Application of a Hybrid CNN-LSTM Model for Groundwater Level Forecasting in Arid Regions: A Case Study from the Tailan River Basin
Abstract
1. Introduction
2. Study Area and Monitoring Data
2.1. Study Area Description
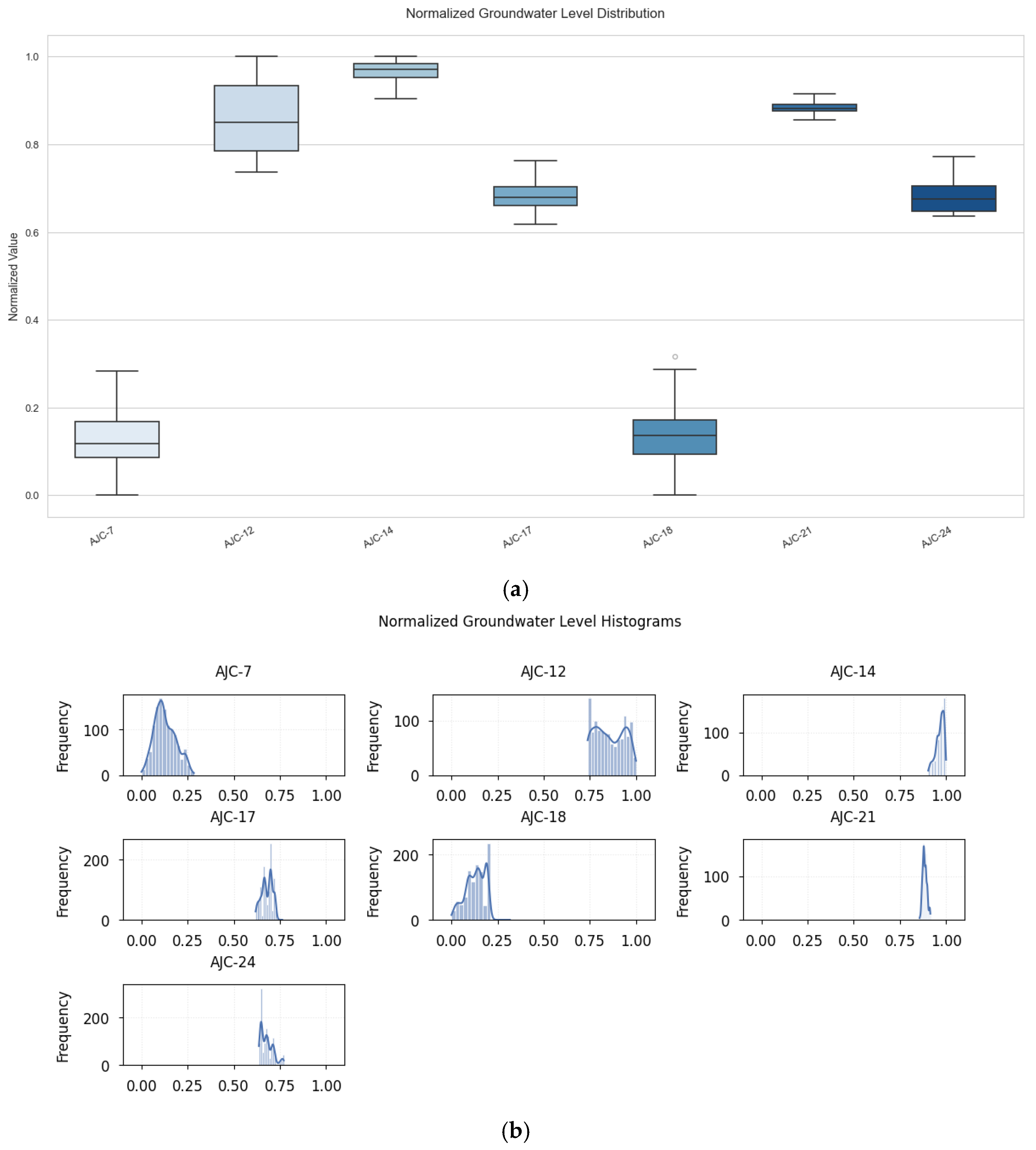
2.2. Data and Statistical Analysis
2.3. Monitoring Well Selection and Data Preprocessing
3. Methods
3.1. CNN-LSTM Model Architecture
3.2. Model Training, Validation, and Hyperparameter Setting
3.3. Model Performance Evaluation Metrics
3.4. Uncertainty and Sensitivity Analysis Methods
4. Results
4.1. Model Prediction Accuracy
4.2. Visual Analysis of Model Prediction Performance
4.3. Sensitivity Analysis Results
5. Discussion
5.1. The Performance Superiority of the CNN-LSTM Model and Its Spatiotemporal Synergistic Mechanism
5.2. Asymmetric Response to Pumping Input Uncertainty and Its Hydrogeological Mechanism
5.3. Dominant Role of Anthropogenic Pumping over Climatic Factors
5.4. Sources of Error
5.5. Management Implications and Sustainability Considerations
6. Conclusions and Outlook
Author Contributions
Funding
Data Availability Statement
Conflicts of Interest
Appendix A

| Pumping Rate | MAE (m) | RMSE (m) | R |
|---|---|---|---|
| Normal | 0.2350 | 0.3002 | 0.7856 |
| Overestimated | 0.2390 | 0.3078 | 0.7882 |
| Underestimated | 0.2520 | 0.3255 | 0.7781 |

References
- AbuKaraki, A.; Alrawashdeh, T.; Abusaleh, S.; Alksasbeh, M.Z.; Alqudah, B.; Alemerien, K.; Alshamaseen, H. Pulmonary Edema and Pleural Effusion Detection Using EfficientNet-V1-B4 Architecture and AdamW Optimizer from Chest X-Rays Images. CMC-Comput. Mater. Contin. 2024, 80, 1055–1073. [Google Scholar] [CrossRef]
- Afzaal, H.; Farooque, A.A.; Abbas, F.; Acharya, B.; Esau, T. Groundwater estimation from major physical hydrology components using artificial neural networks and deep learning. Water 2019, 12, 5. [Google Scholar] [CrossRef]
- Ali, A.S.A.; Ebrahimi, S.; Ashiq, M.M.; Alasta, M.S.; Azari, B. CNN-Bi LSTM neural network for simulating groundwater level. Environ. Eng. 2022, 8, 1–7. [Google Scholar] [CrossRef]
- Bandara, K.; Bergmeir, C.; Smyl, S. Forecasting across time series databases using recurrent neural networks on groups of similar series: A clustering approach. Expert Syst. Appl. 2020, 140, 112896–112929. [Google Scholar] [CrossRef]
- Barua, S.; Cartwright, I.; Dresel, P.E.; Daly, E. Using multiple methods to investigate the effects of land-use changes on groundwater recharge in a semi-arid area. Hydrol. Earth Syst. Sci. 2021, 25, 89–104. [Google Scholar] [CrossRef]
- Bowes, B.D.; Sadler, J.M.; Morsy, M.M.; Behl, M.; Goodall, J.L. Forecasting groundwater table in a flood prone coastal city with long short-term memory and recurrent neural networks. Water 2019, 11, 1098. [Google Scholar] [CrossRef]
- Brookfield, A.E.; Zipper, S.; Kendall, A.D.; Ajami, H.; Deines, J.M. Estimating Groundwater Pumping for Irrigation: A Method Comparison. Groundwater 2024, 62, 15–33. [Google Scholar] [CrossRef] [PubMed]
