Sign in to use this feature.

Years

Between: -

Subjects

remove_circle_outline
remove_circle_outline
remove_circle_outline
remove_circle_outline
remove_circle_outline
remove_circle_outline
remove_circle_outline
remove_circle_outline
remove_circle_outline

Journals

remove_circle_outline
remove_circle_outline
remove_circle_outline
remove_circle_outline
remove_circle_outline
remove_circle_outline
remove_circle_outline
remove_circle_outline
remove_circle_outline
remove_circle_outline
remove_circle_outline
remove_circle_outline

Article Types

Countries / Regions

remove_circle_outline
remove_circle_outline
remove_circle_outline
remove_circle_outline
remove_circle_outline
remove_circle_outline
remove_circle_outline
remove_circle_outline
remove_circle_outline

Search Results (4,081)

Search Parameters:
Keywords = combined deep neural network

Order results
Result details
Results per page
Select all
Export citation of selected articles as:
20 pages, 2237 KB  
Article
Outdoor Walking Classification Based on Inertial Measurement Unit and Foot Pressure Sensor Data
by Oussama Jlassi, Jill Emmerzaal, Gabriella Vinco, Frederic Garcia, Christophe Ley, Bernd Grimm and Philippe C. Dixon
Sensors 2026, 26(1), 232; https://doi.org/10.3390/s26010232 (registering DOI) - 30 Dec 2025
Abstract
(1) Background: Navigating surfaces during walking can alter gait patterns. This study aims to develop tools for automatic walking condition classification using inertial measurement unit (IMU) and foot pressure sensors. We compared sensor modalities (IMUs on lower-limbs, IMUs on feet, IMUs on the [...] Read more.
(1) Background: Navigating surfaces during walking can alter gait patterns. This study aims to develop tools for automatic walking condition classification using inertial measurement unit (IMU) and foot pressure sensors. We compared sensor modalities (IMUs on lower-limbs, IMUs on feet, IMUs on the pelvis, pressure insoles, and IMUs on the feet or pelvis combined with pressure insoles) and evaluated whether gait cycle segmentation improves performance compared to a sliding window. (2) Methods: Twenty participants performed flat, stairs up, stairs down, slope up, and slope down walking trials while fitted with IMUs and pressure insoles. Machine learning (ML; Extreme Gradient Boosting) and deep learning (DL; Convolutional Neural Network + Long Short-Term Memory) models were trained to classify these conditions. (3) Results: Overall, a DL model using lower-limb IMUs processed with gait segmentation performed the best (F1=0.89). Models trained with IMUs outperformed those trained on pressure insoles (p<0.01). Combining sensor modalities and gait segmentation improved performance for ML models (p<0.01). The best minimal model was a DL model trained on IMU pelvis + pressure insole data using sliding window segmentation (F1=0.83). (4) Conclusions: IMUs provide the most discriminative features for automatic walking condition classification. Combining sensor modalities may be helpful for some model architectures. DL models perform well without gait segmentation, making them independent of gait event identification algorithms. Full article
(This article belongs to the Special Issue Wearable Sensors and Human Activity Recognition in Health Research)
Show Figures

Figure 1

28 pages, 26223 KB  
Article
Prediction of the Remaining Useful Life of Lithium-Ion Batteries Based on the Optimized TTAO-VMD-BiLSTM
by Pengcheng Wang, Lu Liu, Qun Yu, Dongdong Hou, Enjie Li, Haijun Yu, Shumin Liu, Lizhen Qin and Yunhai Zhu
Batteries 2026, 12(1), 12; https://doi.org/10.3390/batteries12010012 (registering DOI) - 26 Dec 2025
Viewed by 97
Abstract
Accurately predicting the remaining useful life (RUL) of lithium-ion batteries is critical for ensuring the safe operation of equipment, optimizing industrial cost management, and promoting the sustainable development of the renewable energy sector. Although various deep learning-based approaches for RUL prediction have been [...] Read more.
Accurately predicting the remaining useful life (RUL) of lithium-ion batteries is critical for ensuring the safe operation of equipment, optimizing industrial cost management, and promoting the sustainable development of the renewable energy sector. Although various deep learning-based approaches for RUL prediction have been proposed, their performance is highly dependent on the availability of large training datasets. As a result, these methods generally achieve satisfactory accuracy only when sufficient training samples are available. To address this limitation, this study proposes a novel hybrid strategy that combines a parameter-optimized signal decomposition algorithm with an enhanced neural network architecture, aiming to improve RUL prediction reliability under small-sample conditions. Specifically, we develop a lithium-ion battery capacity prediction method that integrates the Triangle Topology Aggregation Optimizer (TTAO), Variational Mode Decomposition (VMD), and a Bidirectional Long Short-Term Memory (BiLSTM) network. First, the TTAO algorithm is used to optimize the number of modes and the quadratic penalty factor in VMD, enabling the decomposition of battery capacity data into multiple intrinsic mode functions (IMFs) while minimizing the impact of phenomena such as capacity regeneration. Key features highly correlated with battery life are then extracted as inputs for prediction. Subsequently, a BiLSTM network is employed to capture subtle variations in the capacity degradation process and to predict capacity based on the decomposed sequences. The prediction results are effectively integrated, and comprehensive experiments are conducted on the NASA and CALCE lithium-ion battery aging datasets. The results show that the proposed TTAO-VMD-BiLSTM model exhibits a small number of parameters, low memory consumption, high prediction accuracy, and fast convergence. The root mean square error (RMSE) does not exceed 0.8%, and the maximum mean absolute error (MAE) is less than 0.5%. Full article
Show Figures

