Due to scheduled maintenance work on our servers, there may be short service disruptions on this website between 11:00 and 12:00 CEST on March 28th.
Sign in to use this feature.

Years

Between: -

Subjects

remove_circle_outline
remove_circle_outline
remove_circle_outline
remove_circle_outline
remove_circle_outline
remove_circle_outline
remove_circle_outline
remove_circle_outline
remove_circle_outline

Journals

remove_circle_outline
remove_circle_outline
remove_circle_outline
remove_circle_outline
remove_circle_outline
remove_circle_outline
remove_circle_outline
remove_circle_outline
remove_circle_outline
remove_circle_outline
remove_circle_outline
remove_circle_outline
remove_circle_outline
remove_circle_outline
remove_circle_outline
remove_circle_outline
remove_circle_outline

Article Types

Countries / Regions

remove_circle_outline
remove_circle_outline
remove_circle_outline
remove_circle_outline
remove_circle_outline
remove_circle_outline
remove_circle_outline

Search Results (2,401)

Search Parameters:
Keywords = column design

Order results
Result details
Results per page
Select all
Export citation of selected articles as:
25 pages, 887 KB  
Review
A Review of Finite Element Analysis in Spine Surgery Decision-Making
by Elizabeth Beaulieu, Jaden Wise, Isabella Merem, Zachary Comella, Rosstin Afsahi, Joshua Roemer, Maohua Lin, Richard Sharp, Talha S. Cheema and Frank D. Vrionis
J. Clin. Med. 2026, 15(7), 2584; https://doi.org/10.3390/jcm15072584 - 27 Mar 2026
Abstract
Finite element analysis is widely used to study spinal biomechanics and to compare surgical strategies under controlled loading conditions. By allowing variation in alignment, fixation, and implant design, these models provide insight into stress redistribution and motion changes that are difficult to isolate [...] Read more.
Finite element analysis is widely used to study spinal biomechanics and to compare surgical strategies under controlled loading conditions. By allowing variation in alignment, fixation, and implant design, these models provide insight into stress redistribution and motion changes that are difficult to isolate experimentally. This review examines spine surgery-focused finite element studies published between 2018 and 2024, with emphasis on interbody fusion techniques, adjacent segment mechanics, and implant-related stress behavior. Across lumbar fusion models, constructs incorporating anterior column support demonstrate lower posterior instrumentation stress than posterior-only approaches, with lateral lumbar interbody techniques showing reduced rod and screw stresses across multiple loading conditions compared with posterior lumbar interbody or posterolateral fusion constructs. In the cervical spine, comparisons of plated and zero-profile anterior cervical discectomy and fusion devices show smaller increases in adjacent-level motion and intradiscal pressure with zero-profile constructs, alongside higher localized stress at fixation interfaces. More recent studies apply finite element methods to implant optimization, alignment planning, and patient-specific modeling. Together, these findings suggest that finite element analysis is increasingly used to support surgical planning and implant design, with continued advances in validation and patient-specific simulation likely to strengthen its clinical relevance. Full article
(This article belongs to the Section General Surgery)
Show Figures