- Chang, Y.; Lv, L.; Wang, X.; Xie, R.; Wang, Y. The influence of withdrawal-recharging pattern on the deformation characteristics of sand in confined aquifer. Heliyon 2024, 10, e35773. [Google Scholar] [CrossRef] [PubMed]
- Chicco, D.; Warrens, M.J.; Jurman, G. The coefficient of determination R-squared is more informative than SMAPE, MAE, MAPE, MSE and RMSE in regression analysis evaluation. Peerj Comput. Sci. 2021, 7, e623. [Google Scholar] [CrossRef]
- Chu, H.; Bian, J.; Lang, Q.; Sun, X.; Wang, Z. Daily Groundwater Level Prediction and Uncertainty Using LSTM Coupled with PMI and Bootstrap Incorporating Teleconnection Patterns Information. Sustainability 2022, 14, 11598. [Google Scholar] [CrossRef]
- de Graaf, I.E.; Gleeson, T.; Van Beek, L.; Sutanudjaja, E.H.; Bierkens, M.F. Environmental flow limits to global groundwater pumping. Nature 2019, 574, 90–94. [Google Scholar] [CrossRef]
- Di Salvo, C. Improving Results of Existing Groundwater Numerical Models Using Machine Learning Techniques: A Review. Water 2022, 14, 2307. [Google Scholar] [CrossRef]
- Fang, W.; Zhang, F.; Ding, Y.; Sheng, J. A New Sequential Image Prediction Method Based on LSTM and DCGAN. Comput. Mater. Contin. 2020, 64, 217–231. [Google Scholar] [CrossRef]
- Gers, F.A.; Schmidhuber, J.; Cummins, F. Learning to forget: Continual prediction with LSTM. Neural Comput. 2000, 12, 2451–2471. [Google Scholar] [CrossRef]
- Graves, A.; Graves, A. Long short-term memory. In Supervised Sequence Labelling with Recurrent Neural Networks; Springer: Berlin/Heidelberg, Germany, 2012; pp. 37–45. [Google Scholar] [CrossRef]
- Hochreiter, S.; Schmidhuber, J. Long short-term memory. Neural Comput. 1997, 9, 1735–1780. [Google Scholar] [CrossRef] [PubMed]
- Huang, J.; Ge, Y.; Li, S. Mixed-Unit-Model-Based and Quantitative Studies on Groundwater Recharging and Discharging between Aquifers of Aksu River. Sustainability 2022, 14, 6936. [Google Scholar] [CrossRef]
- Kemeth, F.P.; Bertalan, T.; Evangelou, N.; Cui, T.; Malani, S.; Kevrekidis, I.G. Initializing LSTM internal states via manifold learning. Chaos 2021, 31, 093111. [Google Scholar] [CrossRef]
- Kerebih, M.S.; Keshari, A.K. Prediction of groundwater level using artificial neural network as an alternative approach: A comparison assessment with numerical groundwater flow model. Hydrol. Sci. J. 2024, 69, 1691–1701. [Google Scholar] [CrossRef]
- Khan, J.; Lee, E.; Balobaid, A.S.; Kim, K. A comprehensive review of conventional, machine leaning, and deep learning models for groundwater level (GWL) forecasting. Appl. Sci. 2023, 13, 2743. [Google Scholar] [CrossRef]
- Kow, P.-Y.; Liou, J.-Y.; Sun, W.; Chang, L.-C.; Chang, F.-J. Watershed groundwater level multistep ahead forecasts by fusing convolutional-based autoencoder and LSTM models. J. Environ. Manag. 2024, 351, 119789. [Google Scholar] [CrossRef]
- Längkvist, M.; Karlsson, L.; Loutfi, A. A review of unsupervised feature learning and deep learning for time-series modeling. Pattern Recognit. Lett. 2014, 42, 11–24. [Google Scholar] [CrossRef]