Figure 1

43 pages, 5707 KB  
Review
Graph Representation Learning for Battery Energy Systems in Few-Shot Scenarios: Methods, Challenges and Outlook
by Xinyue Zhang and Shunli Wang
Batteries 2026, 12(1), 11; https://doi.org/10.3390/batteries12010011 - 26 Dec 2025
Viewed by 100
Abstract
Graph representation learning (GRL) has emerged as a unifying paradigm for modeling the relational and heterogeneous nature of battery energy storage systems (BESS), yet a systematic synthesis focused on data-scarce (few-shot) battery scenarios is still lacking. Graph representation learning offers a natural way [...] Read more.
Graph representation learning (GRL) has emerged as a unifying paradigm for modeling the relational and heterogeneous nature of battery energy storage systems (BESS), yet a systematic synthesis focused on data-scarce (few-shot) battery scenarios is still lacking. Graph representation learning offers a natural way to describe the structure and interaction of battery cells, modules and packs. At the same time, battery applications often suffer from very limited labeled data, especially for new chemistries, extreme operating conditions and second-life use. This review analyzes how graph representation learning can be combined with few-shot learning to support key battery management tasks under such data-scarce conditions. We first introduce the basic ideas of graph representation learning, including models based on neighborhood aggregation, contrastive learning, autoencoders and transfer learning, and discuss typical data, model and algorithm challenges in few-shot scenarios. We then connect these methods to battery state estimation problems, covering state of charge, state of health, remaining useful life and capacity. Particular attention is given to approaches that use graph neural models, meta-learning, semi-supervised and self-supervised learning, Bayesian deep networks, and federated learning to extract transferable features from early-cycle data, partial charge–discharge curves and large unlabeled field datasets. Reported studies show that, with only a small fraction of labeled samples or a few initial cycles, these methods can achieve state and life prediction errors that are comparable to or better than conventional models trained on full datasets, while also improving robustness and, in some cases, providing uncertainty estimates. Based on this evidence, we summarize the main technical routes for few-shot battery scenarios and identify open problems in data preparation, cross-domain generalization, uncertainty quantification and deployment on real battery management systems. The review concludes with a research outlook, highlighting the need for pack-level graph models, physics-guided and probabilistic learning, and unified benchmarks to advance reliable graph-based few-shot methods for next-generation intelligent battery management. Full article
(This article belongs to the Section Battery Modelling, Simulation, Management and Application)
Show Figures