Figure 1

20 pages, 1779 KB  
Article
Stress-State-Based Failure Analysis and Modeling of UHPC Columns Confined with High-Strength Spiral Stirrups
by Yan Zhao, Xiong Xie, Zhen Xu, Min Zhang, Xiaotian Lin and Wei Chang
Buildings 2026, 16(7), 1337; https://doi.org/10.3390/buildings16071337 - 27 Mar 2026
Abstract
This study investigated the failure mechanism and load-bearing capacity of ultra-high-performance concrete (UHPC) columns confined with high-strength spiral stirrups under axial compression. Based on tests of 75 specimens, a structural stability analysis method was employed to convert multi-point strain measurements into the normalized [...] Read more.
This study investigated the failure mechanism and load-bearing capacity of ultra-high-performance concrete (UHPC) columns confined with high-strength spiral stirrups under axial compression. Based on tests of 75 specimens, a structural stability analysis method was employed to convert multi-point strain measurements into the normalized generalized strain energy density (Ej,norm). The mutation point (Point U) on the Ej,norm-Fj curve, identified via the Mann–Kendall criterion, was proposed as a novel indicator for structural instability and the practical failure load. Parametric analysis showed that increasing the UHPC compressive strength from 100 MPa to 180 MPa raised the failure load by 63%, while increasing the stirrup volumetric ratio from 0.9% to 2.0% yields a further 7.5% increase in the failure load. In contrast, the yield strength of stirrups exerts a negligible influence on the failure load, as the stirrups do not reach their yield strength at the failure load of the concrete columns. A new predictive model for the failure load was developed, which exhibited excellent agreement with test results (mean ratio = 1.000, standard deviation = 0.046, errors within ±13%). The proposed method provided a reliable and stable approach for evaluating the failure load-bearing capacity of confined UHPC columns. The validated predictive model enabled engineers to determine the failure load of confined UHPC columns through simple calculation rather than expensive experimental testing, reducing project costs by 5–10% through optimized material selection and accelerating design timelines by weeks, thereby making UHPC columns more economically competitive for mainstream infrastructure applications. Full article
(This article belongs to the Special Issue Sustainable and Low-Carbon Building Materials and Structures)
18 pages, 3294 KB  
Article
Optimization of Extraction Process for Flavonoids from Sonchus oleraceus L. and Evaluation of Anti-Inflammatory Activity of Luteoloside
by Ke Sheng, Junyao You, Shuai Tian, Yaling Lu, Jiamin Wu and Jianping Zhang
Molecules 2026, 31(7), 1105; https://doi.org/10.3390/molecules31071105 - 27 Mar 2026
Abstract
Sonchus oleraceus L., a member of the Asteraceae family native to Eurasia, is a herbaceous plant whose young stems and leaves are consumed globally as a medicinal and edible wild vegetable; it is rich in flavonoids and exhibits various pharmacological activities, including anti-inflammatory [...] Read more.
Sonchus oleraceus L., a member of the Asteraceae family native to Eurasia, is a herbaceous plant whose young stems and leaves are consumed globally as a medicinal and edible wild vegetable; it is rich in flavonoids and exhibits various pharmacological activities, including anti-inflammatory and anti-tumor effects. This study optimized the extraction process of flavonoids from Xinjiang S. oleraceus using response surface methodology and evaluated the anti-inflammatory activity of luteoloside in vitro. Based on single-factor experiments and Box–Behnken design, the effects of ethanol concentration, extraction time, solid-to-liquid ratio, and extraction temperature on flavonoid yield were investigated. The optimal extraction conditions were determined as ethanol concentration 62%, extraction time 30 min, solid-to-liquid ratio 1:91 g/mL, and extraction temperature 64 °C, with a flavonoid yield of 21.64 mg/g. After purification via polyamide column chromatography, the luteoloside content was determined by HPLC to be 44.06 μg/g. Cytotoxicity assays revealed that a luteoloside concentration of 100 μmol/L reduced the viability of Oryctolagus cuniculus colon epithelial cells to approximately 80%. ELISA results demonstrated that luteoloside significantly inhibited the release of pro-inflammatory factors, including TNF-α, while promoting the expression of the anti-inflammatory factor IL-10. These findings indicate that luteoloside effectively alleviates LPS-induced cellular inflammation. Full article
(This article belongs to the Section Natural Products Chemistry)
Show Figures

