Sign in to use this feature.

Years

Between: -

Subjects

remove_circle_outline
remove_circle_outline
remove_circle_outline
remove_circle_outline
remove_circle_outline
remove_circle_outline
remove_circle_outline
remove_circle_outline
remove_circle_outline

Journals

remove_circle_outline
remove_circle_outline
remove_circle_outline
remove_circle_outline
remove_circle_outline

Article Types

Countries / Regions

remove_circle_outline
remove_circle_outline
remove_circle_outline
remove_circle_outline
remove_circle_outline

Search Results (542)

Search Parameters:
Keywords = coarse location

Order results
Result details
Results per page
Select all
Export citation of selected articles as:
12 pages, 2248 KB  
Article
Cost-Effective and High-Throughput WSPRi Sensing System Based on Multi-Monochromatic LEDs and Adaptive Second-Order Fitting Algorithm
by Chenglong Guo, Jiacong Xiao, Jianchun Zeng, Youjun Zeng and Yi Liu
Sensors 2026, 26(1), 36; https://doi.org/10.3390/s26010036 - 20 Dec 2025
Viewed by 168
Abstract
Surface Plasmon Resonance imaging (SPRi) is a powerful label-free technique for high-throughput biochemical analysis. Wavelength modulation is particularly suitable for SPRi due to its wide dynamic range and robustness to fabrication tolerances. However, conventional systems relying on tunable filters (e.g., AOTF, LCTF) suffer [...] Read more.
Surface Plasmon Resonance imaging (SPRi) is a powerful label-free technique for high-throughput biochemical analysis. Wavelength modulation is particularly suitable for SPRi due to its wide dynamic range and robustness to fabrication tolerances. However, conventional systems relying on tunable filters (e.g., AOTF, LCTF) suffer from high cost, complexity, and limited temporal resolution. To overcome these drawbacks, we developed a rapid wavelength-modulation SPRi system using a multi-LED source and an adaptive second-order fitting (ASF) algorithm. The system covers the 730–805 nm spectrum with five LEDs. The ASF algorithm first performs a coarse full-spectrum scan to locate the resonance wavelength, then dynamically selects an optimal three-LED subset for fast second-order fitting, enabling accurate reconstruction of resonance wavelength without mechanical scanning. This approach significantly reduces cost and complexity while achieving a scanning cycle of 105 ms, RI resolution of 5.54 × 10−6 RIU, dynamic range of 0.0241 RIU, and excellent multi-channel consistency. The system has been successfully applied to monitor multi-channel antibody–antigen interactions in real time. Furthermore, it was used to detect cartilage oligomeric matrix protein (COMP) in synovial fluid, where an elevated concentration in an osteoarthritis sample versus a control aligned with its role as a cartilage catabolism marker. This work validates a practical and reliable platform for early diagnosis of osteoarthritis. Full article
(This article belongs to the Special Issue Recent Advances in Micro- and Nanofiber-Optic Sensors)
Show Figures

