Sign in to use this feature.

Years

Between: -

Subjects

remove_circle_outline
remove_circle_outline
remove_circle_outline
remove_circle_outline
remove_circle_outline
remove_circle_outline
remove_circle_outline
remove_circle_outline
remove_circle_outline

Journals

remove_circle_outline
remove_circle_outline
remove_circle_outline
remove_circle_outline
remove_circle_outline
remove_circle_outline

Article Types

Countries / Regions

remove_circle_outline
remove_circle_outline
remove_circle_outline
remove_circle_outline

Search Results (902)

Search Parameters:
Keywords = cold-responsive proteins

Order results
Result details
Results per page
Select all
Export citation of selected articles as:
21 pages, 4683 KB  
Article
Research on Cold Resistance of Kandelia obovata Transplanted to Zhoushan Area at the mRNA Level
by Haozhe Li, Zhibin Sun, Weiye Li, Xiaolong Yin, Xian Xu, Xiaolin Zhang, Xiaojun Yan, Xinan Wang, Yuanyuan Li and Aijun Ma
Int. J. Mol. Sci. 2026, 27(1), 429; https://doi.org/10.3390/ijms27010429 (registering DOI) - 31 Dec 2025
Abstract
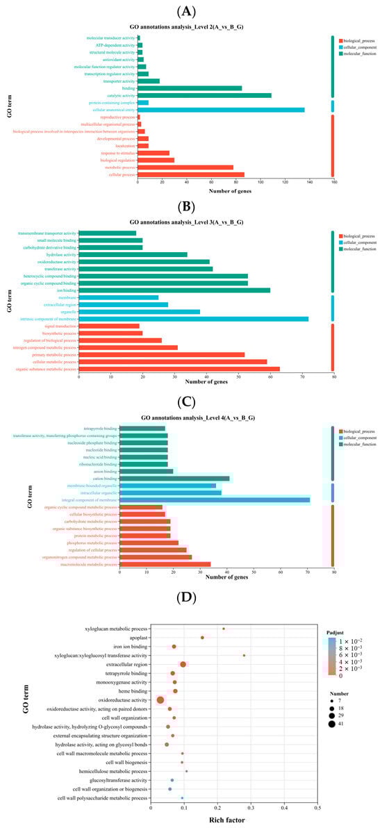
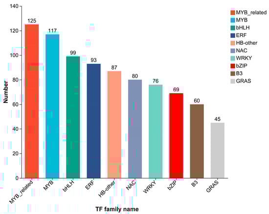
To elucidate the physiological and molecular mechanisms underlying cold tolerance in the mangrove species Kandelia obovata Sheue & al, this study measured the antioxidant enzyme activities and photosynthetic pigment contents of two populations—cold-tolerant and -sensitive—under natural overwintering conditions. In addition, transcriptome sequencing was [...] Read more.
To elucidate the physiological and molecular mechanisms underlying cold tolerance in the mangrove species Kandelia obovata Sheue & al, this study measured the antioxidant enzyme activities and photosynthetic pigment contents of two populations—cold-tolerant and -sensitive—under natural overwintering conditions. In addition, transcriptome sequencing was performed to analyze differentially expressed genes (DEGs), transcription factor families, single nucleotide polymorphisms (SNPs), and alternative splicing events. The results showed that catalase activity was significantly elevated in the cold-tolerant population, which enhanced the efficiency of hydrogen peroxide scavenging. In contrast, although the superoxide dismutase activity was relatively high in the cold-sensitive population, its downstream scavenging capacity was insufficient, resulting in an overall lower antioxidant efficiency. The KEGG enrichment analysis indicated that pathways such as phenylpropanoid biosynthesis, amino sugar metabolism, and plant hormone signal transduction might be involved in the response to low-temperature stress. Further analysis revealed that transcription factors such as WRKY, NAC, MYB, and ERF were differentially expressed at significant levels in the cold-tolerant population, suggesting that they may play important roles in low-temperature adaptation. In addition, the diversity of SNPs and alternative splicing events may enhance protein function and contribute to improved cold tolerance. In summary, the cold-tolerant K. obovata population achieves low-temperature tolerance through multiple mechanisms, including antioxidant defense, metabolic regulation, and transcriptional as well as post-transcriptional regulation. This study provides a theoretical basis for elucidating the molecular foundations of cold tolerance in K. obovata. Full article
(This article belongs to the Special Issue Abiotic Stress Tolerance and Genetic Diversity in Plants, 2nd Edition)
Show Figures