Figure 1

14 pages, 2245 KB  
Article
Optimization of Osmium Leaching from Lead Cake Formed During Copper Production
by Evgeny Mazulevsky, Nazira Seidakhmetova, Tatyana Kovzalenko and Bagzhan Ondiris
Metals 2026, 16(4), 370; https://doi.org/10.3390/met16040370 - 27 Mar 2026
Abstract
Lead cake forms from dust as a result of the gas cleaning process during copper smelting. The objective of this study was to develop equipment and technology for a continuous hydrometallurgical method for extracting osmium from the lead cake. In this method, leaching [...] Read more.
Lead cake forms from dust as a result of the gas cleaning process during copper smelting. The objective of this study was to develop equipment and technology for a continuous hydrometallurgical method for extracting osmium from the lead cake. In this method, leaching is carried out using an aqueous solution of hydrogen peroxide and sulfuric acid. During the leaching, rhenium is converted into an acidic solution from which rhenium can be easily extracted into a marketable product. Osmium is predominantly converted into a solution, the processing of which, including the extraction of osmium into a marketable product, will be published later. A unit for leaching osmium–rhenium-containing cake with continuous loading for leaching, continuous feeding of leaching solutions, and continuous discharge of the leaching slurry was created. Using the simplex experimental design method, the dependence of osmium recovery on the consumption rates of hydrogen peroxide and sulfuric acid and the leaching duration was studied. Near-optimal leaching conditions were as follows: 68–70 mL of 30% hydrogen peroxide and 7 mL of concentrated sulfuric acid per 100 g of cake, 55 min of leaching, and a specific column throughput of 100 g of cake per 55 min. Nine experiments achieved 96.5% osmium recovery. Full article
(This article belongs to the Section Extractive Metallurgy)
Show Figures

Figure 1

20 pages, 1305 KB  
Article
Multi-Variable Multi-Objective Optimization Analysis of Super-Tall Building Structures Based on a Genetic Algorithm
by Jun Han, Senshen Du, Di Zhang, Xin Chen, Liping Liu and Yingmin Li
Buildings 2026, 16(7), 1324; https://doi.org/10.3390/buildings16071324 - 26 Mar 2026
Abstract
Balancing structural safety and economic efficiency in super-tall building design remains a formidable challenge. To address this issue, this study proposes a genetic-algorithm-based multi-variable, multi-objective optimization method. The design variables include the member sizes and vertical layout positions of outrigger and belt trusses, [...] Read more.
Balancing structural safety and economic efficiency in super-tall building design remains a formidable challenge. To address this issue, this study proposes a genetic-algorithm-based multi-variable, multi-objective optimization method. The design variables include the member sizes and vertical layout positions of outrigger and belt trusses, as well as the cross-sectional dimensions of mega-columns. Total structural weight and maximum inter-story drift ratio are adopted as objective functions, while code-specified constraints, such as shear-weight ratio, stiffness-weight ratio, and axial compression ratio, are incorporated to formulate the fitness evaluation for optimization. Taking a 300 m baseline structure designed for 6-degree seismic intensity and equipped with two outrigger trusses and three belt trusses as an example, single-variable sensitivity analyses are first performed. The results show that optimizing any single parameter can yield certain local improvements, yet it cannot overcome the weight–deformation trade-off induced by strong variable coupling. By selecting representative feasible solutions from the multi-variable solution set that match the “optimal” values identified by single-variable optimization as benchmarks, the multi-variable optimum reduces the total structural weight by approximately 6.5–18.4% relative to these representative designs. Moreover, optimal layout strategies of outrigger and belt trusses are investigated for two typical building heights (200 m and 300 m) and two seismic intensity levels associated with design ground motions having a 10% exceedance probability in 50 years, namely 6-degree (0.05 g) and 8-degree (0.20 g). Finally, the proposed method is validated through a case study of a super-tall financial center in Chongqing, where the total structural weight is reduced by 12.3% after optimization while the inter-story drift ratio still satisfies relevant code requirements. The results demonstrate that the proposed framework can generate competitive feasible solutions and provide a systematic means to achieve a balanced trade-off between structural safety and economic efficiency for outrigger–belt-truss super-tall buildings. Full article
(This article belongs to the Section Building Structures)
28 pages, 5608 KB  
Article
Elastic Behavior and Load-Carrying Capacity of Longitudinal Shuttle-Shaped Concrete-Filled Steel Column with Cruciform Sections
by Boli Zhu, Qiang Fu, Haoxiang Liao and Xiaodong Wang
Buildings 2026, 16(7), 1301; https://doi.org/10.3390/buildings16071301 - 25 Mar 2026
Viewed by 97
Abstract
Longitudinal shuttle-shaped concrete-filled steel column with cruciform sections (LSS-CFST-CS) is highly valued by architects and structural engineers for its distinctive appearance and significant architectural impact in spatial steel structures. However, there are currently no available studies addressing the buckling behavior, load-carrying capacity, and [...] Read more.
Longitudinal shuttle-shaped concrete-filled steel column with cruciform sections (LSS-CFST-CS) is highly valued by architects and structural engineers for its distinctive appearance and significant architectural impact in spatial steel structures. However, there are currently no available studies addressing the buckling behavior, load-carrying capacity, and strength design methods of such structures. This study numerically investigates the elastic buckling behavior, load-carrying capacity, and design methods of LSS-CFST-CS under axial compression, as well as under combined axial compression and bending moment. First, closed-form solutions for the elastic buckling load under axial compression are derived for a pinned–pinned tapered concrete-filled steel column (TCFST) with cruciform sections and standard LSS-CFST-CS, respectively. The resulting solutions are validated against finite element (FE) numerical results from a wide range of LSS-CFST-CS examples, and the corresponding buckling modes are examined. Next, a unified expression for the elastic buckling load under axial compression is established for both types of TCFST and standard LSS-CFST-CS. Finally, a parametric study incorporating initial geometric imperfections is conducted to investigate the load-carrying capacity of LSS-CFST-CS and to quantify the influence of key parameters on stability capacity. On this basis, design recommendations for the stability capacity are proposed for axial compression and combined axial compression and bending moment of LSS-CFST-CS, respectively. Full article
(This article belongs to the Special Issue Large-Span, Tall and Special Steel and Composite Structures)
Show Figures

