroponic Nutrient Solutions. Environ. Technol. Innov. 2025, 39, 104237. [Google Scholar] [CrossRef]
  38. Jhajharia, K.; Parolia, A.; Shetty, K.V.; Mehta, L.K. Biofilm in Endodontics: A Review. J. Int. Soc. Prev. Community Dent. 2015, 5, 1. [Google Scholar] [CrossRef] [PubMed]
  39. Swimberghe, R.C.D.; Coenye, T.; De Moor, R.J.G.; Meire, M.A. Biofilm Model Systems for Root Canal Disinfection: A Literature Review. Int. Endod. J. 2019, 52, 604–628. [Google Scholar] [CrossRef] [PubMed]
  40. Vaessen, E.M.J.; Timmermans, R.A.H.; Tempelaars, M.H.; Schutyser, M.A.I.; den Besten, H.M.W. Reversibility of Membrane Permeabilization upon Pulsed Electric Field Treatment in Lactobacillus plantarum WCFS1. Sci. Rep. 2019, 9, 19990. [Google Scholar] [CrossRef]
  41. Stocks, S.M. Mechanism and Use of the Commercially Available Viability Stain, BacLight. Cytom. Part A 2004, 61A, 189–195. [Google Scholar] [CrossRef]
  42. Rosenberg, M.; Azevedo, N.F.; Ivask, A. Propidium Iodide Staining Underestimates Viability of Adherent Bacterial Cells. Sci. Rep. 2019, 9, 6483. [Google Scholar] [CrossRef]
  43. Maden, M.; Ertuğrul, İ.F.; Orhan, E.O.; Erik, C.E.; Yetiş, C.Ç.; Tuncer, Y.; Kahriman, M. Enhancing Antibacterial Effect of Sodium Hypochlorite by Low Electric Current-Assisted Sonic Agitation. PLoS ONE 2017, 12, e0183895. [Google Scholar] [CrossRef]
  44. Jarin, M.; Wang, T.; Xie, X. Operando Investigation of the Synergistic Effect of Electric Field Treatment and Copper for Bacteria Inactivation. Nat. Commun. 2024, 15, 1345. [Google Scholar] [CrossRef]
  45. Huo, Z.-Y.; Winter, L.R.; Wang, X.-X.; Du, Y.; Wu, Y.-H.; Hübner, U.; Hu, H.-Y.; Elimelech, M. Synergistic Nanowire-Enhanced Electroporation and Electrochlorination for Highly Efficient Water Disinfection. Environ. Sci. Technol. 2022, 56, 10925–10934. [Google Scholar] [CrossRef] [PubMed]
  46. Haapasalo, M.; Ørstavik, D. In Vitro Infection and of Dentinal Tubules. J. Dental Res. 1987, 66, 1375–1379. [Google Scholar] [CrossRef] [PubMed]
  47. Stuart, C.H.; Schwartz, S.A.; Beeson, T.J.; Owatz, C.B. Enterococcus faecalis: Its Role in Root Canal Treatment Failure and Current Concepts in Retreatment. J. Endod. 2006, 32, 93–98. [Google Scholar] [CrossRef] [PubMed]
  48. Sedgley, C.M.; Lennan, S.L.; Appelbe, O.K. Survival of Enterococcus faecalis in Root Canals Ex Vivo. Int. Endod. J. 2005, 38, 735–742. [Google Scholar] [CrossRef]
  49. Talebi, M.; Asghari Moghadam, N.; Mamooii, Z.; Enayati, M.; Saifi, M.; Pourshafie, M.R. Antibiotic Resistance and Biofilm Formation of Enterococcus faecalis in Patient and Environmental Samples. Jundishapur J. Microbiol. 2015, 8, e23349. [Google Scholar] [CrossRef]
  50. Ali, L.; Goraya, M.U.; Arafat, Y.; Ajmal, M.; Chen, J.-L.; Yu, D. Molecular Mechanism of Quorum-Sensing in Enterococcus faecalis: Its Role in Virulence and Therapeutic Approaches. Int. J. Mol. Sci. 2017, 18, 960. [Google Scholar] [CrossRef]
  51. Jiang, C.; Davalos, R.V.; Bischof, J.C. A Review of Basic to Clinical Studies of Irreversible Electroporation Therapy. IEEE Trans. Biomed. Eng. 2015, 62, 4–20. [Google Scholar] [CrossRef]
  52. Akdemir Evrendilek, G.; Bulut, N.; Atmaca, B.; Uzuner, S. Prediction of Aspergillus Parasiticus Inhibition and Aflatoxin Mitigation in Red Pepper Flakes Treated by Pulsed Electric Field Treatment Using Machine Learning and Neural Networks. Food Res. Int. 2022, 162, 111954. [Google Scholar] [CrossRef]
  53. Dayıcan, N.M.; Aktemur Türker, S. Comparative Analysis of Root Canal Microbiota in Patients with Diabetes and Systemically Healthy Individuals: A Pilot Next-Generation Sequencing Study. J. Clin. Med. 2025, 14, 6643. [Google Scholar] [CrossRef]
  54. Fouad, A.F.; Barry, J.; Caimano, M.; Clawson, M.; Zhu, Q.; Carver, R.; Hazlett, K.; Radolf, J.D. PCR-based identification of bacteria associated with endodontic infections. J. Clin. Microbiol. 2002, 40, 3223–3231. [Google Scholar] [CrossRef]
Figure 1. PEF treatment set up for teeth cavitation.
Figure 1. PEF treatment set up for teeth cavitation.
Applsci 15 11133 g001
Figure 2. Comparison of baseline (S1) and post-application (S2) optical density (OD) values for all experimental groups, demonstrating significant intragroup reductions (MTT assay).
Figure 2. Comparison of baseline (S1) and post-application (S2) optical density (OD) values for all experimental groups, demonstrating significant intragroup reductions (MTT assay).
Applsci 15 11133 g002
Figure 3. Intergroup comparison of the percentage reduction in optical density (OD) values, highlighting differential antibacterial efficacy of the applied PEF protocols (MTT assay) (* indicates statistically significant difference (p < 0.05); ns indicates not significant).
Figure 3. Intergroup comparison of the percentage reduction in optical density (OD) values, highlighting differential antibacterial efficacy of the applied PEF protocols (MTT assay) (* indicates statistically significant difference (p < 0.05); ns indicates not significant).
Applsci 15 11133 g003
Figure 4. Representative CLSM images of dentinal tubules obtained from the apical regions of the root canals in all experimental groups: Control, PEF1, PEF2, PEF3, and PEF4. Live bacteria are stained with SYTO 9 (green), while dead bacteria are stained with PI (red).
Figure 4. Representative CLSM images of dentinal tubules obtained from the apical regions of the root canals in all experimental groups: Control, PEF1, PEF2, PEF3, and PEF4. Live bacteria are stained with SYTO 9 (green), while dead bacteria are stained with PI (red).
Applsci 15 11133 g004
Table 1. PEF treatment parameters.
Table 1. PEF treatment parameters.
GroupVoltage (V)Frequency (Hz)Treatment Time (µs)Energy (J)
PEF-13002501860.0094
PEF-23002503720.0188
PEF-33002507440.0376
PEF-430025011160.0564
Disclaimer/Publisher’s Note: The statements, opinions and data contained in all publications are solely those of the individual author(s) and contributor(s) and not of MDPI and/or the editor(s). MDPI and/or the editor(s) disclaim responsibility for any injury to people or property resulting from any ideas, methods, instructions or products referred to in the content.

