Sign in to use this feature.

Years

Between: -

Subjects

remove_circle_outline
remove_circle_outline
remove_circle_outline
remove_circle_outline
remove_circle_outline

Journals

Article Types

Countries / Regions

Search Results (23)

Search Parameters:
Keywords = combinatorial drug analyses

Order results
Result details
Results per page
Select all
Export citation of selected articles as:
31 pages, 4367 KB  
Article
Serine-Driven Metabolic Plasticity Drives Adaptive Resilience in Pancreatic Cancer Cells
by Marcella Bonanomi, Sara Mallia, Mariafrancesca Scalise, Tecla Aramini, Federica Baldassari, Elisa Brivio, Federica Conte, Alessia Lo Dico, Matteo Bonas, Danilo Porro, Cesare Indiveri, Christian M. Metallo and Daniela Gaglio
Antioxidants 2025, 14(7), 833; https://doi.org/10.3390/antiox14070833 - 7 Jul 2025
Viewed by 1872
Abstract
Pancreatic cancer is one of the most lethal malignancies, in part due to its profound metabolic adaptability, which underlies drug resistance and therapeutic failure. This study explores the metabolic rewiring associated with resistance to treatment using a systems metabolomics approach. Exposure to the [...] Read more.
Pancreatic cancer is one of the most lethal malignancies, in part due to its profound metabolic adaptability, which underlies drug resistance and therapeutic failure. This study explores the metabolic rewiring associated with resistance to treatment using a systems metabolomics approach. Exposure to the redox-disrupting agent erastin revealed key metabolic vulnerabilities but failed to produce lasting growth suppression. Combinatorial treatments with methotrexate or alpelisib significantly impaired proliferation and triggered marked metabolic shifts. Systems-level analyses identified serine metabolism as a central adaptive pathway in resilient cells. Metabolic tracing and gene expression profiling showed increased de novo serine biosynthesis and uptake, supporting redox homeostasis, biosynthetic activity, and epigenetic regulation. Notably, cells that resumed growth after drug withdrawal exhibited transcriptional reprogramming involving serine-driven pathways, along with elevated expression of genes linked to survival, proliferation, and migration. These findings establish serine metabolism as a functional biomarker of metabolic plasticity and adaptive resilience in pancreatic cancer, suggesting that targeting this adaptive axis may enhance therapeutic efficacy. Full article
(This article belongs to the Section Health Outcomes of Antioxidants and Oxidative Stress)
Show Figures

Graphical abstract

24 pages, 10329 KB  
Article
Exploring the Molecular Mechanism of 1,25(OH)2D3 Reversal of Sorafenib Resistance in Hepatocellular Carcinoma Based on Network Pharmacology and Experimental Validation
by Zhiyan Long, Xiangyi Wu, Tianxin Luo, Xiaomei Chen, Jian Huang and Shu Zhang
Curr. Issues Mol. Biol. 2025, 47(5), 319; https://doi.org/10.3390/cimb47050319 - 29 Apr 2025
Cited by 1 | Viewed by 1436
Abstract
Sorafenib is currently the first-line therapeutic agent for advanced hepatocellular carcinoma (HCC). However, sorafenib resistance remains a major clinical challenge. Studies have reported that 1,25-dihydroxyvitamin D3 (1,25(OH)2D3) can synergize with multiple chemotherapeutic drugs to enhance their antitumor efficacy, but [...] Read more.
Sorafenib is currently the first-line therapeutic agent for advanced hepatocellular carcinoma (HCC). However, sorafenib resistance remains a major clinical challenge. Studies have reported that 1,25-dihydroxyvitamin D3 (1,25(OH)2D3) can synergize with multiple chemotherapeutic drugs to enhance their antitumor efficacy, but the combinatorial effect between 1,25(OH)2D3 and sorafenib has not yet been investigated. This study aimed to investigate the potential molecular mechanism by which 1,25(OH)2D3 reverses sorafenib resistance in hepatocellular carcinoma using network pharmacology, molecular docking, and experimental validation. We predicted a web-based pharmacological approach to predict potential targets of 1,25(OH)2D3 and its derivatives, as well as sorafenib resistance genes in hepatocellular carcinoma from public databases. We then constructed 1,25(OH)2D3 chemo-sensitizing expression profiles through intersection analysis. Gene Ontology (GO) and Kyoto Encyclopedia of Genes and Genomes (KEGG) pathway enrichment analyses were employed to predict the potential pathways involved in 1,25(OH)2D3 chemosensitization, followed by molecular docking analysis and analysis of molecular dynamics simulations. Finally, experimental validation were conducted to elucidate the potential mechanisms by which 1,25(OH)2D3 enhances the sensitivity of HCC to sorafenib. Compound and target screening identified 730 predicted targets of 1,25(OH)2D3 and its derivatives, 1144 genes associated with sorafenib resistance in hepatocellular carcinoma, and 56 potential chemosensitization targets from the intersection analysis. KEGG analysis suggested that the chemosensitization effect of 1,25(OH)2D3 might be mediated by the FoxO signaling pathway. Molecular docking showed that both 1,25(OH)2D3 and its derivatives could stably bind to FOXO3A, a key gene in the FoxO family, and molecular dynamics simulation analysis further indicated that the two bind well together. In vitro experiments demonstrated the synergistic effects of 1,25(OH)2D3 and sorafenib, significantly inhibiting the viability and colony formation rate of sorafenib-resistant hepatocellular carcinoma cells. Additionally, the combination treatment promoted apoptosis and inhibited autophagy. Furthermore, the combination modulated the FOXO3A/FOXM1 signaling axis. This study reveals that 1,25(OH)2D3 enhances the chemosensitivity of hepatocellular carcinoma (HCC) to sorafenib, with underlying mechanisms potentially involving the targeted modulation of the FOXO3A/FOXM1 signaling axis and the reversal of sorafenib-resistant phenotypes through the regulation of apoptotic and autophagic pathways. Full article
(This article belongs to the Special Issue Molecular Biology in Drug Design and Precision Therapy)
Show Figures