Figure 1

29 pages, 14822 KB  
Article
Estimation of Cotton Aboveground Biomass Based on UAV Multispectral Images: Multi-Feature Fusion and CNN Model
by Shuhan Huang, Xinjun Wang, Hanyu Cui, Qingfu Liang, Songrui Ning, Haoran Yang, Panfeng Wang and Jiandong Sheng
Agronomy 2026, 16(1), 74; https://doi.org/10.3390/agronomy16010074 - 26 Dec 2025
Viewed by 191
Abstract
Precise estimation of cotton aboveground biomass (AGB) plays a crucial role in effectively analyzing growth variations and development of cotton, as well as guiding agricultural management practices. Multispectral (MS) sensors mounted on UAVs offer a practical and accurate approach for estimating the AGB [...] Read more.
Precise estimation of cotton aboveground biomass (AGB) plays a crucial role in effectively analyzing growth variations and development of cotton, as well as guiding agricultural management practices. Multispectral (MS) sensors mounted on UAVs offer a practical and accurate approach for estimating the AGB of cotton. Many previous studies have mainly emphasized the combination of spectral and texture features, as well as canopy height (CH). However, current research overlooks the potential of integrating spectral, textural features, and CH to estimate AGB. In addition, the accumulation of AGB often exhibits synergistic effects rather than a simple additive relationship. Conventional algorithms, including Bayesian Ridge Regression (BRR) and Random Forest Regression (RFR), often fail to accurately capture the nonlinear and intricate correlations between biomass and its relevant variables. Therefore, this research develops a method to estimate cotton AGB by integrating multiple feature information with a deep learning model. Spectral and texture features were derived from MS images. Cotton CH extracted from UAV point cloud data. Variables of multiple features were selected using Spearman’s Correlation (SC) coefficients and the variance inflation factor (VIF). Convolutional neural network (CNN) was chosen to build a model for estimating cotton AGB and contrasted with traditional machine learning models (RFR and BRR). The results indicated that (1) combining spectral, textural features, and CH yielded the highest precision in cotton AGB estimation; (2) compared to traditional ML models (RFR and BRR), the accuracy of applying CNN for estimating cotton AGB is better. CNN has more advanced power to learn complex nonlinear relationships among cotton AGB and multiple features; (3) the most effective strategy in this study involves combining spectral, texture features, and CH, selecting variables using the SC and VIF methods, and employing CNN for estimating AGB of cotton. The R2 of this model is 0.80, with an RMSE of 0.17 kg·m−2 and an MAE of 0.11 kg·m−2. This study develops a framework for evaluating cotton AGB by multiple features fusion with a deep learning model. It provides technical support for monitoring crop growth and improving field management. Full article
Show Figures

Figure 1

18 pages, 5176 KB  
Article
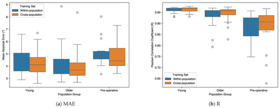
Individual Variability in Deep Learning-Based Joint Angle Estimation from a Single IMU: A Cross-Population Study
by Koyo Toyoshima, Jae Hoon Lee, Shigeru Kogami, Teppei Miyaki and Toru Manabe
Sensors 2026, 26(1), 178; https://doi.org/10.3390/s26010178 - 26 Dec 2025
Viewed by 146
Abstract
Walking ability is crucial for maintaining independence and healthy aging. Although joint angle measurement is important for detailed gait assessment, it is rarely performed in clinical practice due to the complexity of motion capture systems. This study investigates individual variability and cross-population generalizability [...] Read more.
Walking ability is crucial for maintaining independence and healthy aging. Although joint angle measurement is important for detailed gait assessment, it is rarely performed in clinical practice due to the complexity of motion capture systems. This study investigates individual variability and cross-population generalizability of deep learning-based joint angle estimation from a single inertial measurement unit (IMU) attached to the pelvis. Gait data from three distinct populations were collected: 17 young adults, 20 healthy older adults (aged 65+), and 14 pre-operative patients scheduled for hip replacement surgery due to hip osteoarthritis (also aged 65+). A 1D ResNet-based convolutional neural network was trained to estimate bilateral hip, knee, and ankle joint angles from IMU signals. We systematically compared within-population training (trained and tested on the same population) with cross-population training (trained on combined data from all populations) using nested 5-fold cross-validation. Cross-population training showed population-specific effectiveness: older adults demonstrated consistent improvement, while young adults showed minimal change due to already high baseline performance, and pre-operative patients exhibited highly variable responses. These findings suggest that the effectiveness of cross-population learning depends on within-population gait heterogeneity, with important implications for developing clinically applicable gait analysis systems across diverse patient populations. Full article
Show Figures