Share and Cite

MDPI and ACS Style

Ugur Aydın, Z.; Erdönmez, D.; Akdemir Evrendilek, G. Can Pulsed Electric Fields Be an Alternative for Disinfection in Endodontic Treatment? Appl. Sci. 2025, 15, 11133. https://doi.org/10.3390/app152011133

AMA Style

Ugur Aydın Z, Erdönmez D, Akdemir Evrendilek G. Can Pulsed Electric Fields Be an Alternative for Disinfection in Endodontic Treatment? Applied Sciences. 2025; 15(20):11133. https://doi.org/10.3390/app152011133

Chicago/Turabian Style

Ugur Aydın, Zeliha, Demet Erdönmez, and Gulsun Akdemir Evrendilek. 2025. "Can Pulsed Electric Fields Be an Alternative for Disinfection in Endodontic Treatment?" Applied Sciences 15, no. 20: 11133. https://doi.org/10.3390/app152011133

APA Style

Ugur Aydın, Z., Erdönmez, D., & Akdemir Evrendilek, G. (2025). Can Pulsed Electric Fields Be an Alternative for Disinfection in Endodontic Treatment? Applied Sciences, 15(20), 11133. https://doi.org/10.3390/app152011133

Note that from the first issue of 2016, this journal uses article numbers instead of page numbers. See further details here.

Article Metrics

Back to TopTop