Figure 1

18 pages, 4462 KB  
Article
Genome-Wide Identification of the Double B-Box (DBB) Family in Three Cotton Species and Functional Analysis of GhDBB22 Under Salt Stress
by Haijun Zhang, Xuerui Wu, Jiahao Yang, Mengxue He, Na Wang, Jie Liu, Jinnan Song, Liyan Yu, Wenjuan Chi and Xianliang Song
Plants 2026, 15(1), 109; https://doi.org/10.3390/plants15010109 (registering DOI) - 30 Dec 2025
Abstract
Salt stress causes harm to plants through multiple aspects, such as osmotic pressure, ion poisoning, nutrient imbalance, and oxidative damage. Zinc finger proteins harboring two B-box domains, known as double B-box (DBB) proteins, constitute the DBB family. While DBB genes have been implicated [...] Read more.
Salt stress causes harm to plants through multiple aspects, such as osmotic pressure, ion poisoning, nutrient imbalance, and oxidative damage. Zinc finger proteins harboring two B-box domains, known as double B-box (DBB) proteins, constitute the DBB family. While DBB genes have been implicated in regulating circadian rhythms and stress responses in various plant species, their functions in cotton remain largely unexplored. The present study characterized the DBB gene family across the genomes of Gossypium hirsutum L., Gossypium raimondii L., and Gossypium arboreum L., revealing a complement of 58 members. These DBB genes were assigned to three separate clades based on phylogenetic analysis. Members possessing close phylogenetic relationships have similar conserved protein motifs and gene structures. All DBB proteins were predicted to be nuclear-localized, consistent with their roles as transcription factors. Furthermore, the presence of multiple cis-acting elements related to light, hormone, and stress responses in the promoters implies that GhDBBs are integral to cotton’s environmental stress adaptation. Expression pattern analysis indicated that the expression of GhDBB genes was associated with the plant’s response to multiple abiotic stresses, such as salt, drought, heat (37 °C), and cold (4 °C). The reliability of the expression data was confirmed by qPCR analysis of eight selected GhDBBs. Under 200 mM NaCl, Arabidopsis plants overexpressing GhDBB22 displayed longer roots and healthier true leaves than the wild-type controls. Conversely, VIGS-mediated silencing of GhDBB22 in G. hirsutum led to significantly reduced salt tolerance, accompanied by exacerbated oxidative damage. Taken together, the findings from our integrated genomic and functional analyses provide a foundational understanding of the molecular mechanisms through which proteins encoded by DBB genes are involved in the plant’s response to salt stress. Full article
(This article belongs to the Special Issue Plant Functioning Under Abiotic Stress)
Show Figures

Figure 1

31 pages, 4168 KB  
Review
Protein Post-Translational Modifications in Plant Abiotic Stress Responses
by Gengmi Li, Baohua Feng, Qian-Hao Zhu, Kaifeng Jiang and Tao Zhang
Plants 2026, 15(1), 52; https://doi.org/10.3390/plants15010052 - 23 Dec 2025
Viewed by 380
Abstract
Protein post-translational modifications (PTMs), as an important biological process of plants responding to environmental stimuli, can regulate the chemical decoration and properties of translated proteins by altering amino acid side chains or protein terminal structures, thereby affecting the synthesis, assembly, localization, function, and [...] Read more.
Protein post-translational modifications (PTMs), as an important biological process of plants responding to environmental stimuli, can regulate the chemical decoration and properties of translated proteins by altering amino acid side chains or protein terminal structures, thereby affecting the synthesis, assembly, localization, function, and degradation of proteins. Notably, PTMs regulate protein function without changing protein expression levels. Two dozen types of PTMs have been identified. This review summarizes the molecular mechanisms of major types of PTMs, including phosphorylation, ubiquitination, SUMOylation, glycosylation, methylation, and acetylation, with a focus on their regulatory roles in plant responses to abiotic stresses. Under heat stress, phosphorylation activates transcription factors such as HSFA1 (heat shock transcription factor 1), while SUMOylation regulates the activity of HSFA1/HSFA2 in the heat stress signaling pathway. Upon cold stress, phosphorylation, ubiquitination, and S-acylation collectively regulate the expression of cold tolerance-related genes. The drought stress response relies on SnRK2s (Sucrose 321 non-Fermenting 1-related protein kinase 2s) -mediated phosphorylation, regulation of ARF7 (auxin response factor 7) by SUMOylation, and ubiquitination. In salt stress, the coupling of phosphorylation of SOS (salt overly sensitive) pathway-related proteins, ubiquitination, and phospholipid metabolism maintains ion homeostasis. Additionally, PTMs play a key role in ABA-mediated abiotic stress responses by regulating core components of signal transduction, such as PYR (pyrabactin resistance)/PYL (PYR1-LIKE)/RCAR (regulatory components of ABA receptor) receptors, PP2Cs (protein phosphatases type 2C), and SnRK2s. On the basis of the synthesis of the regulatory mechanisms of PTMs, we discuss how PTMs can be manipulated to breed abiotic stress resilient crops and the issues to be addressed to achieve the goal, such as crosstalk between PTMs, technical challenges in investigating PTMs and identifying PTM substrates. Full article
(This article belongs to the Special Issue Recent Advances in Plant Genetics and Genomics)
Show Figures