Figure 1

12 pages, 13049 KB  
Article
A Hybrid Vision Transformer-BiRNN Architecture for Direct k-Space to Image Reconstruction in Accelerated MRI
by Changheun Oh
J. Imaging 2026, 12(1), 11; https://doi.org/10.3390/jimaging12010011 - 26 Dec 2025
Viewed by 80
Abstract
Long scan times remain a fundamental challenge in Magnetic Resonance Imaging (MRI). Accelerated MRI, which undersamples k-space, requires robust reconstruction methods to solve the ill-posed inverse problem. Recent methods have shown promise by processing image-domain features to capture global spatial context. However, these [...] Read more.
Long scan times remain a fundamental challenge in Magnetic Resonance Imaging (MRI). Accelerated MRI, which undersamples k-space, requires robust reconstruction methods to solve the ill-posed inverse problem. Recent methods have shown promise by processing image-domain features to capture global spatial context. However, these approaches are often limited, as they fail to fully leverage the unique, sequential characteristics of the k-space data themselves, which are critical for disentangling aliasing artifacts. This study introduces a novel, hybrid, dual-domain deep learning architecture that combines a ViT-based autoencoder with Bidirectional Recurrent Neural Networks (BiRNNs). The proposed architecture is designed to synergistically process information from both domains: it uses the ViT to learn features from image patches and the BiRNNs to model sequential dependencies directly from k-space data. We conducted a comprehensive comparative analysis against a standard ViT with only an MLP head (Model 1), a ViT autoencoder operating solely in the image domain (Model 2), and a competitive UNet baseline. Evaluations were performed on retrospectively undersampled neuro-MRI data using R = 4 and R = 8 acceleration factors with both regular and random sampling patterns. The proposed architecture demonstrated superior performance and robustness, significantly outperforming all other models in challenging high-acceleration and random-sampling scenarios. The results confirm that integrating sequential k-space processing via BiRNNs is critical for superior artifact suppression, offering a robust solution for accelerated MRI. Full article
Show Figures

Figure 1

16 pages, 9643 KB  
Article
Synergistically Enhanced Ta2O5/AgNPs SERS Substrate Coupled with Deep Learning for Ultra-Sensitive Microplastic Detection
by Chenlong Zhao, Yaoyang Wang, Shuo Cheng, Yuhang You, Yi Li and Xianwu Xiu
Materials 2026, 19(1), 90; https://doi.org/10.3390/ma19010090 - 25 Dec 2025
Viewed by 180
Abstract
Herein, a high-performance Ta2O5/AgNPs composite Surface-Enhanced Raman Scattering (SERS) substrate is engineered for highly sensitive detection of microplastics. Through morphology modulation and band-gap engineering, the semiconductor Ta2O5 is structured into spheres and composited with silver nanoparticles [...] Read more.
Herein, a high-performance Ta2O5/AgNPs composite Surface-Enhanced Raman Scattering (SERS) substrate is engineered for highly sensitive detection of microplastics. Through morphology modulation and band-gap engineering, the semiconductor Ta2O5 is structured into spheres and composited with silver nanoparticles (AgNPs), facilitating efficient charge transfer and localized surface plasmon resonance (LSPR). This architecture integrates electromagnetic (EM) and chemical (CM) enhancement mechanisms, achieving an ultra-low detection limit of 10−13 M for rhodamine 6G (R6G) with excellent linearity. Furthermore, the three-dimensional “pseudo-Neuston” network structure exhibits superior capture capability for microplastics (PS, PET, PMMA). To address spectral interference in simulated complex environments, a multi-scale deep-learning model combining wavelet transform, Convolutional Neural Networks (CNN), and Transformers is proposed. This model achieves a classification accuracy of 98.7% under high-noise conditions, significantly outperforming traditional machine learning methods. This work presents a robust strategy for environmental monitoring, offering a novel solution for precise risk assessment of microplastic pollution. Full article
Show Figures