Figure 1

14 pages, 2764 KB  
Article
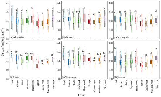
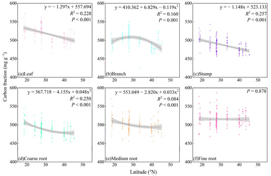
Cross-Tissue and Spatial Pattern of Carbon Fraction in 41 Fagaceae Species from China
by Yulong Liu, Luna Zhang, Zhecheng Liu, Chengke Dong, Xiaoyi Chao, Yankun Liu and Xingchang Wang
Forests 2026, 17(1), 2; https://doi.org/10.3390/f17010002 - 19 Dec 2025
Viewed by 94
Abstract
Fagaceae trees dominate in the temperate and subtropical forests in East Asia. Understanding the spatial patterns of their carbon contents and the influencing factors can support high-precision forest carbon accounting. A comprehensive understanding of the changes in carbon in multiple organs of trees [...] Read more.
Fagaceae trees dominate in the temperate and subtropical forests in East Asia. Understanding the spatial patterns of their carbon contents and the influencing factors can support high-precision forest carbon accounting. A comprehensive understanding of the changes in carbon in multiple organs of trees such as Fagaceae trees is still lacking at a large scale. This study investigated the inter-tissue variation, spatial patterns, and climatic drivers of carbon fraction across nine tissues (leaves, branches, bark, sapwood, heartwood, stump, coarse roots, medium roots, and fine roots) in 41 Fagaceae species (5 genera) from 12 sites across China’s major forest biomes. The sampling sites ranged from northern temperate to northern-tropical and covered an elevation range of 1200 m. The carbon fraction was measured with dry combustion after dried at 60 °C. Variance decomposition revealed that geographical location was the dominant source of variation (16%–55%), outweighing differences at the species and genus levels. Significant disparities in carbon fraction were observed among tissues, following a general pattern of leaves (517 mg g−1) ≈ fine roots (516 mg g−1) > heartwood (510 mg g−1) > sapwood (504 mg g−1) > branches (501 mg g−1) ≈ medium roots (500 mg g−1) > bark (495 mg g−1) > coarse roots (488 mg g−1) ≈ stump (487 mg g−1). This indicated a “high-at-both-ends” arcuate pattern from leaves to fine roots. Spatially, carbon fractions in most tissues exhibited significant declining trends with increasing latitude and eastward longitude. Generalized additive models identified mean annual temperature and precipitation as the most influential factors for most above-ground tissues, while fine roots were primarily regulated by temperature seasonality. These findings help us understand the differences in tree carbon fraction from an organ perspective, highlighting the critical importance of multi-tissue sampling protocol. We recommend integrating the spatial and climatic drivers for refining forest carbon accounting. More species should be included to separate the species and climatic effects in the future. Full article
Show Figures

Figure 1

30 pages, 4486 KB  
Article
Passive Localization in GPS-Denied Environments via Acoustic Side Channels: Harnessing Smartphone Microphones to Infer Wireless Signal Strength Using MFCC Features
by Khalid A. Darabkh, Oswa M. Amro and Feras B. Al-Qatanani
J. Sens. Actuator Netw. 2025, 14(6), 119; https://doi.org/10.3390/jsan14060119 - 16 Dec 2025
Viewed by 241
Abstract
The Global Positioning System (GPS) and Received Signal Strength Indicator (RSSI) usage for location provenance often fails in obstructed, noisy, or densely populated urban environments. This study proposes a passive location provenance method that uses the location’s acoustics and the device’s acoustic side [...] Read more.
The Global Positioning System (GPS) and Received Signal Strength Indicator (RSSI) usage for location provenance often fails in obstructed, noisy, or densely populated urban environments. This study proposes a passive location provenance method that uses the location’s acoustics and the device’s acoustic side channel to address these limitations. With the smartphone’s internal microphone, we can effectively capture the subtle vibrations produced by the capacitors within the voltage-regulating circuit during wireless transmissions. Subsequently, we extract key features from the resulting audio signals. Meanwhile, we record the RSSI values of the WiFi access points received by the smartphone in the exact location of the audio recordings. Our analysis reveals a strong correlation between acoustic features and RSSI values, indicating that passive acoustic emissions can effectively represent the strength of WiFi signals. Hence, the audio recordings can serve as proxies for Radio-Frequency (RF)-based location signals. We propose a location-provenance framework that utilizes sound features alone, particularly the Mel-Frequency Cepstral Coefficients (MFCCs), achieving coarse localization within approximately four kilometers. This method requires no specialized hardware, works in signal-degraded environments, and introduces a previously overlooked privacy concern: that internal device sounds can unintentionally leak spatial information. Our findings highlight a novel passive side-channel with implications for both privacy and security in mobile systems. Full article
Show Figures