Figure 1

18 pages, 4699 KB  
Article
The Superoxide dismutase (SOD) Gene Family in Litchi (Litchi chinensis Sonn.): Identification, Classification, and Expression Responses in Leaves Under Abiotic Stresses
by Chao Fan, Jie Yang, Rong Chen and Wei Liu
Antioxidants 2026, 15(1), 14; https://doi.org/10.3390/antiox15010014 - 22 Dec 2025
Viewed by 281
Abstract
Superoxide dismutase (SOD) serves as a critical enzyme that is involved in plant development and abiotic stresses by effectively detoxifying reactive oxygen species (ROS). Though the SOD gene family has been reported across various plant species, its specific members and functional roles in [...] Read more.
Superoxide dismutase (SOD) serves as a critical enzyme that is involved in plant development and abiotic stresses by effectively detoxifying reactive oxygen species (ROS). Though the SOD gene family has been reported across various plant species, its specific members and functional roles in litchi (Litchi chinensis Sonn.) remain poorly understood. In this study, a total of seven SOD (christened LcSOD) genes were identified from the litchi genome and classified into three groups across six chromosomes. Notably, genes from the same evolutionary branch had more similar structures and motif distributions. The LcSOD genes were confirmed to have a stronger collinearity with dicotyledons than with monocotyledons. Cis-acting elements analysis indicated that the LcSOD gene family was deeply involved in orchestrating growth, development, and responses to multiple phytohormones and diverse stresses. Expression patterns of the LcSOD genes across different tissues revealed universal and specific expressions. In leaves, expression levels of the LcSOD genes were induced by cold, heat, drought, and salt stresses, and transcript levels correlated positively with concomitant changes in key physiological parameters under the same conditions. In addition, the LcSOD genes were characterized for their physicochemical properties, subcellular localizations, secondary and tertiary structures, gene ontology (GO) annotations, and protein-protein interactions. Our findings offer comprehensive insights into the LcSOD gene family, enriching genetic resources. They provide a framework for functional characterization and the development of stress-resistant cultivars, driving both basic research and applied breeding programs in litchi. Full article
Show Figures

Figure 1

25 pages, 948 KB  
Review
Heat Shock Transcription Factors as Central Integrators of Plant Stress Responses: From Thermotolerance to Multi-Stress Resilience
by Yuan Li, Kang Gong, Xinyi Wang, Zhihong Sun and Fei Ding
Biology 2025, 14(12), 1800; https://doi.org/10.3390/biology14121800 - 18 Dec 2025
Viewed by 320
Abstract
Heat shock transcription factors (HSFs) have long been recognized for their essential role in mediating thermotolerance via the activation of heat shock proteins (HSPs). Recent studies, however, have significantly broadened this view, revealing that HSFs function as versatile transcriptional regulators orchestrating plant adaptation [...] Read more.
Heat shock transcription factors (HSFs) have long been recognized for their essential role in mediating thermotolerance via the activation of heat shock proteins (HSPs). Recent studies, however, have significantly broadened this view, revealing that HSFs function as versatile transcriptional regulators orchestrating plant adaptation to a wide range of abiotic and biotic stresses. This review synthesizes current knowledge of HSF structure, activation, and canonical roles in the heat shock response, while emphasizing emerging insights into their diverse functions beyond heat stress. Evidence from both model and crop species demonstrates that many HSFs confer tolerance to a broad range of stresses, including drought, cold, salinity, oxidative stress, and pathogen attack, through intricate crosstalk with hormonal (e.g., ABA, SA, JA) and redox signaling pathways, as well as MAPK-mediated phosphorylation. We also discuss biotechnological strategies such as CRISPR/Cas-mediated genome editing, stress-inducible promoter engineering, and synthetic transcriptional circuits that offer promising avenues for fine-tuning HSF expression and enhancing multi-stress resilience in crops. A deeper understanding of HSF multifunctionality not only advances our comprehension of plant stress biology but also provides a foundation for engineering resilient crops in the context of global climate change. Full article
(This article belongs to the Special Issue Molecular Mechanisms of Plant Stress Adaptation)
Show Figures