Figure 1

27 pages, 5398 KB  
Article
Numerical Investigation of Micro-Scale Mass Transfer in Stretched and Compressed Kelvin-Cell Packings for Shipboard Carbon Capture
by Bohao Wu, Nan Wu, Yongqi Li, Ying Bi, Daan Cui, Haoheng Liu, Chao Chang and Yulong Ji
J. Mar. Sci. Eng. 2026, 14(7), 595; https://doi.org/10.3390/jmse14070595 - 24 Mar 2026
Viewed by 166
Abstract
For shipboard CCUS facilities, the integration of chemical absorption columns is constrained by a limited vertical envelope, which motivates packings with axially stretched or compressed Kelvin cells to support compact layout and flow control. This study employs computational fluid dynamics to investigate microscale [...] Read more.
For shipboard CCUS facilities, the integration of chemical absorption columns is constrained by a limited vertical envelope, which motivates packings with axially stretched or compressed Kelvin cells to support compact layout and flow control. This study employs computational fluid dynamics to investigate microscale flow and mass transfer characteristics in Kelvin cells. A comparison among the regular Kelvin cell (RKC), the vertically elongated Kelvin cell (VEKC), and the vertically compressed Kelvin cell (VCKC) indicates that axial stretching and compression modify internal flow distributions and gas–liquid mass transfer during CO2 absorption. The liquid distribution transitions from a film along the struts with localized accumulation at the nodes in RKC to a continuous columnar stream in VEKC, and then to a stable hollow cylindrical liquid film promoted by lateral redistribution in VCKC. VCKC promotes a stable and expanded liquid film, whereas VEKC tends to induce columnar flow. Reducing the cell size and porosity improves mass transfer efficiency, and the liquid load governs mass transfer flux. These findings provide theoretical guidance for the design and optimization of compact packings for process intensification in shipboard carbon-capture applications. Full article
Show Figures