Graphical abstract

11 pages, 775 KB  
Article
Fast Spectral Search Using Improved Preprocessing and Limited Axis Check
by YoungJae Son, Tiejun Chen, Guangyong Shang, Myeongjin Kim and Sung-June Baek
Mathematics 2025, 13(24), 3983; https://doi.org/10.3390/math13243983 - 14 Dec 2025
Viewed by 161
Abstract
Efficient and accurate identification of spectra from large databases remains a critical challenge in spectroscopic analysis. Previous coarse-to-fine frameworks, typically combining Principal Component Analysis (PCA)-based preprocessing and k-d tree search, have shown that structured search can reduce computational cost without sacrificing [...] Read more.
Efficient and accurate identification of spectra from large databases remains a critical challenge in spectroscopic analysis. Previous coarse-to-fine frameworks, typically combining Principal Component Analysis (PCA)-based preprocessing and k-d tree search, have shown that structured search can reduce computational cost without sacrificing accuracy. Building on this foundation, we propose an enhanced algorithm that integrates an improved preprocessing and a novel limited axis check (LAC) method. The preprocessing stage applies running average filtering, downsampling, and threshold-based noise-cutting, followed by PCA to construct a compact, noise-suppressed spectral representation. In the search stage, the proposed LAC algorithm replaces conventional tree-based structures by performing an axis-wise limited-range search and voting strategy to efficiently locate the candidate spectrum closest to the query within the reduced PCA domain. A subsequent refined search determines the closest spectrum by computing distances to the shortlisted candidates. Experimental results demonstrate that the proposed approach attains accuracy equivalent to that of the full search while markedly reducing computational complexity. These results confirm that the integration of enhanced preprocessing and LAC substantially accelerates the spectral search process. Full article
(This article belongs to the Section E1: Mathematics and Computer Science)
Show Figures

Figure 1

29 pages, 16069 KB  
Article
Dynamic Severity Assessment of Partial Discharge in HV Bushings Based on the Evolution Characteristics of Dense Clusters in PRPD Patterns
by Xiang Gao, Zhiyu Li, Zuoming Xu, Pengbo Yin, Xiongjie Xie, Xiaochen Yang and Baoquan Wan
Sensors 2025, 25(24), 7537; https://doi.org/10.3390/s25247537 - 11 Dec 2025
Viewed by 400
Abstract
High-voltage bushings are critical insulation components, yet conventional PRPD-based severity assessment methods that rely on global pattern morphologies such as “rabbit ears” and “tortoise shell” remain coarse, lack local sensitivity, and fail to track continuous degradation. This paper proposes a dynamic severity assessment [...] Read more.
High-voltage bushings are critical insulation components, yet conventional PRPD-based severity assessment methods that rely on global pattern morphologies such as “rabbit ears” and “tortoise shell” remain coarse, lack local sensitivity, and fail to track continuous degradation. This paper proposes a dynamic severity assessment method that shifts the focus from global contours to dense partial discharge (PD) clusters, defined as high-density aggregations of PD pulses in specific phase–magnitude regions of PRPD patterns. Each dense cluster is treated as the statistical projection of a physical discharge channel, and the evolution of its number, intensity, location, and shape provides a fine-scale description of defect development. A multi-level relative density and morphological image processing algorithm is used to extract dense clusters directly from PRPD histograms, followed by a 20-dimensional feature set and a five-index system describing discharge activity, development speed, complexity, instability, and evolution trend. A fuzzy comprehensive evaluation model further converts these indices into three severity levels with confidence measures. Long-term degradation tests on defective bushings demonstrate that the proposed method captures key turning points from dispersed multi-cluster patterns to a single dominant cluster and yields a stable, stage-consistent severity evaluation, offering a more sensitive and physically interpretable tool for condition monitoring and early warning of HV bushings. The method achieved a high evaluation confidence (average 60.1%), which rose to 100% at the critical failure stage. It successfully identified three distinct degradation stages (stable, accelerated, and critical) across the 49 test intervals. A quantitative comparison demonstrated significant advantages: 8.3% improvement in early warning (4 windows earlier than IEC 60270), 50.6% higher monotonicity, 125.2% better stability, and 45.9% wider dynamic range, while maintaining physical interpretability and requiring no training data. Full article
Show Figures