Graphical abstract

33 pages, 40054 KB  
Article
MVDCNN: A Multi-View Deep Convolutional Network with Feature Fusion for Robust Sonar Image Target Recognition
by Yue Fan, Cheng Peng, Peng Zhang, Zhisheng Zhang, Guoping Zhang and Jinsong Tang
Remote Sens. 2026, 18(1), 76; https://doi.org/10.3390/rs18010076 (registering DOI) - 25 Dec 2025
Viewed by 160
Abstract
Automatic Target Recognition (ATR) in single-view sonar imagery is severely hampered by geometric distortions, acoustic shadows, and incomplete target information due to occlusions and the slant-range imaging geometry, which frequently give rise to misclassification and hinder practical underwater detection applications. To address these [...] Read more.
Automatic Target Recognition (ATR) in single-view sonar imagery is severely hampered by geometric distortions, acoustic shadows, and incomplete target information due to occlusions and the slant-range imaging geometry, which frequently give rise to misclassification and hinder practical underwater detection applications. To address these critical limitations, this paper proposes a Multi-View Deep Convolutional Neural Network (MVDCNN) based on feature-level fusion for robust sonar image target recognition. The MVDCNN adopts a highly modular and extensible architecture consisting of four interconnected modules: an input reshaping module that adapts multi-view images to match the input format of pre-trained backbone networks via dimension merging and channel replication; a shared-weight feature extraction module that leverages Convolutional Neural Network (CNN) or Transformer backbones (e.g., ResNet, Swin Transformer, Vision Transformer) to extract discriminative features from each view, ensuring parameter efficiency and cross-view feature consistency; a feature fusion module that aggregates complementary features (e.g., target texture and shape) across views using max-pooling to retain the most salient characteristics and suppress noisy or occluded view interference; and a lightweight classification module that maps the fused feature representations to target categories. Additionally, to mitigate the data scarcity bottleneck in sonar ATR, we design a multi-view sample augmentation method based on sonar imaging geometric principles: this method systematically combines single-view samples of the same target via the combination formula and screens valid samples within a predefined azimuth range, constructing high-quality multi-view training datasets without relying on complex generative models or massive initial labeled data. Comprehensive evaluations on the Custom Side-Scan Sonar Image Dataset (CSSID) and Nankai Sonar Image Dataset (NKSID) demonstrate the superiority of our framework over single-view baselines. Specifically, the two-view MVDCNN achieves average classification accuracies of 94.72% (CSSID) and 97.24% (NKSID), with relative improvements of 7.93% and 5.05%, respectively; the three-view MVDCNN further boosts the average accuracies to 96.60% and 98.28%. Moreover, MVDCNN substantially elevates the precision and recall of small-sample categories (e.g., Fishing net and Small propeller in NKSID), effectively alleviating the class imbalance challenge. Mechanism validation via t-Distributed Stochastic Neighbor Embedding (t-SNE) feature visualization and prediction confidence distribution analysis confirms that MVDCNN yields more separable feature representations and more confident category predictions, with stronger intra-class compactness and inter-class discrimination in the feature space. The proposed MVDCNN framework provides a robust and interpretable solution for advancing sonar ATR and offers a technical paradigm for multi-view acoustic image understanding in complex underwater environments. Full article
(This article belongs to the Special Issue Underwater Remote Sensing: Status, New Challenges and Opportunities)
Show Figures

Graphical abstract

27 pages, 5157 KB  
Article
Remote Sensing Scene Classification via Multi-Feature Fusion Based on Discriminative Multiple Canonical Correlation Analysis
by Shavkat Fazilov, Ozod Yusupov, Yigitali Khandamov, Erali Eshonqulov, Jalil Khamidov and Khabiba Abdieva
AI 2026, 7(1), 5; https://doi.org/10.3390/ai7010005 - 23 Dec 2025
Viewed by 311
Abstract
Scene classification in remote sensing images is one of the urgent tasks that requires an improvement in recognition accuracy due to complex spatial structures and high inter-class similarity. Although feature extraction using convolutional neural networks provides high efficiency, combining deep features obtained from [...] Read more.
Scene classification in remote sensing images is one of the urgent tasks that requires an improvement in recognition accuracy due to complex spatial structures and high inter-class similarity. Although feature extraction using convolutional neural networks provides high efficiency, combining deep features obtained from different architectures in a semantically consistent manner remains an important scientific problem. In this study, a DMCCA + SVM model is proposed, in which Discriminative Multiple Canonical Correlation Analysis (DMCCA) is applied to fuse multi-source deep features, and final classification is performed using a Support Vector Machine (SVM). Unlike conventional fusion methods, DMCCA projects heterogeneous features into a unified low-dimensional latent space by maximizing within-class correlation and minimizing between-class correlation, resulting in a more separable and compact feature space. The proposed approach was evaluated on three widely used benchmark datasets—NWPU-RESISC45, AID, and PatternNet—and achieved accuracy scores of 92.75%, 93.92%, and 99.35%, respectively. The results showed that the model outperforms modern individual CNN architectures. Additionally, the model’s stability and generalization capability were confirmed through K-fold cross-validation. Overall, the proposed DMCCA + SVM model was experimentally validated as an effective and reliable solution for high-accuracy classification of remote sensing scenes. Full article
Show Figures