- Le, Q.V.; Jaitly, N.; Hinton, G.E. A simple way to initialize recurrent networks of rectified linear units. arXiv 2015, arXiv:1504.00941. [Google Scholar] [CrossRef]
- Liu, M.T.; Chen, X.K.; Wang, G.H.; Zhang, H.; Zhang, M.X.; Yan, T.Z. Short-Term Prediction of Groundwater Level Based on Spatiotemporal Correlation. Water Resour. 2024, 51, 207–220. [Google Scholar] [CrossRef]
- Marçais, J.; de Dreuzy, J.-R. Prospective interest of deep learning for hydrological inference. Groundwater 2017, 55, 688–692. [Google Scholar] [CrossRef]
- Pradhan, A.; Adams, K.H.; Chandrasekaran, V.; Liu, Z.; Reager, J.T.; Stuart, A.M.; Turmon, M.J. Modeling groundwater levels in California’s Central Valley by hierarchical Gaussian process and neural network regression. J. Geophys. Res. Mach. Learn. Comput. 2024, 1, e2024JH000322. [Google Scholar] [CrossRef]
- Mohammed, A.; Kora, R. A comprehensive review on ensemble deep learning: Opportunities and challenges. J. King Saud Univ.-Comput. Inf. Sci. 2023, 35, 757–774. [Google Scholar] [CrossRef]
- Nourani, V.; Khodkar, K.; Gebremichael, M. Uncertainty assessment of LSTM based groundwater level predictions. Hydrol. Sci. J. 2022, 67, 773–790. [Google Scholar] [CrossRef]
- Pan, M.; Zhou, H.; Cao, J.; Liu, Y.; Hao, J.; Li, S.; Chen, C.-H. Water level prediction model based on GRU and CNN. IEEE Access 2020, 8, 60090–60100. [Google Scholar] [CrossRef]
- Panahi, M.; Sadhasivam, N.; Pourghasemi, H.R.; Rezaie, F.; Lee, S. Spatial prediction of groundwater potential mapping based on convolutional neural network (CNN) and support vector regression (SVR). J. Hydrol. 2020, 588, 125033. [Google Scholar] [CrossRef]
- Retike, I.; Bikse, J.; Kalvans, A.; Delina, A.; Avotniece, Z.; Zaadnoordijk, W.J.; Jemeljanova, M.; Popovs, K.; Babre, A.; Zelenkevics, A.; et al. Rescue of groundwater level time series: How to visually identify and treat errors. J. Hydrol. 2022, 605, 127294–127308. [Google Scholar] [CrossRef]
- Rezaie-balf, M.; Naganna, S.R.; Ghaemi, A.; Deka, P.C. Wavelet coupled MARS and M5 Model Tree approaches for groundwater level forecasting. J. Hydrol. 2017, 553, 356–373. [Google Scholar] [CrossRef]
- Roy, D.K.; Biswas, S.K.; Mattar, M.A.; El-Shafei, A.A.; Murad, K.F.I.; Saha, K.K.; Datta, B.; Dewidar, A.Z. Groundwater level prediction using a multiple objective genetic algorithm-grey relational analysis based weighted ensemble of ANFIS models. Water 2021, 13, 3130. [Google Scholar] [CrossRef]
- Rygus, M.; Bianchi, M.; Novellino, A.; Hussain, E.; Taufiq, A.; Rusli, S.R.; Sarah, D.; Meisina, C. Permanent aquifer storage loss from long-term groundwater withdrawal: A case study of subsidence in Bandung (Indonesia). J. Hydrol.-Reg. Stud. 2025, 57, 102129. [Google Scholar] [CrossRef]
- Saad, B.; El-Sehiemy, R.A.; Hasanien, H.M.; El-Dabah, M.A. Robust parameter estimation of proton exchange membrane fuel cell using Huber loss statistical function. Energy Convers. Manag. 2025, 323, 119231. [Google Scholar] [CrossRef]