Figure 1

18 pages, 2220 KB  
Article
Verification of Wind Turbine Energy Productivity Models Under Polish Conditions: A Comparative Analysis of ERA5, MERRA, and Local Measurement Data
by Piotr Olczak, Jarosław Kulpa, Artur Dyczko, Dominika Matuszewska and Lina Montuori
Sustainability 2025, 17(24), 11043; https://doi.org/10.3390/su172411043 - 10 Dec 2025
Viewed by 160
Abstract
Numerous models exist for estimating the specific energy yield of wind turbines, typically relying on meteorological wind speed data and turbine characteristics. However, the applicability and accuracy of these models must be validated against real-world data, particularly concerning the conditions specific to Poland. [...] Read more.
Numerous models exist for estimating the specific energy yield of wind turbines, typically relying on meteorological wind speed data and turbine characteristics. However, the applicability and accuracy of these models must be validated against real-world data, particularly concerning the conditions specific to Poland. The primary objective of this study was to verify the accuracy of existing wind energy yield models for onshore wind turbine installations in Polish conditions. The study was conducted in two parts. First, the compliance of wind speed data derived from two global reanalysis databases (ERA5 and MERRA) was analyzed against actual hourly measurements. These measurements were collected from nacelle-mounted sensors at the hub height of six operational turbines (two 3 MW and four 0.8 MW units) at a wind farm site over the course of 2019. Second, a computational model for the specific energy yield was verified using the same on-site measurements, incorporating data on turbine configuration, location, and the ERA5/MERRA inputs. A significant discrepancy was observed: wind speeds measured directly on the higher-capacity turbines (3 MW) were consistently higher than those reported in the ERA5 and MERRA databases. This difference is attributed to the fact that the coarse grid resolution of global databases does not capture the precise, optimized placement of turbines at sites specifically selected for high wind potential, often considering local topography. Despite this initial wind speed variance, the subsequent verification of the energy yield model showed satisfactory agreement with real production data. The relative mean bias error (rMBE) was found to be below 8% for the ERA5 input paired with the 3 MW turbine data and below 12% for the MERRA input paired with the 0.8 MW turbine data. The findings confirm that while global reanalysis databases may underestimate local wind speeds due to generalized grid resolution, the tested energy yield model provides satisfactory results for wind turbine planning in Poland. Full article
Show Figures

Figure 1

19 pages, 3750 KB  
Article
Autonomous UAV-Based Volcanic Gas Monitoring: A Simulation-Validated Case Study in Santorini
by Theodoros Karachalios and Theofanis Orphanoudakis
Drones 2025, 9(12), 829; https://doi.org/10.3390/drones9120829 - 29 Nov 2025
Viewed by 395
Abstract
Unmanned Aerial Vehicles (UAVs) can deliver rapid, spatially resolved measurements of volcanic gases that often precede eruptions, yet most deployments remain manual or preplanned and are slow to react to seismic unrest. In the present work, we present a simulation-validated design of an [...] Read more.
Unmanned Aerial Vehicles (UAVs) can deliver rapid, spatially resolved measurements of volcanic gases that often precede eruptions, yet most deployments remain manual or preplanned and are slow to react to seismic unrest. In the present work, we present a simulation-validated design of an earthquake-triggered, autonomous workflow for early detection of CO2 anomalies, demonstrated through a conceptual case study focused on the Santorini caldera. The system ingests real-time seismic alerts, generates missions automatically, and executes a two-stage sensing strategy: a fast scan to build a coarse CO2 heatmap followed by targeted high-precision sampling at emerging hotspots. Mission planning includes wind-and terrain-aware flight profiles, geofenced safety envelopes and a facility-location approach to landing-site placement; in a Santorini case study, we provide a ring of candidate launch/landing zones with wind-contingent usage, illustrate adaptive replanning driven by heatmap uncertainty and outline calibration and quality-control steps for robust CO2 mapping. The proposed methodology offers an operational blueprint that links seismic triggers to actionable, georeferenced gas information and can be transferred to other island or caldera volcanoes. Full article
(This article belongs to the Special Issue Unmanned Aerial Vehicles for Enhanced Emergency Response)
Show Figures