Figure 1

17 pages, 8326 KB  
Article
Pangenome-Wide Identification, Evolutionary Analysis of Maize ZmPLD Gene Family, and Functional Validation of ZmPLD15 in Cold Stress Tolerance
by Si-Nan Li, Yun-Long Li, Ming-Hao Sun, Yan Sun, Xin Li, Quan Cai, Yunpeng Wang and Jian-Guo Zhang
Plants 2025, 14(24), 3858; https://doi.org/10.3390/plants14243858 - 18 Dec 2025
Viewed by 350
Abstract
Phospholipase D (PLD) genes play key roles in plant abiotic stress responses, but the systematic identification of the maize (Zea mays) PLD family and its cold tolerance mechanism remain unclear. Using 26 maize genomes (pangenome), we identified 21 ZmPLD members via [...] Read more.
Phospholipase D (PLD) genes play key roles in plant abiotic stress responses, but the systematic identification of the maize (Zea mays) PLD family and its cold tolerance mechanism remain unclear. Using 26 maize genomes (pangenome), we identified 21 ZmPLD members via Hidden Markov Model (HMM) search (Pfam domain PF00614), including five private genes—avoiding gene omission from single reference genomes. Phylogenetic analysis showed ZmPLD conservation with Arabidopsis and rice PLDs; Ka/Ks analysis revealed most ZmPLDs under purifying selection, while three genes (including ZmPLD15) had positive selection signals, suggesting roles in maize adaptive domestication. For ZmPLD15, five shared structural variations (SVs) were found in its promoter; some contained ERF/bHLH binding sites, and SVs in Region1/5 significantly regulated ZmPLD15 expression. Protein structure prediction and molecular docking showed conserved ZmPLD15 structure and substrate (1,2-diacyl-sn-glycero-3-phosphocholine) binding energy across germplasms. Transgenic maize (B73 background) overexpressing ZmPLD15 was generated. Cold stress (8–10 °C, 6 h) and recovery (24 h) on three-leaf seedlings showed transgenic plants had better leaf cell integrity than wild type (WT). Transgenic plants retained 45.8% net photosynthetic rate (Pn), 47.9% stomatal conductance (Gs), and 55.8% transpiration rate (Tr) versus 7.6%, 21.3%, 13.8% in WT; intercellular CO2 concentration (Ci) was maintained properly. This confirms ZmPLD15 enhances maize cold tolerance by protecting photosynthetic systems, providing a framework for ZmPLD research and a key gene for cold-tolerant maize breeding. Full article
Show Figures

Figure 1

23 pages, 5116 KB  
Article
Overexpression of Malus baccata WRKY63 Enhances Cold Tolerance by Increasing the Antioxidant Level Associated with ROS Scavenging
by Wanda Liu, Tianhe Wang, Xinhui Wang, Zhiwei Wang, Baitao Guo, Yu Wang, Xiaoyu Shen, Jilong Han, Wenhui Li and Deguo Han
Int. J. Mol. Sci. 2025, 26(24), 11997; https://doi.org/10.3390/ijms262411997 - 12 Dec 2025
Viewed by 329
Abstract
During their natural growth, plants encounter adverse environmental conditions, such as chilling injury, freezing injury, drought, and salt damage, collectively known as abiotic stresses. Several studies have shown that WRKY proteins regulate various abiotic stress responses and plant developmental processes. However, researchers have [...] Read more.
During their natural growth, plants encounter adverse environmental conditions, such as chilling injury, freezing injury, drought, and salt damage, collectively known as abiotic stresses. Several studies have shown that WRKY proteins regulate various abiotic stress responses and plant developmental processes. However, researchers have rarely investigated WRKY genes associated with the stress response in apples. Within this research, Malus baccata (L.) Borkh as the experimental material. We isolated and cloned MbWRKY63 and investigated its function in low-temperature stress tolerance. Subcellular localization analysis shows that MbWRKY63 localizes to the cell nucleus. Tissue-specific expression analysis revealed that MbWRKY63 is relatively highly expressed in the young leaves and root tissues of apples. Under low-temperature treatment at 4 °C, Arabidopsis thaliana plants that overexpressed MbWRKY63 showed greater cold stress resistance than the wild type (WT) and the empty vector (UL) control. In transgenic plants, the activities of superoxide dismutase (SOD), peroxidase (POD), and catalase (CAT) were significantly enhanced; meanwhile, the contents of proline, malondialdehyde (MDA), and chlorophyll also changed significantly. In addition, by regulating the expression levels of AtKIN1, AtCBF1, AtCBF2, AtCBF3, AtCOR47, and AtCOR15a, MbWRKY63 enhanced the low-temperature stress tolerance in transgenic Arabidopsis. The results suggest that MbWRKY63 in apples may be involved in the response to low-temperature stress, laying a foundation for understanding the role of WRKY transcription factors (TFs) in abiotic stress responses. Full article
(This article belongs to the Special Issue Advance in Plant Abiotic Stress: 4th Edition)
Show Figures