- Salehi, A.W.; Khan, S.; Gupta, G.; Alabduallah, B.I.; Almjally, A.; Alsolai, H.; Siddiqui, T.; Mellit, A. A study of CNN and transfer learning in medical imaging: Advantages, challenges, future scope. Sustainability 2023, 15, 5930. [Google Scholar] [CrossRef]
- Sun, K.; Hu, L.; Sun, J.; Cao, X. Enhancing groundwater level prediction accuracy at a daily scale through combined machine learning and physics-based modeling. J. Hydrol.-Reg. Stud. 2023, 50, 101577. [Google Scholar] [CrossRef]
- Tatsunami, Y.; Taki, M. Sequencer: Deep lstm for image classification. Adv. Neural Inf. Process. Syst. 2022, 35, 38204–38217. [Google Scholar] [CrossRef]
- Teimoori, S.; Olya, M.H.; Miller, C.J. Groundwater level monitoring network design with machine learning methods. J. Hydrol. 2023, 625, 130145–130177. [Google Scholar] [CrossRef]
- Valadkhan, D.; Moghaddasi, R.; Mohammadinejad, A. Groundwater quality prediction based on LSTM RNN: An Iranian experience. Int. J. Environ. Sci. Technol. 2022, 19, 11397–11408. [Google Scholar] [CrossRef] [PubMed]
- Vu, M.; Jardani, A.; Massei, N.; Fournier, M. Reconstruction of missing groundwater level data by using Long Short-Term Memory (LSTM) deep neural network. J. Hydrol. 2021, 597, 125776–125808. [Google Scholar] [CrossRef]
- Wunsch, A.; Liesch, T.; Broda, S. Groundwater level forecasting with artificial neural networks: A comparison of long short-term memory (LSTM), convolutional neural networks (CNNs), and non-linear autoregressive networks with exogenous input (NARX). Hydrol. Earth Syst. Sci. 2021, 25, 1671–1687. [Google Scholar] [CrossRef]
- Xing, Y.; Liu, Q.; Hu, R.; Gu, H.; Taherdangkoo, R.; Ptak, T. Global sensitivity analysis of water level response to harmonic aquifer disturbances through a Monte-Carlo based surrogate model with random forest algorithm. J. Hydrol. 2024, 641, 131775. [Google Scholar] [CrossRef]
- Xing, Y.; Liu, Q.; Hu, R.; Gu, H.; Taherdangkoo, R.; Yang, H.; Ptak, T. A general numerical model for water level response to harmonic disturbances in aquifers considering wellbore effects. J. Hydrol. 2022, 609, 127678. [Google Scholar] [CrossRef]
- Yang, C.-F.; Chi, W.-C.; Ke, C.-C.; Lin, C.-J. Application of seismically derived tilt signals to characterize groundwater flow regimes: An example from a constant-rate pumping test in Taiwan. J. Hydrol. 2024, 645, 132188. [Google Scholar] [CrossRef]
- Yang, J.; Rajanayaka, C.; Daughney, C.J.; Booker, D.; Morris, R.; Thompson, M. Metamodelling of Naturalised Groundwater Levels at a Regional Level in New Zealand. Sustainability 2023, 15, 13393. [Google Scholar] [CrossRef]
- Yang, X.; Zhang, Z. A CNN-LSTM model based on a meta-learning algorithm to predict groundwater level in the middle and lower reaches of the Heihe River, China. Water 2022, 14, 2377. [Google Scholar] [CrossRef]
- Zhang, J.; Zhu, Y.; Zhang, X.; Ye, M.; Yang, J. Developing a Long Short-Term Memory (LSTM) based model for predicting water table depth in agricultural areas. J. Hydrol. 2018, 561, 918–929. [Google Scholar] [CrossRef]