Figure 1

26 pages, 4536 KB  
Article
Resolving Surface Heat Island Effects in Fine-Scale Spatio-Temporal Domains for the Two Warmest Metropolitan Cities of Korea
by Gi-Seong Jeon and Wonkook Kim
Remote Sens. 2025, 17(23), 3815; https://doi.org/10.3390/rs17233815 - 25 Nov 2025
Viewed by 385
Abstract
The urban heat island (UHI) has been a critical social problem as urbanization intensifies worldwide, significantly impacting human life by exacerbating heat-related health issues, increasing energy demand for cooling, and resulting in associated environmental problems. However, the fine-scale diurnal and spatial characteristics of [...] Read more.
The urban heat island (UHI) has been a critical social problem as urbanization intensifies worldwide, significantly impacting human life by exacerbating heat-related health issues, increasing energy demand for cooling, and resulting in associated environmental problems. However, the fine-scale diurnal and spatial characteristics of UHI remain poorly understood due to the limited resolution of traditional satellite datasets. This study aims to quantify the diurnal and spatial dynamics of surface urban heat islands (SUHI) in Busan and Daegu—the two hottest metropolitan cities in Korea—by integrating high-resolution ECOsystem Spaceborne Thermal Radiometer Experiment on Space Station (ECOSTRESS) (70 m) and Geostationary Korea Multi-Purpose Satellite-2A (GK-2A) (2 km) land surface temperature (LST) data. Using the combined datasets, season-representative diurnal LST variations were characterized, and locational heat intensification (LHI) was evaluated across land use types and densities at sub-district scales. The results show that the maximum SUHI intensity reached 10 °C in Daegu and 7 °C in Busan during summer, up to 8 °C higher than estimates from coarse-resolution data. Industrial areas recorded the highest LST (47 °C in Daegu and 43 °C in Busan) with rapid morning intensification rates of 2.0 °C/h and 1.9 °C/h, respectively. Dense urban land uses amplified LHI by nearly twofold compared to less dense urban areas. These findings emphasize the critical role of land use density and industrial heat emissions in shaping urban thermal environments, providing key insights for use in urban heat mitigation and climate-adaptive planning. Full article
Show Figures

Figure 1

24 pages, 2147 KB  
Article
River Diversity Under Pressure: Benthic Invertebrates Reveal Urban Stream Syndrome and Guide Mitigation
by Karina P. Battes, Bogdan-Iosif Goia, Sorin Dan Clinci and Mirela Cîmpean
Urban Sci. 2025, 9(12), 496; https://doi.org/10.3390/urbansci9120496 - 23 Nov 2025
Viewed by 611
Abstract
Urban rivers provide vital ecosystem services, benefiting both nature and people, yet they are heavily impacted worldwide, exhibiting similar symptoms collectively known as the Urban Stream Syndrome (USS). This study assessed the ecological status of the Someșul Mic River, located in Cluj-Napoca, Romania’s [...] Read more.
Urban rivers provide vital ecosystem services, benefiting both nature and people, yet they are heavily impacted worldwide, exhibiting similar symptoms collectively known as the Urban Stream Syndrome (USS). This study assessed the ecological status of the Someșul Mic River, located in Cluj-Napoca, Romania’s second-largest and rapidly developing city, through the lens of benthic invertebrate communities, recognized for their strong bioindicator value. Six sites along the main river course, four adjacent sites on tributaries, and an artificial canal were analyzed. Our findings revealed the presence of USS at all sites; however, contrary to expectations, the mainstem sites showed higher water quality and greater taxonomic and functional diversity of zoobenthos. The primary drivers of this pattern were the proportion of coarse sediments and flow velocity, with river width playing a lesser role. Based on these results, eight mitigation strategies were proposed, aligned with the river ecosystem services. Their implementation could improve the ecological condition across the river, floodplain, and catchment levels, involving both scientists and the general public. Overall, the study provides a management-oriented framework for future river restoration initiatives in a growing city and a comparative reference for urban river assessments. Full article
(This article belongs to the Special Issue Biodiversity in Urban Landscapes)
Show Figures

Graphical abstract

26 pages, 61479 KB  
Article
Graph-Based Multi-Resolution Cosegmentation for Coarse-to-Fine Object-Level SAR Image Change Detection
by Jingxing Zhu, Miao Yu, Feng Wang, Guangyao Zhou, Niangang Jiao, Yuming Xiang and Hongjian You
Remote Sens. 2025, 17(22), 3736; https://doi.org/10.3390/rs17223736 - 17 Nov 2025
Viewed by 369
Abstract
The ongoing launch of high-resolution satellites has led to a significant increase in the volume of synthetic aperture radar data, resulting in a high-resolution and high-revisit Earth observation that efficiently supports subsequent high-resolution SAR change detection. To address the issues of speckle noise [...] Read more.
The ongoing launch of high-resolution satellites has led to a significant increase in the volume of synthetic aperture radar data, resulting in a high-resolution and high-revisit Earth observation that efficiently supports subsequent high-resolution SAR change detection. To address the issues of speckle noise interference, insufficient integrity of change targets and blurred boundary location of high-resolution SAR change detection, we propose a coarse-to-fine framework based on the multi-scale segmentation and hybrid structure graph (HSG), which consists of three modules: multi-scale segmentation, difference measurement, and change refinement. First, we propose a graph-based multi-resolution co-segmentation (GMRCS) in the multi-scale segmentation module to generate hierarchically nested superpixel masks. And, a two-stage ranking (TSR) strategy is designed to help GMRCS better approximate the target edges and preserve the spatio-temporal structure of changed regions. Then, we introduce a graph model and measuring difference level based on the HSG. The multi-scale difference image (DI) is generated by constructing the HSG for bi-temporal SAR images and comparing the consistency of the HSGs to reduce the effect of speckle noise. Finally, the coarse-scale change information is gradually mapped to the fine-scale based on the multi-scale fusion refinement (FR) strategy, and we can get the binary change map (BCM). Experimental results on three high-resolution SAR change detection datasets demonstrates the superiority of our proposed algorithm in preserving the integrity and structural precision of change targets compared with several state-of-the-art methods. Full article
(This article belongs to the Special Issue SAR Image Change Detection: From Hand-Crafted to Deep Learning)
Show Figures