Figure 1

15 pages, 1308 KB  
Article
Evolution of Convolutional and Recurrent Artificial Neural Networks in the Context of BIM: Deep Insight and New Tool, Bimetria
by Andrzej Szymon Borkowski, Łukasz Kochański and Konrad Rukat
Infrastructures 2026, 11(1), 6; https://doi.org/10.3390/infrastructures11010006 - 22 Dec 2025
Viewed by 125
Abstract
This paper discusses the evolution of convolutional (CNN) and recurrent (RNN) artificial neural networks in applications for Building Information Modeling (BIM). The paper outlines the milestones reached in the last two decades. The article organizes the current state of knowledge and technology in [...] Read more.
This paper discusses the evolution of convolutional (CNN) and recurrent (RNN) artificial neural networks in applications for Building Information Modeling (BIM). The paper outlines the milestones reached in the last two decades. The article organizes the current state of knowledge and technology in terms of three aspects: (1) computer visualization coupled with BIM models (detection, segmentation, and quality verification in images, videos, and point clouds), (2) sequence and time series modeling (prediction of costs, energy, work progress, risk), and (3) integration of deep learning results with the semantics and topology of Industry Foundation Class (IFC) models. The paper identifies the most used architectures, typical data pipelines (synthetic data from BIM models, transfer learning, mapping results to IFC elements) and practical limitations: lack of standardized benchmarks, high annotation costs, a domain gap between synthetic and real data, and discontinuous interoperability. We indicate directions for development: combining CNN/RNN with graph models and transformers for wider use of synthetic data and semi-/supervised learning, as well as explainability methods that increase trust in AECOO (Architecture, Engineering, Construction, Owners & Operators) processes. A practical case study presents a new application, Bimetria, which uses a hybrid CNN/OCR (Optical Character Recognition) solution to generate 3D models with estimates based on two-dimensional drawings. A deep review shows that although the importance of attention-based and graph-based architectures is growing, CNNs and RNNs remain an important part of the BIM process, especially in engineering tasks, where, in our experience and in the Bimetria case study, mature convolutional architectures offer a good balance between accuracy, stability and low latency. The paper also raises some fundamental questions to which we are still seeking answers. Thus, the article not only presents the innovative new Bimetria tool but also aims to stimulate discussion about the dynamic development of AI (Artificial Intelligence) in BIM. Full article
(This article belongs to the Special Issue Modern Digital Technologies for the Built Environment of the Future)
Show Figures

Figure 1

25 pages, 11383 KB  
Article
Hybrid Deep Learning Versus Empirical Methods for Daily Potential Evapotranspiration Estimation in the Nakdong River Basin, South Korea
by Muhammad Waqas and Sang Min Kim
Water 2026, 18(1), 32; https://doi.org/10.3390/w18010032 - 22 Dec 2025
Viewed by 246
Abstract
This study compares the performance of empirical and hybrid deep learning (DL) models in estimating daily potential evapotranspiration (PET) in the Nakdong River Basin (NRB), South Korea, with the FAO-56 Penman–Monteith (PM) method as a reference. Two empirical models, Priestley–Taylor (P-T) and Hargreaves–Samani [...] Read more.
This study compares the performance of empirical and hybrid deep learning (DL) models in estimating daily potential evapotranspiration (PET) in the Nakdong River Basin (NRB), South Korea, with the FAO-56 Penman–Monteith (PM) method as a reference. Two empirical models, Priestley–Taylor (P-T) and Hargreaves–Samani (H-S), and two DL models, a standalone Long Short-Term Memory (LSTM) network and a hybrid Convolutional Neural Network Bidirectional LSTM with an attention mechanism, were trained on a meteorological dataset (1973–2024) across 13 meteorological stations. Four input combinations (C1, C2, C3, and C4) were tested to assess the model’s robustness under varying data availability conditions. The results indicate that empirical models performed poorly, with a basin-wide RMSE of 5.04–5.79 mm/day and negative NSE (−10.37 to −13.99), and are therefore poorly suited to NRB. In contrast, DL models achieved significant improvements in accuracy. The hybrid CNN-BiLSTM Attention Mechanism (C1) produced the highest performance, with R2 = 0.820, RMSE = 0.672 mm/day, NSE = 0.820, and KGE = 0.880, which was better than the standalone LSTM (R2 = 0.756; RMSE = 0.782 mm/day). The generalization of heterogeneous climates was also verified through spatial analysis, in which the NSE at the station level consistently exceeded 0.70. The hybrid DL model was found to be highly accurate in representing the temporal variability and seasonal patterns of PET and is therefore more suitable for operational hydrological modeling and water-resource planning in the NRB. Full article
(This article belongs to the Special Issue Risks of Hydrometeorological Extremes)
Show Figures