- Zhao, Y.; Yang, L.; Pan, H.; Li, Y.; Shao, Y.; Li, J.; Xie, X. Spatio-temporal prediction of groundwater vulnerability based on CNN-LSTM model with self-attention mechanism: A case study in Hetao Plain, northern China. J. Environ. Sci. 2025, 153, 128–142. [Google Scholar] [CrossRef]
- Zhou, P.; Xie, X.; Lin, Z.; Yan, S. Towards Understanding Convergence and Generalization of AdamW. IEEE Trans. Pattern Anal. Mach. Intell. 2024, 46, 6486–6493. [Google Scholar] [CrossRef] [PubMed]











| Subzone | Mean Value | Maximum | Minimum | Standard Deviation | Skewness Coefficient |
|---|---|---|---|---|---|
| AJC-7 | 1177.802 | 1181.92 | 1177.1 | 0.6327 | 5.010 |
| AJC-12 | 1156.981 | 1160.6 | 1136.28 | 2.5596 | −3.400 |
| AJC-14 | 1145.525 | 1146.47 | 1119.92 | 0.9655 | −15.838 |
| AJC-17 | 1097.853 | 1107.44 | 1077.46 | 2.0268 | −5.824 |
| AJC-18 | 1103.966 | 1107.86 | 1103.17 | 1.0810 | 3.156 |
| AJC-21 | 1064.299 | 1067.93 | 1037.95 | 2.2066 | −11.499 |
| Hyperparameter | Set Value | Hyperparameter | Set Value |
|---|---|---|---|
| Input window length | 60 | Number of CNN filters | 64, 32 |
| Kernel size | 5, 3 | Number of LSTM units | 64 |
| Network depth | 2 | Optimizer | AdamW |
| Initial learning rate | 1 × 10−4 | Weight decay | 1 × 10−5 |
| Batch size | 32 | Loss function | Huber Loss |
Disclaimer/Publisher’s Note: The statements, opinions and data contained in all publications are solely those of the individual author(s) and contributor(s) and not of MDPI and/or the editor(s). MDPI and/or the editor(s) disclaim responsibility for any injury to people or property resulting from any ideas, methods, instructions or products referred to in the content. |
© 2025 by the authors. Published by MDPI on behalf of the International Society for Photogrammetry and Remote Sensing. Licensee MDPI, Basel, Switzerland. This article is an open access article distributed under the terms and conditions of the Creative Commons Attribution (CC BY) license.
Share and Cite
Hu, S.; Du, M.; Yang, J.; Liu, Y.; Tuo, Z.; Ma, X. Application of a Hybrid CNN-LSTM Model for Groundwater Level Forecasting in Arid Regions: A Case Study from the Tailan River Basin. ISPRS Int. J. Geo-Inf. 2026, 15, 6. https://doi.org/10.3390/ijgi15010006
Hu S, Du M, Yang J, Liu Y, Tuo Z, Ma X. Application of a Hybrid CNN-LSTM Model for Groundwater Level Forecasting in Arid Regions: A Case Study from the Tailan River Basin. ISPRS International Journal of Geo-Information. 2026; 15(1):6. https://doi.org/10.3390/ijgi15010006
Chicago/Turabian StyleHu, Shuting, Mingliang Du, Jiayun Yang, Yankun Liu, Ziyun Tuo, and Xiaofei Ma. 2026. "Application of a Hybrid CNN-LSTM Model for Groundwater Level Forecasting in Arid Regions: A Case Study from the Tailan River Basin" ISPRS International Journal of Geo-Information 15, no. 1: 6. https://doi.org/10.3390/ijgi15010006
APA StyleHu, S., Du, M., Yang, J., Liu, Y., Tuo, Z., & Ma, X. (2026). Application of a Hybrid CNN-LSTM Model for Groundwater Level Forecasting in Arid Regions: A Case Study from the Tailan River Basin. ISPRS International Journal of Geo-Information, 15(1), 6. https://doi.org/10.3390/ijgi15010006