Figure 1

22 pages, 2755 KB  
Article
A General Framework for Determining a Target Failure Mechanism in Frame Structures
by Yue Wei and Congzhen Xiao
Buildings 2026, 16(6), 1255; https://doi.org/10.3390/buildings16061255 - 22 Mar 2026
Viewed by 161
Abstract
Guiding structural failure toward a prescribed failure mechanism can significantly mitigate the risk of collapse under extreme seismic action. However, quantitative criteria for identifying the target failure mechanism remain underdeveloped. To fill the gap, this work proposes a general framework for determining a [...] Read more.
Guiding structural failure toward a prescribed failure mechanism can significantly mitigate the risk of collapse under extreme seismic action. However, quantitative criteria for identifying the target failure mechanism remain underdeveloped. To fill the gap, this work proposes a general framework for determining a target failure mechanism in frame structures. First, a generalized lateral failure mechanism is introduced and rigorously defined. Second, a topology-based search algorithm is developed to identify the minimal cut sets of failure mechanisms. On this basis, a two-stage evaluation procedure is proposed to identify the governing failure mechanism via the upper-bound theorem and subsequently determine the target failure mechanism through a max–min capacity criterion. Finally, 36 case studies covering three frame topologies are investigated. Results indicate that: (1) the selection of the target mechanism should be case-specific rather than determined solely by engineering intuition; (2) the target mechanism is controlled by structural topology, design constraints, and inter-story height distribution; and (3) across all topologies, increasing γ(0) consistently shifts the selected target failure mechanisms toward configurations with a lower proportion of column hinges. Numerical pushover validation further confirms the mechanical consistency of the proposed framework, with the ultimate capacities obtained from the proposed method agreeing well with nonlinear simulation results. The proposed framework provides a theoretical basis and practical tools for failure-mechanism-based seismic design, with implications for improving structural safety and reliability. Full article
(This article belongs to the Section Building Structures)
Show Figures

Figure 1

26 pages, 6040 KB  
Article
Numerical Study on the Effect of Column Boot Diameter-to-Height Ratio on the Hydrodynamic Performance of Deep-Draft Cylindrical Offshore Platforms
by Chengming Qin, Zhe Chen, Yanping He and Yadong Liu
J. Mar. Sci. Eng. 2026, 14(6), 584; https://doi.org/10.3390/jmse14060584 - 21 Mar 2026
Viewed by 196
Abstract
For deep-draft cylindrical platforms with a large annular column boot, the influence of the column boot diameter-to-height ratio (d/h) on motion performance remains unclear. This study investigates the effect of d/h on platform hydrodynamics while keeping the main body geometry, displacement, and draft [...] Read more.
For deep-draft cylindrical platforms with a large annular column boot, the influence of the column boot diameter-to-height ratio (d/h) on motion performance remains unclear. This study investigates the effect of d/h on platform hydrodynamics while keeping the main body geometry, displacement, and draft unchanged. A hybrid numerical model validated against tests is adopted: STAR-CCM+ free-decay simulations identify equivalent linear damping, and ANSYS AQWA predicts hydrodynamic coefficients, response amplitude operators, and coupled time-domain responses under a 100-year survival sea state in the western South China Sea. Increasing d/h substantially increases heave added mass and added pitch moment of inertia, leading to longer natural periods and higher damping in heave and pitch. However, its effect on motion responses is non-monotonic and strongly response-dependent. As d/h increases, the responses are initially reduced markedly. The minimum surge and heave responses occur at d/h = 2.39 and 4.67, with reductions of about 34.0% and 87.2%, respectively, while the pitch response is already reduced by about 67.3% at d/h = 7.22. Further increases in d/h may weaken surge and heave mitigation while providing limited additional benefit for pitch. These findings provide qualitative understanding and quantitative guidance for response-oriented column boot design and optimization of similar platforms. Full article
(This article belongs to the Special Issue Floating Offshore Structures: Hydrodynamic Analysis and Design)
Show Figures