Figure 1

26 pages, 3517 KB  
Article
HDAC6 as a Prognostic Factor and Druggable Target in HER2-Positive Breast Cancer
by Michela Cortesi, Sara Bravaccini, Sara Ravaioli, Elisabetta Petracci, Davide Angeli, Maria Maddalena Tumedei, William Balzi, Francesca Pirini, Michele Zanoni, Paola Possanzini, Andrea Rocca, Michela Palleschi, Paola Ulivi, Giovanni Martinelli and Roberta Maltoni
Cancers 2024, 16(22), 3752; https://doi.org/10.3390/cancers16223752 - 6 Nov 2024
Viewed by 2212
Abstract
Background: Adjuvant trastuzumab is the standard of care for HER2+ breast cancer (BC) patients. However, >50% of patients become resistant. This study aimed at the identification of the molecular factors associated with disease relapse and their further investigation as therapeutically exploitable targets. Methods: [...] Read more.
Background: Adjuvant trastuzumab is the standard of care for HER2+ breast cancer (BC) patients. However, >50% of patients become resistant. This study aimed at the identification of the molecular factors associated with disease relapse and their further investigation as therapeutically exploitable targets. Methods: Analyses were conducted on formalin-fixed paraffin-embedded tissues of the primary tumors of relapsed (cases) and not relapsed (controls) HER2+ BC patients treated with adjuvant trastuzumab. The nCounter Human Breast Cancer Panel 360 was used. Logistic regression and partitioning around medoids were employed to identify the genes associated with disease recurrence. Cytotoxicity experiments using trastuzumab-resistant cell lines and a network pharmacology approach were carried out to investigate drug efficacy. Results: A total of 52 patients (26 relapsed and 26 not relapsed) were analyzed. We found that a higher expression of HDAC6 was significantly associated with an increased risk of recurrence, with an adjusted OR of 3.20 (95% CI 1.38–9.91, p = 0.016). Then, we investigated the cytotoxic activity of the selective HDAC6 inhibitor Nexturastat A (NextA) on HER2+ cell lines, which were both sensitive and trastuzumab-resistant. A sub-cytotoxic concentration of NextA, combined with trastuzumab, showed a synergistic effect on BC cell lines. Finally, using a network pharmacology approach, we identified HSP90AA1 as the putative molecular candidate responsible for the synergism observed in vitro. Conclusions: Our findings encourage the exploration of the role of HDAC6 as a prognostic factor and the combinatorial use of HDAC6 selective inhibitors combined with trastuzumab in HER2+ BC, in particular for those patients experiencing drug resistance. Full article
(This article belongs to the Special Issue Overcoming Drug Resistance to Systemic Therapy in Breast Cancer)
Show Figures