Figure 1

17 pages, 9161 KB  
Article
XBusNet: Text-Guided Breast Ultrasound Segmentation via Multimodal Vision–Language Learning
by Raja Mallina and Bryar Shareef
Diagnostics 2025, 15(22), 2849; https://doi.org/10.3390/diagnostics15222849 - 11 Nov 2025
Viewed by 601
Abstract
Background/Objectives: Precise breast ultrasound (BUS) segmentation supports reliable measurement, quantitative analysis, and downstream classification yet remains difficult for small or low-contrast lesions with fuzzy margins and speckle noise. Text prompts can add clinical context, but directly applying weakly localized text–image cues (e.g., CAM/CLIP-derived [...] Read more.
Background/Objectives: Precise breast ultrasound (BUS) segmentation supports reliable measurement, quantitative analysis, and downstream classification yet remains difficult for small or low-contrast lesions with fuzzy margins and speckle noise. Text prompts can add clinical context, but directly applying weakly localized text–image cues (e.g., CAM/CLIP-derived signals) tends to produce coarse, blob-like responses that smear boundaries unless additional mechanisms recover fine edges. Methods: We propose XBusNet, a novel dual-prompt, dual-branch multimodal model that combines image features with clinically grounded text. A global pathway based on a CLIP Vision Transformer encodes whole-image semantics conditioned on lesion size and location, while a local U-Net pathway emphasizes precise boundaries and is modulated by prompts that describe shape, margin, and Breast Imaging Reporting and Data System (BI-RADS) terms. Prompts are assembled automatically from structured metadata, requiring no manual clicks. We evaluate the model on the Breast Lesions USG (BLU) dataset using five-fold cross-validation. The primary metrics are Dice and Intersection over Union (IoU); we also conduct size-stratified analyses and ablations to assess the roles of the global and local paths and the text-driven modulation. Results: XBusNet achieves state-of-the-art performance on BLU, with a mean Dice of 0.8766 and IoU of 0.8150, outperforming six strong baselines. Small lesions show the largest gains, with fewer missed regions and fewer spurious activations. Ablation studies show complementary contributions of global context, local boundary modeling, and prompt-based modulation. Conclusions: A dual-prompt, dual-branch multimodal design that merges global semantics with local precision yields accurate BUS segmentation masks and improves robustness for small, low-contrast lesions. Full article
Show Figures