Figure 1

21 pages, 8163 KB  
Article
Identification of the ACBP Family Genes and Their Response to Cold and Salt Stress in Citrus
by Lijuan Jiang, Xiaoyu Wang, Yu Sheng and Xiaoyong Xu
Agriculture 2025, 15(24), 2547; https://doi.org/10.3390/agriculture15242547 - 9 Dec 2025
Viewed by 295
Abstract
Acyl-CoA-binding proteins (ACBPs) are essential lipid carrier proteins involved in plant lipid metabolism. However, the systematic identification and expression profiles of the ACBP gene family in citrus species remain poorly understood. Here, Citrus sinensis and Poncirus trifoliata were chosen as model species to [...] Read more.
Acyl-CoA-binding proteins (ACBPs) are essential lipid carrier proteins involved in plant lipid metabolism. However, the systematic identification and expression profiles of the ACBP gene family in citrus species remain poorly understood. Here, Citrus sinensis and Poncirus trifoliata were chosen as model species to examine the biological properties of citrus ACBPs. Using bioinformatics methods, five ACBP gene members were found in each species and named CsACBPs and PtrACBPs, respectively. All obtained ACBP members were divided into four subfamilies based on conserved domains and amino acid sequences. CsACBP and PtrACBP genes exhibited structural variation in motifs and exons. The predicted protein structures of CsACBPs and PtrACBPs exhibited conservation between the two species while displaying distinct variation within each species. Collinearity analysis showed one intraspecific pairing relationship in each of the two citrus species. Furthermore, there were more collinear couplings between citrus species and Arabidopsis thaliana but none between citrus species and Oryza sativa (rice). Notably, the analysis of cis-acting elements in ACBP gene promoters identified a number of motifs associated with light, abiotic stresses, and phytohormones. Expression profiling confirmed tissue-specific expression patterns of CsACBP1~5 and PtrACBP1~5. RT-qPCR analysis revealed that all CsACBP and PtrACBP genes responded to cold and salt stresses, though the magnitude of their responses varied significantly. Specially, although PtrACBP5 did not respond to low temperatures as rapidly as other members, its expression level increased significantly after 24 h of low-temperature treatment. Protein–protein interaction (PPI) network predictions indicated tight associations among four of the five CsACBPs, with CsACBP5 excluded from these interactions. Moreover, CsACBP1, CsACBP2, and CsACBP3 were predicted to be potential targets of csi-miR3952, csi-miR396a, and csi-miR477b, respectively. Overall, our research provides a solid foundation for further investigations into the biological functions and regulatory mechanisms of ACBP genes in citrus growth, development, and stress adaptation. Full article
(This article belongs to the Section Crop Genetics, Genomics and Breeding)
Show Figures

Figure 1

15 pages, 13125 KB  
Article
Can Aquatic Plant Turions Serve as a Source of Arabinogalactans? Immunohistochemical Detection of AGPs in Turion Cells
by Bartosz J. Płachno, Lubomír Adamec, Marcin Feldo, Piotr Stolarczyk and Małgorzata Kapusta
Molecules 2025, 30(24), 4689; https://doi.org/10.3390/molecules30244689 - 7 Dec 2025
Viewed by 488
Abstract
Turions (overwintering buds) as modified shoot apices constitute specialized vegetative structures that enable many aquatic vascular plants to withstand adverse environmental conditions such as low temperature, desiccation, or limited light availability. Turions serve as major storage sites for organic reserves, including sugars, proteins, [...] Read more.
Turions (overwintering buds) as modified shoot apices constitute specialized vegetative structures that enable many aquatic vascular plants to withstand adverse environmental conditions such as low temperature, desiccation, or limited light availability. Turions serve as major storage sites for organic reserves, including sugars, proteins, fatty acids, and polyamines. Owing to their high content of energy-rich and nutritionally valuable compounds, turions represent a potential renewable resource for applications in biofuel production, animal feed, and the food industry. We investigated whether arabinogalactan proteins (AGPs) occur in aquatic plant turions and localized these compounds within specific tissues or cell types. This work was designed to evaluate whether stress-resistant storage organs may constitute a practical reservoir of AGPs. Considering the central role of AGPs in plant responses to abiotic stress, we hypothesized that turions, which routinely encounter cold, anoxia, and intermittent dehydration, would exhibit particularly high AGP accumulation. Mature turions of aquatic species (Aldrovanda vesiculosa, Utricularia australis, U. intermedia, and Caldesia parnassifolia) were used. Immunofluorescent labeling with AGP-specific antibodies (JIM8, JIM13, JIM14, LM2, MAC207) and confocal laser scanning microscopy were employed. In Aldrovanda vesiculosa and Caldesia parnassifolia, AGP epitopes were abundantly presented in cytoplasmic compartments. AGP epitopes occurred in secretory structures in turions of all examined species (trichomes of Aldrovanda and Utricularia, secretory ducts of Caldesia). In analyzing turions of four different species, we identified Aldrovanda vesiculosa turions as the most promising potential source of AGPs, also noting their high reserve potential for use in animal feed or the food industry. Full article
Show Figures