Figure 1

26 pages, 1390 KB  
Article
Carbon-Cap-Feasible Robust Capacity Planning of Wind–PV–Thermal–Storage Systems with Fixed Energy-to-Power Ratios
by Yuyang Yan, Husam I. Shaheen, Bo Yang, Gevork B. Gharehpetian, Yi Zuo and Ghamgeen I. Rashed
Energies 2026, 19(6), 1546; https://doi.org/10.3390/en19061546 - 20 Mar 2026
Viewed by 198
Abstract
Planning capacity for wind–photovoltaic (PV)–thermal–storage systems with high renewable penetration requires models that address investment costs, operational feasibility, and strict carbon limits under uncertainty. This paper presents a two-stage robust optimization model for integrated wind–PV–thermal–storage capacity expansion that guarantees carbon compliance under worst-case [...] Read more.
Planning capacity for wind–photovoltaic (PV)–thermal–storage systems with high renewable penetration requires models that address investment costs, operational feasibility, and strict carbon limits under uncertainty. This paper presents a two-stage robust optimization model for integrated wind–PV–thermal–storage capacity expansion that guarantees carbon compliance under worst-case renewable realizations. Unlike conventional approaches that relax carbon constraints through price penalties, we enforce the annual carbon emission cap as a hard operational constraint, ensuring candidate portfolios remain feasible even under adverse renewable conditions. To reflect practical storage design, a fixed energy-to-power (E/P) ratio couples storage energy capacity with power converter ratings, preventing unrealistic storage expansions. Renewable uncertainty is captured through a Bertsimas–Sim budgeted polyhedral set defined over representative days, balancing robustness with computational tractability. A tailored decomposition framework integrates economic dispatch and carbon-compliance verification within an outer column-and-constraint generation (C&CG) loop, simultaneously certifying worst-case operating cost and minimum achievable emissions. By exploiting strong duality, we generate two families of valid inequalities iteratively: economic cuts from the Economic subproblem (Economic-SP) and carbon-feasibility cuts from the Carbon subproblem (Carbon-SP). This dual-certification approach ensures capacity plans remain both economically optimal and carbon-compliant across all uncertainty realizations. Case studies on a realistic wind–PV–thermal–storage system demonstrate that the method produces carbon-compliant, robust capacity plans with manageable computational effort, converging in 10–15 iterations. The model explicitly captures operational coupling among renewables, thermal generation, and storage, providing a decision-support tool for low-carbon power systems under deep decarbonization targets. Full article
(This article belongs to the Section D: Energy Storage and Application)
Show Figures

Graphical abstract

34 pages, 10156 KB  
Article
Seismic Performance of Precast Reinforced Concrete Beam–Column Connections with Embedded Steel Sections
by Banu Ardi Hidayat, Yanuar Haryanto, Hsuan-Teh Hu, Feng-Chien Su, Fu-Pei Hsiao, Laurencius Nugroho, Bobby Rio Indriyantho and Erich
Materials 2026, 19(6), 1233; https://doi.org/10.3390/ma19061233 - 20 Mar 2026
Viewed by 224
Abstract
Precast reinforced concrete (RC) structures offer advantages in terms of construction efficiency and quality control; however, their seismic performance is governed by the behavior of the beam–column connections. This study presents an experimental investigation of the cyclic response of precast RC beam–column joints [...] Read more.
Precast reinforced concrete (RC) structures offer advantages in terms of construction efficiency and quality control; however, their seismic performance is governed by the behavior of the beam–column connections. This study presents an experimental investigation of the cyclic response of precast RC beam–column joints that include a composite steel connection, designed to enhance strength, stiffness, and damage control in critical regions. A composite joint specimen was tested under displacement-controlled cyclic loading, and its behavior was compared with that of a corresponding pure RC connection. Experimental results showed that the composite configuration effectively prevented premature failure at the beam–column interface, relocated plastic hinges away from the joint core, and significantly improved the load-carrying capacity, stiffness, and energy dissipation. To interpret the experimental observations and examine the internal stress transfer and evolution of damage, a three-dimensional nonlinear finite-element model was developed. The simulations reproduced the observed modes of failure, shapes of deformation, hysteretic responses, and moment distribution trends, particularly in the post-yield and strain-hardening ranges. Although the pinching effects observed experimentally were not fully captured numerically, the overall levels of agreement in the ultimate strength and plastic hinge locations were satisfactory. The combined results indicate that composite steel-reinforced precast beam–column joints represent a promising solution for improving seismic performance. Full article
Show Figures

