Optimization of Extraction Process for Flavonoids from Sonchus oleraceus L. and Evaluation of Anti-Inflammatory Activity of Luteoloside
Abstract
1. Introduction
2. Result and Discussion
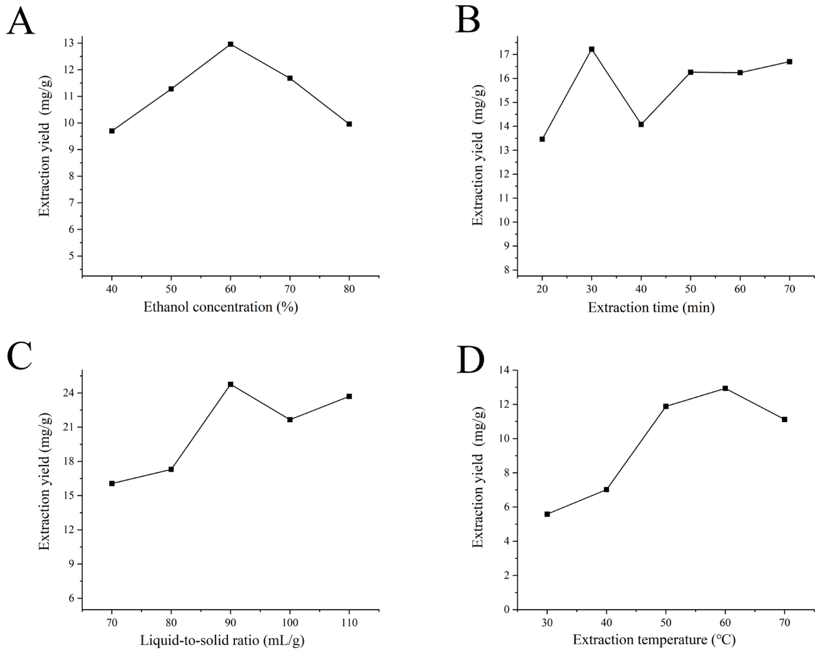
2.1. Single-Factor Experimental Results
2.2. Analysis of Response Surface Optimization Experimental Results
2.2.1. Box–Behnken Experimental Design and Results
2.2.2. Analysis of Variance for the Total Flavonoids Regression Equation and Response Surface Experimental Results
2.3. Determination of Luteoloside Content from S. oleraceus in Xinjiang
2.4. Effects of Different Concentrations of Luteoloside on the Viability of O. cuniculus Colon Epithelial Cells
2.5. Protective Effect of Luteoloside on LPS-Induced Cellular Damage
2.6. Determination of TNF-α, IL-1β, IL-6 and IL-10 Levels in Cell Supernatants by ELISA
3. Materials and Methods
3.1. Experimental Materials
3.2. Experimental Instruments
3.3. Experimental Methods
3.3.1. Preparation of S. oleraceus Powder
3.3.2. Extraction of Flavonoids from S. oleraceus
3.3.3. Determination of Total Flavonoid Content
3.3.4. Single-Factor Experimental Design
3.3.5. Response Surface Optimization of Flavonoids Extraction from S. oleraceus
3.3.6. Purification of Flavonoids
3.3.7. Separation and Purification of Luteoloside
3.3.8. Effect of Luteoloside on the Activity of O. cuniculus Colonic Epithelial Cells
3.3.9. Inhibitory Effect of Luteoloside on LPS-Induced Inflammation in Colonic Epithelial Cells
3.4. Statistical Analysis
4. Conclusions
Author Contributions
Funding
Institutional Review Board Statement
Informed Consent Statement
Data Availability Statement
Acknowledgments
Conflicts of Interest
References
- Ge, X.J.; Li, Y.R. Flora of China; Science Press: Beijing, China, 1999; Volume 126. [Google Scholar]
- Mawalagedera, S.M.; Ou, Z.Q.; McDowell, A.; Gould, K.S. Effects of boiling and in vitro gastrointestinal digestion on the antioxidant activity of Sonchus oleraceus leaves. Food Funct. 2016, 7, 1515–1522. [Google Scholar] [CrossRef]
- Vilela, F.C.; Padilha, M.D.M.; Santos-E-Silva, L.D.; Alves-Da-Silva, G.; Giusti-Paiva, A. Evaluation of the antinociceptive activity of extracts of Sonchus oleraceus L. in mice. J. Ethnopharmacol. 2009, 124, 306–310. [Google Scholar] [CrossRef]
- Liliana, T.-G.; Eduardo, C.P.; Perales-Quintana, M.M.; Gabriela, A.G.; Muñoz-Espinosa, L.E.; Edelmiro, P.-R.; Paula, C.-P. Nephroprotective Effect of Sonchus oleraceus Extract against Kidney Injury Induced by Ischemia-Reperfusion in Wistar Rats. Oxidative Med. Cell. Longev. 2018, 2018, 9572803. [Google Scholar]
- de Paula Filho, G.X.; Barreira, T.F.; Pinheiro-Sant’Ana, H.M. Chemical Composition and Nutritional Value of Three Sonchus Species. Int. J. Food Sci. 2022, 2022, 4181656. [Google Scholar] [CrossRef] [PubMed]
- Vecchia, C.A.D.; Locateli, G.; Serpa, P.Z.; Bianchin Gomes, D.; Ernetti, J.; Miorando, D.; Zanatta, M.; Kaio Silva Nunes, R.; Wildner, S.M.; Gutierrez, M.V.; et al. Sonchus oleraceus L. Promotes Gastroprotection in Rodents via Antioxidant, Anti-Inflammatory, and Antisecretory Activities. Evid. Based Complement. Altern. Med. 2022, 2022, 7413231. [Google Scholar] [CrossRef]