Figure 1

26 pages, 3317 KB  
Article
Blood Transcriptome Analysis Reveals Immune Characteristics of Captive Forest Musk Deer (Moschus berezovskii) at High Altitude in Bianba County, Tibet
by Lei Chen, Xuxin Li, Zhoulong Chen, Jin Bai, Yanni Zhao, Maoyuan Gan, Wenjingyi Chang, Jieyao Cai and Xiuyue Zhang
Animals 2025, 15(23), 3501; https://doi.org/10.3390/ani15233501 - 4 Dec 2025
Viewed by 389
Abstract
The hypoxic, cold, and high-ultraviolet radiation environments at high altitude pose severe challenges to mammalian immune and metabolic systems. However, little is known about how captive forest musk deer adapt to high-altitude environments and their seasonal variations. This study analyzed peripheral blood transcriptomes [...] Read more.
The hypoxic, cold, and high-ultraviolet radiation environments at high altitude pose severe challenges to mammalian immune and metabolic systems. However, little is known about how captive forest musk deer adapt to high-altitude environments and their seasonal variations. This study analyzed peripheral blood transcriptomes of 33 captive forest musk deer (Moschus berezovskii) at high altitude (~3900 m) and low altitude (~1450 m) during autumn-winter and spring-summer seasons. Results revealed comprehensive immune suppression in the high-altitude group during autumn-winter (downregulation of complement system CFB/C2/C3, interferon pathway genes including FLT3, with only natural killer (NK) cell PRKCQ upregulated), coupled with energy-conserving metabolic reprogramming (altered carbohydrate metabolism, inhibited lipid synthesis, fat mobilization, suppressed protein degradation). During spring-summer, neutrophil antimicrobial responses (SLPI/NCF1/ELANE) and humoral immunity (B cell differentiation genes PAX5/RUNX1; class-switch enzyme AICDA) partially recovered while cellular immunity (IL15/B2M) remained suppressed, accompanied by enhanced anabolic metabolism and adipocyte differentiation. Notably, NK cell-mediated cytotoxicity showed selective enhancement despite comprehensive immune suppression, representing an energy-efficient innate defense strategy. This study provides the first characterization of seasonal immune dynamics in a high-altitude cervid species. These findings reveal persistent immune constraints in high-altitude populations and provide theoretical foundations for disease prevention and health management in captive forest musk deer at high altitudes. Full article
Show Figures

Graphical abstract

22 pages, 1103 KB  
Review
Traditional Health Practices May Promote Nrf2 Activation Similar to Exercise
by Hubert Kolb, Stephan Martin and Kerstin Kempf
Int. J. Mol. Sci. 2025, 26(23), 11546; https://doi.org/10.3390/ijms262311546 - 28 Nov 2025
Viewed by 1030
Abstract
Various non-pharmacological practices have been reported to enhance overall health. The molecular effects of exercise have been shown to involve the upregulation of enzymes and transcription factors that enhance antioxidative and anti-inflammatory activity, boost mitochondrial function and growth, and promote a parasympathetic tone. [...] Read more.
Various non-pharmacological practices have been reported to enhance overall health. The molecular effects of exercise have been shown to involve the upregulation of enzymes and transcription factors that enhance antioxidative and anti-inflammatory activity, boost mitochondrial function and growth, and promote a parasympathetic tone. These beneficial changes occur as an adaptive/hormetic response to an initial increase in oxygen radical and nitric oxide production in working muscles. The redox-sensitive nuclear factor erythroid 2-related factor 2 (Nrf2) was identified as the key mediator of the cellular defense response. A similar adaptive response appears to occur in response to exposure to heat or cold, hyperbaric or hypobaric oxygen, cupping therapy, acupuncture, caloric restriction, and the consumption of polyphenol-rich plant-based foods or spices, and there is direct or indirect evidence for the involvement of Nrf2. In many cases, additional stress signaling pathways have been observed to be upregulated, including the nicotinamide adenine dinucleotide (NAD+)-sirtuin and the adenosine monophosphate (AMP)-activated protein kinase pathways. We conclude that while several traditional health practices may share a hormetic mechanism—mild radical-induced damage triggers a defense response through upregulation of antioxidative, anti-inflammatory, and repair activities, which may impact body-wide tissue function. Full article
(This article belongs to the Special Issue Role of NRF2 Pathway in Chronic Diseases)
Show Figures