Figure 1

30 pages, 3963 KB  
Article
Energy and Mass Balance Assessment of a Microalgae-Based Biomethane Biorefinery: Mesophilic Design vs. Psychrophilic Operation in a Pilot Plant
by María del Carmen Suárez Rodríguez, María-Pilar Martínez-Hernando, David Bolonio, Marcelo F. Ortega, Pedro Mora and María-Jesús García-Martínez
Energies 2026, 19(6), 1541; https://doi.org/10.3390/en19061541 - 20 Mar 2026
Viewed by 243
Abstract
Decentralized biomethane is vital for the energy transition; however, small-scale plants face significant energy penalties. This study evaluates the mass and energy balance of a TRL 6 pilot biorefinery treating pig manure, integrating anaerobic digestion with a microalgae-based photobioreactor coupled to an absorption [...] Read more.
Decentralized biomethane is vital for the energy transition; however, small-scale plants face significant energy penalties. This study evaluates the mass and energy balance of a TRL 6 pilot biorefinery treating pig manure, integrating anaerobic digestion with a microalgae-based photobioreactor coupled to an absorption column for biogas upgrading (>93 vol% CH4, dry basis). A Life Cycle Inventory (LCI) was used to compared a theoretical mesophilic design (Scenario I, 35 °C) against an experimental psychrophilic baseline (Scenario II, avg. 12 °C). The results indicate that while winter mesophilic heating consumes 58% of gross energy production, the passive psychrophilic strategy eliminates this demand, ensuring a positive Net Energy Balance year-round. Both scenarios achieved competitive Specific Energy Consumption (SEC) (1.20 vs. 4.17 kWh·m−3 CH4), while upgrading reached peak efficiency at a 10 min Hydraulic Residence Time. Furthermore, solar-synchronized load-shifting allowed for 100% electrical self-sufficiency. We conclude that although passive operation offers a superior Energy Return on Investment during cold periods (average EROI of 2.35 vs. 1.44 under winter mesophilic conditions), active mesophilic heating yields a 3-fold revenue increase, making it the superior economic choice despite the thermal penalty. Full article
(This article belongs to the Special Issue Renewable Fuels: A Key Step Towards Global Sustainability)
Show Figures

Figure 1

20 pages, 1975 KB  
Article
Modelling Adsorption Breakthrough Curves
by Xin Shen and Jules Thibault
Separations 2026, 13(3), 100; https://doi.org/10.3390/separations13030100 - 20 Mar 2026
Viewed by 162
Abstract
Adsorption is a widely employed separation technique valued for its low energy requirements and its applicability to diverse processes, including air separation, water purification, chromatographic analysis, wastewater treatment, and protein immobilization on biomaterials. Industrial adsorption–desorption cycles are typically carried out in parallel packed-bed [...] Read more.
Adsorption is a widely employed separation technique valued for its low energy requirements and its applicability to diverse processes, including air separation, water purification, chromatographic analysis, wastewater treatment, and protein immobilization on biomaterials. Industrial adsorption–desorption cycles are typically carried out in parallel packed-bed columns. The accurate design and optimization of these columns rely on experimental breakthrough curves. These curves provide essential information on adsorption capacity and mass-transfer kinetics. In this study, five modelling approaches, based on instantaneous adsorption, non-instantaneous adsorption, Fickian diffusion, and anomalous diffusion, were evaluated for their ability to predict breakthrough behaviour during the adsorption of butanol on activated carbon. The first four models were formulated using conventional partial differential equations of varying complexity, whereas the fifth model incorporated anomalous diffusion through fractional-order differential equations. The results indicate that model performance depended strongly on the adsorbent type: certain models provided superior predictions for one activated carbon, while different models were more accurate for the other. Full article
(This article belongs to the Special Issue Numerical Modeling and Computation in Separation and Adsorption)
Show Figures