Figure 1

16 pages, 433 KB  
Article
Bimodal Gender Classification Across Community Question-Answering Platforms
by Alejandro Figueroa and Esteban Martínez
Information 2026, 17(1), 7; https://doi.org/10.3390/info17010007 - 22 Dec 2025
Viewed by 183
Abstract
Community Question-Answering (cQA) sites have an urgent need to be increasingly efficient at (a) offering contextualized/personalized content and (b) linking open questions to people willing to answer. Most recent ideas with respect to attaining this goal combine demographic factors (i.e., gender) with deep [...] Read more.
Community Question-Answering (cQA) sites have an urgent need to be increasingly efficient at (a) offering contextualized/personalized content and (b) linking open questions to people willing to answer. Most recent ideas with respect to attaining this goal combine demographic factors (i.e., gender) with deep neural networks. In essence, recent studies have shown that high gender classification rates are perfectly viable by independently modeling profile images or textual interactions. This paper advances this body of knowledge by leveraging bimodal transformers that fuse gender signals from text and images. Qualitative results suggest that (a) profile avatars reinforce one of the genders manifested across textual inputs, (b) their positive contribution grows in tandem with the number of community fellows that provide this picture, and (c) their use might be detrimental if the goal is distinguishing throwaway/fake profiles. From a quantitative standpoint, ViLT proved to be a better alternative when coping with sparse datasets such as Stack Exchange, whereas CLIP and FLAVA excel with a large-scale collection—namely, Yahoo! answers and Reddit. Full article
(This article belongs to the Section Information Systems)
Show Figures

Figure 1

27 pages, 25451 KB  
Article
Multi-Domain Feature Fusion Transformer with Cross-Domain Robustness for Facial Expression Recognition
by Katherine Lin Shu and Mu-Jiang-Shan Wang
Symmetry 2026, 18(1), 15; https://doi.org/10.3390/sym18010015 - 21 Dec 2025
Viewed by 189
Abstract
Facial expression recognition (FER) is a key task in affective computing and human–computer interaction, aiming to decode facial muscle movements into emotional categories. Although deep learning-based FER has achieved remarkable progress, robust recognition under uncontrolled conditions (e.g., illumination change, pose variation, occlusion, and [...] Read more.
Facial expression recognition (FER) is a key task in affective computing and human–computer interaction, aiming to decode facial muscle movements into emotional categories. Although deep learning-based FER has achieved remarkable progress, robust recognition under uncontrolled conditions (e.g., illumination change, pose variation, occlusion, and cultural diversity) remains challenging. Traditional Convolutional Neural Networks (CNNs) are effective at local feature extraction but limited in modeling global dependencies, while Vision Transformers (ViT) provide global context modeling yet often neglect fine-grained texture and frequency cues that are critical for subtle expression discrimination. Moreover, existing approaches usually focus on single-domain representations and lack adaptive strategies to integrate heterogeneous cues across spatial, semantic, and spectral domains, leading to limited cross-domain generalization. To address these limitations, this study proposes a unified Multi-Domain Feature Enhancement and Fusion (MDFEFT) framework that combines a ViT-based global encoder with three complementary branches—channel, spatial, and frequency—for comprehensive feature learning. Taking into account the approximately bilateral symmetry of human faces and the asymmetric distortions introduced by pose, occlusion, and illumination, the proposed MDFEFT framework is designed to learn symmetry-aware and asymmetry-robust representations for facial expression recognition across diverse domains. An adaptive Cross-Domain Feature Enhancement and Fusion (CDFEF) module is further introduced to align and integrate heterogeneous features, achieving domain-consistent and illumination-robust expression understanding. The experimental results show that the proposed method consistently outperforms existing CNN-, Transformer-, and ensemble-based models. The proposed model achieves accuracies of 0.997, 0.796, and 0.776 on KDEF, FER2013, and RAF-DB, respectively. Compared with the strongest baselines, it further improves accuracy by 0.3%, 2.2%, and 1.9%, while also providing higher F1-scores and better robustness in cross-domain testing. These results confirm the effectiveness and strong generalization ability of the proposed framework for real-world facial expression recognition. Full article
(This article belongs to the Section Computer)
Show Figures