Figure 1

16 pages, 4598 KB  
Article
Genome-Wide Identification and Characterization of Tomato Acyl-CoA Oxidase Family Genes ACX
by Chunlei Wang, Zesheng Liu, Yanlong Gao, Qianbing Li, Qi Wang and Caiting An
Horticulturae 2025, 11(12), 1426; https://doi.org/10.3390/horticulturae11121426 - 25 Nov 2025
Viewed by 369
Abstract
This study conducted a systematic identification and functional analysis of the SlACX gene family in Solanum lycopersicum. Through genome-wide screening, a total of six SlACX members were identified, and their encoded proteins showed significant differences in physicochemical properties, suggesting potential functional differentiation. [...] Read more.
This study conducted a systematic identification and functional analysis of the SlACX gene family in Solanum lycopersicum. Through genome-wide screening, a total of six SlACX members were identified, and their encoded proteins showed significant differences in physicochemical properties, suggesting potential functional differentiation. Analysis of gene structure and conserved motifs revealed that SlACXs were highly conserved in evolution, but the cis-acting elements in the promoter region were rich and diverse, suggesting that they may integrate multiple signaling pathways. Chromosomal localization and collinearity analysis revealed that gene replication events were the main driving force for family expansion, and there were key interspecific collinearity blocks with Arabidopsis thaliana and Glycine max. Expression analysis showed that SlACXs exhibited remarkable tissue specificity and strong temporal dynamic response patterns to UV, dark, ABA, MeJA, and various abiotic stresses (cold, heat, H2O2, PEG, and NaCl). Several genes (such as SlACX1, SlACX3, SlACX4, and SlACX5) exhibited consistently high expression levels under various stress conditions, underscoring their potential role as central regulatory hubs. Full article
(This article belongs to the Section Biotic and Abiotic Stress)
Show Figures

Figure 1

25 pages, 8524 KB  
Article
Genome-Wide Analysis of the LEA Gene Family in Pineapple (Ananas comosus L.) Reveals Its Potential Roles in Cold Stress Response and Reproductive Development
by Zhimin Hou, Xinkai Cai, Denghang Wu, Haichao Gong, Jing Wang, Yinan Zhang, Qinglong Yao, Lulu Wang, Yuqin Liang, Yangmei Zhang, Yuan Qin, Xiaomei Wang and Ping Zheng
Biology 2025, 14(12), 1655; https://doi.org/10.3390/biology14121655 - 24 Nov 2025
Viewed by 486
Abstract
Late Embryogenesis Abundant (LEA) proteins play vital roles in plant responses to abiotic stress and developmental regulation. Pineapple (Ananas comosus L.) is a major tropical fruit crop with high economic value, but its production is often threatened by cold stress, particularly in [...] Read more.
Late Embryogenesis Abundant (LEA) proteins play vital roles in plant responses to abiotic stress and developmental regulation. Pineapple (Ananas comosus L.) is a major tropical fruit crop with high economic value, but its production is often threatened by cold stress, particularly in regions at the northern margin of its cultivation. Despite the recognized importance of LEA proteins in stress adaptation, their genomic landscape and functional characteristics in pineapple remain largely unexplored. In this study, 37 AcLEA genes were identified in the pineapple (Ananas comosus L.) genome and classified into six subfamilies, with LEA_2 being the largest. Most AcLEA proteins were predicted to be hydrophilic, thermally stable, and intrinsically disordered, consistent with typical LEA protein characteristics. Phylogenetic and collinearity analyses revealed species-specific expansion patterns, primarily driven by segmental duplication events. Most duplicated gene pairs shared similar exon–intron structures, motif compositions, and expression profiles, although several displayed signs of functional divergence based on distinct expression patterns, Ka/Ks ratios > 1, and motif differences. Promoter cis-element, transcription factor, and miRNA network predictions indicated that AcLEA genes are widely involved in stress responses as well as growth and development. Expression profiling showed that many AcLEA genes including AcLEA32, AcLEA7, AcLEA9, AcLEA30, AcLEA29, AcLEA33, and AcLEA18 were significantly upregulated under cold stress and declined upon stress removal, indicating a potential role in cold tolerance. Some AcLEA genes, such as AcLEA32 and AcLEA33, showed faster and stronger induction under cold stress in the cold-tolerant cultivar “Comte de Paris” (BL) compared to the sensitive cultivar “Tainong No. 20” (NN), suggesting that differential gene responsiveness may contribute to cultivar-specific cold tolerance. Additionally, most AcLEA genes exhibited distinct spatiotemporal expression patterns across floral organs and fruit at various developmental stages, suggesting their involvement in reproductive development. These findings provide a foundation for future functional studies and highlight candidate genes for improving cold resilience and developmental traits in pineapple through molecular breeding. Full article
Show Figures