Graphical abstract

11 pages, 2109 KB  
Article
In-Depth Cost Analysis on the Purification of Bioethanol by Extractive Distillation
by Héctor Hernández-Escoto, Oscar Daniel Lara-Montaño, Fabricio Omar Barroso-Muñoz, Salvador Hernández and María Dolores López-Ramírez
Processes 2026, 14(6), 975; https://doi.org/10.3390/pr14060975 - 18 Mar 2026
Viewed by 216
Abstract
This work performed a sensitivity analysis based on a conventional extractive distillation system to thoroughly evaluate the cost of separating bioethanol from water. The analysis considers the compositions and production volumes that are likely to result from the fermentation process of various biorefineries, [...] Read more.
This work performed a sensitivity analysis based on a conventional extractive distillation system to thoroughly evaluate the cost of separating bioethanol from water. The analysis considers the compositions and production volumes that are likely to result from the fermentation process of various biorefineries, regardless of their specific generation. It also outlines how the cost of bioethanol purification decreases as the ethanol concentration in the fermentation broth increases. For each composition-flow point in a gridded workspace, a distillation train was designed using the Aspen Plus® simulation framework, focusing on minimizing the total annual cost. The results are discussed graphically, illustrating total annual costs and specific column costs in relation to feed stream composition and inflow. The findings quantitatively demonstrate that the cost of separation per mass unit of anhydrous ethanol decreases with higher inflow and increased input ethanol concentration. Additionally, it is evident that the primary cost is associated with the preconcentrator column. Full article
(This article belongs to the Section Biological Processes and Systems)
Show Figures

Figure 1

19 pages, 5747 KB  
Article
Seismic Performance of Steel Beam-to-Column Joints with SMA Bolts and Replaceable Ring Dampers
by Haifang He, Yulong Zhou, Wenhui Xi, Min Wu, Tong Zhu, Shu Cao, Yiran Deng and Zhixuan Fei
Buildings 2026, 16(6), 1209; https://doi.org/10.3390/buildings16061209 - 18 Mar 2026
Viewed by 132
Abstract
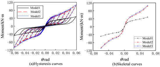
This paper proposes a novel prefabricated beam-to-column joint to increase the seismic performance and post-earthquake recoverability of steel frames, which use the shape memory alloy (SMA) bolts and replaceable steel ring dampers. The comparative analysis of the seismic behavior was conducted for three [...] Read more.
This paper proposes a novel prefabricated beam-to-column joint to increase the seismic performance and post-earthquake recoverability of steel frames, which use the shape memory alloy (SMA) bolts and replaceable steel ring dampers. The comparative analysis of the seismic behavior was conducted for three beam-to-column connection types using finite element models. The three connection types include those installed using internal SMA bolts, external SMA bolts, and external SMA bolts with novel ring dampers. In addition, the novel ring damper was analyzed separately. These analysis results indicate that the connection type installed using external SMA bolts is superior to that by internal SMA bolts for the seismic performance of beam-to-column joints. The beam-to-column joints have the best seismic performance among the three joints when equipped with the additional steel ring damper, which can be easily replaced. This ring damper can increase the energy dissipation by approximately 11% and effectively reduce the stress of SMA bolts, which can delay their failure. The increasing preload of SMA bolts and high-strength bolts has a certain positive effect on the improvement of the seismic performance. All of the three joints exhibit excellent self-centering characteristics, with residual displacements nearly at zero. The gap of replaceable ring dampers can keep the re-centering capacity and improve the energy dissipation of joints. However, the changes in the steel strength of dampers have little impact on the seismic performance. This study verifies the improvement of the replaceable ring dampers on the seismic performance and post-earthquake recoverability, providing a reference for the seismic design of resilient structures. Full article
(This article belongs to the Section Building Structures)
Show Figures

Figure 1

Back to TopTop