Figure 1

13 pages, 1335 KB  
Article
Evaluation of 4-Aminoquinoline Hydrazone Analogues as Potential Leads for Drug-Resistant Malaria
by Rachael N. Magwaza, Muna Abubaker, Buthaina Hussain, Michael Haley, Kevin Couper, Sally Freeman and Niroshini J. Nirmalan
Molecules 2023, 28(18), 6471; https://doi.org/10.3390/molecules28186471 - 6 Sep 2023
Cited by 8 | Viewed by 2798
Abstract
The emergence of resistance to first-line antimalarial drugs calls for the development of new therapies for drug-resistant malaria. The efficacy of quinoline-based antimalarial drugs has prompted the development of novel quinolines. A panel of 4-aminoquinoline hydrazone analogues were tested on the multidrug-resistant K1 [...] Read more.
The emergence of resistance to first-line antimalarial drugs calls for the development of new therapies for drug-resistant malaria. The efficacy of quinoline-based antimalarial drugs has prompted the development of novel quinolines. A panel of 4-aminoquinoline hydrazone analogues were tested on the multidrug-resistant K1 strain of Plasmodium falciparum: IC50 values after a 48 h cycle ranged from 0.60 to 49 µM, while the 72 h cycle ranged from 0.026 to 0.219 μM. Time-course assays were carried out to define the activity of the lead compounds, which inhibited over 50% growth in 24 h and 90% growth in 72 h. Cytotoxicity assays with HepG2 cells showed IC50 values of 0.87–11.1 μM, whereas in MDBK cells, IC50 values ranged from 1.66 to 11.7 μM. High selectivity indices were observed for the lead compounds screened at 72 h on P. falciparum. Analyses of stage specificity revealed that the ring stages of the parasite life cycle were most affected. Based on antimalarial efficacy and in vitro safety profiles, lead compound 4-(2-benzylidenehydrazinyl)-6-methoxy-2-methylquinoline 2 was progressed to drug combination studies for the detection of synergism, with a combinatory index of 0.599 at IC90 for the combination with artemether, indicating a synergistic antimalarial activity. Compound 2 was screened on different strains of P. falciparum (3D7, Dd2), which maintained similar activity to K1, suggesting no cross-resistance between multidrug resistance and sensitive parasite strains. In vivo analysis with 2 showed the suppression of parasitaemia with P. yoelii NL (non-lethal)-treated mice (20 mg/kg and 5 mg/kg). Full article
Show Figures

Graphical abstract

15 pages, 3963 KB  
Article
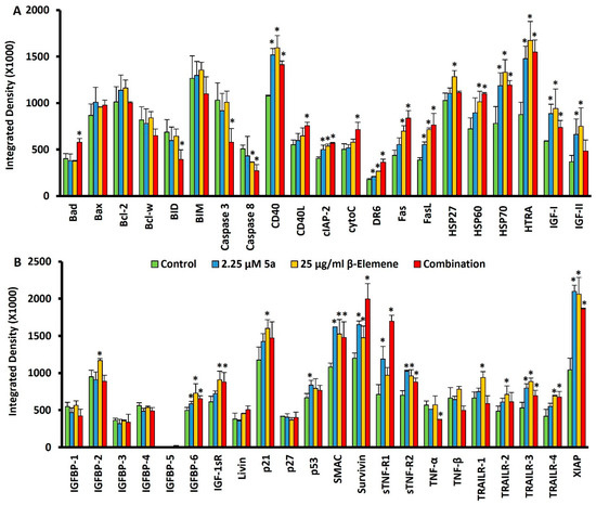
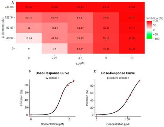
Combination of an Oxindole Derivative with (−)-β-Elemene Alters Cell Death Pathways in FLT3/ITD+ Acute Myeloid Leukemia Cells
by Jowaher Alanazi, Onur Bender, Rumeysa Dogan, Jonaid Ahmad Malik, Arzu Atalay, Taha F. S. Ali, Eman A. M. Beshr, Ahmed M. Shawky, Omar M. Aly, Yasir Nasser H. Alqahtani and Sirajudheen Anwar
Molecules 2023, 28(13), 5253; https://doi.org/10.3390/molecules28135253 - 6 Jul 2023
Cited by 3 | Viewed by 2441
Abstract
Acute myeloid leukemia (AML) is one of the cancers that grow most aggressively. The challenges in AML management are huge, despite many treatment options. Mutations in FLT3 tyrosine kinase receptors make the currently available therapies less responsive. Therefore, there is a need to [...] Read more.
Acute myeloid leukemia (AML) is one of the cancers that grow most aggressively. The challenges in AML management are huge, despite many treatment options. Mutations in FLT3 tyrosine kinase receptors make the currently available therapies less responsive. Therefore, there is a need to find new lead molecules that can specifically target mutated FLT3 to block growth factor signaling and inhibit AML cell proliferation. Our previous studies on FLT3-mutated AML cells demonstrated that β-elemene and compound 5a showed strong inhibition of proliferation by blocking the mutated FLT3 receptor and altering the key apoptotic genes responsible for apoptosis. Furthermore, we hypothesized that both β-elemene and compound 5a could be therapeutically effective. Therefore, combining these drugs against mutated FLT3 cells could be promising. In this context, dose–matrix combination-based cellular inhibition analyses, cell morphology studies and profiling of 43 different apoptotic protein targets via combinatorial treatment were performed. Our studies provide strong evidence for the hypothesis that β-elemene and compound 5a combination considerably increased the therapeutic potential of both compounds by enhancing the activation of several key targets implicated in AML cell death. Full article
(This article belongs to the Section Natural Products Chemistry)
Show Figures