Figure 1

24 pages, 42979 KB  
Article
Soil Erosion Modeling of Kinmen (Quemoy) Island, Taiwan: Toward Land Conservation in a Strategic Location
by Yu-Chieh Huang, Kieu Anh Nguyen and Walter Chen
Sustainability 2025, 17(22), 10052; https://doi.org/10.3390/su172210052 - 11 Nov 2025
Viewed by 615
Abstract
Kinmen Island, historically known as Quemoy, holds significant historical and geopolitical importance due to its strategic location in the Taiwan Strait, just a few kilometers from the Chinese mainland. This study presents the first comprehensive assessment of soil erosion and deposition on Kinmen, [...] Read more.
Kinmen Island, historically known as Quemoy, holds significant historical and geopolitical importance due to its strategic location in the Taiwan Strait, just a few kilometers from the Chinese mainland. This study presents the first comprehensive assessment of soil erosion and deposition on Kinmen, providing a scientific foundation for future land conservation and sustainable development initiatives. It also addresses the underrepresentation of small-island environments in soil erosion modeling by adapting the Revised Universal Soil Loss Equation (RUSLE) and Unit-Stream-Power-based Erosion Deposition (USPED) models for coarse-textured soils under limited rainfall conditions, offering insights into the reliability and limitations of these models in such contexts. The rainfall–runoff erosivity factor (Rm) was derived from precipitation data at four stations, while soil samples from ten locations were analyzed for the Soil Erodibility Factor (Km). Topographic factors, including the Slope Length and Steepness (LS) and the Topographic Sediment Transport (LST) factors, were computed from a 20 m DEM (Digital Elevation Model), and the Cover-Management Factor (C) was obtained from land use classification. The RUSLE estimated a mean soil erosion rate of 2.17 Mg ha−1 year−1, while the USPED results varied with parameterization, ranging from 0.87 to 3.79 Mg ha−1 year−1 for erosion and 1.39 to 6.51 Mg ha−1 year−1 for deposition. The results were compared with studies from the neighboring Fujian Province and contextualized through two field expeditions. This pioneering research advances the understanding of erosion and deposition processes in a strategically located island environment and supports evidence-based policies for land conservation, contributing to SDG 15 (Life on Land) and SDG 13 (Climate Action). Full article
(This article belongs to the Special Issue Sustainable Environmental Analysis of Soil and Water)
Show Figures

Figure 1

31 pages, 7690 KB  
Article
CFD-DEM Analysis of Floating Ice Accumulation and Dynamic Flow Interaction in a Coastal Nuclear Power Plant Pump House
by Shilong Li, Chao Zhan, Qing Wang, Yan Li, Zihao Yang and Ziqing Ji
J. Mar. Sci. Eng. 2025, 13(11), 2122; https://doi.org/10.3390/jmse13112122 - 10 Nov 2025
Viewed by 414
Abstract
A coupled CFD-DEM model was adopted to investigate the floating ice accumulation mechanism and its disturbance to the flow field in the pump house of coastal nuclear power plants in cold regions. Based on numerical simulations, the motion, accumulation, and flow interaction characteristics [...] Read more.
A coupled CFD-DEM model was adopted to investigate the floating ice accumulation mechanism and its disturbance to the flow field in the pump house of coastal nuclear power plants in cold regions. Based on numerical simulations, the motion, accumulation, and flow interaction characteristics of floating ice under various release positions and heights were analyzed. The results indicate that the release height significantly governs the accumulation morphology and hydraulic response. The release height critically determines ice accumulation patterns and hydraulic responses. For inlet scenarios, lower heights induce a dense, wedge-shaped accumulation at the coarse trash rack, increasing thickness by 57.69% and shifting the accumulation 38.16% inlet-ward compared to higher releases. Conversely, higher releases enhance dispersion, expanding disturbances to the central pump house and intensifying flow heterogeneity. In bottom release cases, lower heights form wall-adhering accumulations, while higher releases cause ice to rise into mid-upper layers, thereby markedly intensifying local vortices (peak intensity 79.68, approximately 300% higher). Spatial release locations induce 2.7–4.8-fold variations in flow disturbance intensity across monitoring points. These findings clarify the combined impact of the release height and location on the ice accumulation and flow field dynamics, offering critical insights for the anti-ice design and flow safety assessment of pump houses. Full article
(This article belongs to the Section Coastal Engineering)
Show Figures