- Klos, M.; van de Venter, M.; Milne, P.J.; Traore, H.N.; Meyer, D.; Oosthuizen, V. In vitro anti-HIV activity of five selected South African medicinal plant extracts. J. Ethnopharmacol. 2009, 124, 182–188. [Google Scholar] [CrossRef]
- Cardoso Vilela, F.; Soncini, R.; Giusti-Paiva, A. Anxiolytic-like effect of Sonchus oleraceus L. in mice. J. Ethnopharmacol. 2009, 124, 325–327. [Google Scholar] [CrossRef]
- Ting, H.; Li, Q.; Wang, Y.-L.; Li, J.; Zhang, J.-Y.; Liu, Y.-X.; Shahid, M.R.; Yang, H.; Li, H.-Q. Anti-tumor effect of hot aqueous extracts from Sonchus oleraceus (L.) L. Juniperus sabina L.—Two Traditional medicinal plants in China. J. Ethnopharmacol. 2016, 185, 289–299. [Google Scholar]
- Ou, Z.Q.; Rades, T.; McDowell, A. Anti-ageing effects of Sonchus oleraceus L. (puha) leaf extracts on H2O2-induced cell senescence. Molecules 2015, 20, 4548–4564. [Google Scholar] [CrossRef]
- Shen, N.; Wang, T.; Gan, Q.; Liu, S.; Wang, L.; Jin, B. Plant flavonoids: Classification, distribution, biosynthesis, and antioxidant activity. Food Chem. 2022, 383, 132531. [Google Scholar] [CrossRef]
- Chen, H.; Lin, H.; Xie, S.; Huang, B.; Qian, Y.; Chen, K.; Niu, Y.; Shen, H.M.; Cai, J.; Li, P.; et al. Myricetin inhibits NLRP3 inflammasome activation via reduction of ROS-dependent ubiquitination of ASC and promotion of ROS-independent NLRP3 ubiquitination. Toxicol. Appl. Pharmacol. 2019, 365, 19–29. [Google Scholar] [CrossRef] [PubMed]
- Zou, T.B.; Xia, E.Q.; He, T.P.; Huang, M.Y.; Jia, Q.; Li, H.W. Ultrasound-assisted extraction of Mangiferin from Mango (Mangifera indica L.) leaves using response surface methodology. Molecules 2014, 19, 1411–1421. [Google Scholar] [CrossRef]
- Liyana-Pathirana, C.; Shahidi, F. Optimization of extraction of phenolic compounds from wheat using response surface methodology. Food Chem. 2005, 93, 47–56. [Google Scholar] [CrossRef]
- Jang, S.; Lee, A.Y.; Lee, A.R.; Choi, G.; Kim, H.K. Optimization of ultrasound-assisted extraction of glycyrrhizic acid from licorice using response surface methodology. Integr. Med. Res. 2017, 6, 388–394. [Google Scholar] [CrossRef] [PubMed]
- Zang, Y.; Igarashi, K.; Li, Y. Anti-diabetic effects of luteolin and luteolin-7-O-glucoside on KK-A(y) mice. Biosci. Biotechnol. Biochem. 2016, 80, 1580–1586. [Google Scholar] [CrossRef]
- Caporali, S.; De Stefano, A.; Calabrese, C.; Giovannelli, A.; Pieri, M.; Savini, I.; Tesauro, M.; Bernardini, S.; Minieri, M.; Terrinoni, A. Anti-Inflammatory and Active Biological Properties of the Plant-Derived Bioactive Compounds Luteolin and Luteolin 7-Glucoside. Nutrients 2022, 14, 1155. [Google Scholar] [CrossRef]
- Shi, C.Y.; He, X.B.; Zhao, C.; Wang, H.J. Luteoloside Exerts Analgesic Effect in a Complete Freund’s Adjuvant-Induced Inflammatory Model via Inhibiting Interleukin-1beta Expression and Macrophage/Microglia Activation. Front. Pharmacol. 2020, 11, 1158. [Google Scholar] [CrossRef]