Figure 1

14 pages, 18986 KB  
Article
Curcumin and Plumbagin Synergistically Target the PI3K/Akt/mTOR Pathway: A Prospective Role in Cancer Treatment
by Iftikhar Ahmad, Mehboob Hoque, Syed Sahajada Mahafujul Alam, Torki A. Zughaibi and Shams Tabrez
Int. J. Mol. Sci. 2023, 24(7), 6651; https://doi.org/10.3390/ijms24076651 - 2 Apr 2023
Cited by 63 | Viewed by 4400
Abstract
Cancer development is associated with the deregulation of various cell signaling pathways brought on by certain genetic and epigenetic alterations. Therefore, novel therapeutic strategies have been developed to target those pathways. The phosphoinositide 3-kinase (PI3K)/protein kinase B (Akt)/mammalian target of rapamycin (mTOR) (PI3K/Akt/mTOR) [...] Read more.
Cancer development is associated with the deregulation of various cell signaling pathways brought on by certain genetic and epigenetic alterations. Therefore, novel therapeutic strategies have been developed to target those pathways. The phosphoinositide 3-kinase (PI3K)/protein kinase B (Akt)/mammalian target of rapamycin (mTOR) (PI3K/Akt/mTOR) pathway is one major deregulated pathway in various types of cancer. Several anticancer drug candidates are currently being investigated in preclinical and/or clinical studies to target this pathway. Natural bioactive compounds provide an excellent source for anticancer drug development. Curcumin and plumbagin are two potential anticancer compounds that have been shown to target the PI3K/Akt/mTOR pathway individually. However, their combinatorial effect on cancer cells is still unknown. This study aims to investigate the synergistic effect of these two compounds on the PI3K/Akt/mTOR pathway by employing a sequential molecular docking and molecular dynamics (MD) analysis. An increase in binding affinity and a decrease in inhibition constant have been observed when curcumin and plumbagin were subjected to sequential docking against the key proteins PI3K, Akt, and mTOR. The MD simulations and molecular mechanics combined with generalized Born surface area (MM-GBSA) analyses validated the target proteins’ more stable conformation when interacting with the curcumin and plumbagin combination. This indicates the synergistic role of curcumin and plumbagin against cancer cells and the possible dose advantage when used in combination. The findings of this study pave the way for further investigation of their combinatorial effect on cancer cells in vitro and in vivo models. Full article
(This article belongs to the Special Issue Natural Anticancer Molecules and Their Therapeutic Potential)
Show Figures

Figure 1

25 pages, 6562 KB  
Article
Exploring Novel Therapeutic Opportunities for Glioblastoma Using Patient-Derived Cell Cultures
by Iwona A. Ciechomska, Kamil Wojnicki, Bartosz Wojtas, Paulina Szadkowska, Katarzyna Poleszak, Beata Kaza, Kinga Jaskula, Wiktoria Dawidczyk, Ryszard Czepko, Mariusz Banach, Bartosz Czapski, Pawel Nauman, Katarzyna Kotulska, Wieslawa Grajkowska, Marcin Roszkowski, Tomasz Czernicki, Andrzej Marchel and Bozena Kaminska
Cancers 2023, 15(5), 1562; https://doi.org/10.3390/cancers15051562 - 2 Mar 2023
Cited by 15 | Viewed by 4387
Abstract
Glioblastomas (GBM) are the most common, primary brain tumors in adults. Despite advances in neurosurgery and radio- and chemotherapy, the median survival of GBM patients is 15 months. Recent large-scale genomic, transcriptomic and epigenetic analyses have shown the cellular and molecular heterogeneity of [...] Read more.
Glioblastomas (GBM) are the most common, primary brain tumors in adults. Despite advances in neurosurgery and radio- and chemotherapy, the median survival of GBM patients is 15 months. Recent large-scale genomic, transcriptomic and epigenetic analyses have shown the cellular and molecular heterogeneity of GBMs, which hampers the outcomes of standard therapies. We have established 13 GBM-derived cell cultures from fresh tumor specimens and characterized them molecularly using RNA-seq, immunoblotting and immunocytochemistry. Evaluation of proneural (OLIG2, IDH1R132H, TP53 and PDGFRα), classical (EGFR) and mesenchymal markers (CHI3L1/YKL40, CD44 and phospho-STAT3), and the expression of pluripotency (SOX2, OLIG2, NESTIN) and differentiation (GFAP, MAP2, β-Tubulin III) markers revealed the striking intertumor heterogeneity of primary GBM cell cultures. Upregulated expression of VIMENTIN, N-CADHERIN and CD44 at the mRNA/protein levels suggested increased epithelial-to-mesenchymal transition (EMT) in most studied cell cultures. The effects of temozolomide (TMZ) or doxorubicin (DOX) were tested in three GBM-derived cell cultures with different methylation status of the MGMT promoter. Amongst TMZ- or DOX-treated cultures, the strongest accumulation of the apoptotic markers caspase 7 and PARP were found in WG4 cells with methylated MGMT, suggesting that its methylation status predicts vulnerability to both drugs. As many GBM-derived cells showed high EGFR levels, we tested the effects of AG1478, an EGFR inhibitor, on downstream signaling pathways. AG1478 caused decreased levels of phospho-STAT3, and thus inhibition of active STAT3 augmented antitumor effects of DOX and TMZ in cells with methylated and intermediate status of MGMT. Altogether, our findings show that GBM-derived cell cultures mimic the considerable tumor heterogeneity, and that identifying patient-specific signaling vulnerabilities can assist in overcoming therapy resistance, by providing personalized combinatorial treatment recommendations. Full article
(This article belongs to the Special Issue Repositioning Drugs for Cancer Gliomas)
Show Figures