Figure 1

19 pages, 2741 KB  
Article
Genome-Wide Characterization, Expression, and Functional Analysis of Acyl-CoA-Binding Protein (ACBP) Gene Family in Puccinellia tenuiflora
by Hongxia Zheng, Ying Li, Sizhu Wang, Xin Ni, Xiaofeng Xu and Shaojun Dai
Plants 2025, 14(23), 3551; https://doi.org/10.3390/plants14233551 - 21 Nov 2025
Viewed by 451
Abstract
Acyl-CoA-binding proteins (ACBPs) possess a conserved acyl-CoA-binding (ACB) domain that facilitates binding to acyl-CoA esters. In addition to their typical role in lipid metabolism, plant ACBPs have been shown to participate in various physiological processes, such as membrane biogenesis, stress response pathways and [...] Read more.
Acyl-CoA-binding proteins (ACBPs) possess a conserved acyl-CoA-binding (ACB) domain that facilitates binding to acyl-CoA esters. In addition to their typical role in lipid metabolism, plant ACBPs have been shown to participate in various physiological processes, such as membrane biogenesis, stress response pathways and plant immunity mechanisms. Here, we identified five PutACBP members in alkaligrass (Puccinellia tenuiflora), which were divided into four distinct classes based on a phylogenetic tree constructed from 86 ACBP genes from 12 plant species. Promoter analysis identified numerous cis-acting elements linked to abiotic stresses (e.g., light, drought, heat, and cold) and hormone responses. Expression profile analyses revealed that PutACBPs exhibit broad expression patterns across many organs and respond to salinity-alkali, cold, H2O2, and CdCl2 stresses. Transient expression of five PutACBP-GFPs in tobacco (Nicotiana tabacum) revealed PutACBP1 and PutACBP2 localized to the plasma membrane, cytoplasm, and cell nucleus, while PutACBP3, PutACBP4, and PutACBP5 localized around the plasma membrane and cytoplasm. Furthermore, heterologous constitutive expression of PutACBP3 in Arabidopsis (Arabidopsis thaliana) enhanced the resistance of transgenic plants to salinity stress, possibly through alterations in the levels of lipid metabolism-related and stress-responsive genes. The ACBP gene family is highly conserved across different plant species. This study provides the first comprehensive genomic and functional characterization of the PutACBP family in alkaligrass, elucidating its evolutionary conservation, phylogenetic classification, and stress-response roles. Notably, overexpression of PutACBP3 in Arabidopsis significantly enhanced salt tolerance, suggesting its critical function in salt-stress adaptation in alkaligrass. Full article
Show Figures

Figure 1

47 pages, 3011 KB  
Review
Current Status and Challenges of Vaccine Development for Seasonal Human Coronaviruses
by Bin Zhang, Yaoming Liu, Tao Chen, Jintao Lai, Sen Liu, Xiaoqing Liu, Yiqiang Zhu, Haiyue Rao, Haojie Peng and Xiancai Ma
Vaccines 2025, 13(11), 1168; https://doi.org/10.3390/vaccines13111168 - 16 Nov 2025
Viewed by 1796
Abstract
Seasonal human coronaviruses (HCoVs), including HCoV-229E, HCoV-NL63, HCoV-OC43, and HCoV-HKU1, circulate globally in an epidemic pattern and account for a substantial proportion of common cold cases, particularly in infants, the elderly, and immunocompromised individuals. Although clinical manifestations are typically mild, these HCoVs exhibit [...] Read more.
Seasonal human coronaviruses (HCoVs), including HCoV-229E, HCoV-NL63, HCoV-OC43, and HCoV-HKU1, circulate globally in an epidemic pattern and account for a substantial proportion of common cold cases, particularly in infants, the elderly, and immunocompromised individuals. Although clinical manifestations are typically mild, these HCoVs exhibit ongoing antigenic drift and have demonstrated the potential to cause severe diseases in certain populations, underscoring the importance of developing targeted and broad-spectrum vaccines. This review systematically examines the pathogenesis, epidemiology, genomic architecture, and major antigenic determinants of seasonal HCoVs, highlighting key differences in receptor usage and the roles of structural proteins in modulating viral tropism and host immunity. We summarize recent advances across various vaccine platforms, including inactivated, DNA, mRNA, subunit, viral-vectored, and virus-like particle (VLP) approaches, in the development of seasonal HCoV vaccines. We specifically summarize preclinical and clinical findings demonstrating variable cross-reactivity between SARS-CoV-2 and seasonal HCoV vaccines. Evidence indicates that cross-reactive humoral and cellular immune responses following SARS-CoV-2 infection or vaccination predominantly target conserved epitopes of structural proteins, supporting strategies that incorporate conserved regions to achieve broad-spectrum protection. Finally, we discuss current challenges in pathogenesis research and vaccine development for seasonal HCoVs. We propose future directions for the development of innovative pan-coronavirus vaccines that integrate both humoral and cellular antigens, aiming to protect vulnerable populations and mitigate future zoonotic spillover threats. Full article
Show Figures

Figure 1

Back to TopTop