- Wang, X.; Yuan, T.; Yin, N.; Ma, X.; Zhang, Z.; Zhu, Z.; Shaukat, A.; Deng, G. Luteoloside Protects the Uterus from Staphylococcus aureus-Induced Inflammation, Apoptosis, and Injury. Inflammation 2018, 41, 1702–1716. [Google Scholar] [CrossRef]
- Wu, M.J.; Huang, C.L.; Lian, T.W.; Kou, M.C.; Wang, L. Antioxidant activity of Glossogyne tenuifolia. J. Agric. Food Chem. 2005, 53, 6305–6312. [Google Scholar] [CrossRef]
- He, Y.; Luo, M.; Lei, S.; Zeng, Z.; Chen, T.; Wu, Y.; Wang, D.; Wang, L.; Wang, L. Luteoloside Induces G0/G1 Phase Arrest of Neuroblastoma Cells by Targeting p38 MAPK. Molecules 2023, 28, 1748. [Google Scholar] [CrossRef]
- Lin, J.; Chen, J.; Zhang, Z.; Xu, T.; Shao, Z.; Wang, X.; Ding, Y.; Tian, N.; Jin, H.; Sheng, S.; et al. Luteoloside Inhibits IL-1beta-Induced Apoptosis and Catabolism in Nucleus Pulposus Cells and Ameliorates Intervertebral Disk Degeneration. Front. Pharmacol. 2019, 10, 868. [Google Scholar] [CrossRef]
- Liu, Z.; Yang, L.; Huang, J.; Xu, P.; Zhang, Z.; Yin, D.; Liu, J.; He, H.; He, M. Luteoloside attenuates anoxia/reoxygenation-induced cardiomyocytes injury via mitochondrial pathway mediated by 14-3-3eta protein. Phytother. Res. 2018, 32, 1126–1134. [Google Scholar] [CrossRef]
- Chen, L.; Chang, S.; Zhao, L.; Li, B.; Zhang, S.; Yun, C.; Wu, X.; Meng, J.; Li, G.; Guo, S.; et al. Biosynthesis of a water solubility-enhanced succinyl glucoside derivative of luteolin and its neuroprotective effect. Microb. Biotechnol. 2022, 15, 2401–2410. [Google Scholar] [CrossRef]
- Xu, Y.L.; Li, X.J.; Cai, W.; Yu, W.Y.; Chen, J.; Lee, Q.; Choi, Y.J.; Wu, F.; Lou, Y.J.; Ying, H.Z.; et al. Diosmetin-7-O-beta-D-glucopyranoside from Pogostemonis Herba alleviated SARS-CoV-2-induced pneumonia by reshaping macrophage polarization and limiting viral replication. J. Ethnopharmacol. 2025, 336, 118704. [Google Scholar] [CrossRef]
- Luthria, D.L.; Biswas, R.; Natarajan, S. Comparison of extraction solvents and techniques used for the assay of isoflavones from soybean. Food Chem. 2007, 105, 325–333. [Google Scholar] [CrossRef]
- Mustafa, A.; Turner, C. Pressurized liquid extraction as a green approach in food and herbal plants extraction: A review. Anal. Chim. Acta 2011, 703, 8–18. [Google Scholar] [CrossRef] [PubMed]
- Alothman, M.; Bhat, R.; Karim, A.A. Antioxidant capacity and phenolic content of selected tropical fruits from Malaysia, extracted with different solvents. Food Chem. 2009, 115, 785–788. [Google Scholar] [CrossRef]
- Zhang, G.; He, L.; Hu, M. Optimized ultrasonic-assisted extraction of flavonoids from Prunella vulgaris L. and evaluation of antioxidant activities in vitro. Innov. Food Sci. Emerg. Technol. 2011, 12, 18–25. [Google Scholar] [CrossRef]
- Lai, J.; Wang, H.; Wang, D.; Fang, F.; Wang, F.; Wu, T. Ultrasonic extraction of antioxidants from Chinese sumac (Rhus typhina L.) fruit using response surface methodology and their characterization. Molecules 2014, 19, 9019–9032. [Google Scholar] [CrossRef]