Graphical abstract

27 pages, 6028 KB  
Article
Systematic Identification of the RNA-Binding Protein STAU2 as a Key Regulator of Pancreatic Adenocarcinoma
by Xiao Wang, Wenbin Kuang, Jiayu Ding, Jiaxing Li, Minghui Ji, Weijiao Chen, Hao Shen, Zhongrui Shi, Dawei Wang, Liping Wang and Peng Yang
Cancers 2022, 14(15), 3629; https://doi.org/10.3390/cancers14153629 - 26 Jul 2022
Cited by 7 | Viewed by 4379
Abstract
Pancreatic adenocarcinoma (PAAD) is a highly aggressive cancer. RNA-binding proteins (RBPs) regulate highly dynamic post-transcriptional processes and perform very important biological functions. Although over 1900 RBPs have been identified, most are considered markers of tumor progression, and further information on their general role [...] Read more.
Pancreatic adenocarcinoma (PAAD) is a highly aggressive cancer. RNA-binding proteins (RBPs) regulate highly dynamic post-transcriptional processes and perform very important biological functions. Although over 1900 RBPs have been identified, most are considered markers of tumor progression, and further information on their general role in PAAD is not known. Here, we report a bioinformatics analysis that identified five hub RBPs and produced a high-value prognostic model based on The Cancer Genome Atlas (TCGA) and Genotype-Tissue Expression (GTEx) datasets. Among these, the prognostic signature of the double-stranded RNA binding protein Staufen double-stranded RNA (STAU2) was identified. Firstly, we found that it is a highly expressed critical regulator of PAAD associated with poor clinical outcomes. Accordingly, the knockdown of STAU2 led to a profound decrease in PAAD cell growth, migration, and invasion and induced apoptosis of PAAD cells. Furthermore, through multiple omics analyses, we identified the key target genes of STAU2: Palladin cytoskeletal associated protein (PALLD), Heterogeneous nuclear ribonucleoprotein U (HNRNPU), SERPINE1 mRNA Binding Protein 1 (SERBP1), and DEAD-box polypeptide 3, X-Linked (DDX3X). Finally, we found that a high expression level of STAU2 not only helps PAAD evade the immune response but is also related to chemotherapy drug sensitivity, which implies that STAU2 could serve as a potential target for combinatorial therapy. These findings uncovered a novel role for STAU2 in PAAD aggression and resistance, suggesting that it probably represents a novel therapeutic and drug development target. Full article
(This article belongs to the Topic Anti-Tumor Immune Responses)
Show Figures

Graphical abstract

17 pages, 5152 KB  
Article
ATRX-Deficient High-Grade Glioma Cells Exhibit Increased Sensitivity to RTK and PDGFR Inhibitors
by David Pladevall-Morera, María Castejón-Griñán, Paula Aguilera, Karina Gaardahl, Andreas Ingham, Jacqueline A. Brosnan-Cashman, Alan K. Meeker and Andres J. Lopez-Contreras
Cancers 2022, 14(7), 1790; https://doi.org/10.3390/cancers14071790 - 31 Mar 2022
Cited by 8 | Viewed by 5011
Abstract
High-grade glioma, including anaplastic astrocytoma and glioblastoma (GBM) patients, have a poor prognosis due to the lack of effective treatments. Therefore, the development of new therapeutic strategies to treat these gliomas is urgently required. Given that high-grade gliomas frequently harbor mutations in the [...] Read more.
High-grade glioma, including anaplastic astrocytoma and glioblastoma (GBM) patients, have a poor prognosis due to the lack of effective treatments. Therefore, the development of new therapeutic strategies to treat these gliomas is urgently required. Given that high-grade gliomas frequently harbor mutations in the SNF2 family chromatin remodeler ATRX, we performed a screen to identify FDA-approved drugs that are toxic to ATRX-deficient cells. Our findings reveal that multi-targeted receptor tyrosine kinase (RTK) and platelet-derived growth factor receptor (PDGFR) inhibitors cause higher cellular toxicity in high-grade glioma ATRX-deficient cells. Furthermore, we demonstrate that a combinatorial treatment of RTKi with temozolomide (TMZ)–the current standard of care treatment for GBM patients–causes pronounced toxicity in ATRX-deficient high-grade glioma cells. Our findings suggest that combinatorial treatments with TMZ and RTKi may increase the therapeutic window of opportunity in patients who suffer high-grade gliomas with ATRX mutations. Thus, we recommend incorporating the ATRX status into the analyses of clinical trials with RTKi and PDGFRi. Full article
(This article belongs to the Special Issue Genomic Instability in Tumor Evolution and Therapy Response)
Show Figures