Figure 1

26 pages, 18639 KB  
Article
Comparison of Two Miniaturized, Rectifiable Aerosol Photometers for Personal PM2.5 Monitoring in a Dusty Occupational Environment
by James D. Johnston, Scott C. Collingwood, James D. LeCheminant, Neil E. Peterson, Andrew J. South, Clifton B. Farnsworth, Ryan T. Chartier, Mary E. Thiel, Tanner P. Brown, Elisabeth S. Goss, Porter K. Jones, Seshananda Sanjel, Jayson R. Gifford and John D. Beard
Atmosphere 2025, 16(11), 1233; https://doi.org/10.3390/atmos16111233 - 25 Oct 2025
Viewed by 660
Abstract
Wearable, rectifiable aerosol photometers (WRAPs), instruments with combined nephelometer and on-board filter-based sampling capabilities, generally show strong correlations with reference instruments across a range of ambient and household PM2.5 concentrations. However, limited data exist on their performance when challenged by mixed aerosol [...] Read more.
Wearable, rectifiable aerosol photometers (WRAPs), instruments with combined nephelometer and on-board filter-based sampling capabilities, generally show strong correlations with reference instruments across a range of ambient and household PM2.5 concentrations. However, limited data exist on their performance when challenged by mixed aerosol exposures, such as those found in dusty occupational environments. Understanding how these instruments perform across a spectrum of environments is critical, as they are increasingly used in human health studies, including those in which concurrent PM2.5 and coarse dust exposures occur simultaneously. The authors collected co-located, ~24 h. breathing zone gravimetric and nephelometer PM2.5 measures using the MicroPEM v3.2A (RTI International) and the UPAS v2.1 PLUS (Access Sensor Technologies). Samples were collected from adult brick workers (n = 93) in Nepal during work and non-work activities. Median gravimetric/arithmetic mean (AM) PM2.5 concentrations for the MicroPEM and UPAS were 207.06 (interquartile range [IQR]: 216.24) and 737.74 (IQR: 1399.98) µg/m3, respectively (p < 0.0001), with a concordance correlation coefficient (CCC) of 0.26. The median stabilized inverse probability-weighted nephelometer PM2.5 concentrations, after gravimetric correction, for the MicroPEM and UPAS were 169.16 (IQR: 204.98) and 594.08 (IQR: 1001.00) µg/m3, respectively (p-value < 0.0001), with a CCC of 0.31. Digital microscope photos and electron micrographs of filters confirmed large particle breakthrough for both instruments. A possible explanation is that the miniaturized pre-separators were overwhelmed by high dust exposures. This study was unique in that it evaluated personal PM2.5 monitors in a high dust occupational environment using both gravimetric and nephelometer-based measures. Our findings suggest that WRAPs may substantially overestimate personal PM2.5 exposures in environments with concurrently high PM2.5 and coarse dust levels, likely due to large particle breakthrough. This overestimation may obscure associations between exposures and health outcomes. For personal PM2.5 monitoring in dusty environments, the authors recommend traditional pump and cyclone or impaction-based sampling methods in the interim while miniaturized pre-separators for WRAPs are designed and validated for use in high dust environments. Full article
(This article belongs to the Section Air Quality and Health)
Show Figures

Figure 1

24 pages, 5998 KB  
Article
Simulation of Reinforced Concrete Beam–Column Joint Pouring Process Based on Three-Dimensional Particle Flow Method
by Xiao Zhang, Muxuan Tao, Ran Ding, Jiansheng Fan, Xinhao Zhang, Mengjia Zhou and Qiang Zhang
Buildings 2025, 15(20), 3795; https://doi.org/10.3390/buildings15203795 - 21 Oct 2025
Viewed by 531
Abstract
The concrete pouring process is difficult to observe inside formwork. With increasingly complex formwork systems and denser reinforcement layouts, honeycomb defects and surface pores are prone to form at beam–column joint core locations. The modeling of pouring processes that were performed earlier is [...] Read more.
The concrete pouring process is difficult to observe inside formwork. With increasingly complex formwork systems and denser reinforcement layouts, honeycomb defects and surface pores are prone to form at beam–column joint core locations. The modeling of pouring processes that were performed earlier is insufficient and there is relatively little research on simulating concrete void defects at typical joints. Therefore, a refined numerical model based on the three-dimensional particle flow method was established to simulate the flow of fresh concrete within formwork and predict concrete voids after pouring. The feasibility of the particle flow method was verified through numerical simulations of slump flow and J-ring tests. Several groups of joint models were set up based on different influencing factors, and the developed particle flow model was used for pouring simulations to investigate the influence of various factors on concrete void formation. The results show that the void volume and distribution patterns obtained from experiments and simulations are basically consistent. The numerical model can accurately simulate the working performance of self-compacting concrete and predict the size and location distribution of pouring defects. Based on both experimental and numerical studies, the following suggestions are proposed to avoid potential void defects in practical concrete pouring projects: reasonably select the number and diameter of joint longitudinal bars; appropriately increase the spacing of column stirrups; appropriately reduce the maximum coarse aggregate particle size; and choose concrete with better fluidity and filling ability. Full article
(This article belongs to the Special Issue Application of Experiment and Simulation Techniques in Engineering)
Show Figures

Figure 1

Back to TopTop