- Dahmoune, F.; Nayak, B.; Moussi, K.; Remini, H.; Madani, K. Optimization of microwave-assisted extraction of polyphenols from Myrtus communis L. leaves. Food Chem. 2015, 166, 585–595. [Google Scholar] [CrossRef]
- Pompeu, D.R.; Silva, E.M.; Rogez, H. Optimisation of the solvent extraction of phenolic antioxidants from fruits of Euterpe oleracea using Response Surface Methodology. Bioresour. Technol. 2009, 100, 6076–6082. [Google Scholar] [CrossRef] [PubMed]
- Song, F.; Wei, C.; Zhou, L.; Qin, A.; Yang, M.; Tickner, J.; Huang, Y.; Zhao, J.; Xu, J. Luteoloside prevents lipopolysaccharide-induced osteolysis and suppresses RANKL-induced osteoclastogenesis through attenuating RANKL signaling cascades. J. Cell. Physiol. 2018, 233, 1723–1735. [Google Scholar] [CrossRef]
- Lee, A.Y.; Lee, S.; Kim, H.Y.; Lee, S.; Cho, E.J. Anti-inflammatory effects of luteolin and luteoloside from Taraxacum coreanum in RAW264.7 macrophage cells. Appl. Biol. Chem. 2016, 59, 747–754. [Google Scholar] [CrossRef]
- Wang, Z.; Chen, W.; Li, Y.; Zhang, S.; Lou, H.; Lu, X.; Fan, X. Reduning injection and its effective constituent luteoloside protect against sepsis partly via inhibition of HMGB1/TLR4/NF-kappaB/MAPKs signaling pathways. J. Ethnopharmacol. 2021, 270, 113783. [Google Scholar] [CrossRef] [PubMed]
- Sun, D.; Cheng, Y.; Yan, H.; Wei, X.; Dong, X.; Chi, L. Anti-inflammatory effect of luteolin-7-O-glucoside via the JAK1/STAT6/SOCS1 pathway in ulcerative colitis treatment. Pharmacogn. Mag. 2022, 18, 627. [Google Scholar]
- Li, Q.; Tian, Z.; Wang, M.; Kou, J.; Wang, C.; Rong, X.; Li, J.; Xie, X.; Pang, X. Luteoloside attenuates neuroinflammation in focal cerebral ischemia in rats via regulation of the PPARgamma/Nrf2/NF-kappaB signaling pathway. Int. Immunopharmacol. 2019, 66, 309–316. [Google Scholar] [CrossRef]








| Experiment Number | A Ethanol Concentration (%) | B Extraction Time (min) | C Liquid-to-Solid Ratio (mL/g) | D Extraction Temperature (°C) | Extraction Yield (mg/g) |
|---|---|---|---|---|---|
| 1 | 50 | 25 | 90 | 60 | 18.18 |
| 2 | 70 | 25 | 90 | 60 | 18.11 |
| 3 | 50 | 35 | 90 | 60 | 15.74 |
| 4 | 70 | 35 | 90 | 60 | 18.92 |
| 5 | 60 | 30 | 80 | 50 | 14.09 |
| 6 | 60 | 30 | 100 | 50 | 18.06 |
| 7 | 60 | 30 | 80 | 70 | 18.16 |
| 8 | 60 | 30 | 100 | 70 | 19.30 |
| 9 | 50 | 30 | 90 | 50 | 16.78 |
| 10 | 70 | 30 | 90 | 50 | 19.25 |
| 11 | 50 | 30 | 90 | 70 | 19.26 |
| 12 | 70 | 30 | 90 | 70 | 20.34 |
| 13 | 60 | 25 | 80 | 60 | 14.80 |
| 14 | 60 | 35 | 80 | 60 | 15.47 |
| 15 | 60 | 25 | 100 | 60 | 17.35 |
| 16 | 60 | 35 | 100 | 60 | 17.07 |
| 17 | 50 | 30 | 80 | 60 | 14.64 |
| 18 | 70 | 30 | 80 | 60 | 18.17 |
| 19 | 50 | 30 | 100 | 60 | 18.88 |
| 20 | 70 | 30 | 100 | 60 | 18.27 |
| 21 | 60 | 25 | 90 | 50 | 16.88 |
| 22 | 60 | 35 | 90 | 50 | 17.35 |
| 23 | 60 | 25 | 90 | 70 | 18.86 |
| 24 | 60 | 35 | 90 | 70 | 19.32 |
| 25 | 60 | 30 | 90 | 60 | 20.80 |
| 26 | 60 | 30 | 90 | 60 | 21.46 |