Figure 1

12 pages, 2124 KB  
Review
Roles of PI3K/AKT/mTOR Axis in Arteriovenous Fistula
by Stefano Ratti, Raffaella Mauro, Cristina Rocchi, Sara Mongiorgi, Giulia Ramazzotti, Mauro Gargiulo, Lucia Manzoli, Lucio Cocco and Roberta Fiume
Biomolecules 2022, 12(3), 350; https://doi.org/10.3390/biom12030350 - 23 Feb 2022
Cited by 6 | Viewed by 3728
Abstract
Renal failure is a worldwide disease with a continuously increasing prevalence and involving a rising need for long-term treatment, mainly by haemodialysis. Arteriovenous fistula (AVF) is the favourite type of vascular access for haemodialysis; however, the lasting success of this therapy depends on [...] Read more.
Renal failure is a worldwide disease with a continuously increasing prevalence and involving a rising need for long-term treatment, mainly by haemodialysis. Arteriovenous fistula (AVF) is the favourite type of vascular access for haemodialysis; however, the lasting success of this therapy depends on its maturation, which is directly influenced by many concomitant processes such as vein wall thickening or inflammation. Understanding the molecular mechanisms that drive AVF maturation and failure can highlight new or combinatorial drugs for more personalized therapy. In this review we analysed the relevance of critical enzymes such as PI3K, AKT and mTOR in processes such as wall thickening remodelling, immune system activation and inflammation reduction. We focused on these enzymes due to their involvement in the modulation of numerous cellular activities such as proliferation, differentiation and motility, and their impairment is related to many diseases such as cancer, metabolic syndrome and neurodegenerative disorders. In addition, these enzymes are highly druggable targets, with several inhibitors already being used in patient treatment for cancer and with encouraging results for AVF. Finally, we delineate how these enzymes may be targeted to control specific aspects of AVF in an effort to propose a more specialized therapy with fewer side effects. Full article
Show Figures

Figure 1

18 pages, 9479 KB  
Article
Molecular Diversity of Peptide Toxins in the Venom of Spider Heteropoda pingtungensis as Revealed by cDNA Library and Transcriptome Sequencing Analysis
by Qingyi Liao, Xiangjin Kong, Guoqing Luo, Xiangyue Wu, Yinping Li, Qicai Liu, Cheng Tang and Zhonghua Liu
Toxins 2022, 14(2), 140; https://doi.org/10.3390/toxins14020140 - 14 Feb 2022
Cited by 6 | Viewed by 4326
Abstract
The venoms of toxic animals are chemical pools composed of various proteins, peptides, and small organic molecules used for predation and defense, in which the peptidic toxins have been intensively pursued mining modulators targeting disease-related ion channels and receptors as valuable drug pioneers. [...] Read more.
The venoms of toxic animals are chemical pools composed of various proteins, peptides, and small organic molecules used for predation and defense, in which the peptidic toxins have been intensively pursued mining modulators targeting disease-related ion channels and receptors as valuable drug pioneers. In the present study, we uncovered the molecular diversity of peptide toxins in the venom of the spider Heteropoda pingtungensis (H. pingtungensis) by using a combinatory strategy of venom gland cDNA library and transcriptome sequencing (RNA-seq). An amount of 991 high-quality expressed sequence tags (ESTs) were identified from 1138 generated sequences, which fall into three categories, such as the toxin-like ESTs (531, 53.58%), the cellular component ESTs (255, 25.73%), and the no-match ESTs (205, 20.69%), as determined by gene function annotations. Of them, 190 non-redundant toxin-like peptides were identified and can be artificially grouped into 13 families based on their sequence homology and cysteine frameworks (families A–M). The predicted mature toxins contain 2–10 cysteines, which are predicted to form intramolecular disulfide bonds to stabilize their three-dimensional structures. Bioinformatics analysis showed that toxins from H. pingtungensis venom have high sequences variability and the biological targets for most toxins are unpredictable due to lack of homology to toxins with known functions in the database. Furthermore, RP-HPLC and MALDI-TOF analyses have identified a total of 110 different peptides physically existing in the H. pingtungensis venom, and many RP-HPLC fractions showed potent inhibitory activity on the heterologously expressed NaV1.7 channel. Most importantly, two novel NaV1.7 peptide antagonists, µ-Sparatoxin-Hp1 and µ-Sparatoxin-Hp2, were characterized. In conclusion, the present study has added many new members to the spider toxin superfamily and built the foundation for identifying novel modulators targeting ion channels in the H. pingtungensis venom. Full article
(This article belongs to the Section Animal Venoms)
Show Figures