Figure 1

25 pages, 5120 KB  
Article
Application of a Hybrid CNN-LSTM Model for Groundwater Level Forecasting in Arid Regions: A Case Study from the Tailan River Basin
by Shuting Hu, Mingliang Du, Jiayun Yang, Yankun Liu, Ziyun Tuo and Xiaofei Ma
ISPRS Int. J. Geo-Inf. 2026, 15(1), 6; https://doi.org/10.3390/ijgi15010006 - 21 Dec 2025
Viewed by 213
Abstract
Accurate forecasting of groundwater level dynamics poses a critical challenge for sustainable water management in arid regions. However, the strong spatiotemporal heterogeneity inherent in groundwater systems and their complex interactions between natural processes and human activities often limit the effectiveness of conventional prediction [...] Read more.
Accurate forecasting of groundwater level dynamics poses a critical challenge for sustainable water management in arid regions. However, the strong spatiotemporal heterogeneity inherent in groundwater systems and their complex interactions between natural processes and human activities often limit the effectiveness of conventional prediction methods. To address this, a hybrid CNN-LSTM deep learning model is constructed. This model is designed to extract multivariate coupled features and capture temporal dependencies from multi-variable time series data, while simultaneously simulating the nonlinear and delayed responses of aquifers to groundwater abstraction. Specifically, the convolutional neural network (CNN) component extracts the multivariate coupled features of hydro-meteorological driving factors, and the long short-term memory (LSTM) network component models the temporal dependencies in groundwater level fluctuations. This integrated architecture comprehensively represents the combined effects of natural recharge–discharge processes and anthropogenic pumping on the groundwater system. Utilizing monitoring data from 2021 to 2024, the model was trained and tested using a rolling time-series validation strategy. Its performance was benchmarked against traditional models, including the autoregressive integrated moving average (ARIMA) model, recurrent neural network (RNN), and standalone LSTM. The results show that the CNN-LSTM model delivers superior performance across diverse hydrogeological conditions: at the upstream well AJC-7, which is dominated by natural recharge and discharge, the Nash–Sutcliffe efficiency (NSE) coefficient reached 0.922; at the downstream well AJC-21, which is subject to intensive pumping, the model maintained a robust NSE of 0.787, significantly outperforming the benchmark models. Further sensitivity analysis reveals an asymmetric response of the model’s predictions to uncertainties in pumping data, highlighting the role of key hydrogeological processes such as delayed drainage from the vadose zone. This study not only confirms the strong applicability of the hybrid deep learning model for groundwater level prediction in data-scarce arid regions but also provides a novel analytical pathway and mechanistic insight into the nonlinear behavior of aquifer systems under significant human influence. Full article
Show Figures

Figure 1

19 pages, 8369 KB  
Article
An Ensemble-LSTM-Based Framework for Improved Prognostics and Health Management of Milling Machine Cutting Tools
by Sahbi Wannes, Lotfi Chaouech, Jaouher Ben Ali, Eric Bechhoefer and Mohamed Benbouzid
Machines 2026, 14(1), 12; https://doi.org/10.3390/machines14010012 - 20 Dec 2025
Viewed by 246
Abstract
Accurate Prognostics and Health Management (PHM) of cutting tools in Computer Numerical Control (CNC) milling machines is essential for minimizing downtime, improving product quality, and reducing maintenance costs. Previous studies have frequently applied deep learning, particularly Long Short-Term Memory (LSTM) neural networks, for [...] Read more.
Accurate Prognostics and Health Management (PHM) of cutting tools in Computer Numerical Control (CNC) milling machines is essential for minimizing downtime, improving product quality, and reducing maintenance costs. Previous studies have frequently applied deep learning, particularly Long Short-Term Memory (LSTM) neural networks, for tool wear prediction and Remaining Useful Life (RUL) prediction. However, they often rely on simplified datasets or single architectures limiting industrial relevance. This study proposes a novel ensemble-LSTM framework that combines LSTM, BiLSTM, Stacked LSTM, and Stacked BiLSTM architectures using a GRU-based meta-learner to exploit their complementary strengths. The framework is evaluated using the publicly available PHM’2010 milling dataset, a well-established industrial benchmark comprising comprehensive time-series sensor measurements collected under variable loads and realistic machining conditions. Experimental results show that the ensemble-LSTM outperforms individual LSTM models, achieving an RMSE of 2.4018 and an MAE of 1.9969, accurately capturing progressive tool wear trends and adapting to unseen operating conditions. The approach provides a robust, reliable solution for real-time predictive maintenance and demonstrates strong potential for industrial tool condition monitoring. Full article
Show Figures

Figure 1

Back to TopTop