| 27 | 60 | 30 | 90 | 60 | 21.49 |
| Source | Sum of Squares | df | Mean Square | F-Value | p-Value | |
|---|---|---|---|---|---|---|
| Model | 97.20 | 14 | 6.94 | 39.14 | <0.0001 | ** |
| A | 7.65 | 1 | 7.65 | 43.12 | <0.0001 | ** |
| B | 0.0080 | 1 | 0.0080 | 0.0451 | 0.8353 | |
| C | 15.41 | 1 | 15.41 | 86.89 | <0.0001 | ** |
| D | 13.72 | 1 | 13.72 | 77.33 | <0.0001 | ** |
| AB | 2.64 | 1 | 2.64 | 14.89 | 0.0023 | ** |
| AC | 4.28 | 1 | 4.28 | 24.16 | 0.0004 | ** |
| AD | 0.4830 | 1 | 0.4830 | 2.72 | 0.1248 | |
| BC | 0.2256 | 1 | 0.2256 | 1.27 | 0.2814 | |
| BD | 0.0000 | 1 | 0.0000 | 0.0001 | 0.9907 | |
| CD | 2.00 | 1 | 2.00 | 11.29 | 0.0057 | ** |
| A2 | 7.59 | 1 | 7.59 | 42.79 | <0.0001 | ** |
| B2 | 27.10 | 1 | 27.10 | 152.78 | <0.0001 | ** |
| C2 | 39.69 | 1 | 39.69 | 223.74 | <0.0001 | ** |
| D2 | 5.93 | 1 | 5.93 | 33.41 | <0.0001 | ** |
| Residual | 2.13 | 12 | 0.1774 | |||
| Lack of Fit | 1.82 | 10 | 0.1824 | 1.20 | 0.5375 | |
| Pure Error | 0.3042 | 2 | 0.1521 | |||
| Cor Total | 99.33 | 26 | ||||
| R2 | 0.9786 | |||||
| Adjusted R2 | 0.9536 | |||||
| Predicted R2 | 0.8873 |
| Factors | Levels | ||
|---|---|---|---|
| Ethanol concentration (%) | 50 | 60 | 70 |
| Extraction time (min) | 25 | 30 | 35 |
| Liquid-to-solid ratio (mL/g) | 80 | 90 | 100 |
| Extraction temperature (°C) | 50 | 60 | 70 |
Disclaimer/Publisher’s Note: The statements, opinions and data contained in all publications are solely those of the individual author(s) and contributor(s) and not of MDPI and/or the editor(s). MDPI and/or the editor(s) disclaim responsibility for any injury to people or property resulting from any ideas, methods, instructions or products referred to in the content. |
© 2026 by the authors. Licensee MDPI, Basel, Switzerland. This article is an open access article distributed under the terms and conditions of the Creative Commons Attribution (CC BY) license.
Share and Cite
Sheng, K.; You, J.; Tian, S.; Lu, Y.; Wu, J.; Zhang, J. Optimization of Extraction Process for Flavonoids from Sonchus oleraceus L. and Evaluation of Anti-Inflammatory Activity of Luteoloside. Molecules 2026, 31, 1105. https://doi.org/10.3390/molecules31071105
Sheng K, You J, Tian S, Lu Y, Wu J, Zhang J. Optimization of Extraction Process for Flavonoids from Sonchus oleraceus L. and Evaluation of Anti-Inflammatory Activity of Luteoloside. Molecules. 2026; 31(7):1105. https://doi.org/10.3390/molecules31071105
Chicago/Turabian StyleSheng, Ke, Junyao You, Shuai Tian, Yaling Lu, Jiamin Wu, and Jianping Zhang. 2026. "Optimization of Extraction Process for Flavonoids from Sonchus oleraceus L. and Evaluation of Anti-Inflammatory Activity of Luteoloside" Molecules 31, no. 7: 1105. https://doi.org/10.3390/molecules31071105
APA StyleSheng, K., You, J., Tian, S., Lu, Y., Wu, J., & Zhang, J. (2026). Optimization of Extraction Process for Flavonoids from Sonchus oleraceus L. and Evaluation of Anti-Inflammatory Activity of Luteoloside. Molecules, 31(7), 1105. https://doi.org/10.3390/molecules31071105