Figure 1

23 pages, 2335 KB  
Review
Enhancing Clinical Translation of Cancer Using Nanoinformatics
by Madjid Soltani, Farshad Moradi Kashkooli, Mohammad Souri, Samaneh Zare Harofte, Tina Harati, Atefeh Khadem, Mohammad Haeri Pour and Kaamran Raahemifar
Cancers 2021, 13(10), 2481; https://doi.org/10.3390/cancers13102481 - 19 May 2021
Cited by 68 | Viewed by 6000
Abstract
Application of drugs in high doses has been required due to the limitations of no specificity, short circulation half-lives, as well as low bioavailability and solubility. Higher toxicity is the result of high dosage administration of drug molecules that increase the side effects [...] Read more.
Application of drugs in high doses has been required due to the limitations of no specificity, short circulation half-lives, as well as low bioavailability and solubility. Higher toxicity is the result of high dosage administration of drug molecules that increase the side effects of the drugs. Recently, nanomedicine, that is the utilization of nanotechnology in healthcare with clinical applications, has made many advancements in the areas of cancer diagnosis and therapy. To overcome the challenge of patient-specificity as well as time- and dose-dependency of drug administration, artificial intelligence (AI) can be significantly beneficial for optimization of nanomedicine and combinatorial nanotherapy. AI has become a tool for researchers to manage complicated and big data, ranging from achieving complementary results to routine statistical analyses. AI enhances the prediction precision of treatment impact in cancer patients and specify estimation outcomes. Application of AI in nanotechnology leads to a new field of study, i.e., nanoinformatics. Besides, AI can be coupled with nanorobots, as an emerging technology, to develop targeted drug delivery systems. Furthermore, by the advancements in the nanomedicine field, AI-based combination therapy can facilitate the understanding of diagnosis and therapy of the cancer patients. The main objectives of this review are to discuss the current developments, possibilities, and future visions in naoinformatics, for providing more effective treatment for cancer patients. Full article
(This article belongs to the Collection Artificial Intelligence in Oncology)
Show Figures

Figure 1

18 pages, 10789 KB  
Article
Involvement of a Multidrug Efflux Pump and Alterations in Cell Surface Structure in the Synergistic Antifungal Activity of Nagilactone E and Anethole against Budding Yeast Saccharomyces cerevisiae
by Yuki Ueda, Yuhei O. Tahara, Makoto Miyata, Akira Ogita, Yoshihiro Yamaguchi, Toshio Tanaka and Ken-ichi Fujita
Antibiotics 2021, 10(5), 537; https://doi.org/10.3390/antibiotics10050537 - 6 May 2021
Cited by 7 | Viewed by 3708
Abstract
Nagilactone E, an antifungal agent derived from the root bark of Podocarpus nagi, inhibits 1,3-β glucan synthesis; however, its inhibitory activity is weak. Anethole, the principal component of anise oil, enhances the antifungal activity of nagilactone E. We aimed to determine the [...] Read more.
Nagilactone E, an antifungal agent derived from the root bark of Podocarpus nagi, inhibits 1,3-β glucan synthesis; however, its inhibitory activity is weak. Anethole, the principal component of anise oil, enhances the antifungal activity of nagilactone E. We aimed to determine the combinatorial effect and underlying mechanisms of action of nagilactone E and anethole against the budding yeast Saccharomyces cerevisiae. Analyses using gene-deficient strains showed that the multidrug efflux pump PDR5 is associated with nagilactone E resistance; its transcription was gradually restricted in cells treated with the drug combination for a prolonged duration but not in nagilactone-E-treated cells. Green-fluorescent-protein-tagged Pdr5p was intensively expressed and localized on the plasma membrane of nagilactone-E-treated cells but not in drug-combination-treated cells. Quick-freeze deep-etch electron microscopy revealed the smoothening of intertwined fiber structures on the cell surface of drug-combination-treated cells and spheroplasts, indicating a decline in cell wall components and loss of cell wall strength. Anethole enhanced the antifungal activity of nagilactone E by enabling its retention within cells, thereby accelerating cell wall damage. The combination of nagilactone E and anethole can be employed in clinical settings as an antifungal, as well as a food preservative to restrict food spoilage. Full article
Show Figures

Figure 1

19 pages, 3919 KB  
Article
Pharmacological Inhibition of WIP1 Sensitizes Acute Myeloid Leukemia Cells to the MDM2 Inhibitor Nutlin-3a
by Maria Chiara Fontana, Jacopo Nanni, Andrea Ghelli Luserna di Rorà, Elisabetta Petracci, Antonella Padella, Martina Ghetti, Anna Ferrari, Giovanni Marconi, Simona Soverini, Ilaria Iacobucci, Cristina Papayannidis, Antonio Curti, Ernesta Audisio, Maria Benedetta Giannini, Michela Rondoni, Francesco Lanza, Michele Cavo, Giovanni Martinelli and Giorgia Simonetti
Biomedicines 2021, 9(4), 388; https://doi.org/10.3390/biomedicines9040388 - 6 Apr 2021
Cited by 11 | Viewed by 4670
Abstract
In acute myeloid leukemia (AML), the restoration of p53 activity through MDM2 inhibition proved efficacy in combinatorial therapies. WIP1, encoded from PPM1D, is a negative regulator of p53. We evaluated PPM1D expression and explored the therapeutic efficacy of WIP1 inhibitor (WIP1i) GSK2830371, [...] Read more.
In acute myeloid leukemia (AML), the restoration of p53 activity through MDM2 inhibition proved efficacy in combinatorial therapies. WIP1, encoded from PPM1D, is a negative regulator of p53. We evaluated PPM1D expression and explored the therapeutic efficacy of WIP1 inhibitor (WIP1i) GSK2830371, in association with the MDM2 inhibitor Nutlin-3a (Nut-3a) in AML cell lines and primary samples. PPM1D transcript levels were higher in young patients compared with older ones and in core-binding-factor AML compared with other cytogenetic subgroups. In contrast, its expression was reduced in NPM1-mutated (mut, irrespective of FLT3-ITD status) or TP53-mut cases compared with wild-type (wt) ones. Either Nut-3a, and moderately WIP1i, as single agent decreased cell viability of TP53-wt cells (MV-4-11, MOLM-13, OCI-AML3) in a time/dosage-dependent manner, but not of TP53-mut cells (HEL, KASUMI-1, NOMO-1). The drug combination synergistically reduced viability and induced apoptosis in TP53-wt AML cell line and primary cells, but not in TP53-mut cells. Gene expression and immunoblotting analyses showed increased p53, MDM2 and p21 levels in treated TP53-wt cells and highlighted the enrichment of MYC, PI3K-AKT-mTOR and inflammation-related signatures upon WIP1i, Nut-3a and their combination, respectively, in the MV-4-11 TP53-wt model. This study demonstrated that WIP1 is a promising therapeutic target to enhance Nut-3a efficacy in TP53-wt AML. Full article
Show Figures

Graphical abstract

20 pages, 3550 KB  
Article
Combinatorial Drug Treatments Reveal Promising Anticytomegaloviral Profiles for Clinically Relevant Pharmaceutical Kinase Inhibitors (PKIs)
by Markus Wild, Jintawee Kicuntod, Lisa Seyler, Christina Wangen, Luca D. Bertzbach, Andelé M. Conradie, Benedikt B. Kaufer, Sabrina Wagner, Detlef Michel, Jan Eickhoff, Svetlana B. Tsogoeva, Tobias Bäuerle, Friedrich Hahn and Manfred Marschall
Int. J. Mol. Sci. 2021, 22(2), 575; https://doi.org/10.3390/ijms22020575 - 8 Jan 2021
Cited by 29 | Viewed by 5018
Abstract
Human cytomegalovirus (HCMV) is a human pathogenic herpesvirus associated with a variety of clinical symptoms. Current antiviral therapy is not always effective, so that improved drug classes and drug-targeting strategies are needed. Particularly host-directed antivirals, including pharmaceutical kinase inhibitors (PKIs), may help to [...] Read more.
Human cytomegalovirus (HCMV) is a human pathogenic herpesvirus associated with a variety of clinical symptoms. Current antiviral therapy is not always effective, so that improved drug classes and drug-targeting strategies are needed. Particularly host-directed antivirals, including pharmaceutical kinase inhibitors (PKIs), may help to overcome problems of drug resistance. Here, we focused on utilizing a selection of clinically relevant PKIs and determined their anticytomegaloviral efficacies. Particularly, PKIs directed to host or viral cyclin-dependent kinases, i.e., abemaciclib, LDC4297 and maribavir, exerted promising profiles against human and murine cytomegaloviruses. The anti-HCMV in vitro activity of the approved anti-cancer drug abemaciclib was confirmed in vivo using our luciferase-based murine cytomegalovirus (MCMV) animal model in immunocompetent mice. To assess drug combinations, we applied the Bliss independence checkerboard and Loewe additivity fixed-dose assays in parallel. Results revealed that (i) both affirmative approaches provided valuable information on anti-CMV drug efficacies and interactions, (ii) the analyzed combinations comprised additive, synergistic or antagonistic drug interactions consistent with the drugs’ antiviral mode-of-action, (iii) the selected PKIs, especially LDC4297, showed promising inhibitory profiles, not only against HCMV but also other α-, β- and γ-herpesviruses, and specifically, (iv) the combination treatment with LDC4297 and maribavir revealed a strong synergism against HCMV, which might open doors towards novel clinical options in the near future. Taken together, this study highlights the potential of therapeutic drug combinations of current developmental/preclinical PKIs. Full article
(This article belongs to the Special Issue Advances in Kinase Drug Discovery)
Show Figures

Graphical abstract

Back to TopTop